时间:2021-09-07 04:39:35


1、多项选择题 项目沟通管理过程包括()。
	A.沟通计划
	B.信息传播
	C.计划实施
	D.绩效报告
	E.管理收尾
2、多项选择题 制定项目质量计划的方法有()。
	A.成本收益分析法
	B.质量标杆法
	C.流程图法
	D.实验设计法
	E.核检清单法
3、单项选择题 由于通信网络分层的特点,对通信网络项目的建设很可能影响其他各种业务的进行,这说明通信项目管理具有()的特点。
	A.时效性要求高
	B.可维护性高
	C.可兼容性高
	D.进度管理复杂
4、单项选择题 项目管理过程组的实施过程包括协调人员和资源,以便实施项目计划并生产出项目或项目阶段的产品或可交付成果。下列不属于项目实施过程的是()。
	A.组建一个项目团队
	B.制定项目章程
	C.确保项目质量
	D.采购必需的资源
5、多项选择题 在通信项目管理中,为保证通信项目的质量,需要严格控制项目的()。
	A.前试验阶段
	B.定义阶段
	C.预算阶段
	D.试运行阶段
	E.收尾阶段
6、单项选择题 工作分解结构常常被表示为一个以()为导向的活动家谱图,反映整个项目图景和每一个主要的组成部分。
	A.结果
	B.任务
	C.资源
	D.成本
7、多项选择题 某项目计划工期为4年,预算总成本为800万元。在项目的实施过程中,通过对成本的核算和有关成本与进度记录得知,在开工后第2年年末的实际情况是:开工后2年末实际成本发生额为200万元,所完成工作的计划预算成本额为100万元。 当前状况下,表明()。
	A.成本节约
	B.成本超支
	C.进度超前
	D.进度滞后
8、单项选择题 某项目计划工期为4年,预算总成本为800万元。在项目的实施过程中,通过对成本的核算和有关成本与进度记录得知,在开工后第2年年末的实际情况是:开工后2年末实际成本发生额为200万元,所完成工作的计划预算成本额为100万元。 目前状况下,项目计划值为()万元。
	A.100
	B.200
	C.250
	D.400
9、多项选择题 项目质量管理包括()。
	A.质量编制计划
	B.采购计划
	C.沟通计划
	D.质量保证
	E.质量控制
10、多项选择题 项目费用管理中成本控制的三个参数包括()。
	A.计划值
	B.进度偏差
	C.实际成本
	D.成本执行指数
	E.挣值
11、多项选择题 创建工作分解结构的主要方法有()。
	A.创建指导法
	B.类比法
	C.自上而下法
	D.自下而上法
	E.关键路径法
12、单项选择题 为了确保项目的利益相关者对项目结果和项目过程达成一致所需的知识领域是()。
	A.综合管理
	B.范围管理
	C.人力资源管理
	D.沟通管理
13、单项选择题 使用挣值法测量某项目绩效,若截止到考核时点,该项目的进度执行指数为1.2,成本执行指数为0.8,则表明()。
	A.项目进度超前于计划,项目成本控制在预算范围内
	B.项目进度超前于计划,项目成本超出预算
	C.项目进度落后于计划,项目成本控制在预算范围内
	D.项目进度落后于计划,项目成本超出预算
14、单项选择题 利用其他项目实际或计划的项目质量管理结果或计划,作为新项目的质量比照目标,通过对照比较制定出新项目质量计划的方法是()。
	A.成本收益分析法
	B.质量标杆法
	C.流程图法
	D.实验设计法
15、单项选择题 在九大项目管理的知识领域,下列不属于项目管理核心知识领域的是()。
	A.项目范围管理
	B.项目时间管理
	C.项目人力资源管理
	D.项目费用管理
16、多项选择题 成本估算的主要技术包括()。
	A.类比估算法
	B.自下而上估算法
	C.自上而下估算法
	D.关键路径估算法
	E.参数模型估算法
17、单项选择题 在项目生命周期中,项目团队的大部分工作及支出都通常发生在()。
	A.项目开发阶段
	B.项目实施阶段
	C.项目控制阶段
	D.项目收尾阶段
18、多项选择题 下列属于项目管理的三项重要约束的有()。
	A.范围
	B.成本
	C.资金
	D.时间
	E.效率
19、单项选择题 创建工作分解结构是一种以()为导向的分析方法,用于分析项目所涉及的工作,所有这些工作构成了项目的整体范围。
	A.结果
	B.任务
	C.资源
	D.成本
20、单项选择题 项目利益相关者就是积极参与项目,或其利益因项目的实施或完成而受到积极或消极影响的个人或组织,他们还会对项目的目标和结果施加影响。在项目()阶段应充分考虑项目利益相关者。
	A.定义
	B.开发
	C.实施
	D.收尾
21、单项选择题 项目的范围、时间和()称为项目管理的三项约束。
	A.目标
	B.质量
	C.成本
	D.风险
22、单项选择题 根据具体项目的不同,每个项目过程组的活动水平和时间长度都会有所不同。在一般情况下,()过程消耗的资源和时间最多。
	A.启动
	B.计划
	C.实施
	D.收尾
23、单项选择题 项目管理最重要的也最难做的一项工作就是()。
	A.确定项目范围
	B.确定项目经理
	C.采购所需资料
	D.制定项目章程
24、多项选择题 关于项目管理的常用方法,下列说法正确的有()。
	A.工作分析结构方法将项目工作分解成易于管理的细目
	B.甘特图是一种进行项目进度安排的工具
	C.网络图无法表示项目中各项工作之间的关系
	D.使用概率分析法进行工期估计考虑到了不确定性因素
	E.时间成本平衡法主要用于控制成本,不能用于控制进度
25、多项选择题 通信项目管理的特点包括()。
	A.成本是通信项目的第一目标
	B.项目进度管理复杂
	C.通信项目管理的时效性要求高
	D.通信项目要求有高可维护性、可兼容性和可扩容性
	E.通信项目管理中信息交流方便
26、单项选择题 项目关系人会对项目目标和结果施加影响,项目管理团队应在项目()阶段充分考虑项目干系人的期望和要求。
	A.定义
	B.开发
	C.实施
	D.收尾
27、单项选择题 下列活动中,不属于项目管理过程组的是()。
	A.项目可行性研究
	B.项目实施
	C.项目计划
	D.项目收尾
28、单项选择题 由于电信运营项目自身的特点,使其后评价存在特有的难点,下列不属于此难点的是()。
	A.建立合理的数据处理模型
	B.数据的收集
	C.进行科学的数据预测
	D.建立项目后评价管理规范和体系
29、单项选择题 项目质量控制中一种独特的结构化质量控制方法是()。
	A.核检清单法
	B.控制图法
	C.质量检验法
	D.帕累托图法
30、多项选择题 项目管理过程组包括()。
	A.启动过程
	B.计划过程
	C.实施过程
	D.生成过程
	E.收尾过程
31、单项选择题 绘制网络图应遵循的原则不包括()。
	A.网络图是有向、有序的,从左至右,不能出现回路
	B.两个节点之间只能出现一个活动
	C.如果若干活动有一个共同的开始和完工活动,并交由一个单位去完成,可以集中成一个活动,并以最长的时间作为该活动的历时
	D.如果若干活动有一个共同的开始和完工活动,并交由一个单位去完成,可以集中成一个活动,并以最短的时间作为该活动的历时
32、多项选择题 项目管理的基本特性包括()。
	A.普遍性
	B.目的性
	C.独特性
	D.不确定性
	E.集成性
33、单项选择题 某通信项目中新操作系统的安装需要设备供应商的设备到位,新操作系统安装与设备到位之间属()。
	A.内部依赖关系
	B.相互依赖关系
	C.自由依赖关系
	D.外部依赖关系
34、单项选择题 在对项目中某一活动进行工期估计时,采用了三个时间估计,乐观时间是8天,悲观时间是15天,最可能时间为12天,则该活动的期望工期为()天。
	A.11.2
	B.11.5
	C.11.8
	D.12.2
35、单项选择题 对整体项目绩效进行定期的评估以确保项目能够满足相关的质量标准,属于项目质量管理的()。
	A.质量控制过程
	B.质量保证过程
	C.质量计划过程
	D.质量实施过程
36、多项选择题 下列关于项目特征的描述,正确的有()。
	A.项目具有明确的目标
	B.项目是长期而稳定的
	C.项目往往存在多个发起人或单位
	D.项目需使用各种资源
	E.项目的目标和成本往往是确定的
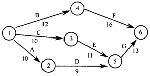
37、单项选择题
某工程项目网络图见下图所示,该项目要求完成时间为30天,项目开始时间表示为0,预计完成时间表示为30。
	
	A.28
	B.30
	C.32
	D.34
38、单项选择题 某项目计划工期为4年,预算总成本为800万元。在项目的实施过程中,通过对成本的核算和有关成本与进度记录得知,在开工后第2年年末的实际情况是:开工后2年末实际成本发生额为200万元,所完成工作的计划预算成本额为100万元。 当前状况下该项目的SPI为()。
	A.10%
	B.20%
	C.25%
	D.50%
39、单项选择题 在项目进展的不同阶段,项目利益相关者对项目的影响力不同。利益相关者对项目影响力最大的阶段是()。
	A.项目定义阶段
	B.项目实施阶段
	C.项目检查阶段
	D.项目收尾阶段
40、单项选择题 ()是指在不影响后序活动最早开始时间和有关时限的前提下,一项活动可以利用的机动时间。
	A.总时差
	B.自由时差
	C.最早开始时间
	D.最晚结束时间
41、多项选择题 关于项目生命周期及其特点的说法,正确的有()。
	A.项目生命周期包括项目定义、项目开发、项目实施和项目收尾四个阶段
	B.项目经理应在项目实施阶段编制项目总体计划
	C.项目的资源投入大部分集中于项目实施阶段
	D.项目团队的大部分工作和支出通常都发生在项目定义阶段
	E.将项目划分为若干阶段,便于有效地对项目进行管理控制
42、单项选择题 ()是指形成正式文件,为将来项目的决策建立基础,包括判断项目和项目阶段已经成功完成的基本标准。
	A.项目范围计划
	B.项目章程
	C.项目进度计划
	D.成本估算文件
43、单项选择题 项目范围计划的主要输出是()。
	A.项目章程
	B.项目产品描述
	C.项目假设条件
	D.形成书面的范围说明书
44、多项选择题 通信项目管理存在的主要问题有()。
	A.可行性研究欠完善
	B.项目可维护性差
	C.项目后评价具特殊性
	D.项目组织运作复杂、沟通困难
	E.项目进度管理复杂
45、多项选择题 下面属于项目管理辅助知识领域的是()。
	A.项目单项管理
	B.项目人力资源管理
	C.项目采购管理
	D.项目沟通管理
	E.项目风险管理
46、单项选择题 用来预测项目总历时的项目管理方法是()。
	A.甘特法
	B.关键路径法
	C.专家判断法
	D.类比估计法
47、单项选择题 某项目的进度执行指数为1.3,则说明该项目()。
	A.进度超前于计划
	B.进度落后于计划
	C.进度符合计划
	D.进度无法确定
48、多项选择题 在项目管理中,与项目进度管理有关的方法有()。
	A.关键路径法
	B.网络图
	C.甘特图
	D.工作分解结构
	E.概率时间估计法
49、单项选择题
某工程项目网络图见下图所示,该项目要求完成时间为30天,项目开始时间表示为0,预计完成时间表示为30。
	
	A.6
	B.10
	C.17
	D.21
50、多项选择题 制定好的工作分解结构需要综合各种方法,但同时还需要遵循以下基本原则()。
	A.一个单位工作任务只能在WBS中出现一次
	B.WBS的每一项都不止由一个人负责,尤其是这项工作相对复杂时
	C.项目团队成员必须参与WBS的制定过程,以确保一致性和全员参与
	D.每项WBS都必须归档,以确保准确理解项目包括和不包括的工作范围
	E.WBS必须与工作任务的实际执行过程一致
51、单项选择题
某工程项目网络图见下图所示,该项目要求完成时间为30天,项目开始时间表示为0,预计完成时间表示为30。
	
	A.-4
	B.-2
	C.2
	D.4
52、单项选择题 质量管理的第一过程是()。
	A.质量计划
	B.质量保证
	C.质量控制
	D.质量评价
53、多项选择题 差异分析是指把项目的实际结果与计划或预期结果作比较,最常使用的是()。
	A.成本偏差
	B.质量偏差
	C.进度偏差
	D.范围偏差
	E.风险偏差
54、单项选择题 正式确认项目的存在并对项目提供简要概述的文件是()。
	A.项目范围计划
	B.项目章程
	C.项目进度计划
	D.成本估算文件
55、单项选择题 项目进行过程中,在()阶段项目团队要编制更详细的项目计划,并给出更准确的成本估算和更细化的WBS。
	A.项目定义
	B.项目开发
	C.项目实施
	D.项目收尾阶段
56、单项选择题 制定好的工作分解结构需要遵循一定的原则,下列说法不正确的是()。
	A.一个单位工作任务只能在WBS中出现一次
	B.一个WBS项的工作内容是其对应下级各项工作之和
	C.WBS的每一项可以由多人负责
	D.每项WBS都必须归档
57、单项选择题 项目的资源投入大部分集中于项目生命周期的项目()阶段,而在项目周期的其他阶段,项目资源耗费较少。
	A.定义
	B.开发
	C.实施
	D.收尾
58、多项选择题 下列属于绩效报告的工具和方法的是()。
	A.执行复查
	B.差异分析
	C.趋势分析
	D.过程分析
	E.盈余量分析