时间:2017-08-22 02:42:09
1、选择题 从下列哪一组物理量可以算出氧气的摩尔质量
[? ]
参考答案:C
本题解析:
本题难度:简单
2、实验题 在做”用油膜法估测分子的大小”的实验中,实验简要步骤如下:
A.根据油酸酒精溶液的浓度,算出一滴溶液中纯油酸的体积V.
B.用浅盘装入约2 cm深的水.
C.将一滴油酸酒精溶液滴在水面上,待油酸薄膜的形状稳定后,将玻璃板放在浅盘上,用彩笔将薄膜的形状描画在玻璃板上.
D.将画有油膜轮廓的玻璃板放在坐标纸上,数出轮廓内的方格数(不足半个的舍去,多于半个的算一个),再根据方格的边长求出油膜的面积S.
E.用公式
求出薄膜厚度,即油酸分子的大小.
上述步骤中有步骤遗漏或步骤不完全,请指出: (1)(2分)
(2)(2分)
参考答案:本实验中必须测出一滴油酸酒精溶液中纯油酸的体积V,故必先求出一滴油酸酒精溶液的体积,因此实验过程中应该求出1 mL油酸酒精溶液的滴数;油酸薄膜的边缘在水中不易观察和画出,因此浅盘中倒入水后,将痱子粉或石膏粉均匀撒在水面上.
答案:(1)求出1 mL油酸酒精溶液的滴数 (2)浅盘里倒入水后,将痱子粉或石膏粉均匀地撒在水面上
本题解析:分析:本实验中必须测出一滴油酸酒精溶液中纯油酸的体积V,故必先求出一滴油酸酒精溶液的体积,因此实验过程中应该求出1 mL油酸酒精溶液的滴数;油酸薄膜的边缘在水中不易观察和画出,因此浅盘中倒入水后,将痱子粉或石膏粉均匀撒在水面上.
解答:解:(1)A选项中仅仅根据油酸酒精溶液的浓度,仍不能算出一滴溶液中纯油酸的体积V,还需要求出1 mL油酸酒精溶液的滴数
(2)B选项中用浅盘装入约2cm深的水,油酸滴入水面后,浅盘里倒入水,将痱子粉或石膏粉均匀地撒在水面上,才能使油酸在水面上扩散后,会将水面上的痱子粉推开,形成清晰地边缘,中间油酸扩散形成的图形是透明的.
故答案为:(1)求出1 mL油酸酒精溶液的滴数 (2)浅盘里倒入水后,将痱子粉或石膏粉均匀地撒在水面上
点评:分子以球形一个靠一个排列,同时计算油酸薄膜的面积是以不足半个的舍去,多于半个的算一个的规则.
本题难度:一般
3、实验题 【物理选修3-3】(15分)
(1)(6分)在“用油膜法估测分子的大小”实验中,用注射器将一滴油酸酒精溶液滴入盛水的浅盘里,待水面稳定后,将玻璃板放在浅盘上,在玻璃板上描出油膜的轮廓,随后把玻璃板放在坐标纸上,其形状如图所示,坐标纸上正方形小方格的边长为10mm,该油酸膜的面积是?
;若一滴油酸酒精溶液中含有纯油酸的体积是
mL,则油酸分子的直径是?m.(上述结果均保留1位有效数字) 
参考答案:8×10-3;5×10-10
本题解析:由于小方格的个数为80个,故油酸膜的面积是S=80×100×10-6m2=8×10-3m2;
本题难度:简单
4、选择题 下列说法正确的是( ? )
A.布朗运动是液体分子的运动,它说明分子永不停息地做无规则热运动
B.由氢气的摩尔体积和每个氢分子的体积可估算出阿伏加德罗常数
C.一定质量的理想气体若分子间平均距离不变,当分子热运动变剧烈时,压强一定变大
D.当分子的间距增大时,分子力随间距的增大而减小
参考答案:C
本题解析:
本题难度:简单
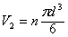
5、计算题 已知气泡内气体的密度为1.29 kg/m3,平均摩尔质量为0.029 kg/mol。阿伏加德罗常数NA=6.02×1023mol-1,取气体分子的平均直径为2×10-10 m。若气泡内的气体能完全变为液体,请估算液体体积与原来气体体积的比值。(结果保留一位有效数字)
参考答案:解:设气体体积为V1,液体体积为V2
气体分子数
因气泡内的气体能完全变为液体,所以分子数目不变,按分子的球形模型得
液体体积
(或按分子的立方体模型V2=nd3)
则
(或
)
解得
(9×10-5~2×10-4都算对)
本题解析:
本题难度:一般