时间:2024-04-07 03:21:54


1、单项选择题 理想气体向真空作绝热膨胀,膨胀后系统的变化为()。
A.系统温度不变,压强减小
B.系统温度降低,压强减小
C.系统温度升高,压强减小
D.系统温度不变,压强不变
2、单项选择题 温度、压强相同的氦气和氧气,它们分子的平均能量;和平均平动动能;。的关系是()。
A.和都相等
B.相等,而不相等
C.相等,而不相等
D.和都不相等
3、单项选择题 对于常温下的双原子分子理想气体,在等压膨胀过程中,系统对外所做的功与从外界吸收的热量之比应等于()。
A.7/2
B.5/2
C.2/5
D.2/7
4、单项选择题 容器内储有一定量的理想气体,若保持容积不变,使气体的温度升高,则分子的平均碰撞频率和平均自由程的变化情况为()。
A.增大,但不变
B.不变,但增大
C.和都增大
D.和都不变
5、单项选择题 如图2-3所示,在空气中做牛顿环实验,当平凸透镜垂直向上缓慢平移而远离平面玻璃时,可以观察到这些环状干涉条纹()。
A.向右平移
B.静止不动
C.向外扩张
D.向中心收缩
6、单项选择题 在保持高温热源温度T1和低温热源T2不变的情况下,使卡诺热机的循环曲线所包围的面积增大,则会()。
A.净功增大,效率提高
B.净功增大,效率降低
C.净功和效率都不变
D.净功增大,效率不变
7、单项选择题 平面简谐波沿x轴正方向传播,其振幅为A,频率为v,设t=t0时刻的波形如图所示,则x=0处质点的振动方程是()。
A.y=Acos[2πv(t+t0)+π/2]
B.y=Acos[2πv(t-t0)+π/2]
C.y=Acos[2πv(t-t0)-π/2]
D.y=Acos[2πv(t+t0)-π/2]
8、单项选择题 一束自然光垂直穿过两个偏振片,两个偏振片的偏振化方向成45°角。已知通过此两偏振片后的光强为I,则入射至第二个偏振片的线偏振光强度为()。
A.I
B.2I
C.3I
D.
9、单项选择题 一平面简谐波的波动方程为y=0.01cos10π(25t-x)(SI),则在t=0.1s时刻,x=2m处质元的振动位移是()。
A.0.01cm
B.0.01m
C.-0.01m
D.0.01mm
10、单项选择题 一平面简谐波在弹性媒质中传播,在某一瞬时,媒质中某质元正处于平衡位置,此时它的能量状况是()。
A.动能为零,势能最大
B.动能为零,势能为零
C.动能最大,势能最大
D.动能最大,势能为零
11、单项选择题
如图,空气(折射率n。一1)中波长为A的平行单色光,垂直入射在折射率为n1厚度为e的透明薄膜上,经薄膜上、下两个表面反射的两束光发生干涉。若薄膜下方媒质的折射率为n2,且n012,则两束反射光在相遇点的相位差为()。

A.4πn1e/λ
B.2πn1e/λ
C.4πn1n2e/λ
D.2πn1n2e/λ
12、单项选择题 两相干波源S1和S2相距λ/4(λ为波长),S1的相位比S2的相位超前π/2,在S1和S2的连线上,S1外侧各点(例如P点)两波引起的两谐振动的相位差是()。
A.0
B.π/2
C.π
D.3π/2
13、单项选择题
如图2.3-7所示,折射率为,n1=1.68的凸透镜和折射率为n2=1.58的平板玻璃构成牛顿环装置,全部浸入折射率为n=1.60的液体中,凸透镜可沿OO’移动,用波长λ=500nm的单色光垂直入射。从上向下观察,看到中心是一个暗斑,此时凸透镜顶点距平板玻璃的距离最少是()。

A.0
B.148.8nm
C.78.1nm
D.74.4nm
14、单项选择题 若在迈克耳孙干涉仪的可动反射镜移动0.620mm过程中,观察到干涉条纹移动了2300条,则所用光波的波长是()。
A.140.3nm
B.185.4nm
C.539.1nm
D.713.0nm
15、单项选择题 在弦线上有一简谐波,其表达式为为了在此弦线上形成驻波,并且在x=0处为一波腹,此弦线上还应有一简谐波,其表达式应为()。
A.
B.
C.
D.
16、单项选择题 两个卡诺热机的循环曲线如图所示,其中一个工作在温度为T1与T3的两个热源之间,另一个工作在温度为T2与T3的两个热源之间,已知这两个循环曲线所包围的面积相等,由此可知()。
A.两个热机的效率一定相等
B.两个热机从高温热源所吸收的热量一定相等
C.两个热机向低温热源所放出的热量一定相等
D.两个热机吸收的热量与放出的热量(绝对值)的差值一定相等
17、单项选择题 频率为100Hz,传播速度为300m/s的平面简谐波,波线上两点振动的相位差为,则此两点相距为()m。
A.2
B.2.19
C.0.5
D.28.6
18、单项选择题 已知一理想气体经过一准静态等体过程后,温度从T1升高到T2,吸收热量为Q。如果该过程为非准静态等体过程,温度仍从T1(平衡态)升高到T2(平衡态),则气体吸收的热量应()。
A.大于Q
B.小于Q
C.等于Q
D.不能确定
19、单项选择题 常温下一摩尔双原子分子理想气体,当温度为T时,其内能应为()。
A.3/2RT
B.3/2kT
C.5/2RT
D.5/2kT
20、单项选择题 根据惠更斯一菲涅尔原理,若已知光在某时刻的波阵面为S,则S的前方某点P的光强度决定于波阵面S上所有面积元发出的子波各自传到P点的()。
A.振动振幅之和
B.光强之和
C.振动振幅之和的平方
D.振动的相干叠加
21、单项选择题 摩尔数相同的氧气(O2)和氦气(He)(均视为理想气体),分别从同一状态开始做等温膨胀,终态体积相同,则此两种气体在这一膨胀过程中()。
A.对外做功和吸热都相同
B.对外做功和吸热均不相同
C.对外做功相同,但吸热不同
D.对外做功不同,但吸热相同
22、单项选择题 将体积V1=0.01m3、温度T1=273K的氮气(刚性双原子分子),从压强p1=106Pa绝热膨胀到P2=105Pa,下面结果正确的是()。
A.末态体积V2=0.518m3
B.末态温度T2=41K
C.内能增量ΔE=1.21×102
D.对外做功W=1.21×104J
23、单项选择题 1mol刚性双原子分子理想气体,当温度为T时,其内能为()(式中R为摩尔气体常量,k为玻耳兹曼常量)。
A.
B.
C.
D.
24、单项选择题 1mol的刚性双原子分子理想气体,温度为t=25℃,压强p=1.0atm,分别经等温过程和绝热过程膨胀至原来体积的三倍,则以下结果中正确的是()。
A.等温功W=2.72×103J,绝热内能增量ΔE=-2.20×103J
B.等温功W=2.20×103J,绝热功W=2.20×103J
C.等温热量Q=2.72×103J,绝热内能增量ΔE=-2.72×103J
D.等温热量Q=2.20×103J,绝热功W=2.72×103J
25、单项选择题 在标准状态下,若氧气(视为刚性双原子分子)和氦气的体积之比V1/V2=1/2,则其内能之比E1/E2为()。
A.3/10
B.1/2
C.5/6
D.5/3
26、单项选择题 如果一定量理想气体的体积和压强依照的规律变化,式中a为常量。当气体从V1膨胀到V2时,温度T1和T2的关系为()。
A.T1>T2
B.T1=T2
C.T12
D.无法确定
27、单项选择题 在一密闭容器中,储有A、B、C三种理想气体,处于平衡状态。A种气体的分子数密度为n1,它产生的压强为p1,B种气体的分子数密度为2n1,C种气体的分子数密度为3n1,则混合气体的压强p应为()。
A.3p1
B.4p1
C.5p1
D.6p1
28、单项选择题 如图所示,两列波长为λ的相干波在P点相遇,s.点的初相位是1,S1点到P点的距离是r1,S2点的初相位是2,S2点到P点的距离是r2;以k代表零或正、负整数,则P点是干涉极大的条件为()。
A.r2-r1=kλ
B.2-1=2kπ
C.2-1+2π(r2-r1)/λ=2kπ
D.2-1+2π(r1-r2)/λ=2kπ
29、单项选择题 检验滚珠大小的干涉装置如图2.3-5(a)所示。S为光源,L为会聚透镜,M为半透半反镜,在两块光学平面玻璃T1、T2之间放置A、B、C三个滚珠,其中A为标准件,直径为d0。当用波长为λ的单色光照射该装置时,在M上方观察到等厚条纹如图2.3-5(B)所示。轻压C端,条纹间距变大。若B珠直径记为d1、C珠直径记为d2,则它们与d0的关系分别是()。
A.d1=d0+λ,d2=d0+3λ
B.d1=d0-λ,d2=d0-3λ
C.d1=d0+λ/2,d2=d0+3λ/2
D.d1=d0-λ/2,d2=d0-3λ/2
30、单项选择题 一声纳装置向海水中发出超声波,其波的表达式为y=1.2×10-3cos(3.14×105t-220x)(SI)则下列结果中正确的是()。
A.振幅A=1.2m
B.频率v=500Hz
C.波长λ=2.86m
D.波速u=1427m/s
31、单项选择题 一束自然光从空气射向一块平板玻璃,设入射角等于布儒斯特角,则反射光为()。
A.自然光
B.部分偏振光
C.完全偏振光
D.圆偏振光
32、单项选择题 若光从某种透明媒质射向该媒质与空气的交界面时,其全反射临界角等于45°,则光从空气射向此媒质时的布儒斯特角是()。
A.35.3°
B.45°
C.54.7°
D.57.3°
33、单项选择题 根据热力学第二定律判断,以下结果中正确的是()。
A.功可以全部转换为热,但热不能全部转换为功
B.热可以从高温物体传到低温物体,但不能从低温物体传到高温物体
C.不可逆过程就是不能向相反方向进行的过程
D.一切自发过程都是不可逆的
34、单项选择题 波长为λ的X射线,投射到晶格常数为d的晶体上,取k=1,2,3,…,出现X射线衍射加强的衍射角θ(衍射的X射线与晶面的夹角)满足的公式为()。
A.2dsinθ=kλ
B.dsinθ=kλ
C.2dcosθ=kλ
D.dcosθ=kλ
35、单项选择题 一定量的理想气体,在温度不变的条件下,当容积增大时,分子的平均碰撞次数和平均自由程的变化情况是()。
A.减小而不变
B.减小而增大
C.增大而减小
D.不变而增大
36、单项选择题 一理想气体处于温度为r的平衡态下,已知其平均速率为,则其方均根速率应等于()。
A.
B.
C.
D.
37、单项选择题 关于机械波波速的以下几种说法中,正确的是()。
A.波速与频率和波长有关
B.波速与媒质的密度和媒质的弹性模量有关
C.波速与振源的周期有关
D.波速与振源处质点的振动速度相等
38、单项选择题 一简谐波沿x轴正向传播,波的振幅为A,角频率为ω,波速为u。若以原点处的质元经平衡位置正方向运动时作为计时的起点,则该波的波动方程是()。
A.
B.
C.
D.
39、单项选择题 一平面简谐波在媒质中传播的速度u=103m/s,振幅A=1.0×10-4m,频率v=103Hz。若该媒质的密度为ρ=800kg/m3,则该波的平均能流密度为()。
A.1.58×109W/m2
B.1.58×105W/m2
C.4000W/m2
D.25W/m2
40、单项选择题 真空中波长为λ的单色光,在折射率为n的均匀透明媒质中,从A点沿某一路径传播到B点,路径的长度为Z。如将A、B两点光振动位相差记为Δ,则以下各组结果中正确的是()。
A.l=3λ/2,Δ=3π
B.l=3λ/(2n),Δ=3nπ
C.l=3λ/(2n),Δ=3π
D.l=3n,λ/2,Δ=3π
41、单项选择题 温度、压强相同的氦气和氧气,它们分子的平均平动动能和平均动能有如下关系()。
A.和都相等
B.相等,而不相等
C.不相等,相等
D.和都不相等
42、单项选择题 已知天空中某两颗星的角距离为4.84×10-6rad,由它们发出的光波可按波长λ=550nm计算。如果用望远镜观测这两颗星且要求恰好能够分辨,则望远镜物镜的直径是()。
A.10.7m
B.7.21m
C.0.139m
D.0.093m
43、单项选择题 单色平行光垂直照射于一单缝上,若其第三级明纹位置恰好和波长600nm的单色光的第二级明纹位置重合,则该单色光的波长为()。
A.900nm
B.840nm
C.429nm
D.400nm
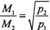
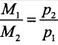
44、单项选择题 有两种理想气体,第一种的压强记作p1,体积记作V1,温度记作T1,总质量记作m1,摩尔质量记作M1;第二种的压强记作P2,体积记作V2,温度记作T2,总质量记作m2,摩尔质量记作M2。当p1=p2,V1=V2,T1=T2时,则为()。
A.
B.
C.
D.
45、单项选择题 提高光学仪器分辨本领的正确方法是()。
A.增大通光孔径,增大入射光波长
B.增大通光孔径,减小入射光波长
C.减小通光孔径,增大入射光波长
D.减小通光孔径,减小入射光波长
46、多项选择题 当前,主要发达国家政府和学术界普遍接受的判断有效竞争的标准包括()。
A.市场结构标准
B.企业行为标准
C.企业规模标准
D.市场绩效标准
E.企业管理标准
47、单项选择题 一卡诺致冷机在工作时,低温热源温度为-10℃,高温热源温度为11℃。若在一次循环中,外界对系统做功1000J,则系统从低温热源吸收的热量应为()。
A.-476J
B.524J
C.1.25×104J
D.1.35×104J
48、单项选择题
如图所示,在空气中进行双缝干涉实验,用波长为λ=550nm的单色平行光垂直入射到双缝上。假如用一厚度e=6.6×10-6m、折射率n=1.58的玻璃片覆盖一缝后,零级明纹移到原来未加玻璃片时的第k级明纹处,则下列各k值正确的是()。

A.3
B.7
C.10
D.70
49、单项选择题 在相同温度下,氢气分子的最概然速率是氧气分子最概然速率的()倍。
A.2
B.4
C.
D.1/
50、单项选择题 在简谐波传播过程中,沿传播方向相距(λ为波长)的两点的振动速度必定()。
A.大小相同,而方向相反
B.大小和方向均相同
C.大小不同,方向相同
D.大小不同,而方向相反
51、单项选择题 在波长为λ的驻波中,两个相邻的波腹之间的距离为()。
A.λ/2
B.λ/4
C.3λ/4
D.λ
52、单项选择题 在双缝干涉实验中,两缝间距离为d,双缝与屏幕之间的距离为。波长为λ的平行单色光垂直照射到双缝上,屏幕上干涉条纹中相邻暗纹之间的距离是()。
A.2λD/d
B.λd/D
C.dD/λ
D.λD/d
53、单项选择题 在以下干涉实验获得相干光的方法中,叙述正确的是()。
A.杨氏双缝干涉采用的是分振幅法
B.牛顿环干涉采用的是分波阵面法
C.劈尖干涉采用的是分波阵面法
D.迈克耳孙干涉仪中的等倾干涉采用的是分振幅法
54、单项选择题 设高温热源的热力学温度是低温热源的热力学温度的n倍,则理想气体在一次卡诺循环中,传给低温热源的热量是从高温热源吸取的热量的()。
A.n倍
B.n-1倍
C.倍
D.
55、单项选择题 有一玻璃劈尖,置于空气中,劈尖角为θ用波长为λ的单色光垂直照射时,测得相邻明纹的间距为ι,若玻璃的折射率为n,则θ、λ、ι与n之间的关系为()。
A.
B.
C.
D.
56、单项选择题 一平面简谐波在弹性媒质中传播,在媒质质元从平衡位置处运动到最大位移处的过程中,有关能量的变化是()。
A.它的动能转换为势能
B.它的势能转换为动能
C.它从相邻的一段质元获得能量,其能量逐渐增大
D.它把自己的能量传给相邻的一段质元,其能量逐渐减小
57、单项选择题 画小于12mm直径的圆,其中心线一般用()画出。
A、点划线
B、双点划线
C、细实线
D、虚线
58、单项选择题 一简谐横波沿x轴正向传播,若x轴上P1和P2两点相距λ/8(其中λ为该波的波长),则在波的传播过程中,这两点振动速度的关系为()。
A.方向总是相同
B.方向总是相反
C.方向有时相同,有时相反
D.大小总是不相等
59、单项选择题 一衍射光栅,每厘米有200条透光缝,每条透光缝宽a=2×10-3cm,在光栅后放一焦距f=1m的凸透镜,现以波长λ=600nm的单色平行光垂直照射光栅,则在透光缝a的单缝衍射中央明条纹宽度内,出现光栅衍射光谱线的条数是()。
A.3条
B.4条
C.5条
D.7条
60、单项选择题 一束平行的自然光从空气(取折射率n1=1)以60°入射角投射到折射率为n2的平板玻璃表面上,若反射光是完全偏振光,则下列结果中正确的是()。
A.折射光也是完全偏振光
B.折射光是垂直入射面的光振动较强的部分偏振光
C.折射光的折射角i’=35°
D.玻璃的折射率
61、单项选择题 在弦线上有一简谐波,该简谐波的表达式为y1=2.0×10-2(SI),为了在此弦线上形成驻波,并且在x=0处为一波节,此弦线上还应有一简谐波,其表达式为()。
A.
B.
C.
D.
62、单项选择题 在双缝干涉实验中,单色自然光垂直入射到双缝上,在屏上形成干涉条纹。若在双缝与屏之间放一个偏振片使由两缝出射的光线均通过此片,则屏上的情况是()。
A.干涉条纹的间距不变,但明纹的亮度加强
B.干涉条纹的间距不变,但明纹的亮度减弱
C.干涉条纹的间距变窄,且明纹的亮度减弱
D.无干涉条纹
63、单项选择题 瓶氦气和一瓶氮气密度相同,分子平均平动动能相同,而且它们都处于平衡状态,则它们温度与压强的关系是()。
A.温度相同,压强相同
B.温度相同,但氦气的压强大于氮气的压强
C.温度、压强都不相同
D.温度相同,但氦气的压强小于氮气的压强
64、单项选择题 波长为λ的单色平行光垂直入射到一狭缝上,若第一级暗纹的位置对应衍射角为θ=±π/6,则缝宽的大小为()。
A.
B.λ
C.2λ
D.3λ
65、单项选择题 在迈克耳孙干涉仪的一支光路中,放入一片折射率为n的透明媒质薄膜后,测出两束光光程差的改变量为一个波长λ,则薄膜的厚度是()。
A.λ/2
B.λ/(2n)
C.λ/n
D.λ/[2(n-1)]
66、单项选择题
图示为一沿x轴正向传播的平面简谐波在t=0时刻的波形。若振动方程以余弦函数表示,且振动的初相位在-π到π之间取值,则下列结果中正确的是()。

A.l点的初相位为1=0
B.0点的初相位为0=-π/2
C.2点的初相位为2=0
D.3点的初相位为3=0
67、单项选择题 一声波波源相对媒质不动,发出的声波频率是ν0。设以观察者的运动速度为波速的1/2,当观察着迎着波源运动时,他接收到的声波频率是()。
A.2ν0
B.
C.ν0
D.
68、单项选择题 一定量的理想气体,开始时处于压强、体积、温度分别为P1、V1、T1的平衡态,后来变到压强、体积、温度分别为P2、V2、T2的终态,若已知V2>V1,且T2=T1,则以下各种说法中正确的是()。
A.不论经历的是什么过程,气体对外净做的功一定为正值
B.不论经历的是什么过程,气体从环境净吸的热一定为正值
C.若气体从始态变到终态经历的是等温过程,则气体吸收的热量最少
D.如果不给定气体所经历的是什么过程,则气体在过程中对外净做的功和从外界净吸热的正负皆无法判断
69、单项选择题 已知某理想气体的压强为p,体积为V,温度为T,气体的摩尔质量为M,k为玻耳兹曼常量,R为摩尔气体常量,则该理想气体的密度为()。
A.M/V
B.pM/(RT)
C.pM/(kT)
D.p/(RT)
70、单项选择题 一束光强为I0的自然光,相继通过三个偏振片P1、P2、P3后,出射光的光强为I=I0/8。已知P1和P3的偏振化方向相互垂直,若以入射光线为轴,旋转P2,要使出射光的光强为零,P2最少要转过的角度是()。
A.30°
B.45°
C.60°
D.90°
71、单项选择题 若f(v)为麦克斯韦气体分子速率分布函数,N为分子总数,m为分子质量,则的物理意义是()。
A.速率为v2的各分子的总平动动能与速率为v1的各分子的总平动动能之差
B.速率为v2的各分子的总平动动能与速率为v1的各分子的总平动动能之和
C.速率处在速率间隔v1~v2之内的分子的平均平动动能
D.速率处在速率间隔v1~v2之内的分子平动动能之和
72、单项选择题 在麦克斯韦速率分布律中,速率分布函数f(ν)的意义可理解为()。
A.速率大小等于ν的分子数
B.速率大小在ν附近的单位速率区间内的分子数
C.速率大小等于ν的分子数占总分子数的百分比
D.速率大小在ν附近的单位速率区间内的分子数占总分子数的百分比
73、单项选择题 一人在地面上手持发音体垂直向一高墙以5m/s的速度运动,发音体的频率为1500Hz,空气中的声速为340m/s,人接收到的经高墙反射回来的频率是()。
A.1544Hz
B.1522Hz
C.1457Hz
D.87Hz
74、单项选择题
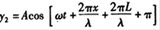
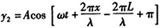
如图2.2-6所示,S1和S2为两个相干波源,它们的振动方向均垂直于图面,发出波长为λ的简谐波,P点是两列波相遇区域中的一点,已知,两列波在P点发生相消干涉。若S1的振动方程为y1=Acos[2πt+π/2],则S2的振动方程是()。
A.y2=Acos[2πt一π/2]
B.y2=Acos[2πt-π]
C.y2=Acos[2πt+π/2]
D.y2=2Acos[2πt-0.1π]
75、单项选择题 -定量的理想气体经过等体过程,温度增量△T,内能变化△E1,吸收热量Q1,若经过等压过程,温度增量也为△T,内能变化△E2,吸收热量Q2,则一定是()。
A.△E2=△E1,Q2>Q1
B.△E2=△E1,Q21
C.△E2>△E1,Q2>Q1
D.△E2<△E1,Q21
76、单项选择题 根据热力学第二定律判断,以下结果正确的是()。
A.热量能从高温物体传到低温物体,但不能从低温物体传到高温物体
B.功可以全部变为热,但热不能全部变为功
C.气体能够自由膨胀,但不能自动收缩
D.有规则运动的能量能够变为无规则运动的能量,但无规则运动的能量不能变为有规则运动的能量
77、单项选择题 在波的传播方向上,有相距为3m的两质元,两者的相位差为,若波的周期为4s,则此波的波长和波速分别为()。
A.36m和6m/s
B.36m和9m/s
C.12m和6m/s
D.12m和9m/s
78、单项选择题 大街上,噪声电子显示屏上显示噪声声强级为70dB,声强标准I0=10-12W/m2,则实际的噪声强度是()。
A.1058W/m2
B.10-5W/m2
C.10-9W/m2
D.10-19W/m2
79、单项选择题 设声波在媒质中的传播速度为u,声源的频率为v0。若声源S不动,而接收器B相对于媒质以速度uB沿着S、B连线向着声源S运动,则位于S、B连线中点的质点P的振动频率是()。
A.v0
B.
C.
D.
80、单项选择题 一定量的理想气体,在体积不变的情况下,当温度升高时,分子的平均碰撞频率和平均自由程的变化情况是()。
A.增大,不变
B.不变,增大
C.和都增大
D.和都不变
81、单项选择题 在同一媒质中两列相干的平面简谐波的强度之比是I1/I2=4,则两列波的振幅之比是()。
A.A1/A2=4
B.A1/A2=2
C.A1/A2=16
D.A1/A2=1/4
82、单项选择题
一束波长为A的平行单色光垂直入射到一单缝AB上,装置如图2.3-13。在屏幕上形成衍射图样,如果P是中央亮纹一侧第一个暗纹所在的位置,则AC的长度是()。

A.λ/2
B.λ
C.3λ/2
D.2λ
83、单项选择题 如果两个偏振片堆叠在一起,且偏振化方向之间夹角为60°,假设二者对光无吸收,光强为I0的自然光垂直入射到偏振片上,则出射光强为()。
A.
B.
C.
D.
84、单项选择题
ABCD为一块方解石的一个截面,AB为垂直于纸面的晶体平面与纸面的交线。光轴方向在纸面内且与AB成一锐角θ,如图所示。一束平行的单色自然光垂直于AB端面入射。在方解石内折射光分解为o光和e光,下列关于o光和e光的描述中正确的是()。

A.传播方向相同,电场强度的振动方向互相垂直
B.传播方向相同,电场强度的振动方向不互相垂直
C.传播方向不同,电场强度的振动方向互相垂直
D.传播方向不同,电场强度的振动方向不互相垂直
85、单项选择题 在单缝夫琅和费衍射实验中,若单缝两端处的光线到达屏幕上某点的光程差为δ=2.5λ(λ为入射单色光的波长),则此衍射方向上的波阵面可划分的半波带数量和屏上该点的衍射条纹情况是()。
A.4个半波带,明纹
B.4个半波带,暗纹
C.5个半波带,明纹
D.5个半波带,暗纹
86、单项选择题 列机械横波在t时刻的波形曲线如图所示,则该时刻能量为最大值的媒质质元的位置是()。
A.O’,b,d,f
B.a,c,e,g
C.O’,d
D.b,f
87、单项选择题 一平面简谐波的波动方程为,则在t=0.25s时刻,处于平衡位置,且与坐标原点x=0最近的质元的位置是()。
A.x=±5m
B.x=5m
C.x=±1.25m
D.x=1.25m
88、单项选择题 一个容器内贮有1mol氢气和1mol氩气,当气体处于平衡态时,若氢气对器壁的压强为P1,氩气对器壁的压强为P2,则两者的关系是()。
A.p1>p2
B.p12
C.p1=p2
D.不能确定
89、单项选择题 设某种理想气体的麦克斯韦分子速率分布函数为f(ν),则速率在ν1~ν2区间内分子的平均速率表达式为()。
A.
B.
C.
D.
90、单项选择题 氦气、氮气、水蒸气(均视为刚性分子理想气体)三者的摩尔数相同,初始状态相同,若使它们在体积不变的情况下吸收相等的热量,则应有()。
A.它们的温度升高相同,压强增加相同
B.它们的温度升高相同,压强增加不相同
C.它们的温度升高不相同,压强增加不相同
D.它们的温度升高不相同,压强增加相同
91、单项选择题 若把牛顿环装置(都是用折射率为1.52的玻璃制成的)由空气中搬入折射率为1.33的水中,则干涉条纹的变化情况是()。
A.中心暗斑变成亮斑
B.变疏
C.变密
D.间距不变
92、单项选择题 定量理想气体由初态(p1,V1,T1)经等温膨胀到达终态(p2,V2,T2),则气体吸收的热量Q为()。
A.
B.
C.
D.
93、单项选择题 两种摩尔质量不同的理想气体,它们的压强、温度相同,体积不同,则它们的()。
A.单位体积内的分子数不同
B.单位体积内气体的质量相同
C.单位体积内气体分子的总平均平动动能相同
D.单位体积内气体内能相同
94、单项选择题 最概然速率νp的物理意义是()。
A.νp是速率分布中最大速率
B.νp是大多数分子的速率
C.在一定的温度下,速率与Vp相近的气体分子所占的百分率最大
D.νp是所有分子速率的平均值
95、单项选择题 某理想气体分子的平均速率若提高到原来的2倍,则该气体的温度T应提高到原来的()倍。
A.2
B.4
C.8
D.16
96、单项选择题 在标准状态下,将0.5mol的氮气(刚性双原子分子)压缩为原来体积的一半,若分别经历的是等温过程和等压过程,下面结果中正确的是()。
A.等温功W=786J,等压内能增量ΔE=-1418J
B.等温功W=-786J,等压功W=567J
C.等温热量Q=786J,等压功W=-567J
D.等温热量Q=-786J,等压热量Q=-1985J
97、单项选择题 )对于理想气体系统来说,下列哪个过程中,系统吸收的热量、系统内能的增量和对外做的功三者均为负值?()
A.等容降压过程
B.等温膨胀过程
C.绝热膨胀过程
D.等压压缩过程
98、单项选择题 在双缝干涉实验中,波长为λ的单色光垂直入射到缝间距为α的双缝上,屏到双缝的距离为D,则某一条明纹与其相邻的暗纹的间距为()。
A.
B.
C.
D.
99、单项选择题 根据热力学第二定律判断下列哪种说法是正确的。()
A.热量能从高温物体传到低温物体,但不能从低温物体传到高温物体
B.功可以全部变为热,但热不能全部变为功
C.气体能够自由膨胀,但不能自动收缩
D.有规则运动的能量能够变为无规则运动的能量,但无规则运动的能量不能变为有规则运动的能量
100、单项选择题 下列各式中表示气体分子平均平动动能的是()。(式中M为气体的质量,m为气体分子质量,μ为气体摩尔质量,n为气体分子数密度,NA为阿伏加德罗常量)
A.
B.
C.
D.
101、单项选择题 两人轻声谈话的声强级为40dB,热闹市场上噪声的声强级为80dB,市场上噪声与轻声谈话的声强之比为()。
A.2
B.20
C.102
D.104
102、单项选择题 用单色光垂直照射在牛顿环实验装置上,当上方的平凸透镜垂直向上缓慢平移而远离下方的平面玻璃时,可以观察到环状干涉条纹变化情况是()。
A.只作横向平移
B.向中心收缩
C.向外扩张
D.静止不动
103、单项选择题 对于机械波而言,下面说法正确的是()。
A.质元处于平衡位置时,其动能最大,势能为零
B.质元处于平衡位置时,其动能为零,势能最大
C.质元处于波谷处时,动能为零,势能最大
D.质元处于波峰处时,动能与势能均为零
104、单项选择题 已知某理想气体的压强为p,体积为V,温度为T,k为玻耳兹曼常量,R为摩尔气体常量,则该理想气体单位体积内的分子数为()。
A.pV/(kT)
B.p/(kT)
C.pV/(RT)
D.p/(RT)
105、单项选择题 某种理想气体的总分子数为N,分子速率分布函数为f(ν),则速率在ν1~ν2区间内的分子数是()。
A.
B.
C.
D.
106、单项选择题 一束自然光从空气射到玻璃板表面上,当折射角为30°的反射光为完全偏振光,则此玻璃的折射率为()。
A.
B.
C.
D.
107、单项选择题 若用衍射光栅准确测定一单色可见光的波长,在下列各种光栅常数的光栅中选择哪一种最好?()
A.1.0×10-1mm
B.5.0×10-1mm
C.1.0×10-2mm
D.1.0×10-3mm
108、单项选择题
若在某一过程中,一定量的理想气体的内能E随压强p的变化关系为一直线(其延长线过E-p图的原点O),如图2.1-10所示(A)过程应为()。

A.等温过程
B.等压过程
C.等容过程
D.绝热过程
109、单项选择题 一卡诺热机,低温热源温度为27℃,当热机效率为25%时,其高温热源温度为T1;若保持低温热源温度不变,而将效率提高到35%,高温热源温度应增加ΔT。以下各组结果正确的是()。
A.T1=400K,ΔT=62K
B.T1=36℃,ΔT=6℃
C.T1=225K,ΔT=30K
D.T1=100℃,ΔT=64℃
110、单项选择题 有一卡诺热机,工作物质为290g空气,工作在27℃的高温热源与-73℃的低温热源之间。若在等温膨胀的过程中气缸体积增大到2.718倍,则此热机每一循环所做的功应为()。(空气的摩尔质量为29×10-3kg/mol,普适气体常量R=8.31J·mol-1·K-1)
A.1.57×107J
B.8.30×106J
C.1.57×104J
D.8.30×103J
111、单项选择题 若f(v)为麦克斯韦气体分子速率分布函数,则速率在v1至v2区间内的分子的平均速率应为()。
A.
B.
C.
D.
112、单项选择题 若一平面简谐波的波动方程为y=Acos(Bt-Cx),式中A、B、C为正值恒量,则()。
A.波速为C
B.周期为
C.波长为
D.圆频率为
113、单项选择题 一束光垂直入射到偏振片P上,以入射光线为轴转动P,观察通过P的光强的变化情况。以下结论全部正确的是()。
A.若光强明暗交替变化且有时出现全暗,则入射光可能是椭圆偏振光或线偏振光
B.若光强明暗交替变化但不出现全暗,则入射光可能是圆偏振光或部分偏振光
C.若光强不变,则入射光一定是自然光
D.若光强不变,则不能准确判断入射光的偏振性质
114、单项选择题 在双缝干涉实验中,当入射单色光的波长减小时,屏幕上千涉条纹的变化情况是()。
A.条纹变密并远离屏幕中心
B.条纹变密并靠近屏幕中心
C.条纹变宽并远离屏幕中心
D.条纹变宽并靠近屏幕中心
115、单项选择题 1mol刚性双原子理想气体,当温度为T时,每个分子的平均平动动能为()。
A.
B.
C.
D.
116、单项选择题 有两种理想气体,第一种的压强记作P1,体积记作V1,温度记作T1,总质量记作m1,摩尔质量记作M1;第二种的压强记作p2,体积记作V2,温度记作T2,总质量记作m2,摩尔质量记作M2。当V1=V2,T1=T2,m1=m2时,则为()。
A.
B.
C.
D.
117、单项选择题 在光栅光谱中,假如所有偶数级次的主极大都恰好在每缝衍射的暗纹方向上,因而实际上不出现,那么此光栅每个透光缝宽度a和相邻两缝间不透光部分宽度b的关系为()。
A.a=b
B.a=2b
C.a=3b
D.b=2a
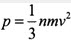
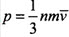
118、单项选择题 理想气体的压强公式是()。
A.
B.
C.
D.
119、单项选择题 在双缝干涉实验中,在给定入射单色光的情况下,用一片能通过光的薄介质片(不吸收光线)将双缝装置中的下面一个缝盖住,则屏幕上千涉条纹的变化情况是()。
A.零级明纹仍在中心,其他条纹向上移动
B.零级明纹仍在中心,其他条纹向下移动
C.零级明纹和其他条纹一起向上移动
D.零级明纹和其他条纹一起向下移动
120、单项选择题 两偏振片叠放在一起,欲使一束垂直入射的线偏振光经过这两个偏振片后振动方向转过90°,且使出射光强尽可能大,则入射光的振动方向与前后二偏振片的偏振化方向夹角分别为()。
A.45°和90°
B.0°和90°
C.30°和90°
D.60°和90°
121、单项选择题 火车以25m/s的速率沿直线行驶,其汽笛声的频率为500Hz。设空气中的声速为340m/s。一个人站立在铁轨旁,当火车从他身边驶过时,他听到汽笛声的频率变化是()。
A.540Hz
B.466Hz
C.432Hz
D.74Hz
122、单项选择题 质量相同的氢气(H2)和氧气(O2),处在相同的室温下,则它们的分子平均平动动能和内能关系为()。
A.分子平均平动动能相同,氢气的内能大于氧气的内能
B.分子平均平动动能相同,氧气的内能大于氢气的内能
C.内能相同,氢气的分子平均平动动能大于氧气的分子平均平动动能
D.内能相同,氧气的分子平均平动动能大于氢气的分子平均平动动能
123、单项选择题 一平面简谐波在弹性媒质中传播时,某一时刻在传播方向上一质元恰好在负的最大位移处,则它的()。
A.动能为零,势能最大
B.动能为零,势能为零
C.动能最大,势能最大
D.动能最大,势能为零
124、单项选择题 在驻波中,两个相邻波节之间各质点的振动振幅及相位关系为()。
A.振幅相同,相位相同
B.振幅不同,相位相同
C.振幅相同,相位不同
D.振幅不同,相位不同
125、单项选择题 定义声强级时人为规定以可引起听觉的最弱声强I0=10-12W/m2作为声强级的标准。若某工地的噪声强度(平均能流密度)为I=10-4W/m2,则其声强级是()。
A.8dB
B.40dB
C.80dB
D.120dB
126、单项选择题 一束平行光垂直入射到某个光栅上,该光束有两种波长的光,λ1=440nm,λ2=660nm。实验发现,两种波长的谱线(不计中央明纹)第二次重合于衍射角=60°的方向上,则此光栅的光栅常数是()。
A.3.048×10-3m
B.3.281×10-4m
C.3.281×10-6m
D.3.048×10-6m
127、单项选择题 在单缝夫琅禾费衍射实验中,屏上第三级暗纹对应的单缝处波面可分成的半波纹的数目为()。
A.3
B.4
C.5
D.6
128、单项选择题 波长为λ的单色光垂直照射到置于空气中的玻璃劈尖上,玻璃的折射率为n,观察反射光的干涉,则第三级暗条纹处的玻璃厚度为()。
A.
B.
C.
D.
129、单项选择题 三个偏振片P1、P2与P3堆叠在一起,P1与P3的偏振化方向相互垂直,P2与P1的偏振化方向间的夹角为30°。强度为I0的自然光垂直入射于偏振片P1,并依次透过P1、P2与P3,则通过三个偏振片后的光强为()。
A.I0/4
B.3I0/8
C.3I0/32
D.I0/16
130、单项选择题 一定量的理想气体由a状态经过一过程到达b状态,吸热为335J,系统对外做功为126J;若系统经过另一过程由a状态到达b状态,系统对外做功为42J,则过程中传入系统的热量为()。
A.530J
B.167J
C.251J
D.335J
131、单项选择题 以波长λ1=0.11nm的X射线照射某晶面,其晶面间距为d,在入射掠射角为θ1=11.25°时获得第一级极大反射光;换用另一波长为λ2的X射线照射该晶面,测得第一级极大反射光相应的入射掠射角为θ2=17.5°,则以下计算结果正确的是()。
A.d=3.55nm,λ2=2.14nm
B.d=0.282nm,λ2=5.90nm
C.d=3.55nm,λ2=0.170nm
D.d=0.282nm,λ2=0.170nm
132、单项选择题
设图2.1-4所示的两条曲线分别表示在相同温度下氧气和氢气分子的速率分布曲线,令分别表示氧气和氢气的最概然速率,则正确结果是()。

A.图中a表示氧气分子的速率分布曲线:
B.图中a表示氧气分子的速率分布曲线:
C.图中b表示氧气分子的速率分布曲线:
D.图中b表示氧气分子的速率分布曲线:
133、单项选择题 定量的理想气体经历如图所示acb过程时净吸热500J,则经历acbda循环过程时,吸放热代数和应为()。
A.-1200J
B.-700J
C.-400J
D.700J
134、单项选择题 一束波长为九的单色光分别在空气中和在玻璃中传播,则在相同的时间内()。
A.传播的路程相等,走过的光程相等
B.传播的路程相等,走过的光程不相等
C.传播的路程不相等,走过的光程相等
D.传播的路程不相等,走过的光程不相等
135、单项选择题
如图,bca为理想气体绝热过程,b1a和b2a是任意过程,则上述两过程中气体做功与吸收热量的情况是()。

A.b1a过程放热,做负功;b2a过程放热.做负功
B.b1a过程吸热,做负功;b2a过程放热,做负功
C.b1a过程吸热,做正功;b2a过程吸热,做负功
D.b1a过程放热,做正功;62a过程吸热,做正功
136、单项选择题 一定量的理想气体,经等压过程从体积v0膨胀到2Vo,其平均自由程由0变为,平均碰撞频率由0变为,则正确结果是()。
A.
B.
C.
D.
137、单项选择题 设某元素的特征光谱中含有波长分别为λ1=450nm和λ2=750nm的两条光谱线,当用一光栅常数(a+b)=5.00×10-6m的光栅观测其光谱时,发现这两种波长的谱线有重叠现象,在下列结果中,正确描述重叠处λ2谱线级数的是()。
A.2,3,4,…
B.2,5,8,…
C.3,6
D.3,6,9,…
138、单项选择题 一平面简谐波的表达式为y=0.03cos(8t+3x+π/4)(SI),则该波的频率ν(Hz)、波长λ(m)和波速u(m/s)依次为()。
A.
B.
C.
D.
139、单项选择题 干涉和衍射反映了光的()。
A.偏振性质
B.波动性质
C.横波性质
D.纵波性质
140、单项选择题
设沿弦线传播的一入射波的表达式为y1=Acos(ωt-2πx/λ),波在x=L处(B点)发生反射,反射点为自由端(如图),设波在传播和反射过程中振幅不变,则反射波的表达式y2为()。

A.
B.
C.
D.
141、单项选择题 单缝宽度a=1×10-4m,透镜焦距为f=0.5m,若用λ=400nm的单色平行光垂直入射,中央明纹的宽度为()。
A.2×10-3m
B.2×10-4m
C.4×10-4m
D.4×10-3m
142、单项选择题 用迈克耳孙干涉仪测微小的位移。若入射光波长λ=6.29×10-7m,当动臂反射镜移动时,干涉条纹移动了2048条,则动臂反射镜移动的距离是()。
A.1.288×10-3m
B.6.44×10-4m
C.3.22×10-4m
D.1.61×10-4m
143、单项选择题 若一平面简谐波的表达式为y=0.03cos6π(t+0.01x)(SI),则下面结果中正确的是()。
A.振幅为3m
B.周期为1/3s
C.波速为10m/s
D.传播方向为x轴正向
144、单项选择题
如图2.3-2所示,用波长为A的单色光照S(A)(B)缝干涉实验装置,若将一折射率为n的透明尖b插入光线2中,则当劈尖b缓慢地向上移动时(只遮住S2缝),屏C上干涉条纹的情况是()。

A.间隔变大,向下移动
B.间隔变小,向上移动
C.间隔不变,向下移动
D.间隔不变,向上移动
145、单项选择题 理想气体向真空作绝热膨胀,则()。
A.膨胀后,温度不变,压强减小
B.膨胀后,温度降低,压强减小
C.膨胀后,温度升高,压强减小
D.膨胀后,温度不变,压强增加
146、单项选择题 -瓶氦气和一瓶氮气它们每个分子的平均平动动能相同,而且都处于平衡态,则它们()。
A.温度相同,氦分子和氮分子的平均动能相同
B.温度相同,氦分子和氮分子的平均动能不同
C.温度不同,氦分子和氮分子的平均动能相同
D.温度不同,氦分子和氮分子的平均动能不同
147、单项选择题
波长为A的单色光垂直照射到折射率为n2的劈形膜上,如图所示,图中折射率n12<3,观察反射光形成的干涉条纹。从劈形膜顶部O开始向右数起,第五条暗纹中心所对应的(A)厚度是()。

A.
B.
C.
D.
148、单项选择题
如图2-2所示,折射率为n2、厚度为e的透明介质薄膜的上方和下方的透明介质的折射率分别为n2和n3,已知n123。若用波长为λ的单色平行光垂直入射到该薄膜上,则从薄膜上、下两表面反射的光束(1)和(2)的光程差是()。

A.2n2e
B.
C.2n2e-λ
D.
149、单项选择题 横波沿一根弦线传播,其方程为y=-0.02cosπ(4x-50t)(SI),该波的振幅与波长分别为()。
A.0.02cm,0.5cm
B.-0.02m,-0.5m
C.-0.02m,0.5m
D.0.02m,0.5m