时间:2025-07-09 02:16:52
1、问答题 计算题:叙述滑移法竖立桅杆的基本方法,并画出示意图及标出所用吊索机具的名称?
2、单项选择题 圆柱齿轮油温应小于()。
	A.50℃
	B.60℃
	C.80℃
	D.100℃
3、单项选择题 汽车式起重机动臂方位与其稳定性有关,稳定性最大动臂应处于()。
	A.侧方
	B.前方
	C.后方
	D.任意方向
4、单项选择题 用托排搬运设备时,设备重心位置应放在排子中心()位置,以便放入滚杠。
	A、稍前
	B、正中
	C、稍后
	D、任意
5、单项选择题 一般履带式、轮胎式起重机的侧向静态稳定力矩,只有正向稳定力矩的()。
	A、60%~70%
	B、70%~75%
	C、70%~80%
	D、80%~90%
6、单项选择题 在中途转运,如转运地无大型起重机时,或火车站、码头、建设工地的大型起重机不能满足重型设备装卸车的需要时,可用()。
	A、滑移法装卸车
	B、龙门架或桅杆装卸车
	C、滚移法装卸车
7、单项选择题 简支梁全梁受均布力的作用,最大挠度发生在()。
	A.两端
	B.中点
	C.左端
	D.右端
8、单项选择题 ()是吊装工程技术管理中极其重要的内容,是指导大型构件和设备吊装施工的重要技术文件。
	A、起重机起重性能表
	B、进度计划
	C、吊装方案
	D、平面布置图
9、判断题 桥式起重机在起吊满负荷时,必须用1档起车。
10、问答题 简述烟流发生熏烟型污染的过程。
11、单项选择题 当吊装的整体网架结构高度超过安装就位的高度时()。
	A、调整方位
	B、整体网架移位
	C、停止起吊
	D、整体网架转向
12、单项选择题 当滑轮槽壁磨损达原厚度的()时,应予更换。
	A.10%
	B.5%
	C.15%
	D.20%
13、单项选择题 全地面起重机具有越野性能好、行驶速度高、可进行()回转作业、在平坦坚实的地面可不用支腿进行吊装作业以及带载荷行驶等优点。
	A、90°
	B、150°
	C、180°
	D、360°
14、单项选择题 当塔架到达()时,调整防后仰控制索具,以防止塔架后仰。
	A、30°
	B、相应角度
	C、自转角
	D、旋转角度
15、单项选择题 用手工竖立桅杆,当桅杆轴线与地面夹角最大不应超过()度时,即可利用桅杆上的缆风绳将桅杆竖直。
	A、40~50
	B、50~60
	C、60~70
	D、70~80
16、单项选择题 孔的下偏差大于轴的上偏差的配合,叫做()配合。
	A.过盈
	B.过渡
	C.间隙
	D.普通
17、单项选择题 近几十年来,起重机在结构设计广泛采用()。
	A.角钢结构
	B.圆形结构
	C.三角形结构
	D.箱形结构与钢管结构
18、单项选择题 低碳钢构件,在验算强度时,其许用应力的介定范围应在()。
	A.强度极限以下
	B.屈服极限以下
	C.弹性极限以下
	D.比例极限
19、填空题 PDCA循环法是全面质量管理必须采用的工作方法之一,是一种()的科学管理方法。
20、单项选择题 一般滚杠运50t以下的设备使用()。
	A、钢排
	B、木排
	C、铜排
	D、竹排
21、单项选择题 卷扬机卷筒直径D和钢丝绳直径d要求为()。
	A、D=16~25
	B、D=16d
	C、D﹤16d
	D、D=60d
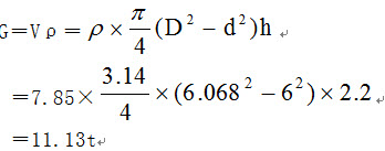
22、问答题
	计算题:如图所示,求空心圆柱质量?(ρ=7.85t/m3)
	已知:D=6.068md=6.000mh=2.200m
23、单项选择题 般情况下,重型机械设备安装在标高为()的位置。
	A、±1
	B、1
	C、±0
	D、0
24、单项选择题 ()编制用人计划。
	A、用人单位
	B、培训机构
	C、鉴定中心
	D、劳动局
25、单项选择题 通过液压油缸的作用力使制动器进行制动的制动器称为()制动器。
	A、带式
	B、电磁式
	C、块式
	D、液压式
26、单项选择题 [TW]钢丝绳做绑扎的钢丝绳时,安全系数K取()。
	A、≥3.5
	B、≥5
	C、≥6
	D、≥8
27、单项选择题 起重用6*37钢丝绳按抗拉强度等级分为()。
	A、8
	B、7
	C、5
	D、4
28、单项选择题 公路立交桥现行标准规定的上部净空高度为:高速公路和一般一、二级公路为()。
	A、4.5m
	B、5.Om
	C、6m
	D、7.5m
29、单项选择题 当杆件处于平衡状态时,内力和外力的大小()。
	A.相等
	B.不等
	C.内力大于外力
	D.外力大于内力
30、单项选择题 卷扬机卷筒直径D和钢丝绳直径d要求为()。
	A、D=16~25
	B、D=16d
	C、D﹤16d
	D、D=60d