岩土工程基础知识:工程经济微信做题(每日一练)

时间:2025-10-02 02:11:44

微信搜索关注"91考试网"公众号,领30元,获取事业编教师公务员等考试资料40G
点击进入《★岩土工程基础知识》题库
点击进入《岩土工程基础知识:工程经济》考试资料下载,在线测试

1、单项选择题  (2011)某企业年初投资5000万元,拟10年内等额回收本利,若基准收益率为8%,则每年年末应回收的资金是:()

A.540.00万元
B.1079.46万元
C.745.15万元
D.345.15万元


点击查看答案


2、多项选择题  属于现金流入的项目有()。

A.产品销售收入
B.回收固定资产余值
C.回收流动资金
D.应收账款
E.折旧


点击查看答案


3、问答题  李先生参加基金投资,投资总期限为10年,第一年末投资10万元,第二年比第一年增加投资2万元,基金年投资回报率8%,则十年末共可得本利多少?已知(F/A,8%,10)=14.4866,(F/G,8%,10)=56.082


点击查看答案


4、单项选择题  (2009)某项目建设期3年,共贷款1000万元,第一年贷款200万元,第二年贷款500万元,第三年贷款300万元,贷款在各年内均衡发生,贷款年利率为7%,建设期内不支付利息,建设期利息为:()

A.98.00万元
B.101.22万元
C.138.46万元
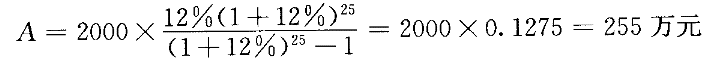
D.62.33万元


点击查看答案


5、单项选择题  两个计算期不等的互斥方案比较,可直接采用的方法是:()

A.净现值法
B.内部收益率法
C.差额内部收益率法
D.年值法


点击查看答案


6、单项选择题  下面属于变动成本的是:()

A.折旧费
B.无形资产摊销费
C.管理费
D.包装费


点击查看答案


7、单项选择题  两个初始投资相同、寿命期相同的投资方案,下列说法中正确的是:()

A.NPV1=NPV2,则IRR1=IRR2
B.NPV1>NPV2,则IRR1>IRR2
C.NPV1>NPV2,则IRR12
D.NPV1>NPV2≥0,则方案1较优


点击查看答案


8、问答题  设社会无风险投资收益率为3%(长期国债利率),市场投资组合预期收益率为12%,某项目的投资风险系数为1.2,采用资本资产定价模型计算普通股资金成本。


点击查看答案


9、单项选择题  建设投资的全部组成包括:()

A.建筑安装工程费、预备费、流动资金
B.工程费用、建设期利息、预备费
C.工程费用、工程建设其他费用、预备费
D.建筑工程费、设备购置费、安装工程费


点击查看答案


10、单项选择题  生产性项目总投资包括铺底流动资金和:()

A.设备工器具投资
B.建筑安装工程投资
C.流动资金
D.建设投资


点击查看答案


11、单项选择题  为了判断某种因素对财务或经济评价指标的影响,敏感性分析采取的分析方法是:()

A.对不同评价指标进行比较
B.考察不确定性因素的变化导致评价指标的变化幅度
C.考察盈亏平衡点的变化对评价指标的影响
D.计算不确定因素变动的概率分布并分析对方案的影响


点击查看答案


12、单项选择题  下列可以提高产品价值的是:()

A.功能不变,提高成本
B.成本不变,降低功能
C.成本增加一些,功能有很大提高
D.功能很大降低,成本降低一些


点击查看答案


13、单项选择题  某房产公司的一个项目,一次性的初始投资为20万元,第一年的净现金流量为2万元,以后每年递增8000元,估计项目的寿命期为10年,则该项目的静态投资回收期为()。

A.5.5年
B.7.14年
C.5.67年
D.5.33年


点击查看答案


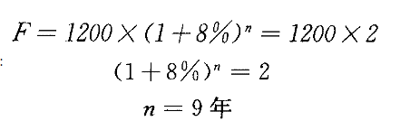
14、问答题  某人有1200元现金,有一投资机会年投资报酬率为8%,经过多少年才可使现有货币增加1倍?


点击查看答案


15、单项选择题  某地区为减少水灾损失,拟建水利工程。项目投资预计500万元,计算期按无限年考虑,年维护费20万元。项目建设前每年平均损失300万元。若利率5%,则该项目的费用效益比为:()

A.6.11
B.6.67
C.7.11
D.7.22


点击查看答案


16、问答题  本金1000元,投资5年,年利率8%,每季度复利一次,计算第五年末终值F和利息I。


点击查看答案


17、单项选择题  财务生存能力分析中,财务生存的必要条件是:()

A.拥有足够的经营净现金流量
B.各年累计盈余资金不出现负值
C.适度的资产负债率
D.项目资本金净利润率高于同行业的净利润率参考值


点击查看答案


18、单项选择题  (2010)某项目建设工期为两年,第一年投资200万元,第二年投资300万元,投产后每年净现金流量为150万元,项目计算期为10年,基准收益率10%,则此项目的财务净现值为:()

A.331.97万元
B.188.63万元
C.171.18万元
D.231.60万元


点击查看答案


19、单项选择题  某房地产抵押贷款的条件是每月偿还借款额的1.5%作为利息,则借款者分担的名义利率和实际利率为()。

A.18%18%
B.19.56%18%
C.18%20.56%
D.18%19.56%


点击查看答案


20、单项选择题  某IT公司职工在三湘世纪花城购买了一套三室二厅的住宅。建筑面积150m2,单价6800元/m2,首付20%。余额在光大银行进行按揭贷款,利率为6%,分5年等额偿还。则每年的偿还额为()万元。已知(A/P,6%,5)=0.2374()

A.20.4
B.24.17
C.16.32
D.19.37


点击查看答案


21、单项选择题  从经济资源配置的角度判断建设项目可以被接受的条件是:()

A.财务净现值等于或大于零
B.经济内部收益率等于或小于社会折现率
C.财务内部收益率等于或大于基准收益率
D.经济净现值等于或大于零


点击查看答案


22、单项选择题  某企业去年利润总额300万元,上缴所得税75万元,在成本中列支的利息100万元,折旧和摊销费30万元,还本金额120万元,该企业去年的偿债备付率为:()

A.1.34
B.1.55
C.1.61
D.2.02


点击查看答案


23、单项选择题  (2010)某公司拟向银行贷款100万元,贷款期为3年,甲银行的贷款利率为6%(按季计息),乙银行的贷款利率为7%,该公司向哪家银行贷款付出的利息较少:()

A.甲银行
B.乙银行
C.两家银行的利息相等
D.不能确定


点击查看答案


24、问答题  某房产公司向银行抵押贷款2000万元,年利率12%,25年内分期偿还,每年年末还本付息多少?


点击查看答案


25、单项选择题  全投资财务现金流量表中不包括:()

A.销售收入
B.贷款成本
C.经营成本
D.资产回收


点击查看答案


26、单项选择题  销售收入的决定因素不包括:()

A.生产负荷
B.销售价格
C.销售量
D.所得税


点击查看答案


27、单项选择题  某小区建设一块绿地,需一次性投资20万元,每年维护费用5万元,设基准折现率10%,绿地使用10年,则费用年值为:()

A.4.750万元
B.5万元
C.7.250万元
D.8.255万元


点击查看答案


28、单项选择题  (2008)下面不属于工程建设其他投资的是:()

A.土地使用费
B.与项目建设有关的其他费用
C.预备费
D.联合试运转费


点击查看答案


29、单项选择题  在建设项目总投资中,以下应计入固定资产原值的是:()

A.建设期利息
B.外购专利权
C.土地使用权
D.开办费


点击查看答案


30、多项选择题  财务评价是工程经济分析的核心内容,其目的在于确保决策的正确性和科学性,下列()是财务评价的方法。()

A.确定性评价方法
B.不确定性评价方法
C.静态评价方法
D.动态评价方法
E.定量分析方法


点击查看答案


点击进入《★岩土工程基础知识》题库
点击进入《岩土工程基础知识:工程经济》考试资料、试题下载,试卷在线测试

微信搜索关注"91考试网"公众号,领30元,获取公务员事业编教师考试资料40G
【省市县地区导航】【考试题库导航】

电脑版  |  手机版  |  返回顶部