高考物理答题模板《粒子在复合场中运动》试题特训(2017年最新版)(七)

时间:2017-08-22 02:12:19

微信搜索关注"91考试网"公众号,领30元,获取事业编教师公务员等考试资料40G

1、计算题  如图所示,在真空中,半径为R=5L0的圆形区域内存在匀强磁场,磁场方向垂直纸面向里。在磁场右侧有一对平行金属板M和N,两板间距离为d=6L0,板长为L=12L0,板的中心线O1O2与磁场的圆心O在同一直线上。有一电荷量为q、质量为m的带电的粒子,以速度v0从圆周上的a点沿垂直于半径OO1并指向圆心的方向进入磁场平面,当从圆周上的O1点水平飞出磁场时,给M、N板加上如图所示电压,最后粒子刚好以平行于M板的速度,从M板的边缘飞出(不计粒子重力)。求:
(1)磁场的磁感应强度;
(2)求交变电压的周期T和电压U0的值;
(3)若时,该粒子从M、N板右侧沿板的中心线仍以速率v0向左射入M、N之间,求粒子从磁场中射出的点到a点的距离。


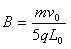
参考答案:解:(1)粒子由a点进入磁场在洛仑兹力作用下做圆周运动,所以
由题意知粒子圆周运动的半径:
由①、②得:
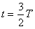
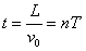
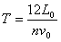
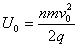
(2)据题意,粒子在电场中的运动时间为周期的整数倍,即:
于是得:
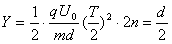
粒子在电场中运动侧向总位移:
带入已知量计算得:(3)由粒子在磁场中的受力可判断粒子带负电,粒子在时刻进入电场后向N板偏转,由题意知粒子应刚好平行于N板从N板的边缘水平飞出,并沿着水平方向进入磁场。如图,设粒子从B点进入磁场,从C点射出,O"点为粒子圆周运动的圆心,由(1)知:,所以OBO"C为菱形,故有,由于粒子水平射出,故O"B⊥v0,于是OC⊥v0,方向竖直,故aOC共线,所以射出的点到a点的距为:aC=2R=10L0


本题解析:


本题难度:困难



2、计算题  水平面上两根足够长的不光滑金属导轨固定放置,间距为L,一端通过导线与阻值为R的电阻连接,导轨上放一质量为m的金属杆,金属杆与导轨的电阻不计,磁感应强度方B的匀强磁场方向竖直向下.用与导轨平行的恒定拉力F作用在金属杆上,杆最终将做匀速运动,当改变恒定拉力F大小时,相对应的匀速运动速度υ大小也会变化,F与υ的关系如图所示.F0、υ0为已知量.求:
小题1:金属杆与导轨间的滑动摩擦力f==?
小题2:当恒定外力为2F0时,杆最终做匀速运动的速度大小?


参考答案:
小题1:
小题2:


本题解析:(1)当恒定外力为F0,金屈杆最后做匀速运动时,设杆中的感应电动势能为El,感应电流为I1,杆受到的安培力为F1,则
……………………①?…………………………②
……………………③?…………………④
………………⑤?………⑥
…………………………………………………………⑦
(2)当恒定外力为2F0时,设金属杆最终做匀速运动的速度为υ,由⑥式同理可得
……………………………………………………⑧
将⑦代入⑧得………………………⑨
…………………………………………………………⑩


本题难度:一般



3、填空题  如图所示,在正交的匀强电场和匀强磁场区域内(磁场垂直纸面向里,电场未画出),有一离子(不计重力)从匀强磁场左边飞入,恰能沿直线从右侧水平飞出。已知电场强度为E,磁感应强度为B.则电场的方向为?。离子的速度为? .


参考答案:竖直向下;E/B


本题解析:粒子在正交电磁场中运动时受到的电场力与洛伦兹力平衡,所以,根据左手定则,磁场方向竖直向下,v=E/B


本题难度:简单



4、计算题  如图所示,空间存在水平向右的匀强电场E和垂直纸面向外的匀强磁场B,一个质量为m、带电荷量为+q的小球套在不光滑的足够长的竖直绝缘杆上,从静止开始下滑。已知滑动摩擦系数为μ.

(1)求下滑过程中小球具有的最大加速度am,并求此时的速度v?
(2)求下滑过程中小球具有的最大速度vm?


参考答案:在第一阶段:,?…………2分
加速度最大时,?……………………1分
其最大值am=g。?…………………………………1分
在第二阶段: ……………………2分
当a=0时,?………………………………………………1分
速度最大:?……………………1分


本题解析:略


本题难度:一般



5、填空题  如图所示,a,b为两平行金属板,间距为10 cm,两板间充满磁感应强度为0.5 T的匀强磁场,磁场方向如图所示。开始时,开关S是断开的,等离子体从左向右射入两平行板之间,速度为v0=400 m/s,待稳定后两板之间的电压为___V,S闭合时,流过电阻R的电流方向是___(填“向上”或“向下”)。


参考答案:20,a→R→b


本题解析:


本题难度:一般



Follow the river and you'll get to the sea. 沿着河走, 一定能走到海边.

首页 上页 6 7 8 下页 尾页 7/10/10
微信搜索关注"91考试网"公众号,领30元,获取公务员事业编教师考试资料40G
【省市县地区导航】【考试题库导航】
 ★ 高考省级导航 ★ 
全国 A安徽 B北京 C重庆 F福建 G广东 广西 甘肃 贵州 H河南 河北 湖南 湖北 黑龙江 海南 J江苏 江西 吉林 L辽宁 N内蒙古 宁夏 Q青海 S山东 山西 陕西 四川 上海 T天津 X新疆 西藏 Y云南 Z浙江
 ★ 高考信息汇总 ★ 
 ★ 高考历年真题 ★ 
 ★ 高考历年真题 ★ 
 ★ 高考题库 ★ 
 ★ 高考题库 ★ 

电脑版  |  手机版  |  返回顶部