时间:2023-08-07 05:52:01


1、单项选择题 数值资料常见的频数分布的类型有()
A.正态分布和非正态分布  
B.正态分布和正偏态分布  
C.正态分布和负偏态分布  
D.正偏态分布和负偏态分布  
E.正态分布和偏态分布
2、单项选择题 最常用的调查方法是()
A.普查  
B.典型调查  
C.抽样调查  
D.登记调查  
E.询问调查
3、单项选择题 用某种新疗法治疗患者,治疗结果分别以治愈、显效、好转、恶化和死亡表示,该数据资料的类型是()
A.数值变量资料  
B.无序分类资料  
C.有序分类资料  
D.定量分类资料  
E.圆形分类资料
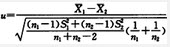
4、单项选择题 两大样本均数比较的计算公式为()
	A.
	B.
	C.
	D.
	E.
5、单项选择题 两样本均数经t检验,差别有统计学意义时,P越小,越有理由认为()
A.样本均数与总体均数差别大  
B.两样本均数差别越大  
C.两总体均数差别越大  
D.两样本均数不同  
E.两总体均数不同
6、单项选择题 某病患病率指标是()
	A.绝对数
	B.频率指标
	C.构成指标
	D.相对比指标
	E.动态数列
7、单项选择题 多个均数间的两两比较检验方法是()
	A.变量变换
	B.Bartlettχ2检验
	C.u检验
	D.F检验
	E.q检验
8、单项选择题 配对设计是()
	A.多个实验因素的各水平进行组合,对各种可能的组合都进行实验
	B.受试对象配成对子,每对中的受试对象分别接受不同的处理
	C.受试对象配成区组,每个区组中的受试对象分别接受不同的处理
	D.受试对象随机分配到不同处理组中进行实验
	E.特殊的自身对照设计,以比较各处理组间的差异
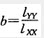
9、单项选择题 求得两变量X和Y的线性回归方程后,对回归系数作假设检验的目的是()
A.对样本截距作推断  
B.对总体截距作推断  
C.对样本斜率作推断  
D.对总体斜率作推断  
E.对决定系数作推断
10、单项选择题 标题是()
	A.表的说明
	B.表的名称
	C.表的项目
	D.表的数量
	E.表的内容
11、单项选择题 观察某药对病人治疗的结果:用治愈和非治愈表示,该资料为()
A.数值变量资料  
B.无序分类资料  
C.有序分类资料  
D.等级分类资料  
E.圆形分类资料
12、单项选择题 实验研究和调查研究的根本区别为()
A.是否进行随机抽样  
B.是否进行随机分组  
C.是否主动对研究对象施加干预措施  
D.是否以人为研究对象  
E.是否以动物为研究对象
13、单项选择题
行×列表资料的χ2检验用于()
	A.两个样本率的比较
	B.多个样本率的比较
	C.多个均数间的比较
	D.配对分类资料的比较
	E.列联表行列是否存在联系的分析
14、单项选择题 某地有30万人口,农村居民占90%,现欲作农村居民HIV感染情况及其影响因素的调查研究,较适宜的调查方法是()
A.普查  
B.典型调查  
C.系统抽样调查  
D.整群抽样调查  
E.简单随机抽样调查
15、单项选择题
χ2检验应用的统计资料是()
	A.数值变量资料
	B.无序分类资料
	C.有序分类资料
	D.等级分类资料
	E.圆形分类资料
16、单项选择题 为比较两所等级和规模均相同的医院的治愈率,若各医院各科病人数的内部构成不同时,为避免产生假象,关键要进行的是()
A.分科比较  
B.分病比较  
C.率的标准化  
D.率的参数估计  
E.率的假设检验
17、单项选择题 线图表示的是()
	A.相互独立的统计指标的大小
	B.事物中各部分比重的大小
	C.事物在时间上的发展变化
	D.事物的数量在地域上的分布
	E.两事物间的相关关系
18、单项选择题 某地提供A、B、O、AB血型人数分布的数据是()
	A.数值变量资料
	B.无序分类资料
	C.有序分类资料
	D.等级分类资料
	E.圆形分类资料
19、单项选择题 95%的医学参考值范围的计算公式为()
	A.
	B.
	C.
	D.
	E.
20、单项选择题 描述偏态分布资料个体观察值变异程度的指标是()
	A.极差
	B.均数
	C.中位数
	D.标准差
	E.变异系数
21、单项选择题 对某地小学生近视进行调查,描述患者的年龄分布可选用的统计图为()
A.线图  
B.直条图  
C.直方图  
D.构成图  
E.散点图
22、单项选择题
四格表资料的χ2检验用于()
	A.两个样本率的比较
	B.多个样本率的比较
	C.多个均数间的比较
	D.配对分类资料的比较
	E.列联表行列是否存在联系的分析
23、单项选择题 年龄别死亡率是()
	A.某地某年平均每千人口中的死亡数
	B.某年某年龄组平均每千人口中的死亡数
	C.可以消除年龄结构对死亡的影响
	D.某年平均每千人口中的婴儿的死亡数
	E.某年平均每千活产数中的婴儿的死亡数
24、单项选择题 方差分析的应用条件是()
	A.独立性、方差齐和非正态性
	B.独立性、方差不齐和非正态性
	C.独立性、方差不齐和正态性
	D.独立性、方差齐和正态性
	E.非独立性、方差齐和正态性
25、单项选择题 反映一组等比资料集中趋势的指标是()
	A.均数
	B.极差
	C.中位数
	D.标准差
	E.几何均数
26、单项选择题 反映一组偏态分布资料的平均水平的指标是()
A.均数  
B.极差  
C.中位数  
D.标准差  
E.几何均数
27、单项选择题 方差分析的基本思想为()
A.组间均方大于组内均方  
B.误差均方必然小于组间均方  
C.组内方差显著大于组间方差时,该因素对所考察指标的影响显著  
D.总离均差平方和及其自由度按设计可以分解成几种不同的来源  
E.组间方差显著大于组内方差时,该因素对所考察指标的影响显著
28、单项选择题 完全寿命表是()
A.0.5岁为一个年龄组  
B.1岁为一个年龄组  
C.1.5岁为一个年龄组  
D.5岁为一个年龄组  
E.15岁为一个年龄组
29、单项选择题 在直线回归方程Y=a+bX中,回归系数b表示()
A.当X=0时Y的平均值  
B.当Y=0时X的平均值  
C.X变动一个单位时Y的变动总量  
D.X变动一个单位时Y的平均变动量  
E.Y变动一个单位时X的平均变动量
30、单项选择题 某医院用两种方案治疗急性肝炎,观察疗效为:无效、好转、显效和痊愈。比较两种方案疗效之间的差别,应采用的统计分析方法是()
A.χ2检验  
B.t检验  
C.方差分析  
D.秩和检验  
E.相关回归分析
31、单项选择题 95%的小样本可信区间的计算公式为()
	A.
	B.
	C.
	D.
	E.
32、单项选择题 作配对t检验的前提条件是()
A.两组数据不独立  
B.两组数据相互独立  
C.两组数据方差齐  
D.两组数据均服从正态分布  
E.两组数据的差值服从正态分布
33、单项选择题 方差分析中方差齐性检验常用的方法是()
	A.t检验
	B.u检验
	C.F检验
	D.χ2检验
	E.Bartlettχ2检验
34、单项选择题 按调查对象的范围,常用调查方法分为()
A.普查、抽样调查、病例调查  
B.普查、典型调查、队列调查  
C.普查、抽样调查、案例调查  
D.普查、抽样调查、典型调查  
E.普查、抽样调查、队列调查
35、单项选择题 相关系数的计算公式为()
	A.
	B.
	C.
	D.
	E.
36、单项选择题 二项分布的应用条件是()
A.各观察单位的观察结果是相互独立的  
B.各观察单位的观察结果是不独立的  
C.各观察单位的观察结果是单一的  
D.各观察单位的观察结果是多种情况的  
E.某一观察结果的概率为非常数的
37、单项选择题
行×列χ2检验的专用公式是()
	A.
	B.
	C.
	D.
	E.
38、单项选择题 同质研究对象的全体是()
	A.变异
	B.变量
	C.总体
	D.样本
	E.概率
39、单项选择题 随机区组设计资料的方差分析的总变异分解为()
	A.
	B.
	C.
	D.
	E.
40、单项选择题 反映事物发展速度的指标是()
A.绝对数  
B.频率指标  
C.构成指标  
D.相对比指标  
E.动态数列
41、单项选择题 计算麻疹疫苗接种后作血清检查的阳转率,分母为()
	A.麻疹易感人群
	B.麻疹患者数
	C.麻疹疫苗接种人数
	D.麻疹疫苗接种后的阳转人数
	E.麻疹疫苗接种后的阴性人数
42、单项选择题 测得某地20名男青年的脉搏数(次/分)分别为70、69、73、…、67。该组资料应为()
A.数值变量资料  
B.无序分类资料  
C.有序分类资料  
D.等级分类资料  
E.圆形分类资料
43、单项选择题 回归系数的计算公式为()
	A.
	B.
	C.
	D.
	E.
44、单项选择题
	正态分布曲线下, ±1.96S的范围包括全部变量值的百分数是()
±1.96S的范围包括全部变量值的百分数是()
	A.80.0%
	B.90.0%
	C.95.0%
	D.99.0%
	E.99.5%
45、单项选择题 对于明显偏离正态性和方差不齐的资料,通常选用的处理方法是()
	A.变量变换
	B.Bartlettχ2检验
	C.u检验
	D.F检验
	E.q检验
46、单项选择题 构成图表示的是()
	A.相互独立的统计指标的大小
	B.事物中各部分比重的大小
	C.事物在时间上的发展变化
	D.事物的数量在地域上的分布
	E.两事物间的相关关系
47、单项选择题 散点图表示的是()
A.相互独立的统计指标的大小  
B.事物中各部分比重的大小  
C.事物在时间上的发展变化  
D.事物的数量在地域上的分布  
E.两事物间的相关关系
48、单项选择题 配伍组设计是()
	A.多个实验因素的各水平进行组合,对各种可能的组合都进行实验
	B.受试对象配成对子,每对中的受试对象分别接受不同的处理
	C.受试对象配成区组,每个区组中的受试对象分别接受不同的处理
	D.受试对象随机分配到不同处理组中进行实验
	E.特殊的自身对照设计,以比较各处理组间的差异
49、单项选择题 系统抽样是()
	A.随机抽取总体中各个群的全部观察对象组成样本
	B.随机抽取总体一定数量的观察单位组成样本
	C.将总体按一定顺序分为几个部分,等间隔抽取几个部分组成样本
	D.将总体按某种特征分组,每组随机抽取观察单位组成样本
	E.将总体按时间分组,抽取中位时间的观察单位组成样本
50、单项选择题 测量身高和体重指标所得的变量是()
A.定量变量  
B.定性变量  
C.字符变量  
D.无序变量  
E.有序变量
51、单项选择题 分层抽样是()
A.随机抽取总体中各个群的全部观察对象组成样本  
B.随机抽取总体一定数量的观察单位组成样本  
C.将总体按一定顺序分为几个部分,等间隔抽取几个部分组成样本  
D.将总体按某种特征分组,每组随机抽取观察单位组成样本  
E.将总体按时间分组,抽取中位时间的观察单位组成样本
52、单项选择题 实验效应具有的特点是()
A.精密性、灵敏性、特异性、稳定性  
B.精密性、灵敏性、变异性、客观性  
C.精密性、灵敏性、变异性、均衡性  
D.精密性、特异性、稳定性、客观性  
E.灵敏性、变异性、均衡性、稳定性
53、单项选择题 描述正态分布资料的集中趋势的指标是()
A.均数  
B.极差  
C.中位数  
D.标准差  
E.几何均数
54、单项选择题 二项分布接近泊松分布的条件是()
A.μ=nπ  
B.μ≥20  
C.μ=0.5  
D.n很大且π接近0  
E.n很大且π接近0.5
55、单项选择题 在调查设计中,选择合适的调查方法主要取决于()
A.工作方便  
B.研究的目的和条件  
C.研究者的主观愿意  
D.研究对象所能提供的信息  
E.可任意选择
56、单项选择题 方差分析中方差齐性检验常用的方法是()
	A.变量变换
	B.Bartlettχ2检验
	C.u检验
	D.F检验
	E.q检验
57、单项选择题 计算麻疹疫苗接种后作血清检查的阳转率,分子为()
	A.麻疹易感人群
	B.麻疹患者数
	C.麻疹疫苗接种人数
	D.麻疹疫苗接种后的阳转人数
	E.麻疹疫苗接种后的阴性人数
58、单项选择题 频数分布的两个重要特征是()
	A.平均数越大和标准差越大
	B.平均数越大和标准差越小
	C.平均数越小和标准差越小
	D.平均数越小和标准差越大
	E.集中趋势和离散趋势
59、单项选择题 随机区组设计资料的方差分析中,总变异可以分解为()
A.组间变异和组内变异  
B.区组变异和组间变异  
C.区组变异和组内变异  
D.处理组间变异和误差变异  
E.处理组间变异、区组间变异和误差变异
60、单项选择题 泊松分布接近正态分布的条件是()
	A.μ=nπ
	B.μ≥20
	C.μ=0.5
	D.n很大且π接近0
	E.n很大且π接近0.5
61、单项选择题 观察事物的多样性和不确定性是()
A.变异  
B.变量  
C.总体  
D.样本  
E.概率
62、单项选择题 分类资料的相关分析用于()
	A.两个样本率的比较
	B.多个样本率的比较
	C.多个均数间的比较
	D.配对分类资料的比较
	E.列联表行列是否存在联系的分析
63、单项选择题 病人的年龄分布是()
	A.绝对数
	B.频率指标
	C.构成指标
	D.相对比指标
	E.动态数列
64、单项选择题 样本含量的估计主要取决于下列哪些因素()
A.α、β、δ、μ  
B.α、δ、σ、1-β  
C.δ、π、μ、λ  
D.α、β、S、μ  
E.α、β、δ、σ
65、单项选择题 在两样本均数比较的t检验中,无效假设是()
A.两样本均数不等  
B.两样本均数相等  
C.两总体均数不等  
D.两总体均数相等  
E.样本均数等于总体均数
66、单项选择题
配对资料的χ2检验用于()
	A.两个样本率的比较
	B.多个样本率的比较
	C.多个均数间的比较
	D.配对分类资料的比较
	E.列联表行列是否存在联系的分析
67、单项选择题
某地成年男子红细胞数普查结果:均数为4.8×1012/L,标准差为0.41×1012/L。0.41×1012/反映的是()
	A.抽样误差
	B.随机误差
	C.系统误差
	D.个体差异
	E.总体均数不同
68、单项选择题 实验组和对照组必须均衡,唯一不同的是()
A.观察指标  
B.观察时间  
C.实验因素  
D.抽样误差  
E.系统误差
69、单项选择题 比较7岁男童与17岁青年身高的变异程度的指标是()
	A.极差
	B.均数
	C.中位数
	D.标准差
	E.变异系数
70、单项选择题 观察人群中血压的测量值是()
A.数值变量资料  
B.无序分类资料  
C.有序分类资料  
D.等级分类资料  
E.圆形分类资料
71、单项选择题 婴儿的死亡率是()
A.某地某年平均每千人口中的死亡数  
B.某年某年龄组平均每千人口中的死亡数  
C.可以消除年龄结构对死亡的影响  
D.某年平均每千人口中的婴儿的死亡数  
E.某年平均每千活产数中的婴儿的死亡数
72、单项选择题 整群抽样是()
	A.随机抽取总体中各个群的全部观察对象组成样本
	B.随机抽取总体一定数量的观察单位组成样本
	C.将总体按一定顺序分为几个部分,等间隔抽取几个部分组成样本
	D.将总体按某种特征分组,每组随机抽取观察单位组成样本
	E.将总体按时间分组,抽取中位时间的观察单位组成样本
73、单项选择题 描述正态分布资料个体观察值的离散趋势的最常用指标是()
A.极差  
B.均数  
C.中位数  
D.标准差  
E.变异系数
74、单项选择题 当n大于100时,总体率95%的可信区间估计为()
	A.p±1.65Sp
	B.p±1.96Sp
	C.p±2.58Sp
	D.p±1.96S
	E.p±2.58S
75、单项选择题 完全随机设计资料方差分析的总变异分解为()
	A.
	B.
	C.
	D.
	E.
76、单项选择题 粗死亡率是()
A.某地某年平均每千人口中的死亡数  
B.某年某年龄组平均每千人口中的死亡数  
C.可以消除年龄结构对死亡的影响  
D.某年平均每千人口中的婴儿的死亡数  
E.某年平均每千活产数中的婴儿的死亡数
77、单项选择题 两个或多个样本均数比较的检验方法是()
	A.变量变换
	B.Bartlettχ2检验
	C.u检验
	D.F检验
	E.q检验
78、单项选择题 二项分布的总体均数为()
	A.μ=nπ
	B.μ≥20
	C.μ=0.5
	D.n很大且π接近0
	E.n很大且π接近0.5
79、单项选择题 用于表示均数抽样误差大小的统计指标是()
A.方差  
B.标准差  
C.标准误  
D.变异系数  
E.离均差平方和
80、单项选择题
	三个样本率比较, ,可以认为()
,可以认为()
	A.各总体率不等或不全相等
	B.各总体率均不相等
	C.各样本率均不相等
	D.各样本率不等或不全相等
	E.各总体率相等
81、单项选择题
χ2检验中计算χ2值的基本公式是()
	A.
	B.
	C.
	D.
	E.
82、单项选择题 标化死亡率是()
A.某地某年平均每千人口中的死亡数  
B.某年某年龄组平均每千人口中的死亡数  
C.可以消除年龄结构对死亡的影响  
D.某年平均每千人口中的婴儿的死亡数  
E.某年平均每千活产数中的婴儿的死亡数
83、单项选择题 事件发生的可能性大小的度量为()
A.变异  
B.变量  
C.总体  
D.样本  
E.概率
84、单项选择题 完全随机设计是()
A.多个实验因素的各水平进行组合,对各种可能的组合都进行实验  
B.受试对象配成对子,每对中的受试对象分别接受不同的处理  
C.受试对象配成区组,每个区组中的受试对象分别接受不同的处理  
D.受试对象随机分配到不同处理组中进行实验  
E.特殊的自身对照设计,以比较各处理组间的差异
85、单项选择题 假设检验的目的是()
A.研究总体指标的变化  
B.研究样本指标的变化  
C.排除主观因素对抽样的影响  
D.排除抽样误差的影响  
E.排除系统误差的影响
86、单项选择题 95%的大样本可信区间的计算公式为()
	A.
	B.
	C.
	D.
	E.
87、单项选择题 简略寿命表是()
	A.0.5岁为一个年龄组
	B.1岁为一个年龄组
	C.1.5岁为一个年龄组
	D.5岁为一个年龄组
	E.15岁为一个年龄组
88、单项选择题
	已知服从正态分布某医学指标,求得算术平均数( ),标准差(S)。区间[
),标准差(S)。区间[ -1.96s,X+1.96S]所代表的含义为()
-1.96s,X+1.96S]所代表的含义为()
	A.样本均数的95%可信区间
	B.总体均数的95%可信区间
	C.该医学指标的90%正常值范围
	D.该医学指标的95%正常值范围
	E.该医学指标的99%正常值范围