时间:2023-01-09 03:27:35


1、单项选择题
每段长度相等的直角折杆在图4-41所示的平面内绕O轴转动,角速度ω为顺时针转向,M点的速度方向应是图中的()。

A.A
B.B
C.C
D.D
2、单项选择题
如图4-13所示,重力为W的圆球置于光滑的斜槽内,右侧斜面对球的约束力的大小为()。

A.
B.
C.
D.
3、单项选择题
图4-1所示三力矢F1、F2、F3的关系是()。

A.F1+F2+F3=0
B.F3=F1+F2
C.F2=F1+F3
D.F1=F2+F3
4、单项选择题
图示平面机构,各杆长度为AB=20cm,BC=ED=EF=30cm,CE=CD,杆AB以匀角速度ω=4πrad/s绕A轴转动。图示位置=45°,BC和EF水平,ED竖直。此瞬时杆ED的角加速度为()。

A.
,顺时针向
B
.,逆时针向
C
.,逆时针向
5、单项选择题 点M在曲线AOB上运动。曲线由AO、OB两段圆弧组成。AO段曲率半径R1=18m,OB段曲率半径R2=24m,取两圆弧交接点O为原点,并规定正负方向如图示。已知点M的运动方程为s=3+4t-t2(t以秒计,s以米计),则t=5秒时点M的加速度大小为()。
A.1.5m/s2
B.2m/s2
C.2m/s2
D.4m/s2
6、单项选择题
重力大小为W的物块能在倾斜角为α的粗糙斜面上下滑,为了维持物块在斜面上平衡,在物块上作用向左的水平力Fq(图4-33)。在求解力Fq的大小时,物块与斜面间的摩擦力F方向为()。

A.F只能沿斜面向上
B.F只能沿斜面向下
C.F既可能沿斜面向上,也可能向下
D.F=0
7、单项选择题
点M沿平面曲线运动,在某瞬时,速度大小ν=6m/s,加速度大小a=8m/s2,两者之间的夹角为30°,如图4-38所示,则点M所在之处的轨迹曲率半径ρ为()m。

A.1.5
B.4.5
C.
D.9
8、单项选择题
图示ABCD为一均质等厚薄板,重Q=200N,角A用球铰链支承,角B用蝶铰链与墙连接,再用绳索CE拉住使板保持在水平位置,则绳索拉力T和铰链B的约束力XB、ZB应分别为()。

A.100N,0N,100N
B.200N,0N,0N
C.300N,0N,50N
D.400N,0N,0N
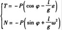
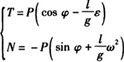
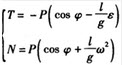
9、单项选择题
如图所示,均质杆OA,重为P,长为2l,绕过O端的水平轴在铅直面内转动,转到角时,有角速度ω和角加速度ε,则此时铰链O处约束力T和N为()。

A.
B.
C.
D.
10、单项选择题
图示平面机构,杆AB连接两滑块置于直角槽内。A以匀速率vA=1m/s沿槽运动。=45°,AB=2m,图示位置AB杆处于水平,则该瞬时B点的加速度为()。

A.m/s2,向下
B.m/s2,向上
C.1m/s2,向下
D.1m/s2,向上
11、单项选择题
如图所示,单摆由无重刚杆OA和质量为m的小球A构成。小球上连有两个刚性系数为k的水平弹簧,则摆微振动的固有圆频率为()。

A.
B.
C.
D.
12、单项选择题
如图所示,在倾角为α的光滑斜面上置一刚性系数为k的弹簧,一质量为m的物体沿斜面下滑s距离与弹簧相碰,碰后弹簧与物块不分离并发生振动,则自由振动的固有圆频率为()。

A.
B.
C.
D.
13、单项选择题
图示为切断钢锭的设备,在顶角为30°的尖臂上作用铅直力Q,设钢锭与尖劈之间的摩擦系数为f,则作用于钢锭上的水平推力为()。

A.
B.
C.
D.
14、单项选择题
如图4-46所示,圆盘某瞬时以角速度ω,角加速度α绕轴O转动,其上A、B两点的加速度分别为αA和αB,与半径的夹角分别为θ和φ。若OA=R,OB=R/2,则αA和αB,θ与φ勺关系分别为()。

A.αA=αB,θ=φ
B.αA=αB,θ=2φ
C.αA=2αB,θ=φ
D.αA=2αB,θ=2φ
15、单项选择题
图示平面机构,ABCD为一平行四边形。EF杆的E端铰接BC杆,F端铰接滑块可在铅直槽内滑动。已知AB=10cm,EF=20cm。在图示位置ω=2rad/s,且EF∥AB,则此瞬时杆EF的角速度应为()。

A.2rad/s,顺时针向
B.2rad/s,逆时针向
C.1rad/s,顺时针向
D.1rad/s,逆时针向
16、单项选择题 均质细直杆OA长为ι,质量为m,A端固结一质量为m的小球(不计尺寸),如图4-76所示。当OA杆以匀角速度ω绕O轴转动时,该系统对O轴的动量矩为()。
A.
B.
C.mι2ω
D.
17、单项选择题
如图所示,ABC三个质量弹簧系统的固有圆频率分别为P1、P2、p3,则它们之间的关系是()。

A.P12=p3
B.P23=P1
C.p31=P2
D.P1=P2=p3
18、单项选择题
如图所示,物块A重为P,连在不计重量、不伸长的绳子上。绳子绕过定滑轮D并绕在鼓轮B上。当A下落时带动轮C沿水平直线轨道作纯滚动。鼓轮B的半径为r,C的半径为R,两轮固连,总重为Q,其对水平中心轴O的回转半径为ρ,轮D半径r,重不计,则物块A的加速度a为()。

A.
B.
C.
D.
19、单项选择题
均质杆AB长为l,重为P,用两绳悬挂如图示。当右绳突然断裂时,杆质心C的加速度ac和左绳拉力T的大小为()。

A.
B.
C.
D.
20、单项选择题
如图4-79所示水平杆AB=ι,质量为2m,剪断绳BC瞬间,A处约束力为()。

A.2mg
B.mg
C.
D.
21、单项选择题
图示三铰半圆拱结构,受两力偶m1、m2作用,该两力偶分别作用于AC和BC上,其转向相反,但大小相等。则A、B铰链处约束反力应为()。

A.(0,0)
B.水平
C.水平
D.铅直
22、单项选择题
图示平面机构由O1A、O2B杆件与直角三角板ABC构成。图示位置O1A、O2B均垂直水平线O1O2,且O1A=O2B=BC=R,AB=2R,此时杆O1A以角速度ω转动,则三角板上C点的速度应为()。

A.Rω,水平向右
B.2Rω,垂直CO1向上
C.Rω,水平向左
D.2Rω,垂直CO2向右
23、单项选择题
如图4-54所示,平面机构在图示位置时,杆AB水平而杆OA铅直,若B点的速度νB≠0,加速度aB=0。则此瞬时杆OA的角速度、角加速度分别为()。

A.ω=0,α≠0
B.ω≠0,α≠0
C.ω=0,α=0
D.ω≠0,α=0
24、单项选择题 自由质点受力作用而运动时,质点的运动方向是()。
A.作用力的方向
B.加速度的方向
C.速度的方向
D.初速度的方向
25、单项选择题
在图4-75中,圆轮的惯性力系向轮心C点简化时,其主矢和主矩的数值分别为()。

A.
B
C.
D.
26、单项选择题 一炮弹以初速度和仰角α射出。对于图4-50所示直角坐标的运动方程为,则当t=0时,炮弹的速度和加速度的大小分别为()。
A.ν=ν0cosα,α=g
B.ν=ν0,α=g
C.ν=ν0sinα,α=-g
D.ν=ν0,α=-g
27、单项选择题
两直角刚杆ACD,BEC在C处铰接,并支承如图4-23所示。若各杆重不计,则支座A处约束力的方向为()。

A.FA的作用线沿水平方向
B.FA的作用线沿铅垂方向
C.FA的作用线平行于B、C连线
D.FA的作用线方向无法确定
28、单项选择题
如图所示,一弹簧的刚性系数为k,一端固定于O点,另一端连接一重为P的小环A,使其能沿半径为R的铅直大圆环上滑动。弹簧原长为R,则小环从A到B,弹性力和重力做功总和为()。

A.
B.
C.
D.
29、单项选择题
图4-10所示刚架中,若将作用于在B处的水平力P沿其作用线移至C处,则A、D处的约束力()。

A.都不变
B.都改变
C.只有A处改变
D.只有D处改变
30、单项选择题 在图4-74中,将圆环的惯性力系向O点简化,其主矢和主矩的数值为()。
A.=0,=0
B.=mRω2,=0
C.=mRω2,≠0
D.=0,≠0
31、单项选择题
图示平面桁架受水平力P,则竖直杆1、2和斜杆3的内力应为()。

A.60kN,40kN,-25kN
B.60kN,40kN,25kN
C.-60kN,-40kN,25kN
D.-60kN,-40kN,-25kN
32、单项选择题
如图所示,某轮A上装置一重为W的物块B,于某瞬时(t=0)由水平路面进入一曲线路面并继续以匀速v行驶。该曲线路面按的规律起伏(设坐标原点O1及坐标轴y1如图示)轮A进入曲线路面时,物块B在铅垂方向无速度已知弹簧的刚性系数为k。试求物B的强迫振动振幅和轮A的临界速度v为()。

A.
B.
C.
D.
33、单项选择题
图示均质直角三角板ABC置于铅直面上,并受板面内三根链杆支承,其中A杆沿AB,B杆沿BC,C杆沿CA。板自重为Q,并受在板面上的水平力P作用,且AD=DB。则此三根链杆的约束力可由方程组()解得。

A.
B.
C.
D.
34、单项选择题
如图4-57所示质量为m、长为ι的杆OA以ω的角速度绕轴O转动,则其动量为()。

A.mιω
B.0
C.
D.
35、单项选择题
图4-11所示一绞盘有三个等长为ι勺柄,三个柄均在水平面内,其间夹角都是120°。如在水平面内,每个柄端分别作用一垂直于柄的力F1、F2、F3,且有F1=F2=F3=F,该力系向O点简化后的主矢及主矩为()。

A.
B.
C.
D.
36、单项选择题
如图所示,弹簧一端固定于A点,A是半径为R的铅直大圆环的最高点,弹簧另一端连接一质量为m的小圆环M,M可沿固定大圆环滑动。M初位置在M0点,而AM0=R=弹簧原长。当M从M0不受摩擦、无初速度地滑至大环最低点B,此时欲使M对大环的压力等于零,则该弹簧的弹簧常数K应为()。

A.
B.
C.
D.
37、单项选择题
图4-24中,均质杆AB重力为F,用铅垂绳CD吊在天花板上,A、B两端分别靠在光滑的铅垂墙面上,则A、B两端约束力的大小是()。

A.A、B两点约束力相等
B.B点约束力大于A点约束力
C.A点约束力大于B点约束力
D.无法判断
38、单项选择题
不经计算,通过直接判定得出图4-30所示桁架中内力为零的杆数为()。

A.2根
B.3根
C.4根
D.5根
39、单项选择题 均质圆环的质量为m,半径为R,圆环绕O轴的摆动规律为φ=ωt,ω为常数。图4-74所示瞬时圆环对转轴O的动量矩为()。
A.mR2ω
B.2mR2ω
C.3mR2ω
D.
40、单项选择题
图示五层三铰框架结构。几何尺寸如图。受水平力P作用,则铰链支座A、B处水平约束力XA、XB应分别为()。(正号表示水平向右,负号向左)

A.
B.
C.
D.
41、单项选择题
图示悬臂梁AB,梁长l,受集中力P和线性分布力q作用,则固定端A处的约束力、约束力偶的大小应为()。

A.(0,P+lq,0)
B.
C.
D.
42、单项选择题
如图所示,升降机皮带轮C上作用一常力矩M,被提升重物A的重量为P1,平衡锤B的重量为P2,皮带轮C、D的半径均为R,重量均为Q,均为均质圆柱体。不计皮带质量,则重物A的加速度为()。

A.
B.
C.
D.
43、单项选择题
偏心凸轮机构,偏心距为e,轮半径R=e,轮以匀角速度ω绕O轴转动并推动杆AB沿铅直槽滑动。在图示位置,OC上CA。D、A、B在一直线上。若以杆AB的A点为动点,动系固结于轮上,静系固结于地面,则A点的科氏加速度a应为()。
A.
,方向由C向A
B.
,方向由C向A
C
.,方向由A向C
D.
,方向由A向c
44、单项选择题
如图4-71所示曲柄连杆机构中,OA=r,AB=2r,OA、AB及滑块B质量均为m,曲柄以ω的角速度绕O轴转动,则此时系统的动能为()。

A.
B.
C.
D.
45、单项选择题
图示平面桁架,则杆AB和杆AC的内力S1、S2应为()。

A.P,0
B.-P(受压),0
C.P,P
D.一P(受压),P
46、单项选择题
直角刚杆OAB在图4-45示瞬时角速度ω=2rad/s,角加速度a=5rad/s2,若OA=40cm,AB=30cm,则B点的速度大小、法向加速度的大小和切向加速度的大小为()。

A.100cm/s,200cm/s2,250cm/s2
B.80cm/s,160cm/s2,200cm/s2
C.60cm/s,120cm/s2,150cm/s2
D.100cm/s,200cm/s2,200cm/s2
47、单项选择题
偏心凸轮机构,偏心距为e,轮半径R=e,轮转动时将推动AB杆绕A轴转动。图示位置,OC⊥CB,OB在铅直位置,此时轮的角速度为ω,杆AB水平,B端搁置缘上,杆长为L,则此瞬时杆AB的角速度应为()。

A.
B.
C.
D.
48、单项选择题
均质细杆AB重力为P、长2L,A端铰支,B端用绳系住,处于水平位置,如图4-73所示。当B端绳突然剪断瞬时AB杆的角加速度大小为()。

A.0
B.
C.
D.
49、单项选择题
如图4-62所示质量为m的三角形物块,其倾斜角为θ,可在光滑的水平地面上运动。质量为m的矩形物块又沿斜面运动。两块间也是光滑的。该系统的动力学特征(动量、动量矩、机械能)有守恒情形的数量为()。

A.0个
B.1个
C.2个
D.3个
50、单项选择题
已知F1、F2、F3、F4为作用于刚体上的平面汇交力系,其力矢关系如图4-3所示,由此可知()。

A.该力系的主矢F=0
B.该力系的合力F=F4
C.该力系的合力F=2F4
D.该力系平衡
51、单项选择题
杆OA=ι,绕定轴O以角速度ω转动,同时通过A端推动滑块B沿轴x运动(图4-49)。设分析运动的时间内杆与滑块并不脱离,则滑块的速度νB的大小用杆的转角φ与角速度ω表示为()。

A.νB=ιωsinφ
B.νB=ιωcosφ
C.νB=ιωcos2φ
D.νB=ιωsin2φ
52、单项选择题
不经计算,通过直接判定得知图4-29所示桁架中零杆的数目为()。

A.4根
B.5根
C.6根
D.7根
53、单项选择题
如图所示,均质杆AB,质量为M,长为l,A端连接一质量为m的小球,并一起以角速度ω绕O轴转动,则此系统对O轴的动量矩和动能T为()。

A.
B.
C.
D.
54、单项选择题
图4-47所示机构中,杆AB的运动形式为()。

A.定轴转动
B.平行移动
C.平面运动
D.以O为圆心的圆周运动
55、单项选择题
图示一空心楼板ABCD,重Q=7kN,一端支承在AB中点E,并在G、H两点用绳索拉住,其位置CG=DH=AD/8,则二绳索的拉力及E处约束力应分别为()。

A.49/16kN,49/16kN,14/16kN
B.1kN,1kN,5kN
C.2kN,2kN,3kN
D.3kN,3kN,1kN
56、单项选择题
图4-19所示构架由AC、BD、CE三杆组成,A、B、D、C处为铰接,E处光滑接触。已知:Fp=2kN,θ=45°,杆及轮重均不计。则E处约束力的方向与x轴正向所成的夹角为()。

A.0°
B.45°
C.90°
D.225°
57、单项选择题
图示构架,在铅直杆的D端受水平力P作用,物块重Q,杆、轮和绳重不计。C、O处均为圆柱铰链,A、B为铰链支座。已知P=Q=1kN,则A处水平约束力为()。

A.0.5kN,向左
B.1kN,向左
C.2kN,向左
D.3kN,向左
58、单项选择题
二摩擦轮如图4-51所示,则两轮的角速度与半径关系的表达式为()。

A.
B.
C.
D.
59、单项选择题
绳子跨过滑轮O,A端挂重为P的人,B端挂着重为P的物块。轮重不计。系统开始静止。当此人相对绳子以速度u向上爬绳时,物块B和人A相对地面的速度应为()。

A.
B.
C.
D.
60、单项选择题
图示组合结构,P1=P2=5kN,均布力q=2kN/m。则杆1的内力应为()。

A.12kN,拉杆
B.16kN,拉杆
C.20kN,拉杆
D.24kN,拉杆
61、单项选择题
杆OA与均质圆轮的质心用光滑铰链A连接,如图4-66所示,初始时它们静止于铅垂面内,现将其释放,则圆轮A所作的运动为()。

A.平面运动
B.绕轴O的定轴转动
C.平移
D.无法判断
62、单项选择题 一定轴转动刚体,其转动方程为,其中a、b均为常数,则知该刚体做()。
A.匀加速转动
B.匀减速转动
C.匀速转动
D.无法判断
63、单项选择题
某平面任意力系向O点简化后,得到如图4-7所示的一个主矢F'和一个主矩Mo,则该力系的最后简化结果为()。

A.作用在O点的一个合力
B.合力偶
C.作用在O点右边某点的一个合力
D.作用在O点左边某点的一个合力
64、单项选择题
已知图4-22所示结构中的g,L,则固定端B处约束力的值为(设力偶逆时针转向为正)()。

A.
B.
C.
D.
65、单项选择题
三铰拱上作用有大小相等、转向相反的两个力偶,其力偶矩大小为M,如图4-14所示。略去自重,则支座A的约束力大小为()。

A.
B.
C.
D.
66、单项选择题
]如图所示,均质圆柱A、B重均为P,半径均为r,绳子一端绕在绕O轴转动的A圆柱上,另一端绕在B圆柱上。若不计摩擦,则B落下时其质心C的加速度aC为()。

A.g
B.4/5g
C.3/4g
D.1/2g
67、单项选择题
图4-39所示机构中,杆O1A=O2B,O1A∥O2B,杆O2C=O3D,O2C∥O3D,且O1A=20cm,O2C=40cm,CM=MD=30cm,若杆O1A以角速度ω=3rad/s匀速转动,则M点速度的大小和B点加速度的大小分别为()。

A.60cm/s,120cm/s2
B.120cm/s,150cm/s2
C.60cm/s,360cm/s2
D.120cm/s,180cm/s2
68、单项选择题
等边三角形ABC,边长为a,沿其边缘作用大小均为F的力F1、F2、F3,方向如图4-12所示,力系向A点简化的主矢及主矩的大小分别为()。

A.
B.
C.
D.
69、单项选择题
图4-8所示结构在斜杆CD的中点作用一铅垂向下的力F,杆AB水平,各杆的自重不计,铰支座A的约束力FA的作用线应该是()。

A.沿水平方向
B.沿铅垂方向
C.沿A、D连线
D.无法判断
70、单项选择题
如图所示,两小车A、B的质量分别为mA=1000kg,mB=2000kg,在水平直线轨道上分别以匀速vA=2m/s和vB=1.2m/s运动。一质量为mC=200kg的重物以俯角φ=60°,速度vC=4m/s落入A车内。当A车与B车相碰后紧接在一起运动。若不计水平向摩擦,则两车一起运动的速度为()。

A.1.5m/s
B.2m/s
C.2.5m/s
D.3m/s
71、单项选择题 在题1中,C处铰链约束力RC的方位应为()。
A.RC垂直P
B.RC平行P
C.RC沿CE
D.RC沿CF
72、单项选择题
平面结构如图4-26所示,自重不计。已知F=100kN。判断图示BCH桁架结构中,内力为零的杆数是()。
A.3
B.4
C.5
D.6
73、单项选择题
点P沿图4-36所示轨迹已知的平面曲线运动时,其速度大小不变,加速度a应为()。

A.a=a≠0,at=0(a:法向加速度,at:切向加速度)
B.a=0,at=a≠0
C.a≠0,at≠0,at+a=a
D.a=0
74、单项选择题
如图4-42所示,直角刚杆中AO=1m,BO=2m,已知某瞬时A点的速度νA=3m/s,而B点的加速度与BO成θ=60°,则该瞬时刚杆的角加速度为()rad/s2。

A.3
B.
C.
D.9
75、单项选择题
图示平面机构,半径为R的圆轮在水平直线轨道上作纯滚动,图示位置=60°,轮心A的速度为v,杆AB长l,B端紧靠铅直墙,则此瞬时B点速度vB和杆AB的角速度应为()。

A.
B.
C.
D.
76、单项选择题
如图所示,板长为Z,水平地置于直角槽内,已知板的A端与槽面间的摩擦系数为f,B端摩擦不计,若不计板重,则重为P的人站在板上能使板保持水平,其位置应为()。

A.
B.
C.
D.
77、单项选择题
如图所示,均质圆轮质量为m,轮上绕以细绳,绳的一端固定不动。轮心从初始位置A。无初速度下落,则当轮心降落高度为h时绳子一端的拉力T为()。

A.T=1/4mg
B.T=1/3mg
C.T=1/2mg
D.T=3/5mg
78、单项选择题
如图所示,均质杆OA,重为P,长为l,可在铅直平面内绕水平固定轴O转动。杆在图示铅直位置时静止,欲使杆转到水平位置,则至少要给杆以角速度ω为()。

A.
B.
C.
D.
79、单项选择题
图示混凝土锚锭。设混凝土墩重为1000kN,它与土壤之间的静摩擦系数f=0.6,若铁索与水平线夹角α=30°,则不致使混凝土墩滑动的最大拉力为()。

A.866kN
B.666kN
C.514kN
D.500kN
80、单项选择题
在图4-53所示四连杆机构中,杆CA的角速度ω1与杆DB的角速度ω2的关系为()。

A.ω2=O
B.ω2<ω1
C.ω1<ω2
D.ω2=ω1
81、单项选择题
图4-28中,桁架结构形式与载荷FP均已知。结构中杆件内力为零的杆件数为()。

A.零根
B.2根
C.4根
D.6根
82、单项选择题 如图4-77所示三个质量、半径相同的圆盘A、B和C,放在光滑的水平面上;同样大小和同方向的力F分别作用于三个圆盘的不同点,则惯性力分别向各自质心简化的结果是()。
A.惯性力主矢、主矩都相等
B.惯性力主矢相等、主矩不相等
C.惯性力主矢不相等、主矩相等
D.惯性力主矢、主矩都不相等
83、单项选择题
图示物块A和B叠放在水平固定面上。物块A与B之间的摩擦系数为f1=0.20(动摩擦系数可近似取此值)。物块B与固定面间的摩擦系数为f2=0.250物块A重WA=10N,物块B重WB=20N。若在物块A上施加力P=3N,则物块A和B能否保持平衡状态应为()。

A.A相对B滑动,B平衡
B.A、B物块都平衡
C.A、B物块都要滑动
D.A相对B平衡,B滑动
84、单项选择题
半圆形凸轮沿水平滑槽滑动并推动铅直杆AB沿铅直滑槽滑动。图示位置凸轮有速度为v,加速度为a,=30°,凸轮半径为R,则此瞬时杆AB的加速度为()。

A.
,向上
B.
,向下
C.
,向上
D
.,向下
85、单项选择题 放在弹簧平台上的物块A,重力为W,作上下往复运动,当经过图4-55所示位置1、0、2时(0为静平衡位置),平台对A的约束力分别为p1、p2、p3,它们之间大小的关系为()。
A.p1=p2=W=p3
B.p1>p2=W>p3
C.p12=W3
D.p13=W>P2
86、单项选择题
如图所示,两均质杆AC和BC各重P,长均为l,在C处以铰链连接,并置于光滑水平面上。C点的初始高度为h,两杆从静止开始在铅直面内落下,则铰链C到达地面C’时的速度vC为()。

A.
B.
C.
D.
87、单项选择题 重为W的人乘电梯铅垂上升,当电梯加速上升、匀速上升及减速上升时,人对地板的压力分别为这p1、p2、p3,它们之间的大小关系为()。
A.p1=p2=p3
B.p1>p2>p3
C.p123
D.p12>p3
88、单项选择题
图4-25所示起重机的平面构架,自重不计,且不计滑轮自重。已知F=100kN,L=70cm,B、D、E为铰链连接,则支座A的约束力为()。

A.FAX=100kN(←),F=150kN(↓)
B.FAX=100kN(→),F=50kN(↑)
C.FAX=100kN(←),F=50kN(↓)
D.FAX=100kN(←),F=100kN(↓)
89、单项选择题
半径为R的滑轮上绕一绳子,绳与轮间无相对滑动。绳子一端挂一物块,在图示位置物块有速度v和加速度a,M点为滑轮上与铅垂绳段的相切点,则在此瞬时M点加速度的大小为()。

A.0
B.a
C.v2/R
D.
90、单项选择题
如图4-2所示,将大小为100N的力F沿x、y方向分解,若F在x轴上的投影为50N,而沿x方向的分力的大小为200N,则F在y轴上的投影为()。

A.0
B.50N
C.200N
D.100N
91、单项选择题
如图4-80所示两系统均作自由振动,其中图a系统的周期和图b系统的周期分别为()。

A.
B.
C.
D.
92、单项选择题
均质细直杆AB长为ι,质量为m,以匀角速度ω绕O轴转动,如图4-69所示,则AB杆的动能为()。

A.
B.
C.
D.
93、单项选择题
在图示平面机构中,AB杆借助滑套B带动直角杆CDE运动,在图示位置,θ=30°,角速度ω=2rad/s,角加速度ε=1rad/s2,且知曲柄AB长L=10cm,则该瞬时D点的速度V和加速度a为()。

A.10cm/s↑,20+5cm/s2↑
B.10cm/s↓,20+5cm/s2↑
C.10cm/s↑,20+5cm/s2↓
D.10cm/s↓,20+5cm/s2↓
94、单项选择题
图示平面结构,受集中力P、匀布力q和力偶矩m作用,几何尺寸和各处约束如图示,则固定端C处的水平约束反力应为()。

A.
,向左
B.
,向左
C.
,向右
D.
,向右
95、单项选择题
图4-35所示一重力大小为W=60kN的物块自由放置在倾角为θ=30°的斜面上,若物块与斜面间的静摩擦因数为f=0.4,则该物块的状态为()。

A.静止状态
B.临界平衡状态
C.滑动状态
D.条件不足,不能确定
96、单项选择题
图示杆OA以角速度ψ1绕O轴旋转,轮C相对杆以角速度ω2在杆上滚动。轮半径为R,杆长为2l,此瞬时OB=BA。若以轮心C为动点,动系固结在OA杆上,则C点的牵连速度vE为()。

A.Rω2,⊥BC向下
B.,⊥OB向上
C.,⊥BC向下
D.,⊥OC向上
97、单项选择题
如图所示,在鼓轮上作用一力F,F=300N,倾角为60°,鼓轮两半径r1=20cm,r2=50cm,则力F对鼓轮与水平面接触点A之矩MA(F)为()。

A.-1500N·cm,顺时针方向
B.+1500N·cm,逆时针方向
C.,顺时针方向
D.,逆时针方向
98、单项选择题
图示平面机构,曲柄OA长R,以角速度ω绕O轴转动,并通过杆端滑块A带动摆杆O1B绕O1轴转动。已知OA=OO1,图示位置=300,则此时杆O1B的角速度为()。

A.ω/4,逆时针向
B./2ω,逆时针向
C.ω,逆时针向
D.2ω,逆时针向
99、单项选择题
在图4-64中,杆AB在该位置的动能为()。

A.
B.
C.
D.
100、单项选择题
图示力T沿AB,T=1kN;ON轴在Oxz平面内,则T对x、y、N轴的矩分别为()。

A.
B.
C.
D.
101、单项选择题 均质细杆AB重力为W,A端置于光滑水平面上,B端用绳悬挂如图4-56所示。当绳断后杆在倒地的过程中,质心C的运动轨迹为()。
A.圆弧线
B.曲线
C.铅垂直线
D.抛物线
102、单项选择题 振幅频率特性曲线表明,欲减少强迫振动的振幅,可采取的措施有()。
A.增加阻尼
B.避开共振区
C.增加阻尼,或使,或使
D.,或增加阻尼
103、单项选择题
图示混凝土锚锭。设混凝土墩重为1000kN,它与土壤之间的静摩擦系数f=0.6,若铁索与水平线夹角α=30°,则不致使混凝土墩滑动的最大拉力为()。

A.866kN
B.666kN
C.514kN
D.500kN
104、单项选择题
图4-32中,物块重力为Q,放在粗糙的水平面上,其摩擦角φ=20°,若力P作用于摩擦角之外,并已知α=30°,P=Q,物体是否能保持平衡()。

A.能
B.不能
C.处于临界状态
D.P与Q的值比较小时能保持静止,否则不能
105、单项选择题
如图4-37所示点P沿螺线自外向内运动。它走过的弧长与时间的一次方成正比。关于该点的运动,有以下4种答案,请判断哪一个答案是正确的()。

A.速度越来越快
B.速度越来越慢
C.加速度越来越大
D.加速度越来越小
106、单项选择题
图示平面机构。曲柄OA长为r,以匀角速度绕O轴转动,通过链杆AB带动轮B在水平直线轨道60°,则此瞬时轮B的角速度为()。

A.
,顺时针向
B.
,逆时针向
C
.,逆时针向
D
.,顺时针向
107、单项选择题
图4-21所示三铰支架上作用两个转向相反、大小相等且不为零的力偶m1和m2,支架自重不计。则支座B的约束力为()。

A.FB=0
B.FB的作用线沿水平方向
C.FB的作用线平行于D、B连线
D.FB的作用线平行于C、B连线
108、单项选择题
半径为R、质量为m的均质圆盘绕偏心轴O转动,偏心距e=R/2,图示瞬时转动角速度为ω,角加速度为ε,则该圆盘的惯性力系向O点简化的主矢量R1和主矩的大小为()。

A.
B.
C.
D.
109、单项选择题 质量为m的物体自高H处水平抛出,运动中受到与速度一次方成正比的空气阻力F作用,F=-kmν,k为常数。则其运动微分方程为()。
A.
B.
C.
D.
110、单项选择题
两直角刚杆AC、CB支承如图4-5所示,在铰C处受力F作用,则A、B两处约束力的作用线与x轴正向所成的夹角分别为()。
A.0°,90°
B.90°,0°
C.45°,60°
D.45°,135°
111、单项选择题 某瞬时若平面图形上各点的加速度方向都指向同一点,则可知此瞬时平面图形的角速度ω和角加速度α为()。
A.ω=0,α≠0
B.ω≠0,α=0
C.ω=0,α=0
D.ω≠0,α≠0
112、单项选择题
图4-44所示机构由杆O1A、O2B和三角板ABC组成。已知:杆O1A转动的角速度为ω,O1A=O2B=r,AC=h,O1O2=AB,则图示瞬时点C速度νC的大小和方向为()。

A.νC=rω,方向水平向左
B.νC=rω,方向水平向右
C.νC=(r+h)ω,方向水平向左
D.νC=(r+h)ω,方向水平向右点
113、单项选择题
如图所示,重为Q的物块紧靠铅直墙上,并在水平力P作用下成平衡。物块与接触面间的静滑动摩擦系数为f,则物块所受的摩擦力应为()。

A.fQ
B.fP
C.P
D.Q
114、单项选择题
如图4-40所示,绳子的一端绕在滑轮上,另一端与置于水平面上的物块B相连,若物B的运动方程为x=kt2,其中k为常数,轮子半径为R,则轮缘上A点的加速度的大小为()。

A.2k
B.
C.
D.
115、单项选择题
图示平面桁架,则杆AB的内力应为()。

A
.P
B.-P(受压)
C.
D.-(受压)
116、单项选择题 点M按s=t3-12t+2的规律作直线运动(t以秒计,s以米计),则点M在最初3秒钟内所经过的路程为()。注意:路程与坐标s是不同的。
A.7m
B.9m
C.23m
D.26m
117、单项选择题
如图4-72所示,质量为m1的均质杆OA,一端铰接在质量为m2的均质圆盘中心,另一端放在水平面上,圆盘在地面上作纯滚动。圆心速度为ν,则系统的动能为()。

A.
B.
C.
D.
118、单项选择题
图4-27所示平面桁架的尺寸与载荷均已知。其中,杆1的内力大小Fs1为()。

A.
B.
C.
D.
119、单项选择题
如图4-70所示,常数为k的弹簧下挂一质量为m的物体,若物体从静平衡位置(设静伸长为δ)下降△距离,则弹性力所做的功为()。

A.
B.
C.
D.
120、单项选择题
图示构架由三个构件AC、BC、DF组成。A、B分别为铰链支座和辊轴支座,C、E、F均为圆柱铰链。在水平杆的D端作用主动力P,则由三力平衡定理可确定A、C、E、F处约束力的作用线位置。其分析的顺序应为()。

A.整体→AC→CB→DF
B.整体→CB→AC→DF
C.整体→DF→AC→CB
D.整体→CB→DF→AC
121、单项选择题
如图4-60所示均质圆盘放在光滑水平面上受力F作用,则质心C的运动为()。

A.直线
B.曲线
C.不动
D.不确定
122、单项选择题
已知图4-31所示斜面的倾角为θ,若要保持物块A静止,则物块与斜面之间的摩擦因数f所应满足的条件为()。

A.tanf≤θ
B.tanf>θ
C.tanθ≤f
D.tanθ>f
123、单项选择题
图示ABC为一边长为a的正三角形板,以三根斜杆1、2、3和三根竖杆4、5、6支承,板面上作用一力偶矩M,不计板重,则各斜杆内力相等,各直杆内力也相等,斜杆和竖杆的内力分别为()。

A.
B.
C.
D.
124、单项选择题
图示四连杆机构,其中AB杆固定,而在铰链C、D处分别作用力P、Q使机构保持平衡。若不计各杆自重,则CD杆的内力应为()。

A.-Q/2,压杆
B.+Q/2,拉杆
C.,压杆
D.拉杆
125、单项选择题
图示均质轮和均质杆,质量均为m;轮子半径均为R,杆长均为l;轮和杆均以角速度ω转动,其中图B中,轮在直线轨道上作纯滚动,则它们的动量大小按图次序为()。

A.mRω,mRω,mlω,ml/2ω
B.0,mRω,ml/2ω,0
C.mRω,mRω,ml/2ω,0
D.0,mRω,mlω,ml/2ω
126、单项选择题 已知单自由度系统的振动固有频率ω=2rad/s,若在其上分别作用幅值相同而频率ω1=1rad/s,ω2=2rad/s,ω3=3rad/s的简谐干扰力,则此系统强迫振动的振幅为()。
A.ω1=1rad/s时振幅最大
B.ω2=2rad/s时振幅最大
C.ω3=3rad/s时振幅最大
D.不能确定
127、单项选择题
如图4-65所示,忽略质量的细杆OC=ι,其端部固结均质圆盘。杆上点C为圆盘圆心。盘质量为m。半径为r。系统以角速度ω绕轴O转动。系统的动能是()。

A.
B.
C.
D.
128、单项选择题
点在平面内的运动方程为,
则其轨迹为()。
A.椭圆曲线
B.圆弧曲线
C.直线
D.抛物线
129、单项选择题
如图所示,均质杆AB,长为2l,B端搁置在光滑水平面上,并与水平成α0角,当杆倒下时,A点的运动轨迹方程为()。
A.
B.
C.
D.
130、单项选择题
一木板放在两个半径r=0.25m的传输鼓轮上面。在图4-48所示瞬时,木板具有不变的加速度a=0.5m/s2,方向向右;同时,鼓轮边缘上的点具有一大小为3m/s2的全加速度。如果木板在鼓轮上无滑动,则此木板的速度为()。
A.0.86m/s
B.3m/s
C.0.5m/s
D.1.67m/s
131、单项选择题
如图4-52所示,有一圆轮沿地面作无滑动滚动,点O为圆轮与地面接触点,点A为最高点,点B、C在同一水平线位置,以下关于轮缘上各点速度大小的结论中错误的是()。

A.点A的速度值最大
B.点B与点C的速度值相等
C.点A的速度值为零
D.点O的速度值为零
132、单项选择题
图示机构O1ABO2为一平行四边形,O1A=O2B=R,O1O2=AB=l,在该瞬时杆O1A绕O1轴的角速度为ω,角加速度为ε,则质量为m的均质杆AB的惯性力系向其质心C简化的主矢量R1和主矩的大小分别为()。

A.
B.
C.
D.
133、单项选择题 作用在一个刚体上的两个力F1、F2,满足F1=-F2的条件,则该二力可能是()。
A.作用力和反作用力或一对平衡的力
B.一对平衡的力或一个力偶
C.一对平衡的力或一个力和一个力偶
D.作用力和反作用力或一个力偶
134、单项选择题
如图所示,均质圆盘重为W,半径为R,绳子绕过圆盘,两端各挂重为Q和P的物块,绳与盘之间无相对滑动,且不计绳重,则圆盘的角加速度为()。

A.
B.
C.
D.
135、单项选择题
如图4-61所示匀质杆AB长ι,质量为C。点D距点A为。杆对通过点D且垂直于AB的轴y的转动惯量为()。

A.
B.
C.
D.
136、单项选择题
在图4-76中,将系统的惯性力系向O点简化,其主矢和主矩的数值分别为()。

A.
B.
C.
D.
137、单项选择题
图4-34所示物块A重力的大小W=10N,被用大小为FP=50N的水平力挤压在粗糙的铅垂墙面B上,且处于平衡。块与墙间的摩擦系数f=0.3。A与B间的摩擦力大小为()。

A.F=15N
B.F=10N
C.F=3N
D.只依据所给条件则无法确定
138、单项选择题
如图4-81所示三个振动系统的自由振动圆频率的关系为()。

A.
B.
C.
D.
139、单项选择题
已知F1、F2、F3、F4为作用于刚体上的平面汇交力系,其力矢关系如图4-6所示为平行四边形。由此可知()。

A.力系可合成为一个力偶
B.力系可合成为一个力
C.力系简化为一个力和一个力偶
D.力系合力为零,力系平衡
140、单项选择题
图示二跨静定联合梁,受三个集中力作用,则A处约束力RA的大小为()。

A.300kN
B.25kN
C.20kN
D.60kN
141、单项选择题
平面汇交力系(F1,F2,F3,F4,F5)的力多边形如图4-4所示,则该力系的合力F等于()。

A.F3
B.-F3
C.F2
D.-F2
142、单项选择题 求解质点动力学问题时,质点运动的初始条件是用来()。
A.分析力的变化规律
B.确定积分常数
C.建立质点运动微分方程
D.分离积分变量
143、单项选择题
重为G的汽车在图示的凹凸路面上以匀速率v行驶,若凹下路面的最低处与凸起路面的最高处的曲率半径均为p,则汽车在最低处时对路面的铅直压力N1和在最高处时对路面的铅直压力N2的大小就分别为()。

A.N1=G,N2=G
B.
C.
D.