时间:2024-11-08 02:15:16


1、填空题 目前,网络计算模式主要有两种:以()为中心的计算模式和以()为中心的客户机/服务器的计算模式。
2、问答题
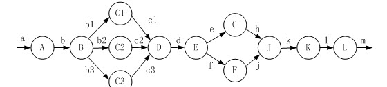
选用“事务分析”,由下面的数据流程图导出控制结构图。

3、多项选择题 备检查的方法一般有()。
A、设备开箱检查
B、设备专业检查
C、设备完好检查
D、设备功能检查
E、单机无负荷试车或联动试车
4、单项选择题 软件项目的进度管理有许多种方法,在几种进度控制方法中,()难以表达多个子任务之间的逻辑关系。
A.甘特图
B.IPO
C.PERT
D.时标网状图
5、单项选择题 以下哪种技术是采用光缆的快速以太网技术?()
A、100BASE-TX
B、100BASE-FX
C、100BASE-T4
D、100BASE-SX
6、单项选择题 下面哪种访问控制模式需要对客体进行定义和分类?()
A、基于角色的访问控制
B、自主访问控制
C、基于身份的访问控制
D、强制访问控制
7、问答题
某企业物资管理系统中的维修用材料计划信息一览表如下,把它化为符合3NF的关系,每个关系中的的关键字用下划线标出。
部门编码+部门名称+材料编码+材料名称+型号+规格+计量单位+维修用
8、单项选择题 在UML中,对象行为是通过交互来实现的,是对象间完成某一目的而进行的一系列消息交换。消息序列可用两种图来表示,强调参加交互的对象的组织图称为()。
A.协作图
B.序列图
C.活动图
D.状态图
9、单项选择题 下列关于面向对象的分析与设计的描述,正确的是()。
A.面向对象设计描述软件要做什么
C.面向对象分析不需要考虑技术和实现层面的细节
C.面向对象分析的输入是面向对象设计的结果
D.面向对象设计的结果是简单的分析模型
10、单项选择题 设有关系Students(学号,姓名,年龄,性别,系别,家庭住址),其中,属性“系名”是关系DESP的主键,用户要求访问“家庭地址”的某个成分,如邮编、省、市、街道以及门牌号。关系Students的主键和外键分别是()
A.学号、家庭地址
B.姓名、系别
C.学号、系别
D.姓名、家庭地址
11、单项选择题 计算机网络系统是分层次实现的,()的功能为分组的传送提供物理通道。
A.低层协议
B.高层协议
C.应用层协议
D.传输层协议
12、问答题 在进行网络设备配置时主要考虑哪些因素?
13、问答题 如何理解管理信息系统既是一个技术系统,又是一个社会技术系统。
14、单项选择题
在一个客户信息系统中存在两种类型的客户:个人客户和集团客户。对于个人客户,系统中保存其客户标识和基本信息(包括姓名、住宅电话和E-mail);对于集团客户,系统中保存了其客户标识及与该集团客户相关的若干个联系人的信息(联系人的信息包括姓名、住宅电话、E-mail、办公电话和职位),其UML类图如下,则其中类“客户”的属性有()。

A.客户标识
B.姓名、住宅电话、E-mail
C.客户标训、办公电话、职位
D.姓名、住宅电话、办公电话、E-mail、职位
15、问答题 分析U/C矩阵进行功能/数据交互分析的基本思想?
16、单项选择题 面合法的IP地址是()。
A.202:144:300:65
B.202.112.144.70
C.202,122,144,70
D.202.112.70
17、单项选择题 在系统生命周期的各阶段中,花费费用和人力投入最多的阶段是()。
A.分析与设计
B.编制程序
C.测试程序
D.系统维护
18、单项选择题
系统开发过程的流程如下图所示,()阶段拟定了系统的目标、范围和要求。

A.①
B.②
C.③
D.④
19、填空题 信息系统开发的步骤是:在系统规划后,循进行()、()、()、()工作。
20、单项选择题 我国信息安全管理体系的认证标准等同于以下哪个标准?()
A、BS7799-1
B、ISO/IEC17799
C、GB17859
D、ISO27001:2005
21、单项选择题 在使用UML建模时,可以使用()来反映随着时间推移若干个对象之间的动态协作关系,它强调对象之间消息发送的时间和顺序。
A.协作图
B.序列图
C.活动图
D.状态图
22、填空题 诺兰模型指明,信息系统发展过程中的六种增长要素是计算机硬软资()、计划控制()、领导模式和()。
23、问答题 为什么要制定信息系统的战略规划?
24、填空题 常用的网络操作系统有NetWare,(),OS/2,()。
25、单项选择题 网桥是在()实现互连的设备。
A.网络层
B.数据链路层
C.物理层
D.传输层
26、填空题 SNMP建立在以TCP/IP传输层的()协议之上,提供的是不可靠的无连接服务,它不保证每个管理流无差错地收到,但无连接的UDP服务却保证了信息的快速传递和减轻网络负载。
27、单项选择题 在数据库设计的()阶段开始考虑具体的数据库管理系统(DBMS)的特性。
A.需求分析
B.概念设计
C.逻辑设计
D.物理设计
28、问答题 如何画出信息系统流程图?需要注意哪些问题?
29、填空题 信息具有事实()、()、等级性、变换性和()等性质。
30、单项选择题 系统分析工作的全面总结和主要成果是()。
A.可行性研究报告
B.数据词典
C.系统说明书
D.系统详细调查报告
31、填空题 广义的理解是任何信息系统都有生命周期,包括()、系统分析、()、系统实施和()五个不断循环的阶段。
32、单项选择题 信息系统开发的结构化方法的一个主要原则是()。
A.自顶向下原则
B.自底向上原则
C.分步实施原则
D.重点突破原则
33、问答题
绘图题:下图已给出某单位工资处理的一级数据流图,将其改成方框图形式,并试着绘制二级数据流图。

34、单项选择题 下面哪个不是常用的路由协议?()
A、OSPF
B、RIP
C、OBD
D、BGP-4
35、单项选择题 下面哪一项不是系统设计阶段的主要活动()。
A.系统总体设计
B.系统硬件设计
C.系统详细设计
D.编写系统实施计划
36、单项选择题 在状态图中不能表示下面那些概念?()
A.动作(action)
B.事件(event)
C.转移(transition)
D.类(class)
37、填空题 信息系统可行性应该包括必要性和可能性两个方面,信息系统项目建设的可能性主要从技术、()、社会意义等三个方面去分析。
38、问答题 绘图题:车间填写领料单给仓库要求领料,库长根据用料计划审批领料单,未批准的退回车间,已批准的领料单送到仓库保管员处,由他查阅库存帐。若帐上有货则通知车间前来领料,否则将缺货通知采购人员。绘制系统数据流图。
39、单项选择题 软件文档是信息系统()的重要依据。
A.可理解性
B.可维护性
C.可扩展性
D.可移植性
40、单项选择题 生命周期法的特点之一是()。
A.整个系统的开发工作是非劳动密集型的
B.系统开发时间短
C.对用户需求的变更能做出迅速响应
D.适合大型复杂系统
41、填空题 ()体制的优点是保密性决定于密钥的随机性,如果密钥是真正的随机数,在理论上是不可破的,但所需密钥量大得惊人,实际上很难满足。定于密钥的随机性,如果密钥是真正的随机数,在理论上是不可破的,但所需密钥量大得惊人,实际上很难满足
42、问答题 说明原型法的工作流程。
43、问答题 请简述使用生命周期法的条件。
44、单项选择题 www.edu.cn是一台计算机上的()。
A.域名
B.IP地址
C.命令
D.协议名称
45、问答题 常用的输入设备有哪些以及选择时应考虑哪些因素?
46、单项选择题 SOA的可重用,可组合特性,类似于四大发明中的()。
A、火药
B、指南针
C、造纸术
D、活字印刷
47、单项选择题 判断表由以下几方面内容组成()。
A.条件、决策规则和应采取的行动
B.决策问题、决策规则、判断方法
C.环境描述、判断方法、判断规则
D.方案序号、判断规则
48、多项选择题 防火墙的体系结构有多种多样,目前,最主要的体系结构主要包括以下几种,它们是()
A、屏蔽路由器
B、高性能交换机
C、双宿主主机
D、被屏蔽主机
E、DMZ区域
F、被屏蔽子网
49、单项选择题 数据库的逻辑结构设计是将()。
A.逻辑模型转换成数据模型
B.数据模型转换成物理模型
C.概念数据模型转换为数据模型
D.逻辑模型转换为物理模型
50、填空题 网络系统集成是在达到()目标,满足用户需求的前提下,优选先进的技术和产品,完成系统软、硬件配置的实施过程。
51、问答题 用业务流程图描述一个你熟悉的业务流程。
52、填空题 ()是一个共享公共目录服务数据库的计算机及用户的集合。
53、问答题 根据以下业务过程画出领料业务流程图:车间填写领料单给仓库要求领料,库长根据用料计划审批领料单,未批准的退回车间,已批准的领料单被送到仓库保管员处,由他查阅库存帐。若帐上有货则通知车间前来领料,否则将缺货通知采购人员。
54、单项选择题 面向对象的主要特征是封装性、继承性和()。
A.一致性
B.完整性
C.多态性
D.可移植性
55、问答题 调查研究的目的是什么?如何保证调查研究的准确全面?
56、填空题 选择网络拓扑结构应遵循()、()和()等原则。
57、填空题 ()的根据是对所签的名要能核实、不能抵赖、不能伪造,如同亲笔签名一样,能证明其真实性。
58、问答题 在系统开发过程中,设计的代码有多种类型,试述我国身份证号中代码的意义,它属于哪种代码?
59、问答题 绘图题:某工厂成品库管理的业务过程如下:成品库保管员按车间送来的入库单登记库存台帐。发货时,发货员根据销售科送来的发货通知单将成品出库,并发货,同时填写三份出库单,其中一份交给成品库保管员,由他按此出库单登记库存台帐,出库单的另外两联分别送销售科和会计科。试按此业务过程画出业务流程图。
60、单项选择题 从社会经济发展的角度来看,信息化是指()。
A.计算机和网络的应用规模与效益不断增长的过程
B.社会上进行交换的信息量不断增长的过程
C.计算机硬件产业、软件产业、信息服务产业不断发展的过程
D.人们的信息活动的规模不断扩大以致在国民经济中起主导作用的过程
61、填空题 网络系统集成普遍采用三种方法:()进行、()进行和选择()进行。
62、问答题 绘图题:某工厂对工人超产奖励的政策为:该厂生产两种产品A和B。凡工人每月的实际生产量超过计划指标者均有奖励。奖励政策为:对于产品A的生产者:超产数N小于或等于50件时,每超产一件奖励1元;超产数N大于50件、小于100件时,大于50的部分每件奖励1.25元,其余每件奖励1元;超产数大于100件时,超过100的部分每件奖励1.5元,其余按超产100件以内的方案处理。对于B产品的生产者,超产数N小于25件时,每超产一件奖励2元,N大于25、小于或等于50件时,超过25件的部分每件奖励2.5元,其余按超产25件以内处理;N大于50件者,超过件部分每件奖励3元,其余按超产50件以内处理。绘制决策树。
63、单项选择题 下面说法不正确的是()。
A.一个主机域名唯一地对应着一个IP地址
B.一个D地址对应着若干个域名
C.从域名到IP地址的解桥由地址转换协议ARP完成
D.从域名到IP地址的解历由城名服务器完成
64、填空题 对于确定的信息系统项目,要明确其目标,并对目标进行()和()。
65、单项选择题 结构化生命周期法的主要缺点之一是()。
A.系统开发周期长
B.缺乏标准、规范
C.用户参与程度低
D.主要工作集中在实施阶段
66、填空题 信息系统总体设计的原则有(任写两条)()原则和()原则。
67、单项选择题 数据存贮设计则根据数据资源分布具体确定了数据存贮的()。
A.逻辑方式
B.物理方式
68、单项选择题 信息系统建设的结构化方法中用户必须参与的原则是用户必须参与()。
A.系统建设中各阶段工作
B.系统分析工作
C.系统设计工作
D.系统实施工作
69、单项选择题 在互联网的传输层中提供高效但不可靠的服务的协议是()。
A.传输控制协议TCP
B.互联网控制报文协议ICMP
C.文件传输协议FTP
D.用户数据报协议UDP
70、单项选择题 代码结构中设置检验位是为了保证()。
A.计算机内部运算不出错
B.代码的合理性
C.代码输入的正确性
D.代码的稳定性
71、单项选择题 系统测试中应遵循的一条原则是:测试工作应该由以下人员来承担()。
A.原程序作者
B.专门的测试人员
C.系统设计人员
D.用户
72、单项选择题 系统开发的主要方法有生命周期法、原型化方法、计算机辅助软件工程方法和()。
A.自顶向下法
B.由底向上法
C.模块法案
D.面向对象方法
73、填空题 信息系统的经济效益可分为三大类:一类是(),一类是()和()。
74、单项选择题 应用代理防火墙检查的对象有()
A、IP、TCP包头
B、七层数据
C、连接状态表
D、上述全部
75、单项选择题 在使用UML建模时,可以使用()来反映若干个对象之间的动态合作关系,它除显示信息交换外,还显示对象以及它们之间的关系。
A.协作图
B.序列图
C.活动图
D.状态图
76、单项选择题 在关系规范化过程中,一般来讲,满足()的关系即可满足信息处理的要求,就可以认为是比较规范的关系。
A.第一范式
B.第二范式
C.第三范式
D.BC范式
77、问答题 制定战略规划的具体步骤是什么?
78、问答题 诺兰模型分哪几个阶段?了解诺兰模型的意义是什么?
79、填空题 系统分析的主要活动有:()、()研究、系统详细调查研究和新系统逻辑方案的提出。
80、填空题 信息系统需求分为()需求和()需求两类。
81、填空题 在系统分析中可行性研究一般包括对系统的()可行性、()可行性和()可行性进行调查研究。
82、问答题 结构化系统设计有哪些优点?
83、问答题 请绘制生命周期法的工作流程图。
84、问答题 由E-R图向关系模型转换时,应遵循哪些主要原则?
85、问答题 数据存贮结构是如何确定的?
86、问答题 简述模块层次图(H图)与系统结构图(控制结构图)的关系。
87、单项选择题 在互联网的传输层中提供面向连接的可靠的服务的协议是()。
A.传输控制协议TCP
B.互联网控制报文协议ICMP
C.用户数据报协议UDP
D.文件传输协议FTP
88、问答题
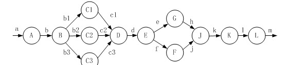
适当选用“变换分析”或“事务分析”,由下面的数据流程图导出控制结构图。

89、单项选择题 设有关系Students(学号,姓名,年龄,性别,系别,家庭住址),用户要求访问“家庭地址”的某个成分,如邮编、省、市、街道以及门牌号,则“家庭地址”是一个()属性。
A.简单
B.复合
C.多值
D.派生
90、填空题 选择网络服务器时应分析的指标包括()、()、高速传输总线、磁盘接口和系统()。
91、单项选择题 顺序码的特点是()。
A.码很长
B.短而简单
C.容易记忆
D.由一定逻辑性
92、单项选择题 MIS规划的主要内容是()。
A.MIS战略规划,组织信息需求分析,系统目标
B.组织信息需求分析,系统目标,资源分配
C.MIS战略规划,资源分配,系统目标
D.MIS战略规划,组织信息需要分析,资源分配
93、问答题 信息系统的战略规划涉及的主要内容是哪些?
94、填空题 在得到企业过程分解系统的过程中,需要根据企业目标为()、()以及()这三方面来识别业务过程。
95、问答题 说明数据、信息与知识之间的相互关系,它们在管理上有什么不同?
96、问答题 信息系统对企业管理的影响是什么?
97、问答题 总体数据库设计的原则及主要内容是什么?
98、问答题 如何进行可行性分析?
99、问答题 可行性分析报告的框架主要包含哪些方面?
100、单项选择题 信息系统流程图是以新系统的()为基础绘制的。
A.E-R图
B.管理功能图
C.业务流程图
D.数据流程图
101、填空题 代码加密的主要方法有代替密码、转换密码、序列密码、()密码、()算法、()算法。
102、单项选择题 业务流程的定义是()。
A、由一系列相互关联的任务所组成,实现一个具体的业务功能。一个流程可以由一系列服务来实现
B、一组业务动作
C、一个项目过程
D、一个业务活动
103、问答题 组织的信息需求有哪些层次?应该如何选择信息系统建设的突破口?
104、问答题 某银行储蓄所存(取)款过程如下:储户将填好的存(取)单及存折送交分类处理处。分类处理处按三种不同情况分别处理。如果存折不符或存(取)单不合格,则将存折及存(取)单直接退还储户重新填写;如果是存款,则将存折及存款单送交存款处处理。存款处理处取出底帐登记后,将存折退还给储户;如果是取款,则将存折及取款单送交取款处,改服务台取出底帐及现金,记帐后将存折与现金退给储户。从而完成存(取)款处理过程。试按此画出数据流程图。
105、单项选择题 在系统设计过程中采用模块化结构,是为了满足()。
A.系统性的要求
B.灵活性的要求
C.可靠性的要求
D.经济性的要求
106、单项选择题 面向对象的特点主要概括为()。
A.可分解性、可组合性、可分类性
B.继承性、封装性、多态性
C.抽象性、继承性、封装性、多态性
D.封装性、易维护性、可扩展性、可重用性
107、单项选择题 异型网络是指()。
A.具有相同协议的网络
B.具有不同协议的网络
C.具有相同层次的网络
D.具有不同层次的网络
108、填空题 ()网把报文广播到每个节点,而交换式网则在节点之间沿指定路径发送报文。
109、单项选择题 以下关于防火墙功能描述不正确的是()。
A、防火墙系统能够提供地址转换功能
B、防火墙能够提供流量控制功能
C、防火墙能够提供路由功能
D、由于路由器具有ACL功能,因此可以用路由器的ACL功能替代防火墙的过滤功能
110、填空题 按照结构化程序设计的原则,所有的程序都可以由顺序结构、选择结构、()三种基本逻辑结构及其组合来实现。
111、单项选择题 关于模块间调用的规则哪一项是错误的()
A.下层模块可直接与同级模块进行通信
B.下层模块只有接到上级模块调用命令才能执行
C.上下级模块之间可直接通信
D.模块调用顺序自上而下
112、填空题 如果系统初步调查结果表明,拟开发项目有必要也有可能进行时,可向主管单位提出()建议书,需要进行()安排。
113、单项选择题 下列耦合性最弱的是()。
A.数据耦合
B.公共耦合
C.内容耦合
D.控制耦合
114、填空题 ()、()和()是人类社会发展的三大资源。
115、单项选择题 互联网的网络层采用的是无连接的()。
A.可靠数据报服务
B.不可靠数据报服务
C.可靠虚电路服务
D.不可靠虚电路服务
116、问答题 如何理解模块独立性?用什么指标来衡量模块独立性?
117、问答题 系统设计的原则是什么?
118、单项选择题 业务系统规划法(BSP)的核心是()
A.明确企业目标
B.定义(识别)业务过程
C.进行数据分析
D.确定信息结构
119、问答题 简述信息系统的发展过程。影响信息系统不断发展的因素有哪些?结合目前信息处理需求和信息技术的发展,说明信息系统今后的发展。
120、填空题 在WindowsNT域中的服务器有三种,()、()和()。
121、问答题 系统总体设计的任务是什么?
122、填空题 系统实施以()工作为基础,必须按系统设计的()进行。
123、单项选择题 信息系统对管理职能的支持,归根到底是对()的支持。
A.计划
B.组织
C.控制
D.决策
124、单项选择题 在UML提供的图中,()用于按时间顺序描述对象间的交互。
A.网络图
B.状态图
C.协作图
D.序列图
125、单项选择题 DSS解决的是()。
A.半结构化问题和非结构化问题
B.结构化问题和半结构化问题
C.非结构化问题
D.结构化问题
126、单项选择题 支持MIS的数据库系统的组成是()。
A.模式、子模式
B.数据库和数据库管理系统
C.应用程序
D.上述各条
127、单项选择题 施工现场质量管理检查记录表应由施工单位填写,()进行检查,并作出检查结论。
A、总工程师
B、项目经理
C、总监理工程师
D、监理工程师
128、单项选择题 在网络层对数据包(packet)进行存储转发并改变其格式,具有路径选择功能,可依据网络当前的拓扑结构选择一条“最佳”路径传送数据的设备是()。
A.路由服务器(Router)
B.域名服务器(DNS)
C.协议变换器(Gateway)
D.重复器(Repeater)
129、填空题 U/C矩阵的正确性检验包括完备性检验、()和()三种。
130、问答题 试述信息流与物流、资金流、事物流的关系。
131、单项选择题 在物理层上实现两个网络之间的互连,用于物理层以上各层协议完全相同的网络互连的设备是()。
A.域名服务器(DNS)
B.重复器(Repeater)
C.路由服务器(Router)
D.协议变换器(Gateway)
132、填空题 网络系统集成的目标分为两部分,即()目标和()目标。
133、单项选择题 在新产品开发机构重组中,以开发某一新产品为目标,组织集设计、工艺、生产、供应、检验人员为一体的承包组,打破部门的界限,实行团队管理,以及将设计、工艺、生产制造并行交叉的作业管理,这属于()。
A.功能内的BPR
B.组织间的BPR
C.功能间的BPR
D.功能内的BPR
134、问答题 如何确定数据资源的分布?
135、问答题 生命周期法的成功要素有哪些?
136、问答题 系统详细设计阶段包含哪些内容?
137、问答题 如何对信息系统开发方法进行分类?
138、问答题 HIPO图的主要内容是什么?
139、单项选择题 一般来说,占维护工作比例最高的是()。
A.纠错性维护
B.适应性维护
C.完善性维护
D.预防性维护
140、填空题 在模块设计中,最终通过修改设计,使每一模块执行单一的功能,提高模块的()组合,降低()的耦合。
141、单项选择题 ()适用于网络规模小(主机少)而网络数量大的情况。
A.A类地址
B.B类地址
C.C类地址
D.D类地址
142、问答题
绘图题:判断表、判断树
某航空公司规定,乘客可以免费托运重量不超过30公斤的行李。当行李重量超过30公斤时,对头等舱的国内乘客超重部分每公斤收费4元,对其他舱的国内乘客超重部分每公斤收费6元,对外国乘客超重部分每公斤收费比国内乘客多一倍。
(1)绘出原始决策表。(2)绘出优化后的决策树
143、填空题 ()体制,将明文分成定长比特的数据组,一次变换一组,当给定一个密钥后,分组密码算法总是把明文分组变换成同样长度的密文组,分组密码的一个重要优点是不需要同步,在分组交换网中应用广泛。
144、填空题 网络经费预算应包括()和()。
145、单项选择题 功能结模块聚合中,一个模块只执行一个功能的是()。
A.逻辑聚合
B.数据聚合
C.功能聚合
D.时间聚合
146、填空题 输入设计包括()设计和()设计。
147、填空题 信息系统开发方法按照时间过程可以分为()和()。
148、问答题 如何设计一个友好的用户界面?
149、填空题 系统分析处于系统开发生命周期的第二阶段,上接系统规划,下联接(),具有承上启下的作用。
150、填空题 常规密钥分配协议和利用公开密钥密码体制的密钥分配协议,都是通过()来完成会话密钥(或工作密钥)SK的分配。
151、单项选择题 系统设计阶段的主要成果是()。
A.用户的决策方针
B.用户的分析方案
C.系统设计说明书
D.系统总体设计方案
152、问答题 某人获得一条信息,对一个疑惑问题有所清晰,但还是没有完全弄明白。请根据信息的定义,回答这条信息能否算作信息,并解释理由。
153、问答题 信息系统规划有哪些方法?
154、填空题 基于BPR的信息系统战略规划方法的基本出发点是:信息系统的成功实施有()、()乃至信息系统的需求应该来自优化以后的企业运营及其管理。
155、问答题 简述模块独立程度的度量标准。
156、单项选择题 按照处理的对象,可把组织的信息系统分为()和管理信息系统两大类。按照处理的对象,可把组织的信息系统分为)和管理信息系统两大类。
A.电子数据处理系统
B.作业信息系统
C.决策支持系统
D.情报处理系统
157、单项选择题 用于将逻辑地址转换为物理地址的协议是()。
A.ICMP协议
B.IP协议
C.ARP协议
D.RARP协议
158、单项选择题 协作图描述了协作的()之间的交互和链接。
A.对象
B.类
C.用例
D.状态
159、单项选择题 以下关于UDP协议的叙述中,错误的是()。
A.UDP协议建立在IP协议之上
B.UDP数据报传输不适合多进程共享
C.UDP协议具有端口的功能
D.UDP报文中不包括主机的地址
160、填空题 需求分析结束时,应当提出()交上级审查。
161、问答题 如何深刻地认识信息系统不仅是一个技术系统,而且同时又是一个社会系统?
162、多项选择题 符合计算机病毒定义的三个最基本要素包括()。
A、可自我复制
B、对计算机具有破坏行为
C、拖慢系统运行速度
D、损坏硬盘
E、人为编制的计算机代码
163、填空题 ()文件系统是WindowsNT推荐的文件系统,它提供了很多FAT文件系统所不具备的功能。
164、问答题 简述系统测试原则。
165、问答题 如何确定新系统业务流程?
166、单项选择题 Innovation公司正在为Rose开发插入件,使得Rose可以把OOA、OOD模型以各种图形格式导出,如JPEG格式、BMP格式、GIF格式等。在导出时,会根据不同的算法来生成相应的图形文件,这些算法很复杂。为了描述这些算法,在下面这些图中,那个是最适合的?()
A.活动图
B.状态图
C.类图
D.用例图
167、问答题 什么是模块?模块划分的原则是什么?
168、问答题 代码设计应注意哪些问题?
169、多项选择题 SOA的技术特点主要包括()。
A、松耦合,可编排
B、可重用
C、标准化
D、面向对象编程
170、填空题 公开密钥体制的特点是加密密钥(即公开密钥)与解密密钥(即秘密密钥)不相同,解密密钥是保密的,但加密密钥、加密算法都是公开的,虽然()密钥是由()密钥决定的,但却不能根据加密密钥算出解密密钥。
171、填空题 决策过程的四个阶()、()、()和(),并称之为决策过程模型的四个阶段。
172、问答题 非功能需求为什么很重要,包含哪些方面?
173、问答题
按以下调查结果画出订货业务流程图:
采购员从仓库收到缺货通知单后,查阅订货合同单,若已订货,则向供货单位发出催货请求,否则就填写补充订货单交供货单位。供货单位发货同时,向采购员发出提货通知单
174、填空题 信息系统战略规划的关键是要使()的战略与整个组织的()协调一致。
175、问答题 设计代码校验位的方案如下:若原编码为13752,共五位。从左至右取权32,16,8,4,2,对乘积之和以11为模取余作为校验位。请计算出原编码的校验位。(写出计算过程)
176、填空题 ()是用来建立域与域之间的连接关系,它可以执行跨域委托关系的登录审核工作。
177、问答题 试举例说明决策问题的三种类型?
178、单项选择题 在使用UML建模时,若需要描述跨越多个用例的单个对象的行为,使用()是最为合适的。
A.协作图
B.序列图
C.活动图
D.状态图
179、填空题 系统规划主要任务是制定信息系统的()、确定组织的主要()和制定系统建设的计划。
180、单项选择题 在进行软件项目的进度管理时,使用(),不仅能表达子任务间的依赖关系,还可以找出关键子任务。
A.甘特图
B.IPO
C.PERT
D.时标网状图
181、单项选择题 局域网络管理信息系统建设的复杂性主要取决于()。
A.组织结构的复杂性
B.管理方法的复杂性
C.管理人员的不习惯
D.组织内部和外部环境的复杂性
182、填空题 常用的调查研究的方法有:()、召开调查会、业务实践、专家访谈、电子问卷。
183、填空题 企业可根据竞争策略、业务处理的基本特征和所采用的信息技术的水平来选择实施不同类型的BPR。根据流程范围和重组特征,可将BPR分为以下三类:()、功能间的BPR、组织间的BPR。
184、单项选择题 模块间出现下列哪一项是改动模块时发生错误的主要来源()。
A.数据耦合
B.控制耦合
C.内容耦合
D.以上都不是
185、单项选择题 把桥和路由器的功能合在一起的设备称为()。
A.协议变换器
B.网关
C.重复器
D.桥路由器
186、问答题
某仓库管理系统按以下步骤进行信息处理,试画出数据流程图。
(1)保管员根据当日的出库单和入库单通过出库处理和入库处理分别将数据输入到“出库流水帐”和“入库流水帐”,并修改“库存台帐”。
(2)根据库存台帐由统计、打印程序输出库存日报表。
(3)需要查询时,可利用查询程序在输入查询条件后,到库存台帐去查找,显示查询结果。
187、单项选择题 逐步转换法是()。
A.用新系统直接代替老系统,中间无过渡阶段
B.过渡过程中,有一段新、老平行运行的时期
C.先选几个试点转换,转换成功后,再同时转换其他部分
D.分期分批竞选转换
188、单项选择题 ()适用于网络规模大(主机多)而网络数量小的情况。
A.A类地址
B.B类地址
C.C类地
D.D类地址
189、填空题 虽然开发MIS通常采用工程方法,但决不能把MIS开发看成是一个单纯的工程设计过程,MIS开发更是一个()过程和人与人之间的()过程。
190、填空题 通常认为,管理信息系统主要解决()的决策问题,而决策支持系统则以支持()和()问题为目的。
191、填空题 数据流程图的两个特征:()和概括性。
192、问答题 如何全面认识组织信息管理的现状?
193、单项选择题 完成管理系统的日常运行工作的人员是()。
A.信息中心负责人
B.系统分析员
C.程序设计员
D.操作员
194、填空题 网络系统规划及设计一般分为三步:()、()和()。
195、问答题 系统逻辑设计中,如何体现业务流程改造对建立新系统业务流程的意义?
196、填空题 常规密钥体制()密码和()密码两种体制。
197、问答题 逻辑方案确定以后,如何进行检验和改进?
198、问答题 如何理解PIECES方法?
199、问答题 由需购置设备的部门填写申购表格,将此表格送交设备科,设备科填写预算表格送财务处,财务处核对后,将资金返回设备科,设备科利用资金购买设备,购得设备送需购设备的部门,将收据送财务处。绘制系统数据流图。
200、问答题 简述信息系统应用的四个层次。
201、填空题 信息系统规划在企业战略规划的指引下,产生出三个互相联系的战略规划,它()的规划、()的规划和()的规划。
202、问答题
适当选用“变换分析”或“事务分析”,由下面的数据流程图导出控制结构图。

203、单项选择题 主要管理人员应参与()。
A.系统规划
B.系统设计
C.系统分析
D.系统开发和运行全过程
204、单项选择题 计算机(Computer)由中央处理器、内存、软盘、硬盘、显示器、键盘、鼠标等组成。那么Computer类和其他类(CPU、RAM、FloppyDrive、HardDisk、Monitor、Keyboard、Mouse)之间的关系是:()
A.泛化关系(Generalization)
B.实现关系(Realization)
C.包含关系(Inclusion)
D.聚集关系(Aggregation)
205、问答题 设计用户界面的步骤是怎样的?
206、问答题 系统分析报告的目的是什么?包含哪些内容?
207、单项选择题 一般子系统的划分是在系统()阶段,根据对系统的功能/数据分析的结果提出的。
A.需求分析
B.逻辑阶段
C.总体设计
D.详细设计
208、单项选择题 某企业的计算机应用初见成效,信息系统从少数部门扩散到多数部门,并开发了大量的应用程序,使单位的事务处理效率有了提高,该单位处于诺兰阶段模型的哪个阶段?()。
A.初装
B.蔓延
C.控制
D.集成
E.数据管理
F.成熟
209、问答题 输入设计的原则是什么?
210、单项选择题 TCP/IP中最重要的两个协议是()。
A.NCP协议和IP协议
B.TCP协议和IP协议
C.NCP协议和IP协议
D.TCP协议和SMPT协议
211、问答题 如何对生命周期法实施中的变更进行管理?
212、单项选择题 用于传输层以及其上各层协议不相同的网络互连设备是()。
A.域名服务器(DNS)
B.重复器(Repeater)
C.路由服务器(Router)
D.协议变换器(Gateway)
213、单项选择题 构成对象的两个主要因素是()。
A.属性和服务
B.标识和内容
C.继承和多态
D.消息和封装
214、单项选择题 在决定开发管理信息系统之前,首先要做好系统开发的()。
A.可行性研究
B.系统化分析
C.总体预算
D.新系统的逻辑设计和物理设计
215、单项选择题 下面哪一项企业关键成功因素的特点是错误的:()。
A.少量的易于识别的可操作的目标
B.可确保企业的成功
C.由企业的所有CSF决定组织的信息需求
216、填空题 信息系统的开发是成功的三要素()、()、采用合适的技术遵循有关开发过程进行开发。
217、问答题 数据字典建立的过程中,如何保证数据项及其处理的完整性?
218、单项选择题 绘制功能结构图的依据是()。
A.数据流程图
B.PAD图
C.N---S图
D.系统总体设计
219、问答题 请简述信息系统开发的结构化思想。
220、填空题 在windowsNT域中,()保存域中目录数据库并负责对网络用户进行身份验证。
221、单项选择题 下面哪一项不是信息系统局部开发层次的优势:()。
A.相对简单的IT开发
B.帮助理论的证明
C.组织变化的阻力最小
D.优化组织过程
222、单项选择题 用户开发应用系统的主要手段是()。
A.生命周期法
B.原型法
C.第四代语言
D.面向对象方法
223、单项选择题 在UML提供的图中,()用于描述系统与外部系统及用户之间的交互。
A.用例图
B.类图
C.对象图
D.部署图
224、问答题 信息系统开发有哪几种策略?各有何优缺点?适用于什么场合?
225、问答题 试述决策树、决策表、结构化英语的特点和在表达系统功能中的作用。
226、单项选择题 顺序图主要可以为设计人员提供()信息。
A.消息发送的顺序
B.某个方法的执行流程
C.类之间关联关系的多重性
D.某个对象在不同状态之间的转移
227、问答题
信息系统与组织战略有着怎么样的关系?

228、填空题 网络系统的()应考虑:网络的分布、网络的基本设备和类型、网络的基本规模和网络的基本功能和服务项目等问题。
229、单项选择题 计算机病毒主要造成()。
A、磁盘片的损坏
B、磁盘驱动器的破坏
C、CPU的破坏
D、程序和数据的破坏
230、单项选择题 以下选项中不屑于ICMP报文的是()。
A.时间同步报文
B.传输控制报文
C.差错报告报文
D.请求/应答服务报文
231、问答题 输入数据的安全措施有那几种?
232、问答题 设计E-R图应遵循哪些主要原则?
233、单项选择题 高层管理提出的决策问题与基层管理提出的决策问题相比,在结构化程度上一般()。
A.高层管理的决策问题的结构化程度高于基层的
B.高层管理的决策问题的结构化程度低于基层的
C.两者在结构化程度上没有太大差别
D.高层管理不存在非结构化问题
234、单项选择题 油、水井动态分析的资料包括:静态资料、动态资料和()资料。
A、钻井
B、工程
C、作业施工
D、维修保养
235、问答题 试画出学生学籍管理系统的模块结构图。
236、单项选择题 对于结构化设计思想的描述哪一项是错误的()。
A.在结构化设计中,模块的功能应当简单明确,易于理解
B.自顶向下,逐步求精
C.设计者应先设计顶层模块
D.越下层模块,其功能越具体,越复杂
237、填空题 ()算法比常规密钥算法更容易实现数字签名。
238、填空题 描述处理逻辑的工具有决策树、决策表和()。
239、单项选择题 系统规划的主要任务包括()。
A.明确组织的信息需求、制定系统总体结构方案
B.对系统进行经济、技术和使用方面的可行性研究
C.选择计算机和网络系统的方案
D.确定软件系统的模块结构
240、问答题 逻辑设计的主要任务是什么?为下一阶段提供怎样的基础?
241、填空题 可行性研究的主要成果是()报告和()任务书。
242、单项选择题 计算机网络系统是分层次实现的,()在两个用户间实现信息交换。
A.低层协议
B.高层协议
C.物理层协议
D.传输层协议
243、填空题 防火墙的基本结构为()、()网关和()网关。
244、填空题 ()文件系统是一种用于小型磁盘和简单文件夹结构的简单文件系统,是基于MS—DOS的计算机网络长久以来使用的文件系统。
245、单项选择题 在任一组织内同时存在着三个不同的计划控制层是()。
A.战略计划层,管理控制层,操作层
B.战略计划层,战术计划层,管理层
C.战略计划层,业务计划层,操作层
D.战术计划层,管理控制层,操作层
246、填空题 ()密钥法的基本思想是,为了方便密钥的分配和管理,适应数字签名的需求,把加密密钥(即公开密钥)和解密密钥(即秘密密钥)分开使用。
247、问答题 如何进行有效的文档管理?
248、单项选择题 网络层是由整个系统中相互协作的一些网络层实体组成,ISO标准将网络层划分为()子层。
A.2个
B.3个
C.4个
D.5个
249、单项选择题 具有同样网络操作系统的两个网络连接时,为了使互联的网络从网络层到应用层协议都一致,连接时必须使用()。
A.网卡
B.网桥
C.适配器
D.文件服务器
250、填空题 模块内部最坏的组合形式是()组合。
251、填空题 在关系的规范化表达中,数据是以()的方式组织的,一个表就是一个(),每个数据项称为(),为表中的一个()。一个表中还必定义一个字段能唯一确定相关的元素,称为关键字。
252、问答题 简述结构化系统设计的思想与特点。