点击进入《★动力与电气工程》题库
点击进入《动力与电气工程:电子测量》考试资料下载,在线测试
1、问答题 有两个周期相同的正弦波,在屏幕上显示一个周期为6个div,两波形间相位间隔为如下值时,求两波形间的相位差。 (1)0.5div(2)2div(3)1div (4)1.5div(5)1.2div(6)1.8div
点击查看答案
本题答案:
试题答案
2、问答题 量值传递的准则是什么?
点击查看答案
本题答案:量值的传递是按照主基准、副基准、工作基准、各级标准逐级向下传
本题解析:试题答案量值的传递是按照主基准、副基准、工作基准、各级标准逐级向下传递,一直传递到不同精度的量具和仪器。检定是量值的传递的具体形式。量值传递的准则是:高一级计量器具检定低一级计量器具的精确度,同级计量器具的精确度只能通过比对来鉴别。
3、问答题 某电桥在ω=104rad/s时平衡并有下列参数:Z1为电容C1=0.2μF,Z2为电阻R2=500Ω,Z4为R4=300Ω与C4=0.25μF相并联,求阻抗Z3(按串联考虑)。
点击查看答案
本题答案:
试题答案
4、填空题 在相同的条件下多次测量同一量值时,测量误差的()和符号保持不变,或测量条件改变时按一定规律变化的误差称为系统误差。
点击查看答案
本题答案:绝对值
本题解析:试题答案绝对值
5、填空题 阻抗Z的实数部分R为电阻,是交流电路中消耗能量的元器件;虚实部分X为(),是存储能量的元器件。
点击查看答案
本题答案:电抗
本题解析:试题答案电抗
6、问答题 什么是软测量技术?它与常规仪表检测的本质区别是什么?
点击查看答案
本题答案:软软测量技术也称为软仪表技术,它是利用易测过程变量(常称为辅
本题解析:试题答案软软测量技术也称为软仪表技术,它是利用易测过程变量(常称为辅助变量或二次变量,如工业过程中容易获取的压力温度等过程参数),依据这些测过程变量与难以直接测量的待测过程变量(常称主导变量,如精馏塔中各种组分浓度等)之间的数学关系(软测量模型),通过各种计算和估计方法,实现对待测过程变量的测量.
常规仪表检测沿袭传统的检测技术思路,通过过程检测仪表,以硬件形式实现过程参数的直接在线测量,软测量技术利用易于获取的其他测量信息,通过计算来实现被检测量的估计.
7、问答题
如图4-43所示,用一万用表5V及10V挡来测量高内阻等效电路输出电压,已知万用表的电压灵敏度0k/V,试计算由于负载效应而引起的相对误差。

点击查看答案
本题答案:
试题答案
8、问答题 某直流电桥测量电阻Rx,当电桥平衡时,三个桥臂电阻分别为R1=100Ω,R2=50Ω,R3=25Ω。求电阻只雾等于多大?
点击查看答案
本题答案:
试题答案
9、问答题 画出图示仪测试二极管正向特性曲线的简化原理图。
点击查看答案
本题答案:晶体管图示仪可以测量二极管的正向伏安特性曲线。首先将图
本题解析:试题答案晶体管图示仪可以测量二极管的正向伏安特性曲线。首先将图示仪荧光屏上的光点置于坐标左下角,峰值电压范围置0~20V,集电极扫描电压极性置于“+”,功耗电阻置1kΩ,X轴集电极电压置0.1伏/度,Y轴集电极电流置5毫安/度,Y轴倍率置×1,将二极管的正负极分别接在面板上的C和E接线柱上,缓慢调节峰值电压旋扭,即可得到二极管正向伏安特性曲线。从屏幕显示图可以直接读出二极管的导通电压。

10、问答题
用某直流电桥测量电阻Rx,当电桥平衡是,三个桥臂电阻分别为R1=100Ω,R2=50Ω,RN=25Ω。电路如图所示。求电阻Rx。

点击查看答案
本题答案:
试题答案
11、问答题 叙述直接测量、间接测量、组合测量的特点,并各举一两个测量实例。
点击查看答案
本题答案:直接测量:它是指直接从测量仪表的读数获取被测量量值的方法。如
本题解析:试题答案直接测量:它是指直接从测量仪表的读数获取被测量量值的方法。如:用电压表测量电阻两端的电压,用电流表测量电阻中的电流。
间接测量:利用直接测量的量与被测量之间的函数关系,间接得到被测量量值的测量方法。如:用伏安法测量电阻消耗的直流功率P,可以通过直接测量电压U,电流I,而后根据函数关系P=UI,经过计算,间接获得电阻消耗的功耗P;用伏安法测量电阻。
组合测量:当某项测量结果需用多个参数表达时,可通过改变测试条件进行多次测量,根据测量量与参数间的函数关系列出方程组并求解,进而得到未知量,这种测量方法称为组合测量。例如,电阻器电阻温度系数的测量。
12、问答题 简述通过电路进行屏蔽抑制电磁场干扰方法原理。
点击查看答案
本题答案:
试题答案
抑制电磁场干扰的最有效的方法是对电路进行屏蔽.如下图所示,干扰源A和受扰B在没有屏蔽的情况下,电场电容设为C1,加上接地的金属屏蔽板后,它们之间的场电容变成C2.屏蔽板增大,C2变小,从而抑制了电场干扰.C3、C4是寄生电容,C4对干扰电流有分流作用.
13、单项选择题 下列各项中不属于国际单位的是()。
A.坎德拉(cd)
B.开尔文(K)
C.摩尔(mol)
D.千米(km)
点击查看答案
本题答案:D
本题解析:暂无解析
14、问答题 智能仪器的结构特点是什么?
点击查看答案
本题答案:智能仪器是将人工智能的理论、方法和技术应用于仪器,使其
本题解析:试题答案智能仪器是将人工智能的理论、方法和技术应用于仪器,使其具有类似人智能特性或功能的仪器。目前,人们习惯把内含微型计算机和GPIB接口的仪器称为智能仪器。为了实现智能化的特性或功能,智能仪器中一般都使用嵌入微处理器的系统芯片(SOC)、或数字信号处理器(DSP)及专用电路(ASIC),仪内部带有处理能力很强的智能软件。但通属于专用型计算机,相应的测试软件也相对固定。
15、问答题 说明电压调整电路怎样调节“辉度”、“聚焦”和“辅助聚焦”。
点击查看答案
本题答案:调节栅极G1的电位可控制射向荧光屏的电子流密度,从而改
本题解析:试题答案调节栅极G1的电位可控制射向荧光屏的电子流密度,从而改变荧光屏亮点的辉度。调节栅极A1的电位可控制电场对电子的作用力的大小,实现聚焦调节。
调节栅极A2的电位可改变A2与A1的相对电位,控制电场对电子的作用力的大小,实现辅助聚焦调节。
16、单项选择题 电子计数器的测量精度主要由()的精度决定。
A.闸门
B.显示电路
C.输入通道
D.晶体振荡器
点击查看答案
本题答案:D
本题解析:暂无解析
17、问答题 虚拟仪器的设计主要包括哪些内容的设计?一般有几个步骤?
点击查看答案
本题答案:仪器驱动器设计和虚拟仪器面板设计。一般的步骤为:(1)
本题解析:试题答案仪器驱动器设计和虚拟仪器面板设计。一般的步骤为:(1)动能分析和描述(2)虚拟仪器的硬件选择(3)仪器驱动器外部接口设计(4)仪器驱动器内部设计包括前面板设计、流程图设计(5)运行调试程序。
18、问答题 基本锁相环有哪几个基本组成部分?各起什么作用?为什么可以把锁相环看成是一个输入频率为中心的窄带滤波器?
点击查看答案
本题答案:(1)基本锁相环由监相器(PD)、环路低通滤波器(LPF)和
本题解析:试题答案(1)基本锁相环由监相器(PD)、环路低通滤波器(LPF)和电压控制振荡器(VCO)三部分组成。
(2)PD的作用:将输出信号中的一部分反馈回来与输入信号通过监相器进行相位比较。
LPF的作用:过滤掉误差电压中的误差。VCO的作用:使其振荡频率向其输入频率逐渐靠拢、直至锁定。
(3)由基本锁相环的组成及其各部分的作用可知锁相环具有滤波作用,其通频带很窄,且其中心频率锁定在输入频率,所以锁相环可以看成以输入频率为中心频率的窄带滤波器。
19、问答题 解释偏差式、零位式和微差式测量法的含义,并列举测量实例。
点击查看答案
本题答案:偏差式测量法:在测量过程中,用仪器仪表指针的位移(偏差
本题解析:试题答案偏差式测量法:在测量过程中,用仪器仪表指针的位移(偏差)表示被测量大小的测量方法,称为偏差式测量法。例如使用万用表测量电压、电流等。
零位式测量法:测量时用被测量与标准量相比较,用零示器指示被测量与标准量相等(平衡),从而获得被测量从而获得被测量。如利用惠斯登电桥测量电阻。
微差式测量法:通过测量待测量与基准量之差来得到待测量量值。如用微差法测量直流稳压源的稳定度。
20、填空题 随机误差的特点主要有三个:()、对称性和抵偿性。
点击查看答案
本题答案:有界性
本题解析:试题答案有界性
21、问答题 画出电动单元组合仪表构成的简单控制系统图.
点击查看答案
本题答案:
试题答案
22、问答题 示波器中探头的作用主要有哪些?
点击查看答案
本题答案:探头作用:便于直接在被测源上探测信号和提高示波器的输入阻抗,
本题解析:试题答案探头作用:便于直接在被测源上探测信号和提高示波器的输入阻抗,从而展宽示波器的实际使用频带。
23、名词解释 脉冲过冲
点击查看答案
本题答案:包括上冲和下冲。上冲指上升边超过顶值Um以上所呈现的突出部分
本题解析:试题答案包括上冲和下冲。上冲指上升边超过顶值Um以上所呈现的突出部分,下冲是指下降边超过底值以下所呈现的向下突出部分.
24、单项选择题 下列方法中,不能减小量化误差的是()。
A.测频时使用较高的标准频率
B.测周时使用较高的时标
C.采用多周期测量的方法
D.采用平均法
点击查看答案
本题答案:D
本题解析:暂无解析
25、问答题 按照有效数字的运算法则,计算下列各结果:
点击查看答案
本题答案:①1.0713×3.2=3.42
②1.0713
本题解析:试题答案①1.0713×3.2=3.42
②1.0713×3.20=3.43
⑧40.313×4.52=182.2
④51.4×3.7=190
⑤56.09+4.6532=60.74
⑥70.4-0.453=70.0
26、问答题 简述电场偏转式CRT中波形显示的原理。
点击查看答案
本题答案:典型的示波器利用阴极射线示波管CRT作为显示器,CRT是示波
本题解析:试题答案典型的示波器利用阴极射线示波管CRT作为显示器,CRT是示波器的重要组成部分,其作用就是把电信号转换为光信号而加以显示。其构造与电视机显像管相同,主要由电子枪、偏转系统和荧光屏三大部分组成,三大部分均封装在密闭呈真空的玻璃壳内。CRT显示器在专用显示处理器控制下,对显示VRAM刷新,显示与波形对应的各像素。
27、填空题 示波器的“聚焦”旋钮具有调节示波器中()极与()极之间电压的作用。
点击查看答案
本题答案:第一阳(或A1) ; 第二阳(或A2, 或G2);
本题解析:试题答案第一阳(或A1) ; 第二阳(或A2, 或G2);
28、填空题 触发误差是由触发电平设置不当与()共同引起的,它与信噪比成反比;信噪比越大,触发误差就越小。
点击查看答案
本题答案:被测信号中的干扰(噪声)
本题解析:试题答案被测信号中的干扰(噪声)
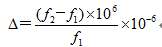
29、名词解释 负载变化引起的频率变动量
点击查看答案
本题答案:负载电阻从开路变化到额定值时所引起的相对频率变化,表示
本题解析:试题答案负载电阻从开路变化到额定值时所引起的相对频率变化,表示为:x•10-6,即
式中f1为空载时的输出频率,f2为额定负载时的输出频率。
30、填空题 根据测量误差的性质和特点,可将误差分为()、()和粗大误差。
点击查看答案
本题答案:随机误差;系统误差
本题解析:试题答案随机误差;系统误差
点击进入《★动力与电气工程》题库
点击进入《动力与电气工程:电子测量》考试资料、试题下载,试卷在线测试