2013年江苏高考物理试题及答案(完整word版)(二)

时间:2013-06-13 17:51:59

微信搜索关注"91考试网"公众号,领30元,获取事业编教师公务员等考试资料40G
(1)砝码对纸板的摩擦力   桌面对纸板的摩擦力  

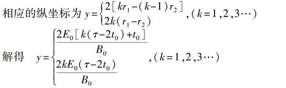
    解得  

(2)设砝码的加速度为,纸板的加速度为,

       发生相对运动 

解得   

(3)纸板抽出前,砝码运动的距离    纸板运动的距离

纸板抽出后,砝码在桌面上运动的距离     

由题意知      解得  

代入数据得

 

 


首页 上页 1 2 下页 尾页 2/2/2
微信搜索关注"91考试网"公众号,领30元,获取公务员事业编教师考试资料40G
【省市县地区导航】【考试题库导航】
 ★ 高考省级导航 ★ 
全国 A安徽 B北京 C重庆 F福建 G广东 广西 甘肃 贵州 H河南 河北 湖南 湖北 黑龙江 海南 J江苏 江西 吉林 L辽宁 N内蒙古 宁夏 Q青海 S山东 山西 陕西 四川 上海 T天津 X新疆 西藏 Y云南 Z浙江
 ★ 高考信息汇总 ★ 
 ★ 高考历年真题 ★ 
 ★ 高考历年真题 ★ 
 ★ 高考题库 ★ 
 ★ 高考题库 ★ 

电脑版  |  手机版  |  返回顶部