电气工程公共基础:数学必看考点(考试必看)

时间:2022-01-16 06:42:32

微信搜索关注"91考试网"公众号,领30元,获取事业编教师公务员等考试资料40G
题库试看结束后微信扫下方二维码即可打包下载完整版《★电气工程公共基础》题库
手机用户可保存上方二维码到手机中,在微信扫一扫中右上角选择“从相册选取二维码”即可。
题库试看结束后微信扫下方二维码即可打包下载完整版《电气工程公共基础:数学》题库,分栏、分答案解析排版、小字体方便打印背记!经广大会员朋友实战检验,此方法考试通过率大大提高!绝对是您考试过关的不二利器
手机用户可保存上方二维码到手机中,在微信扫一扫中右上角选择“从相册选取二维码”即可。

1、单项选择题  已知xy=kz(k为正常数),则等于()。

A.1
B.-1
C.k
D.


点击查看答案


2、单项选择题  

级数的收敛性是()。

A.绝对收敛
B.条件收敛
C.等比级数收敛
D.发散


点击查看答案


3、单项选择题  

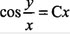
若,等于()(式中C为任意常数)。

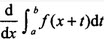
A.-cos3x+C
B.sin3x+C
C.cos3x+C
D.


点击查看答案


4、单项选择题  

不定积分等于()。

A.xf'(x)-f'(x)+C
B.xf'(x)-f(x)+C
C.xf'(x)+f'(x)+C
D.xf'(x)+f(x)+C


点击查看答案


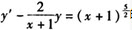
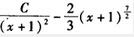
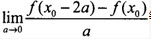
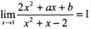
5、单项选择题  

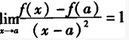
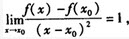
,则a的值是().

A.-3
B.3
C.-5
D.5


点击查看答案


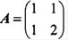
6、单项选择题  设,,则秩r(AB-A)等于()。

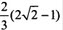
A.1
B.2
C.3
D.与α的取值有关


点击查看答案


7、单项选择题  垂直于x轴的动直线与过原点的曲线y=y(x)(x≥0,y≥0)以及x轴围成一个以[0,x]为底边的曲边梯形,其面积为y3(x).函数y(x)的隐函数形式是().

A.y2-x=0
B.y2+x=0
C.3y2-2x=0
D.2y-3x2=0


点击查看答案


8、单项选择题  微分方程y"-3y+2y=xex的待定特解的形式是()。

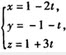
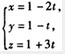
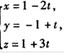
A.y=(Ax2+Bx)ex
B.y=(Ax+B.ex
C.y=Ax2ex
D.y=Axex


点击查看答案


9、单项选择题  若f(x)在(a,b)内满足f’(x)<0,f"(x)>0,则曲线y=f(x)在(a,b)内是().

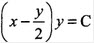
A.单调上升且是凹的
B.单调下降且是凹的
C.单调上升且是凸的
D.单调下降且是凸的


点击查看答案


10、单项选择题  过点(2,-3,1)且平行于向量a=(2,-1,3)和b=(-1,1,-2)的平面方程是().

A.-x+y+z-4=0
B.x-y-z-4=0
C.x+y+z=0
D.x+y-z+2=0


点击查看答案


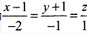
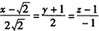
11、单项选择题  过点(0,2,4)且与两平面x+2z=1和y-3z=2平行的直线方程是().

A.
B.
C.
D.


点击查看答案


12、单项选择题  设A为n阶可逆矩阵,则(-A)的伴随矩阵(-A)*等于()。

A.-A*
B.A*
C.(-1)nA*
D.(-1)n-1A*


点击查看答案


13、单项选择题  汽车途经5个交通路口,假定遇上红灯的概率都是0.4,且相互独立,则汽车最多遇上一次红灯的概率等于().

A.0.34
B.0.36
C.0.38
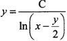
D.0.4


点击查看答案


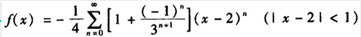
14、单项选择题  

函数可去间断点的个数为()。

A.1
B.2
C.3
D.无穷多个


点击查看答案


15、单项选择题  设X1,…,X是取自正态总体N(μ,1)的样本,其中μ未知.μ的无偏估计是().

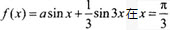
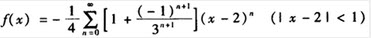
A.
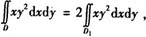
B.S2
C.0.4X1+0.6X
D.-X1


点击查看答案


16、单项选择题  一平面通过点(4,-3,1)且在x,y,z轴上的截距相等,则此平面方程是().

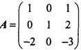
A.x+y+z+2=0
B.x+y-z+2=0
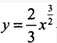
C.x-y+z+2=0
D.x+y+z-2=0


点击查看答案


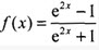
17、单项选择题  

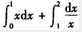
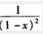
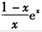
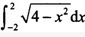
,则()。

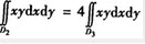
A.f(x)为偶函数,值域为(-1,1)
B.f(x)为奇函数,值域为(-∞,0)
C.f(x)为奇函数,值域为(-1,1)
D.f(x)为奇函数,值域为(0,+∞)


点击查看答案


18、单项选择题  已知向量α=(-3,-2,1),β=(1,-4,-5),则
α×β
等于()。

A.0
B.6
C.
D.14i+16j-10k


点击查看答案


19、单项选择题  

设函数f(x)在[0,+∞)上连续,且满足,则f(x)是()。

A.xe-x
B.
C.
D.


点击查看答案


20、单项选择题  

微分方程的通解是()。

A.
B.
C.
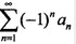
D.


点击查看答案


21、单项选择题  设随机变量X与Y相互独立,它们分别服从参数λ=2的泊松分布与指数分布.记Z=X-2Y,则随机变量Z的数学期望与方差分别等于().

A.1,3
B.-2,4
C.1,4
D.-2,6


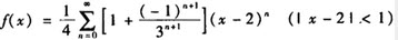
点击查看答案


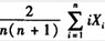
22、单项选择题  

设f(x)为连续函数,那么等于()。

A.f(x+B.+f(x+A.
B.f(x+B.-f(x+A.
C.f(x+B.-fA.
D.fB.-f(x+A.


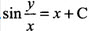
点击查看答案


23、单项选择题  已知非齐次线性方程组有无限多个解,则t等于().

A.-1
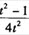
B.1
C.4
D.-1或4


点击查看答案


24、单项选择题  已知平面π过点(1,1,0)、(0,0,1)、(0,1,1),则与平面π垂直且过点(1,1,1)的直线的对称方程为()。

A.
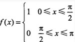
B.
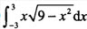
C.
D.


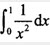
点击查看答案


25、单项选择题  设则x=0是f(x)的().

A.可去间断点
B.跳跃间断点
C.第二类间断点
D.连续点


点击查看答案


26、单项选择题  在三维空间中方程y2-z2=1所代表的图形是()。

A.母线平行x轴的双曲柱面
B.母线平行y轴的双曲柱面
C.母线平行z轴的双曲柱面
D.双曲线


点击查看答案


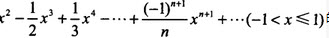
27、单项选择题  

函数是以下()方程的解.

A.
B.
C.
D.


点击查看答案


28、单项选择题  

设D={(x,y)
x2+y2≤y,x≥0},则二重积分

化为极坐标下的累次积分为().

A.
B.
C.
D.


点击查看答案


29、单项选择题  ∫sin3xdx等于().

A.
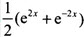
B.
C.
D.


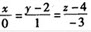
点击查看答案


30、单项选择题  

函数,在x→1时,f(x)的极限是()。

A.2
B.3
C.0
D.不存在


点击查看答案


31、单项选择题  设α,β,γ都是非零向量,α×β=α×γ,则()。

A.β=γ
B.α∥β且α∥γ
C.α∥(β-γ)
D.α⊥(β-γ)


点击查看答案


32、单项选择题  设A是n阶方阵,n≥3.已知
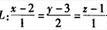
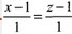
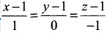
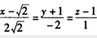
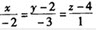
A
=0,则下列命题正确的是().

A.A中某一行元素全为0
B.A的第n行是前n-1行(作为行向量)的线性组合
C.A中有两列对应元素成比例
D.A中某一列是其余n-1列(作为列向量)的线性组合


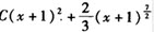
点击查看答案


33、单项选择题  函数y=x3-6x上切线平行于x轴的点是()。

A.(0,0)
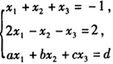
B.
C.
D.(1,2)和(-1,2)


点击查看答案


34、单项选择题  当x→0时,tanx-sinx是x3的().

A.高阶无穷小
B.低阶无穷小
C.同阶但非等价无穷小
D.等价无穷小


点击查看答案


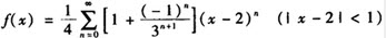
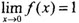
35、单项选择题  

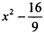
,则f(x)在x=a处().

A.导数存在,f’A.≠0
B.取得极大值
C.取得极小值
D.导数不存在


点击查看答案


36、单项选择题  设A,B是n阶对称阵,Λ是对角阵,下列矩阵中不是对称阵的是().

A.A+2E
B.A+Λ
C.AB
D.A-B


点击查看答案


37、单项选择题  设(X1,X2,…,X10)是抽自正态总体N(μ,σ2)的一个容量为10的样本,其中-∞<μ<+∞,σ2>0,记服从x2分布,其自由度为()。

A.9
B.8
C.7
D.10


点击查看答案


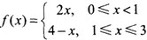
38、单项选择题  

函数

在x=0处().

A.不连续,不可导
B.连续,可导
C.连续,不可导
D.可导,不连续


点击查看答案


39、单项选择题  圆周ρ=cosθ,ρ=2cosθ及射线θ=0,所围图形的面积S为()。

A.
B.
C.
D.


点击查看答案


40、单项选择题  设10阶行列式().则D10的值等于(.)。

A.10
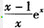
B.55
C.110
D.-55


点击查看答案


41、单项选择题  设g(x)在(-∞,+∞)严格单调递减,且f(x)在x=x0处有极大值,则必有()。

A.g[f(x)]在x=x0处有极大值
B.g[f(x)]在x=x0处有极小值
C.g[f(x)]在x=x0处有最小值
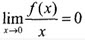
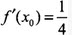
D.g[f(x)]在x=x0既无极值也无最小值


点击查看答案


42、单项选择题  

等于().

A.
B.1/2
C.1
D.


点击查看答案


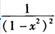
43、单项选择题  

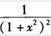
幂级数的和是()。

A.xsinx
B.
C.xln(1-x)
D.xln(1+x)


点击查看答案


44、单项选择题  当x>0时,下列不等式中正确的是()。

A.ex<1+x
B.ln(1+x)>x
C.ex
D.x>sinx


点击查看答案


45、单项选择题  有一群人受某种疾病感染患病的比例占20%。现随机地从他们中抽50人,则其中患病人数的数学期望和方差是()。

A.25和8
B.10和2.8
C.25和64
D.10和8


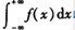
点击查看答案


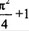
46、单项选择题  

=()。

A.π
B.2π
C.3π
D.


点击查看答案


47、单项选择题  设随机变量X服从区间(-1,5)上的均匀分布,Y=3X-5,则E(Y)与D(Y)分别等于().

A.1,9
B.3,27
C.4,27
D.1,27


点击查看答案


48、单项选择题  设随机变量X的概率密度为,用Y表示对X的3次独立重复观察中事件出现的次数,则P{Y=2}=()。

A.
B.
C.
D.


点击查看答案


49、单项选择题  幂级数的收敛域为()。

A.[-1,1)
B.[4,6)
C.[4,6]
D.(4,6]


点击查看答案


50、单项选择题  

曲线围成的平面图形绕x轴旋转产生的旋转体体积是()。

A.
B.
C.
D.


点击查看答案


51、单项选择题  

求极限时,下列各种解法中正确的是()。

A.用洛必达法则后,求得极限为0
B.因为不存在,所以上述极限不存在
C.原式=
D.因为不能用洛必达法则,故极限不存在


点击查看答案


52、单项选择题  设X1,…,X81是取自正态总体N(μ,9)的样本,要检验H0:μ=0则当H0成立时,检验统计量().

A.3||服从t(80)
B.3||服从N(0,1)
C.9服从t(81)
D.3服从N(0,1)


点击查看答案


53、单项选择题  下列命题中正确的是()。

A.已知逻辑函数A+B=A+C,则B=C
B.已知逻辑函数A+B=AB,则A=B
C.已知逻辑函数A+B=A,则A=1
D.已知逻辑函数AB=A,则A=1


点击查看答案


54、单项选择题  

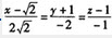
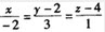
设直线L的方程为

则L的参数方程是().

A.
B.
C.
D.


点击查看答案


55、单项选择题  设3阶方阵A有特征值2,且已知
A
=5,则A的伴随矩阵必有特征值().

A.25
B.12.5
C.5
D.2.5


点击查看答案


56、单项选择题  下列命题中,正确的是().

A.若在区间(a,B.内有f(x)>g(x),则f’(x)>g’(x),x∈(a,B.
B.若在区间(a,B.内有f’(x)>g’(x),则f(x)>g(x),x∈(a,B.
C.若f’(x)在(a,B.内单调,则f(x)在(a,B.内也单调
D.若在区间(a,B.内有f’(x)>g’(x),且fA.=gA.,则f(x)>g(x),x∈(a,B.


点击查看答案


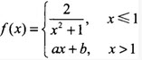
57、单项选择题  设函数,要使f(x)在点x=1处连续,则a的值是()。

A.-2
B.-1
C.0
D.1


点击查看答案


58、单项选择题  

将二次积分化为极坐标形式的二次积分是().

A.
B.
C.
D.


点击查看答案


59、单项选择题  设A,B是n阶方阵,且AB=O.则下列等式成立的是().

A.A=D或B=O
B.BA=O
C.(A+B.2=A2+B2
D.(BA.2=0


点击查看答案


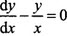
60、单项选择题  方程xy’-ylny=0满足的解是().

A.
B.
C.
D.


点击查看答案


61、单项选择题  

已知曲线y=f(x)上各点处的切线斜率为,则曲线从x=0到x=π/2的长度s可表达成().

A.
B.
C.
D.


点击查看答案


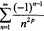
62、单项选择题  下列级数中,发散的级数是()。

A.
B.
C.
D.


点击查看答案


63、单项选择题  设3阶方阵A的秩R(A)=1,则A的伴随矩阵的秩R()等于().

A.3
B.2
C.1
D.0


点击查看答案


64、单项选择题  x=0是函数的().

A.第二类间断点
B.可去间断点
C.跳跃间断点
D.连续点


点击查看答案


65、单项选择题  设A,B是两个相互独立的事件,若P(A)=0.4,P(B)=0.5,则P(A∪B)等于()。

A.0.9
B.0.8
C.0.7
D.0.6


点击查看答案


66、单项选择题  设事件A,B满足P(A+B)=P(A)+P(B),则().

A.A与B互不相容
B.A与B相互独立
C.A与B相互对立
D.P(A-B.=PA.


点击查看答案


67、单项选择题  设y=f(x)是微分方程y"-2y’+4y=0的一个解,又f(x0)>O,f’(x0)=0,则函数f(x)在点x0().

A.取得极大值
B.取得极小值
C.的某个邻域内单调增加
D.的某个邻域内单调减少


点击查看答案


68、单项选择题  已知f(x)为连续的偶函数,则f(x)的原函数中()。

A.有奇函数
B.都是奇函数
C.都是偶函数
D.没有奇函数,也没有偶函数


点击查看答案


69、单项选择题  下列各式中正确的是(C为任意常数)()。

A.
B.
C.
D.


点击查看答案


70、单项选择题  设A,B是n阶方阵,下列等式成立的是().

A.(A+B.2=A2+2AB+B2
B.(AB.2=A2B2
C.(A+B.(A-B.=A2-B2
D.(A+2E.2=A2+4A+4E


点击查看答案


71、单项选择题  点M(1,2,1)到平面∏:x+2y-2z+3=0的距离是().

A.2/3
B.1
C.2
D.3


点击查看答案


72、单项选择题  

f(x)在x0处可导,且,则等于()。

A.2
B.-2
C.
D.


点击查看答案


73、单项选择题  

设X1,…,X16是取自正态总体N(0,σ2)的样本,则服从().

A.正态分布
B.自由度为16的t分布
C.标准正态分布
D.自由度为15的t分布


点击查看答案


74、单项选择题  

,欲使f(x)在x=0处连续,则应补充定义f(0)的值为().

A.0
B.1/e
C.1
D.e


点击查看答案


75、单项选择题  

设D是曲线y=x2与y=1所围闭区域,等于()。

A.1
B.
C.O
D.2


点击查看答案


76、单项选择题  若非齐次线性方程组Ax=b中方程个数少于未知量个数,则下列结论中正确的是()。

A.Ax=0仅有零解
B.Ax=0必有非零解
C.Ax=0一定无解
D.Ax=b必有无穷多解


点击查看答案


77、单项选择题  

,则必有()。

A.a=-1,b=2
B.a=-1,b=-2
C.a=-1,b=-1
D.a=1,b=1


点击查看答案


78、单项选择题  设向量组A:α1=(1,-1,0),α2=(2,1,t),α3=(0,1,1)线性相关,则t等于()。

A.1
B.2
C.3
D.0


点击查看答案


79、单项选择题  

已知a是大于零的常数,,则f'(0)的值应是()。

A.-lna
B.lna
C.
D.


点击查看答案


80、单项选择题  设A是n阶方阵(不一定是对称阵).二次型f(x)=xTAx相对应的对称阵是().

A.A
B.AT
C.1/2(A+AT)
D.A+AT


点击查看答案


81、单项选择题  三个人独立地去破译一份密码,每人能独立译出这份密码的概率分别为,则这份密码被译出的概率为()。

A.
B.
C.
D.


点击查看答案


82、单项选择题  

极限的值是().

A.0
B.1
C.t
D.不存在


点击查看答案


83、单项选择题  设随机变量X和Y都服从N(0,1)分布,则下列叙述中正确的是()。

A.X+Y服从正态分布
B.X2+Y2~x2分布
C.X2和Y2都服从X2分布
D.分布


点击查看答案


84、单项选择题  函数在x=1处的微分是().

A.5e2dx
B.2e2dx
C.3e2dx
D.e2dx


点击查看答案


85、单项选择题  设随机变量X服从正态分布N(μ,1).已知P(X≤μ-3)=c,则P(μ()

A.2c-1
B.1-c
C.0.5-c
D.0.5+c


点击查看答案


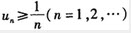
86、单项选择题  数项级数的部分和数列有界是该级数收敛的().

A.充分条件
B.必要条件
C.充分必要条件
D.既非充分又非必要条件


点击查看答案


87、单项选择题  

已知微分方程的一个特解为,则此微分方程的通解是().

A.
B.
C.
D.


点击查看答案


88、单项选择题  

设事件A与B相互独立,且,则=()。

A.
B.
C.
D.


点击查看答案


89、单项选择题  设α1,α2,α3,β是n维向量组,已知α1,α2,β线性相关,α2,α3,β线性无关,则下列结论中正确的是()。

A.β必可用α1,α2线性表示
B.α1必可用α2,α3,β线性表示
C.α1,α2,α3必线性无关
D.α1,α2,α3必线性相关


点击查看答案


90、单项选择题  设事件A、B互不相容,且P(A)=p,P(B)=g,则等于()。

A.1-p
B.1-q
C.1-(p+q)
D.1+p+q


点击查看答案


91、单项选择题  设f(x)在(-a,a)是连续的偶函数,且当0()

A.f(0)是f(x)在(-a,A.的极大值,但不是最大值
B.f(0)是f(x)在(-a,A.的最小值
C.f(0)足f(x)在(-a,A.的极大值,也是最大值
D.f(0)是曲线y=f(x)的拐点的纵坐标


点击查看答案


92、单项选择题  

若级数收敛,则下列级数中不收敛的是()。

A.
B.
C.
D.


点击查看答案


93、单项选择题  

设函数,可导,则必有()。

A.a=1,b=2
B.a=-1,b=2
C.a=1,b=0
D.a=-1,b=0


点击查看答案


94、单项选择题  若a,b是方程f(x)=0的两个相异的实根,f(x)在[a,b]上连续,且在(a,b)内可导,则方程f’(x)=0在(a,b)内().

A.只有一个根
B.至少有一个根
C.没有根
D.以上结论都不对


点击查看答案


95、单项选择题  设f(x)在(a,b)内连续,则在(a,b)内f(x)().

A.必有最大值与最小值
B.最大值与最小值中至少有一个
C.不可能有最大值和最小值
D.最大值与最小值可能有也可能没有


点击查看答案


96、单项选择题  已知f’(x)=sec2x+sin2x,且f(0)=3/2,则f(x)等于().

A.
B.
C.
D.


点击查看答案


97、单项选择题  

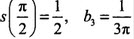
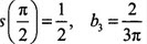
已知,则f(x)在(0,π)内的正级数的和函数s(x)在处的值及系数了b3分别为()。

A.
B.
C.
D.


点击查看答案


98、单项选择题  已知D:
x
+
y
≤1,D1:x≥0,y≥0,x+y≤1,,则()。

A.I=J
B.I=2J
C.I=3J
D.I=4J


点击查看答案


99、单项选择题  微分方程y"-4y=4的通解是()(C1,C2为任意常数)。

A.
B.
C.
D.


点击查看答案


100、单项选择题  若,则幂级数()。

A.必在|x|>3时发散
B.必在|x|<3时发敛
C.在x=-3处的敛散性不定
D.其收敛半径为3


点击查看答案


101、单项选择题  

方程满足初始条件的解是().

A.
B.
C.
D.


点击查看答案


102、单项选择题  设C为抛物线y2=x上从点0(0,0)到点P(1,1)的一段弧,则曲线积分的值是().

A.2
B.1/2
C.1/3
D.1/4


点击查看答案


103、单项选择题  

设3阶方阵,已知A是奇异阵,则R(A)等于().

A.1
B.2
C.3
D.与a,b,c取值有关


点击查看答案


104、单项选择题  若y2(X)是线性非齐次方程y'+p(x)y-q(x)的解,y1(x)是对应的齐次方程y'+p(x)y=0的解,则下列函数也是y'+p(x)y=g(x)的解的是()。

A.y=Cy1(x)+y2(x)
B.y=y1(x)+Cy2(x)
C.y=C[y1(x)+y2(x)]
D.y=Cy1(x)-y2(x)


点击查看答案


105、单项选择题  

若函数在处取得极值,则a的值是()。

A.2
B.
C.
D.


点击查看答案


106、单项选择题  

等于()。

A.arctan+C
B.2arctan+C
C.tan(1+x)
D.arctan+C


点击查看答案


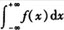
107、单项选择题  

设f(x)是连续函数,且,则f(x)=()。

A.x2
B.x2-2
C.2x
D.


点击查看答案


108、单项选择题  过点(-1,0,1)且与平面x+y+4z+19=0平行的平面方程为()。

A.x+y+4z-3=0
B.2x+y+z-3=0
C.x+2y+z-19=0
D.x+2y+4z-9=0


点击查看答案


109、单项选择题  

广义积分等于().

A.π/2
B.π/3
C.π/4
D.∞


点击查看答案


110、单项选择题  下列等式中,错误的是().

A.,其中D={(x,y)|x2+y2≤2x}
B.其中D与A.中相同,D1={(x,y)|x2+y2≤2x,y≥0}
C.
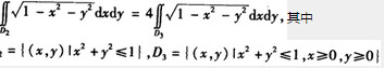
D.,其中D2、D3与C.中相同


点击查看答案


111、单项选择题  

极限的值等于().

A.0
B.1/2
C.2
D.+∞


点击查看答案


112、单项选择题  

,与A合同的矩阵是()。

A.
B.
C.
D.


点击查看答案


113、单项选择题  若级数在x=-2处收敛,则此级数在x=5处()。

A.发散
B.条件收敛
C.绝对收敛
D.收敛性不能确定


点击查看答案


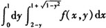
114、单项选择题  

,交换积分次序得()[其中f(x,y)是连续函数]。

A.
B.
C.
D.


点击查看答案


115、单项选择题  平行于x轴且经过点(4,0,-2)和点(2,1,1)的平面方程是().

A.x-4y+2z=0
B.3x+2z-8=0
C.3y-z-2=0
D.3y+z-4=0


点击查看答案


116、单项选择题  

设离散型随机变量X的分布函数为

则P(
X
<2)等于().

A.0.4
B.0.6
C.0.8
D.1


点击查看答案


117、单项选择题  计算由椭圆所围成的图形绕x轴旋转而成的旋转椭球体的体积为().

A.
B.
C.
D.


点击查看答案


118、单项选择题  设非齐次线性微分方程y’+P(x)y=Q(x)有两个不同的解:Y1(x)与y2(x),C为任意常数,则该方程的通解是().

A.
B.
C.
D.


点击查看答案


119、单项选择题  10张奖券中含有2张中奖的奖券,每人购买一张,则前4个购买者中恰有1人中奖的概率是()。

A.0.84
B.0.1
C.
D.0.83×0.2


点击查看答案


120、单项选择题  

D域由x轴,x2+y2-2x=0(y≥0)及x+y=2所围成,f(x,y)是连续函数,转化为二次积分为()。

A.
B.
C.
D.


点击查看答案


121、单项选择题  设a,b均为向量,下列命题中错误的是().

A.a∥b的充分必要条件是存在实数λ,使b=λa
B.a∥b的充分必要条件是a×b=0
C.a⊥b的充分必要条件是a·b=0
D.a⊥b的充分必要条件是(a+B.·(a-B.=|a|2-|b|2


点击查看答案


122、单项选择题  若函数f(x,y)在闭区域D上连续,下列关于极值点的陈述中正确的是()。

A.f(x,y)的极值点一定是f(x,y)的驻点
B.如果P0是f(x,y)的极值点,则P0点处B2-AC<0
C.如果P0是可微函数f(x,y)的极值点,则P0点处df=0
D.f(x,y)的最大值点一定是f(x,y)的极大值点


点击查看答案


123、单项选择题  当x→0时,3x-1是x的()。

A.高阶无穷小
B.低阶无穷小
C.等价无穷小
D.同阶但非等价无穷小


点击查看答案


124、单项选择题  设事件A满足P(A)=0,则().

A.事件A不可能发生
B.A与任意一个事件B相互独立
C.事件必定发生
D.A与任意一个事件B互不相容


点击查看答案


125、单项选择题  

,则fy(1,0)等于()。

A.1
B.
C.2
D.0


点击查看答案


126、单项选择题  设函数f(x)在x=1处连续且可导,则().

A.a=1,b=0
B.a=0,b=1
C.a=2,b=-1
D.a=-1,b=2


点击查看答案


127、单项选择题  

的傅里叶展开式中,系数a3的值是()。

A.π
B.
C.
D.


点击查看答案


128、单项选择题  将质量为m的物体在空气中竖直上抛,初速度为v0,若空气阻力与物体的速度v(t)(t是时间)成正比,比例系数为k,g为重力加速度.v(t)所满足的微分方程及初始条件是().

A.
B.
C.
D.


点击查看答案


129、单项选择题  

已知二次型的秩等于2,则系数a等于().

A.0
B.1
C.2
D.不存在


点击查看答案


130、单项选择题  

,则I的值为().

A.-1
B.-1/2
C.1/2
D.+∞


点击查看答案


131、单项选择题  直线与y=H及y轴所围图形绕y轴旋转一周所得旋转体的体积为()(H,R为任意常数)。

A.
B.πR2H
C.
D.


点击查看答案


132、单项选择题  

,则A-1=()。

A.
B.
C.
D.


点击查看答案


133、单项选择题  下列广义积分中发散的是()。

A.
B.
C.
D.


点击查看答案


134、单项选择题  设x1,…,X是取自总体X的容量为n的样本.已知总体X服从参数为p的二点分布,则等于().

A.np(p)
B.(n-1)p(p)
C.np
D.np2


点击查看答案


135、单项选择题  已知级数,则级数等于().

A.16
B.14
C.6
D.18


点击查看答案


136、单项选择题  设服从N(0,1)分布的随机变量X,其分布函数为φ(x)。如果φ(1)=0.84,则P{
x
≤1}的值是()。

A.0.25
B.0.68
C.0.13
D.0.20


点击查看答案


137、单项选择题  ()

幂级数

A.
B.
C.
D.


点击查看答案


138、单项选择题  曲面z=x2-y2在点(,-1,1)处的法线方程是().

A.
B.
C.
D.


点击查看答案


139、单项选择题  设A是5×6矩阵,则()正确。

A.若A中所有5阶子式均为0,则秩RA.=4
B.若秩RA.=4,则A中5阶子式均为0
C.若秩RA.=4,则A中4阶子式均不为0
D.若A中存在不为0的4阶子式,则秩RA.=4


点击查看答案


140、单项选择题  齐次线性方程组的基础解系为()。

A.α1=(1,1,1,0)T,α2=(-1,-1,1,0)T
B.α1=(2,1,0,1)T,α2=(-1,-1,0)T
C.α1=(1,1,1,0)T,α2=(1,0,0,1)T
D.α1=(2,1,0,1)T,α2=(-2,-1,0,1)T


点击查看答案


141、单项选择题  幂级数的收敛半径为2,则幂级数的收敛区间是()

A.(-2,2)
B.(-2,4)
C.(0,4)
D.(-4,0)


点击查看答案


142、单项选择题  

函数在x=2处的泰勒级数展开式为().

A.
B.
C.
D.


点击查看答案


143、单项选择题  设α,β,γ均为三维列向量,以这三个向量为列构成的3阶方阵记为A,即A=(αβγ)。若α,β,γ所组成的向量组线性相关,则
A
的值是()。

A.大于0
B.等于0
C.大于0
D.无法确定


点击查看答案


144、单项选择题  设A是m阶矩阵,B是n阶矩阵,行列式等于()。

A.-|A||B|
B.|A||B|
C.
D.


点击查看答案


145、单项选择题  袋中共有5个球,其中3个新球,2个旧球,每次取1个,无放回的取2次,则第二次取到新球的概率是()。

A.
B.
C.
D.


点击查看答案


146、单项选择题  设A是n阶方阵,α是n维列向量,下列运算无意义的是().

A.αTAα
B.ααT
C.αA
D.Aα


点击查看答案


147、单项选择题  设A是n阶方阵,且A2=A.下列等式正确的是().

A.
B.A=E
C.|A|=1
D.A=O或A=E


点击查看答案


148、单项选择题  设y=f(t),t=φ(x)都可微,则dy=()。

A.f'(t)dt
B.φ'(x)dx
C.f'(t)φ'(x)dt
D.f'(t)dx


点击查看答案


149、单项选择题  

方程的通解为()。

 A.
B.y=Cx
C.
D.y=x+C


点击查看答案


150、单项选择题  已知f(x)是二阶可导的函数,,则为()。

A.
B.
C.
D.


点击查看答案


151、单项选择题  设随机变量X与Y相互独立,方差分别为6和3,则D(2X-Y)=()。

A.9
B.15
C.21
D.27


点击查看答案


152、单项选择题  

等于().

A.-1/6
B.1/6
C.-1/3
D.1/3


点击查看答案


153、单项选择题  

极限的值等于().

A.3
B.e
C.1
D.∞


点击查看答案


154、单项选择题  已知两点M(5,3,2)、N(1,-4,6),则单位向量MN0可表示为()。

A.{-4,-7,4}
B.
C.
D.{4,7,-4}


点击查看答案


155、单项选择题  以为特解的二阶线性常系数齐次微分方程是()。

A.y"-2y'-3y=0
B.y"+2y'-3y=0
C.y"-3y'+2y=0
D.y"-2y'-3y=0


点击查看答案


156、单项选择题  

设函数f(x,y)在点(0,0)的某邻域内有定义,且,则有().

A.
B.曲面z=f(x,y)在点(0,0,f(0,0))的一个法向量为3i-j+k
C.曲线在点(0,0,f(0,0))的一个切向量为i+3k
D.曲线在点(0,0,f(0,0))的一个切向量为3i+k


点击查看答案


157、单项选择题  函数z=xy2+y(lny-1)在x=1,y=1处的全微分dz等于().

A.dx+dy
B.dx-dy
C.dx+2dy
D.dx-2dy


点击查看答案


158、单项选择题  设,则x=π/2是f(x)的().

A.可去间断点
B.跳跃间断点
C.第二类间断点
D.连续点


点击查看答案


159、单项选择题  

等于()。

A.0
B.9π
C.3π
D.


点击查看答案


160、单项选择题  方程z2-x2-y2=0所表示的曲面是().

A.单叶双曲面
B.双叶双曲面
C.旋转双曲面
D.圆锥面


点击查看答案


161、单项选择题  广义积分等于().

A.+∞
B.π/4
C.π/6
D.π/2


点击查看答案


162、单项选择题  设(X1,X2,…,X)是抽自正态总体N(0,1)的一个容量为n的样本,记,则下列结论中正确的是()。

A.服从正态分布N(0,1)
B.n服从正态分布N(0,1)
C.服从自由度为n的x2分布
D.服从自由度为(n-1)的t分布


点击查看答案


163、单项选择题  设曲线y=ln(1+x2),M是曲线上的点,若曲线在M点的切线平行于已知直线y-x+1=0,则M点的坐标是()。

A.(-2,ln5)
B.(-1,ln2)
C.(1,ln2)
D.(2,ln5)


点击查看答案


164、单项选择题  设f(x)有连续的导数,则下列关系中正确的是()。

A.
B.
C.
D.


点击查看答案


165、单项选择题  下列各选项正确的是().

A.若都收敛,则收敛
B.若收敛,则都收敛
C.若正项级数发散,则
D.若级数收敛,且u≥v(n=1,2,..),则级数也收敛


点击查看答案


166、单项选择题  某位足球运动员罚球命中率为0.9,假定各次罚球是否命中是相互独立的,则他五次罚球至少中4次的概率等于().

A.0.94×0.1
B.
C.
D.


点击查看答案


167、单项选择题  设X1,…,X是取自总体X的容量为n的样本,总体均值E(X)=μ未知,μ的无偏估计是().

A.
B.
C.
D.


点击查看答案


168、单项选择题  设随机变量X的数学期望与标准差都是2.记Y=3-X,则E(Y2)等于().

A.3
B.5
C.7
D.9


点击查看答案


169、单项选择题  设a,b,c均为向量,下列等式中正确的是().

A.(a+B.·(a-B.=|a|2-|b|2
B.(a·B.2=|a|2|b|2
C.(a+B.×(a-B.=a×a-b×b
D.(a·B.a=|a|2b


点击查看答案


170、单项选择题  在空间直角坐标系中,方程x=2表示().

A.x轴上的点(2,0,0)
B.xOy平面上的直线x=2
C.过点(2,0,0)且平行于yOz面的平面
D.过点(2,0,0)的任意平面


点击查看答案


171、单项选择题  幂级数的收敛区间为()。

A.[-1,1]
B.(-1,1]
C.[-1,1)
D.(-1,1)


点击查看答案


172、单项选择题  设事件A与B相互独立.已知P(A)=0.3,P(A+B)=0.65,则P(B)等于().

A.0.3
B.0.35
C.0.5
D.0.95


点击查看答案


173、单项选择题  设A,B都是n阶方阵,下列等式不正确的是().

A.|ATB|=|B||A|
B.(AB.T=ATBT
C.||A|B|=|A|n|B|
D.(AB.-1=B-1A-1


点击查看答案


174、单项选择题  

下列级数中,条件收敛的级数是().

A.
B.
C.
D.


点击查看答案


175、单项选择题  由曲线y=3-x2与直线y=2x所围成的图形的面积是().

A.11/3
B.22/3
C.32/3
D.86/3


点击查看答案


176、单项选择题  设随机变量X与Y相互独立,已知P(X≤1)=p,P(Y≤1)=q,则P(max(X,Y)≤1)等于().

A.p+q
B.pq
C.p
D.q


点击查看答案


177、单项选择题  设随机变量X与Y相互独立,且X在区间[0,2]上服从均匀分布,Y服从参数为3的指数分布,则数学期望E(XY)等于()。

A.
B.1
C.
D.3


点击查看答案


178、单项选择题  已知随机变量X~N(2,22),且y=aK+b~N(0,1),则()。

A.a=2,b=-2
B.a=-2,b=-1
C.a=,b=-1
D.a=,b=1


点击查看答案


179、单项选择题  设3阶方阵A的行列式
A
=2,则等于().

A.5/2
B.27/2
C.27
D.9/2


点击查看答案


180、单项选择题  设向量组A:α1=(1,0,5,2),α2=(-2,1,-4,1),α3=(-1,1,t,3),α4=(-2,1,-4,1)线性相关,则t必定等于().

A.1
B.2
C.3
D.任意数


点击查看答案


181、单项选择题  已知是正定二次型,则().

A.|t|<1
B.|t|≤1
C.t>0
D.t<0


点击查看答案


182、单项选择题  下列方阵中具有正定性的是().

A.
B.
C.
D.


点击查看答案


183、单项选择题  下列有关极限的计算中,错误的是()。

A.
B.
C.
D.


点击查看答案


184、单项选择题  10把钥匙中有3把能打开门,今任取两把,那么能打开门的概率是()。

A.
B.
C.
D.


点击查看答案


185、单项选择题  设n阶矩阵A可逆,α是A的属于特征值λ的特征向量,则下列结论中不正确的是()。

A.α是矩阵-2A的属于特征值-2λ的特征向量
B.α是矩阵的属于特征值的特征向量
C.α是矩阵A*的属于特征值的特征向量
D.α是矩阵AT的属于特征值λ的特征向量


点击查看答案


186、单项选择题  设α,β,γ,δ是维向量,已知α,β线性无关,γ可以由α,β线性表示,δ不能由α,β线性表示,则以下选项正确的是()。

A.aα,β,γ,δ线性无关
B.α,β,γ线性无关
C.α,β,δ线性相关
D.α,β,δ线性无关


点击查看答案


187、单项选择题  设随机变量X服从正态分布N(-1,9),则随机变量Y=2-X服从().

A.正态分布N(3,9)
B.均匀分布
C.正态分布N(1,9)
D.指数分布


点击查看答案


188、单项选择题  已知方阵A满足
A+2E
=0,则A必定有特征值().

A.1
B.2
C.-1
D.-2


点击查看答案


189、单项选择题  设X1,…,X是取自总体X的容量为n的样本.已知总体X服从参数为λ的指数分布,即X的概率密度函数为则λ的最大似然估计是().

A.
B.
C.
D.


点击查看答案


190、单项选择题  某人独立地射击10次,每次射击命中目标的概率为0.8,随机变量X表示10次射击中命中目标的次数,则E(X2)等于().

A.64
B.65.6
C.66.6
D.80


点击查看答案


191、单项选择题  设A是3阶矩阵,矩阵A的第1行的2倍加到第2行,得矩阵B,则以下选项中成立的是()。

A.B的第1行的-2倍加到第2行得A
B.B的第1列的-2倍加到第2列得A
C.B的第2行的-2倍加到第1行得A
D.B的第2列的-2倍加到第1列得A


点击查看答案


192、单项选择题  

等于()。

A.
B.
C.
D.4


点击查看答案


193、单项选择题  设3阶矩阵,已知A的伴随矩阵的秩为1,则a=()。

A.-2
B.-1
C.1
D.2


点击查看答案


194、单项选择题  

函数在x处的导数是()。

A.
B.
C.
D.


点击查看答案


195、单项选择题  设直线的方程为x=y-1=z,平面的方程为x-2y+z=0,则直线与平面()。

A.重合
B.平行不重合
C.垂直相交
D.相交不垂直


点击查看答案


196、单项选择题  

方程满足y(1)=0的特解是().

A.
B.
C.
D.


点击查看答案


197、单项选择题  设f(x)是以2π为周期的周期函数,它在[-π,π)上的表达式为f(x)=
x
,则f(x)的傅里叶级数为().

A.
B.
C.
D.


点击查看答案


198、单项选择题  已知5阶对称阵A的特征值为-1,0,0,1,1,则二次型f=xTAx的秩等于().

A.1
B.3
C.4
D.5


点击查看答案


199、单项选择题  微分方程的通解是()(C1、C2为任意常数)。

A.lnx+C
B.ln(x+C.
C.C2+ln|x+C1|
D.C2-ln|x+C1|


点击查看答案


200、单项选择题  设随机变量X服从正态分布N(1,4).已知φ(1)=a,则P(-1)=()

A.a-1
B.2a+1
C.a+1
D.2a-1


点击查看答案


201、单项选择题  设f(x)是定义在(-∞,+∞)上的连续函数,则().

A.必收敛
B.当时,有收敛
C.当存在时,有收敛
D.当且仅当均存在时,有收敛


点击查看答案


202、单项选择题  设X是随机变量.已知P(X≤1)=0.3,P(X≥2)=0.4,则P()

A.0.2
B.0.3
C.0.4
D.0.7


点击查看答案


203、单项选择题  设A,B是n阶方阵,下列命题正确的是().

A.若A,B都是可逆阵,则A+B也是可逆阵
B.若A+B是可逆阵,则A、B中至少有一个是可逆阵
C.若AB不是可逆阵,则A、B也都不是可逆阵
D.若ATA=E,则|A|=1或-1


点击查看答案


204、单项选择题  第一象限内曲线y2+6x=36和坐标轴所围成的图形绕x轴旋转所生成的旋转体的体积为().

A.36π
B.54π
C.72π
D.108π


点击查看答案


205、单项选择题  设曲线y=1/x与直线y=x及x=2所围图形的面积为A,则计算A的积分表达式为().

A.
B.
C.
D.


点击查看答案


206、单项选择题  设3阶方阵A、B的行列式
A
=2,
B
=-3,则
-ATB2
等于().

A.18
B.-6
C.-18
D.-9


点击查看答案


207、单项选择题  球面x2+y2+z2=14在点(1,2,3)处的切平面方程是().

A.(x-1)+2(y-2)-(z-3)=0
B.(x+1)+2(y+2)+3(z+3)=0
C.(x-1)+2(y-2)+3(z-3)=0
D.(x+1)+2(y+2)-(z+3)=0


点击查看答案


208、单项选择题  

已知,且f(0)=1,那么()。

A.f(x)在x=0处不连续
B.f(x)在x=0处连续
C.不存在
D.


点击查看答案


209、单项选择题  

设C为椭圆其周长记为a,则曲线积分


的值是().

A.4a
B.6a
C.8a
D.10a


点击查看答案


210、单项选择题  

设直线的方程为,则直线()。
k

A.过点(1,-1,0),方向向量为2i+j-k
B.过点(1,-1,0),方向向量为2i-j+k
C.过点(-1,1,0),方向向量为-2i-j+k
D.过点(-1,1,0),方向向量为2i+j-


点击查看答案


211、单项选择题  设A,B,C为三个事件,则表示().

A.三个事件全发生
B.三个事件全不发生
C.三个事件不全发生
D.至少有一个事件发生


点击查看答案


212、单项选择题  

直线与平面∏:2x+y-4z=6的位置关系是().

A.L垂直于∏
B.L与∏相交,但不垂直
C.L与∏平行,且L不在∏上
D.L在∏上


点击查看答案


213、单项选择题  盒子中装有12支铅笔,其中一半是国产的,另一半是进口的,现从盒子中随机地抽取2支笔,则它们都是国产笔的概率等于().

A.15/66
B.18/66
C.18/72
D.15/72


点击查看答案


214、单项选择题  已知f’(x)=tan2x,且f(0)=1,则f(x)等于().

A.tanx+x+1
B.tanx-x+1
C.-tanx-x+1
D.-tanx+x+1


点击查看答案


215、单项选择题  

设随机变量X服从参数A=1的指数分布,即X的概率密度函数为

则条件概率P(X>5
X>3)等于().

A.e-1
B.e-2
C.-3
D.e-5


点击查看答案


216、单项选择题  方程(x2+y)dx+(x-2y)dy=0的通解是().

A.
B.
C.
D.


点击查看答案


217、单项选择题  设A,B均为n阶非零矩阵,且AB=0,则RA,RB满足()。

A.必有一个等于0
B.都小于n
C.一个小于n,一个等于n
D.都等于n


点击查看答案


218、单项选择题  

下列函数中,不是的原函数的是()。

A.
B.
C.
D.


点击查看答案


219、单项选择题  

已知非齐次线性方程组


有两个不同的解,则增广矩阵的秩等于().

A.1
B.2
C.3
D.秩与a,b,c,d的值有关


点击查看答案


220、单项选择题  设F(x)是f(x)的一个原函数,则等于()。

A.F(e-x)+C
B.-F(e-x)+C
C.F(ex)+C
D.-F(ex)+C


点击查看答案


221、单项选择题  

给定对角阵下列对角阵中,能与A合同的是().

A.
B.
C.
D.


点击查看答案


222、单项选择题  微分方程ydx+(x-y)dy=0的通解是()。

A.
B.
C.xy=C
D.


点击查看答案


223、单项选择题  下列关于曲面方程的结论中,错误的是()。

A.2x2-3y2-z=1表示双叶双曲面
B.2x2+3y2-z2=1表示单叶双曲面
C.2x2+3y2-z=1表示椭圆抛物面
D.2(x2+y2)-z2=1表示锥面


点击查看答案


224、单项选择题  

上位于x从0到1的一段弧长是()。

A.
B.
C.
D.


点击查看答案


225、单项选择题  设函数f(x)在(-∞,+∞)上是偶函数,且在(0,+∞)内有f'(x)>0,f"(x)>0,则在(-∞,0)内必有()。

A.f'(x)>0,f"(x)>0
B.f'(x)<0,f"(x)>0
C.f'(x)>O,f"(x)<0
D.f'(x)<0,f"(x)<0


点击查看答案


226、单项选择题  过两点A(3,-1,2)和B(-1,0,3)的直线方程是().

A.
B.
C.
D.


点击查看答案


227、单项选择题  已知齐次方程xy"+y’=0有一个特解为lnx,则该方程的通解为().

A.y=C1lnx+C2
B.y=C1lnx+C2X
C.y=C(lnx+1)
D.y=C(lnx+x)


点击查看答案


228、单项选择题  曲面3x2+y2-z2=27在点(3,1,1)处的法线方程为().

A.
B.
C.
D.


点击查看答案


229、单项选择题  设A是3阶矩阵,P=(α1,α2,α3)是3阶可逆矩阵,且,若矩阵Q=(α1,α2,α3),则Q-1AQ=()。

A.
B.
C.
D.


点击查看答案


230、单项选择题  母线平行于x轴且通过曲线的柱面方程是().

A.2y2+z2=16
B.3y2+z2=16
C.2y2-z2=16
D.3y2-z2=16


点击查看答案


231、单项选择题  设齐次方程组,当方程组有非零解时,k值为()。

A.-2或3
B.2或3
C.2或-3
D.-2或-3


点击查看答案


232、单项选择题  

设数方组确定了隐函数y=y(x),则等于().

A.
B.
C.
D.


点击查看答案


233、单项选择题  

,下列级数中绝对收敛的是()。

A.
B.
C.
D.


点击查看答案


234、单项选择题  已知λ=2是三阶矩阵A的一个特征值,α1,α2是A的属于λ=2的特征向量。若α1=(1,2,0)T,α2=(1,0,1)T,向量β=(-1,2,-2)T,则Aβ等于()。

A.(2,2,1)T
B.(-1,2,_2)T
C.(-2,4,-4)T
D.(-2,-4,4)


点击查看答案


235、单项选择题  设3是方阵A的特征值,则A2+A-2E必有特征值().

A.3
B.10
C.4
D.不能确定


点击查看答案


236、单项选择题  

欲使f(x)在x=0处连续,则b的值是().

A.1
B.0
C.2
D.a


点击查看答案


237、单项选择题  设列向量p=[1,-1,2]T是3阶方阵相应特征值λ的特征向量,则特征值λ等于().

A.3
B.5
C.7
D.不能确定


点击查看答案


238、单项选择题  设C为圆周x2+y2=ax(a>0),则曲线积分的值是().

A.a2
B.2a2
C.3a2
D.4a2


点击查看答案


239、单项选择题  设z=f(x2+y2),其中f具有二阶导数,则等于().

A.2f’(x2+y2)
B.4x2f"(x2+y2)
C.2’(x2+y2)+4x2f"(x2+y2)
D.2xf"(x2+y2)


点击查看答案


240、单项选择题  

级数()。

A.当p>时,绝对收敛
B.当p>时,条件收敛
C.当0时,绝对收敛
D.当0时,发散


点击查看答案


241、单项选择题  设f(x)=(x-a)(x),其中(x)在x=a处连续,贝f’(a)等于().

A.aA.
B.-aA.
C.-A.
D.A.


点击查看答案


242、单项选择题  设A是一个n阶方阵,已知
A
=2,则
-2A
等于().

A.
B.
C.
D.-22


点击查看答案


243、单项选择题  曲线绕x轴旋转一周所生成的旋转曲面的方程是().

A.x2+y2=5x
B.y2+z2=5x
C.x2+z2=5x
D.


点击查看答案


244、单项选择题  设随机变量X服从正态分布N(μ,16),Y服从正态分布N(μ,25).记p=P(X≤μ-4),g=P(Y≥μ+5),则p与q的大小关系是().

A.p>q
B.p
C.p=q
D.不能确定


点击查看答案


245、单项选择题  已知向量组α1=(3,2,-5)T,α2=(3,-1,3)T,,α4=(6,-2,6)T,则该向量组的一个极大无关组是()。

A.α2,α4
B.α3,α4
C.α1,α2
D.α2,α3


点击查看答案


246、单项选择题  若函数,则当x=e,y=e-1时,全微分dz等于()。

A.edx+dy
B.e2dx-dy
C.dx+e2dy
D.edx+e2dy


点击查看答案


247、单项选择题  

由曲面所围成的立体体积的三次积分为()。

A.
B.
C.
D.


点击查看答案


248、单项选择题  

已知,且f(1)=1,则f(x)等于().

A.
B.
C.
D.


点击查看答案


249、单项选择题  方程x5-3x=1在下列区间内至少有一个实根的区间是().

A.(0,1)
B.(1,2)
C.(2,3)
D.(3,+∞)


点击查看答案


250、单项选择题  正项级数的部分和数列{S)(S=a1+a2+…+a)有上界是该级数收敛的()。

A.充分必要条件
B.充分条件而非必要条件
C.必要条件而非充分条件
D.既非充分又非必要条件


点击查看答案


251、单项选择题  已知4元非齐次线性方程组Ax=b的系数矩阵的秩等于3,且η1,η2,η3是3个不同的解向量,则通解是().

A.
B.
C.
D.


点击查看答案


252、单项选择题  已知D(X)=4,D(Y)=9,Cov(X+Y)=2,则D(3X-2Y)等于().

A.96
B.72
C.48
D.36


点击查看答案


253、单项选择题  

极限的值是()。

A.t
B.-t
C.1
D.-1


点击查看答案


254、单项选择题  设y=ln(cosx),则微分dy等于()。

A.
B.cotxdx
C.-tanxdx
D.


点击查看答案


255、单项选择题  下列命题中,错误的是().

A.部分和数列{s}有界是正项级数收敛的充分条件
B.若级数绝对收敛,则级数必定收敛
C.若级数条件收敛,则级数必定发散
D.若,则级数收敛


点击查看答案


256、单项选择题  若连续函数f(x)满足关系式,则f(x)等于().

A.
B.
C.
D.


点击查看答案


257、单项选择题  3维向量组A:α1,α2,…,αM线性无关的充分必要条件是().

A.对任意一组不全为0的数k1,k2,…,kM,都有后
B.向量组A中任意两个向量都线性无关
C.向量组A是正交向量组
D.αM不能由线性表示


点击查看答案


258、单项选择题  若PA=0.8,,则等于()。

A.0.4
B.0.6
C.0.5
D.0.3


点击查看答案


259、单项选择题  方阵中,不能与对角阵相似的是().

A.
B.
C.零矩阵
D.


点击查看答案


260、单项选择题  

设随机变量X的概率密度为,则P(0≤X≤3)=()。

A.
B.
C.
D.


点击查看答案


261、单项选择题  对正项级数,则是此正项级数收敛的()。

A.充分条件,但非必要条件
B.必要条件,但非充分条件
C.充分必要条件
D.既非充分条件,又非必要条件


点击查看答案


262、单项选择题  设向量a=(-2,4,4),b=(0,6,3),则a与b的夹角为().

A.
B.
C.
D.


点击查看答案


263、单项选择题  下列各点中为二元函数z=x3-y3-3x2+3y-9x的极值点的是()。

A.(3,-1)
B.(3,1)
C.(1,1)
D.(-1,-1)


点击查看答案


264、单项选择题  

,则估计I值的大致范围为().

A.
B.
C.
D.I≥1


点击查看答案


265、单项选择题  

等于()。

A.cosx-sinx+C
B.sinx+cosx+C
C.sinx-cosx+C
D.-cosx+sinx+C


点击查看答案


266、单项选择题  设总体X服从指数分布,概率密度为()。其中λ未知。如果取得样本观察值为X1,X2,…,X,样本均值为X,则参数λ的极大似然估计是()。

A.x5
B.
C.n
D.


点击查看答案


267、单项选择题  设总体X服从参数为λ的泊松分布,其中λ未知.X1,…,X是取自总体X的样本,则A的最大似然估计是().

A.X
B.S2
C.S
D.2


点击查看答案


268、单项选择题  

已知3阶方阵

的特征值为-4,5,y,则x,y分别等于().

A.-1,0
B.2,3
C.4,5
D.1,1


点击查看答案


269、单项选择题  已知D(X)=2,D(Y)=3,则Cov(X+Y,X-Y)等于().

A.1
B.-1
C.5
D.6


点击查看答案


270、单项选择题  设A为n阶方阵,且
A
=a≠0,则
A*
等于()。

A.a
B.
C.an-1
D.an


点击查看答案


271、单项选择题  设3阶方阵A满足A2=0,则下列等式成立的是().

A.A=O
B.RA.=0
C.A3=O
D.RA.=3


点击查看答案


272、单项选择题  

已知函数f(x)在x0的某邻域内有意义,且

则f(x)在x0处().

A.取得极大值f(x0)
B.取得极小值f(x0)
C.未取得极值
D.是否极值无法判定


点击查看答案


273、单项选择题  设X1,…,X16是取自正态总体N(μ,σ2)的样本,其中μ与σ2均未知.要检验H0:σ=3,则当H0成立时,检验统计量().

A.2服从χ2(15)
B.服从χ2(15)
C.服从χ2(15)
D.2服从χ2(16)


点击查看答案


274、单项选择题  两个圆柱体x2+y2≤R2,x2+22≤R2公共部分的体积V为()。

A.
B.
C.
D.


点击查看答案


275、单项选择题  

(其中D:x2+y2≤1)转化为极坐标系下的二次积分,其形式为()。

A.
B.
C.
D.


点击查看答案


276、单项选择题  设随机变量X与Y相互独立,已知X服从区间(1,5)上的均匀分布,Y服从参数λ=5的指数分布,则D(3X-5Y)等于().

A.5
B.9
C.10
D.13


点击查看答案


277、单项选择题  当x→0时,α(x)=sin2x和β(x)=x3+3x都是无穷小,则α(x)是β(x)的().

A.高阶无穷小
B.低阶无穷小
C.同阶且非等价的无穷小
D.等价无穷小


点击查看答案


278、单项选择题  设连续型随机变量X的分布函数则k等于().

A.3
B.2
C.4
D.1


点击查看答案


279、单项选择题  交换积分次序,二次积分化为().

A.
B.
C.
D.


点击查看答案


280、单项选择题  设λ1,λ2是矩阵A的两个不同的特征值,ξ、η是a的分别属于λ1、λ2的特征向量,则以下选项正确的是()。

A.对任意的k1≠0和k2≠0,k1ξ+k2η都是A的特征向量
B.存在常数k1≠0和k2≠0,使得k1ξ+k2η是A的特征向量
C.对任意的k1≠0和k2≠0,k1ξ+k2η都不是A的特征向量
D.仅当k1=k2=0时,k1ξ+k2η是A的特征向量


点击查看答案


281、单项选择题  若级数发散,则的敛散性为()。

A.一定发散
B.可能收敛,也可能发散
C.a>0时收敛,a<0时发散
D.|a|<1时收敛,|a|>1时发散


点击查看答案


282、单项选择题  

等于().

A.2
B.0
C.∞
D.不存在且不是∞


点击查看答案


283、单项选择题  

过点(4,-1,3)且平行于直线的直线方程为().

A.
B.
C.
D.


点击查看答案


284、单项选择题  若在x=-1处收敛,则此级数在x=2处().

A.条件收敛
B.绝对收敛
C.发散
D.收敛性不能确定


点击查看答案


285、单项选择题  已知级数的收敛域为[-1,3),则级数的收敛域为().

A.[-2,2)
B.[-1,2)
C.(-1,2]
D.(-2,2]


点击查看答案


286、单项选择题  由曲线与直线x=1及x轴所围图形绕y轴旋转而成的旋转体的体积是().

A.3/7π
B.4/7π
C.π/2
D.π


点击查看答案


287、单项选择题  设矩阵,则矩阵方程XA=B的解X等于().

A.
B.
C.
D.


点击查看答案


288、单项选择题  

设f(x)在[-a,a](a>0)上连续,则等于().

A.
B.0
C.
D.


点击查看答案


289、单项选择题  

()(式中C为任意常数)。

A.
B.
C.
D.


点击查看答案


290、单项选择题  设方程y"-4y’+3y=0的某一积分曲线,它在点(0,2)处与直线x-y+2=0相切,则该积分曲线的方程是().

A.
B.
C.
D.


点击查看答案


291、单项选择题  直线L1:2x=5y=z-1与平面∏:4x-2z=5的位置关系是().

A.直线L与平面∏平行
B.直线L与平面∏垂直
C.直线L在平面∏上
D.直线L与平面∏相交,但不垂直


点击查看答案


292、单项选择题  下列结论正确的是().

A.z=f(x,y)在点(x,y)的偏导数存在是f(x,y)在该点连续的充分条件
B.z=f(x,y)在点(x,y)连续是f(x,y)的偏导数存在的必要条件
C.z=(x,y)在点(x,y)的偏导数存在是f(x,y)在该点可微分的充分条件
D.z=(x,y)在点(x,y)连续是f(x,y)在该点可微分的必要条件


点击查看答案


293、单项选择题  已知矩阵相似,则λ等于()。

A.6
B.5
C.4
D.14


点击查看答案


294、单项选择题  方程x-cosx-1=0在下列区间中至少有一个实根的区间是().

A.(-≥,0)
B.(0,π)
C.(π,4)
D.(4,+∞)


点击查看答案


295、单项选择题  

计算,其中Ω为z2=x2+y2,z=1所围成的立体,则正确的解法是()。

A.
B.
C.
D.


点击查看答案


296、单项选择题  设A,B,C是三个事件,则AB+BC+CA表示().

A.三个事件中恰有两个事件发生
B.三个事件中至多有两个事件发生
C.三个事件中至少有两个事件发生
D.三个事件全发生


点击查看答案


297、单项选择题  设f(x,y)=x3-y3+3x2+3y2-9x,则f(x,y)在点(1,0)处().

A.取得极大值
B.取得极小值
C.未取得极值
D.是否取得极值无法判定


点击查看答案


298、单项选择题  下列广义积分中收敛的是()。

A.
B.
C.
D.


点击查看答案


299、单项选择题  

若f(x)的一个原函数是,则=()。

A.
B.
C.
D.


点击查看答案


300、单项选择题  口袋里装有10只外形相同的球,其中7只红球,3只白球.从口袋中任意取出2只球,则它们是一只红球、一只白球的概率等于().

A.21/90.
B.21/45
C.21/100
D.21/50


点击查看答案


题库试看结束后微信扫下方二维码即可打包下载完整版《★电气工程公共基础》题库
手机用户可保存上方二维码到手机中,在微信扫一扫中右上角选择“从相册选取二维码”即可。
题库试看结束后微信扫下方二维码即可打包下载完整版《电气工程公共基础:数学》题库,分栏、分答案解析排版、小字体方便打印背记!经广大会员朋友实战检验,此方法考试通过率大大提高!绝对是您考试过关的不二利器
手机用户可保存上方二维码到手机中,在微信扫一扫中右上角选择“从相册选取二维码”即可。

微信搜索关注"91考试网"公众号,领30元,获取公务员事业编教师考试资料40G