时间:2021-07-03 03:10:27


1、单项选择题 离心泵转速降低时()。
	A.流量减少 
	B.有效汽蚀余量增加
	C.必需汽蚀余量减少
	D.A和B和C
2、单项选择题 泵的管路特性曲线陡表明()。
	A.吸、排液面间的压力差大
	B.管路漏泄多
	C.吸、排液面间的高度差大
	D.管路流动阻力损失大
3、单项选择题 水环泵排送液体与排送气体相比效率一般()。
	A.更高
	B.更低
	C.差不多
	D.视具体情况而定
4、单项选择题 可串、并联的离心泵做()用时不应置于()状态。
	A.消防泵/串联
	B.压载泵/并联
	C.舱底水泵/并联
	D.冲洗甲板/并联
5、单项选择题 Δha、Δhr、Δhc分别代表有效汽蚀余量、必需汽蚀余量、临界汽蚀余量,为了泵能避免发生汽蚀,要求()。
	A.Δha≥Δhc
	B.Δha≥Δhr
	C.Δha≥100%Δhc(两者差值不小于0.5m)
	D.Δha≥100%Δhr(两者差值不小于0.5m)
6、单项选择题 离心泵输水时流量和扬程正常,但电机电流过大,不会是因为()。
	A.电压过低
	B.填料太紧
	C.电流频率太高
	D.叶轮碰撞泵壳
7、单项选择题 当泵扬程或效率下降(2+K/2)%时的汽蚀余量(K指泵的型式数)称为()汽蚀余量。
	A.必需
	B.有效
	C.装置
	D.临界
8、单项选择题 离心泵进口气泡发生但尚未明显影响到泵性能的情况()。
	A.称稳定汽蚀
	B.称不稳定汽蚀
	C.称潜伏汽蚀
	D.不算是汽蚀
9、单项选择题 ()离心泵发生汽蚀后很容易断流。
	A.低比转数
	B.中比转数
	C.高比转数
	D.A和B
10、单项选择题 为消除离心泵汽蚀,下列措施中无效的是()。
	A.降低泵的转速
	B.降低液体温度
	C.降低吸水管高度
	D.关小吸入阀
11、单项选择题 下列泵中不适合作液压泵用的是()。
	A.柱塞泵
	B.齿轮泵
	C.螺杆泵
	D.离心泵
12、单项选择题 离心泵开大旁通阀时其轴向推力()。
	A.增大
	B.减小
	C.不受影响
	D.因泵而异
13、单项选择题 离心泵排出阀关小后,泵的()。
	A.功率增大,扬程减小
	B.功率减小,扬程增大
	C.功率增大,扬程增大
	D.功率减小,扬程减小
14、单项选择题 离心式日用淡水泵工作时随压力水柜中水位升高,下列说法错误的是()。
	A.轴功率增大
	B.排出压力增大
	C.流量减小
	D.吸入真空度降低
15、单项选择题 下列泵中理论流量与排出压力有关的是()。
	A.往复泵
	B.叶片泵
	C.螺杆泵
	D.离心泵
16、单项选择题 与离心泵额定扬程无关的是()。
	A.叶轮直径
	B.转速
	C.液体密度
	D.叶片出口角
17、单项选择题 高比转数离心泵不具备()特点。
	A.叶形“短宽”,叶片呈“扭曲形”
	B.扬程相对较低,流量相对较大
	C.H-Q曲线陡降,P-Q曲线缓升
	D.高效率区宽,节流调节能量损失小
18、单项选择题 离心泵吸入滤器清洗后()。
	A.流量增加
	B.轴功率降低
	C.轴功率增加
	D.A和C
19、单项选择题 关于离心泵的压出室,以下说法中错误的是()。
	A.蜗壳和导轮实际效率相差不多
	B.三级以上采用导轮比用蜗壳轻
	C.有时也在导轮外另加涡壳
	D.多级导轮泵有泵壳轴向剖分及径向剖分两种
20、单项选择题 离心水泵水温升高时()。
	A.功率增加
	B.流量增加
	C.有效汽蚀余量减少
	D.必需汽蚀余量减少
21、单项选择题 ()是高比转数离心泵的特点之一。
	A.叶轮外径与叶轮吸入口直径之比较大
	B.叶轮出口宽度较大
	C.叶轮的叶片形状是圆柱形
	D.流量小、扬程高
22、单项选择题 离心泵输送冷水时工作正常,输送热水时发生频率较高的振动和噪声,有可能是发生了()现象。
	A.共振
	B.汽蚀
	C.喘振
	D.B或C
23、单项选择题 关于靠气体喷射器完成自吸的离心泵,以下说法正确的是()。
	A.不允许使用机械轴封
	B.不允许使用水润滑轴承
	C.离心泵可以延时启动防止干摩擦
	D.常用空气或蒸汽为喷射器的工作流体
24、单项选择题 离心水泵改输燃料油时,如管路状况不变,则流量()。
	A.减小
	B.增加
	C.不变
	D.变化情况不一定
25、单项选择题 不会使锅炉给水泵吸入压力降低的是()。
	A.热水井滤层严重堵塞
	B.吸入阀未开足
	C.泵转速增大
	D.排出阀未开足
26、单项选择题 离心泵敞口运行()。
	A.效率最高
	B.功率最大
	C.允许吸入真空度最大
	D.扬程最高
27、单项选择题 离心泵电流过大的原因不包括()。
	A.填料压得太紧
	B.泵轴弯曲或对中不良
	C.排出管路堵塞
	D.排出管脱开敞口运转
28、单项选择题 工作过程中会产生轴向推力的泵是()。
	A.离心泵
	B.齿轮泵
	C.单侧吸入式螺杆泵
	D.A和C
29、单项选择题 设有平衡孔的离心泵叶轮在()处设有密封环。
	A.前盖板
	B.后盖板
	C.A或B
	D.A和B
30、单项选择题 两台同型离心泵向某系统单独供液时流量为Q,扬程为H,并联向该系统供液时流量为Q′,扬程为H′,则()。
	A.Q′=2Q,H′=2H
	B.Q<Q′<2Q,H′=H
	C.Q′=2Q,H′>H
	D.Q<Q′<2Q,H′>H
31、单项选择题 水环泵排送气体时如排气压力过高会()。
	A.过载
	B.安全阀开启
	C.流量略微减少
	D.流量为0
32、单项选择题 较大的离心泵停泵的合理步骤是()。
	A.停止原动机→关闭排出阀→关闭吸入阀
	B.关闭吸入阀→停止原动机→关闭排出阀
	C.关闭排出阀→停止原动机→关闭吸入阀
	D.停止原动机→关闭吸入阀→关闭排出阀
33、单项选择题 减轻或消除泵汽蚀的方法很多,但不包括()。
	A.降低输送液体温度
	B.降低吸入管路阻力
	C.降低流量
	D.切割叶轮
34、单项选择题 自吸式离心泵吸入真空度过大而不能排水,可能是()。
	A.轴封填料老化
	B.密封环间隙大
	C.叶轮破损
	D.吸入滤器堵塞
35、单项选择题 关于离心泵管理的以下说法中错误的是()。
	A.用润滑脂润滑的轴承应定期加满润脂
	B.关闭排出阀运行时间不宜过长
	C.运转时轴承温升应不超过35℃
	D.关排出阀起、停对电网冲击最小
36、单项选择题 水环泵反转使用将()。
	A.过载
	B.排气量显著降低
	C.不能压送气体
	D.工件性能不变
37、单项选择题 离心式给水泵随着锅炉压力的升高,泵的()。
	A.轴功率增大
	B.轴功率下降
	C.流量增大
	D.B和C
38、单项选择题 离心泵输油时流量和扬程正常,电机电流过大,不会是因为()。
	A.电压过低
	B.填料太紧
	C.叶轮碰擦泵壳
	D.油黏度太大
39、单项选择题 关于离心泵的下列说法中错误的是()。
	A.一般无自吸能力
	B.不适于小流量高扬程
	C.流量随工作扬程而变
	D.允许吸上真空度较小
40、单项选择题 某排送冷水的离心泵吸口直径为50mm,排送冷水时估算其额定流量约为()。
	A.10m3/h
	B.50L/min
	C.20L/min
	D.20m3/h
41、单项选择题 额定值为扬程60m、流量50m3/h、轴功率10kW的离心泵工作时排出压力为0.5MPa,吸入压力为-0.05MPa,其工作流量Q和轴功率P应为()。
	A.Q=50m3/h,P=10kW
	B.Q<50m3/h,P>10kW
	C.Q>50m3/h,P>10kW
	D.Q<50m3/h,P<10kW
42、单项选择题 离心泵排出压力过高不会导致()。
	A.电机过载
	B.效率降低
	C.轴承负荷增大
	D.无法排液
43、单项选择题 船用离心泵不用()方法帮助自吸。
	A.用空气喷射器引水
	B.用水环泵引水
	C.用叶片泵引水
	D.用特殊形式泵壳引水
44、单项选择题 关于双吸离心泵的以下说法中不正确的是()。
	A.适用大流量泵
	B.主要目的是平衡轴向力
	C.主要是为防止叶轮进口流速太高发生汽蚀
	D.叶轮装反运转会过载
45、单项选择题 不会使离心泵的必需汽蚀余量改变的是()。
	A.泵进口部分形状
	B.泵的转速
	C.泵的流量
	D.吸入液体温度
46、单项选择题 泵的管路特性曲线在纵坐标上的起点高表明()。
	A.吸、排液面间的压力差大
	B.吸、排液面间的高度差大
	C.管路流动阻力损失大
	D.A或B或A和B
47、单项选择题 关于靠气体喷射器完成自吸的离心泵,以下说法错误的是()。
	A.若靠排压继电器停止喷射器供气,一般设时间继电器推迟离心泵启动
	B.若设浮子开关停止喷射器供气,则无须设时间继电器
	C.不允许使用机械轴封和水润滑轴承
	D.方案A比方案B更能可靠防止离心泵干摩擦
48、单项选择题 离心泵调节流量方法中经济性最差的是()调节。
	A.节流
	B.回流
	C.变速
	D.A或B或C
49、单项选择题 不会使离心泵有效汽蚀余量降低的是()。
	A.液体温度增加
	B.吸上高度增加
	C.吸入管阻力增大
	D.泵进口部分形状不理想
50、单项选择题 离心泵在额定工况效率最高是因为该工况()损失最小。
	A.漏泄
	B.机械摩擦
	C.泵内液体摩擦
	D.液体进、出叶轮撞击
51、单项选择题 离心泵采用后弯叶片相比于前弯叶片会使泵()。
	A.扬程提高
	B.功率增大
	C.流量增大
	D.效率提高
52、单项选择题 关于靠摩擦离合器自带水环引水泵的离心泵,以下说法错误的是()。
	A.不允许使用机械轴封
	B.不允许使用水润滑轴承
	C.引水成功后靠排出压力使离合器脱开
	D.引水成功后靠排压继电器使水环泵停止工作
53、单项选择题 离心泵部件以下情况可以考虑设法修复的是()。
	A.泵轴出现裂纹
	B.叶轮的叶片因锈蚀而缺损
	C.泵体出现裂纹
	D.叶轮盖板及叶片因冲刷而显著变薄
54、单项选择题 离心泵的通用特性曲线是将离心泵在()不同时的特性曲线画在同一坐标上。
	A.叶轮直径
	B.叶轮型号
	C.转速
	D.吸入口径
55、单项选择题 离心泵输油时油温下降不会导致()。
	A.流量减小
	B.效率降低
	C.吸入压力降低
	D.功率明显增大
56、单项选择题 单侧设密封环的离心泵叶轮正常工作时轴向推力大小与()无直接关系。
	A.密封环半径
	B.工作扬程
	C.液体密度
	D.泵的流量
57、单项选择题 离心泵有效汽蚀余量低到一定程度,叶轮流道内形成汽、水两相区,振动和汽蚀破坏不明显,称为()汽蚀。
	A.潜伏
	B.隐性
	C.稳定
	D.不稳定
58、单项选择题 悬臂式单吸离心泵叶轮通常用()螺帽固定在泵轴上。
	A.右旋螺纹
	B.左旋螺纹
	C.带锁紧的
	D.带开口销的
59、单项选择题 会使离心式锅炉给水泵吸入压力降低的是()。
	A.锅炉蒸汽压升高
	B.锅炉水位升高
	C.排出阀未开足
	D.泵转速增加
60、单项选择题 ()工况离心泵理论上会产生不平衡液压径向力。
	A.导轮泵在设计
	B.导轮泵在非设计
	C.蜗壳泵在设计
	D.蜗壳泵在非设计
61、单项选择题 离心泵改送黏度较大的液体时,性能曲线中会增高的是()曲线。
	A.扬程
	B.轴功率
	C.效率
	D.A和B
62、单项选择题 会使离心泵电流降低的是()。
	A.排出压力增高
	B.流量增加
	C.转速增加
	D.排出管破裂
63、单项选择题 会使离心泵流量增大的是()。
	A.排出容器液面升高
	B.排出压力增大
	C.输油温度适当升高
	D.输水温度升高
64、单项选择题 低比转数离心泵不具备()特点。
	A.叶型“窄长”,叶片呈“圆柱形”
	B.扬程相对较高,流量相对较小
	C.H-Q曲线陡降,P-Q曲线缓升
	D.高效率区宽,适合节流调节
65、单项选择题 某排送冷水的离心泵吸口直径为125mm,出口直径为100mm,叶轮直径为300mm,其额定流量估计约为()。
	A.125m3/h
	B.80m3/h
	C.720m3/h
	D.60m3/h
66、单项选择题 离心泵的特性曲线上未标出()与流量的关系。
	A.扬程
	B.有效功率
	C.必需汽蚀余量
	D.效率
67、单项选择题 离心泵旁通回流阀开大后,泵的()。
	A.流量减小,功率增大
	B.与A相反
	C.流量减小,功率降低
	D.与C相反
68、单项选择题 ()是低比转数离心泵的特点之一。
	A.叶轮外径与叶轮吸入口直径之比较大
	B.叶轮出口宽度较大
	C.叶轮的叶片形状是扭曲形
	D.流量较大、扬程较低
69、单项选择题 水环泵的漏泄主要发生在()。
	A.叶轮径向间隙
	B.轴封处
	C.叶轮与侧盖间轴向间隙
	D.吸、排气口之间
70、单项选择题 有流注吸高的离心泵,关排出阀运转时排压不足,不会是()。
	A.叶轮松脱或淤塞、破损
	B.转速低或转向反
	C.进入泵内液体含气多
	D.吸入滤器部分脏堵
71、单项选择题 离心泵提倡关排出阀启动是因为这时泵的()。
	A.扬程最低
	B.效率最高
	C.启动功率最小
	D.工作噪声最低
72、单项选择题 估计离心泵的扬程时,扬程应与泵的()成正比。
	A.转速的平方
	B.叶轮直径的平方
	C.转速和叶轮直径的乘积
	D.转速和叶轮直径乘积的平方
73、单项选择题 下列泵中可不设安全阀的是()。
	A.往复泵
	B.齿轮泵
	C.单螺杆泵
	D.高扬程多级离心泵
74、单项选择题 离心泵如果()会增加发生汽蚀的可能性。
	A.采用双级叶轮
	B.泵安装高度降低
	C.泵的转速提高
	D.减少了吸入管路的长度
75、单项选择题 液体在叶轮出口()增加了。
	A.动能
	B.位能
	C.压力能
	D.A和C
76、单项选择题 三级以上离心泵各级能量转换装置常用()。
	A.蜗壳
	B.导轮
	C.A或B
	D.A和B
77、单项选择题 水环泵从某封闭容器抽气,该容器中真空度越大,抽气量()。
	A.越大
	B.越小
	C.不受影响
	D.因不同情况而异
78、单项选择题 关于离心泵工作的以下说法错误的是()。
	A.液体是靠离心力甩出去的而不是靠工作容积缩小挤出去的
	B.液体在叶轮出口增加的是动能而非压力能
	C.扩压管的作用是将液体大部分动能转换为压力能
	D.离心泵排送气体比排送液体时在吸口造成的真空度小得多
79、单项选择题 离心泵转速为2900r/min,叶轮外径为200mm,可估算其扬程约为()m。
	A.42
	B.58
	C.116
	D.168
80、单项选择题 离心泵转速增加时()。
	A.流量增加
	B.扬程提高
	C.功率提高
	D.A和B和C
81、单项选择题 离心泵叶轮的平衡孔开在()上。
	A.前盖板
	B.后盖板
	C.A和B
	D.A或B
82、单项选择题 离心泵为提高抗汽蚀能力,设计上的措施包括()。
	A.增大必需汽蚀余量
	B.减小装置有效汽蚀余量
	C.用抗汽蚀材料造泵壳
	D.提高过流部分表面光洁度
83、单项选择题 不会使离心泵排压不足的是()。
	A.泵反转
	B.密封环间隙大
	C.引水中含气多
	D.转速过高
84、单项选择题 离心泵叶轮一般采用()叶片。
	A.前弯
	B.后弯
	C.径向
	D.三种都有
85、单项选择题 下列泵中不采用特殊措施不具备自吸能力的是()。
	A.水环泵
	B.开式旋涡泵
	C.叶片泵
	D.离心泵
86、单项选择题 关于离心泵并联,以下说法错误的是()。
	A.尽量用扬程相近的泵
	B.管路应是静压较低、阻力较小
	C.并联流量为各泵单独使用的流量之和
	D.并联后扬程比各泵单独使用时的扬程高
87、单项选择题 离心泵水压试验的压力为设计压力的()倍,时间不少于()min,铸件表面不渗漏。
	A.1.5,5
	B.1.7,5
	C.1.5,10
	D.1.7,10
88、单项选择题 同一台离心泵转速n改变范围不太大时()。
	A.其工作流量Q、扬程H及轴功率P皆与n成正比地变化
	B.其相似工况流量Qc、扬程Hc、轴功率Pc与n成正比地变化
	C.Q、H、P分别与n、n2、n3成正比地变化
	D.Qc、Hc、Pc分别与n、n2、n3成正比地变化
89、单项选择题 同一台离心泵在静扬程较高的管路工作时,转速降低10%后,其实际扬程、流量()。
	A.都降为原值的90%
	B.都降为原值的81%
	C.分别降为原值的90%、81%
	D.流量小于原值的90%、扬程高于原值的81%
90、单项选择题 液体在蜗壳式离心泵中能量的增加是在()中完成的。
	A.叶轮
	B.蜗室
	C.扩压管
	D.A和B和C
91、单项选择题 离心泵部件以下情况不能修复必须换新的是()。
	A.泵体出现裂纹
	B.叶轮的叶片因锈蚀而缺损
	C.小型泵轴有少量弯曲
	D.叶轮有轻微裂纹
92、单项选择题 靠空气喷射器自吸的离心泵,引水成功后一般靠()截断压缩空气,停止喷射器工作。
	A.排出压力继电器和电磁阀
	B.浮子开关和电磁阀
	C.排出压力控制液动截止阀
	D.A或B
93、单项选择题 船用离心泵需向压力较高容器供液时,最常用的方法是()。
	A.用大直径叶轮
	B.提高转速
	C.用多级泵
	D.用并联泵
94、单项选择题 离心泵汽蚀破坏主要发生在()。
	A.叶片进口背面靠前盖板处
	B.叶片进口正面靠前盖板处
	C.A或B
	D.叶轮外缘叶片及盖板、蜗壳或导轮处
95、单项选择题 关于带自吸装置的离心泵,以下说法错误的是()。
	A.自吸装置在引水成功后停止工作
	B.常用水环泵或空气喷射器引水
	C.即使需经常启动,也无须设底阀
	D.靠水环泵引水,则离心泵在启动期间可能干摩擦
96、单项选择题 离心泵采用()法平衡轴向推力不设止推轴承。
	A.平衡孔
	B.双吸叶轮
	C.叶轮对称布置
	D.平衡盘
97、单项选择题 离心泵排出阀开大后,泵的()。
	A.功率增大,扬程减小
	B.功率减小,扬程增大
	C.功率增大,扬程增大
	D.功率减小,扬程减小
98、单项选择题 离心泵叶片采用后弯叶片是为了()。
	A.提高扬程
	B.增大流量
	C.提高效率
	D.便于制造
99、单项选择题 水环泵关闭排出阀运转会()。
	A.过载
	B.安全阀开启
	C.发热
	D.B和C
100、单项选择题 离心泵比转数大的叶轮相对比转数小的叶轮允许切割比例()。
	A.较大
	B.较小
	C.相同
	D.不按比转数而按外径决定
101、单项选择题 多级离心泵采用导轮作能量转换装置是因为它()。
	A.效率较高
	B.拆装方便
	C.制造相对方便些
	D.易于检修
102、单项选择题 离心泵双吸式叶轮如装反会()。
	A.不能排液
	B.过载
	C.噪声增大
	D.不影响使用
103、单项选择题
	我国将离心泵的比转数定为 以下说法错误的是()。
以下说法错误的是()。
	A.Q表示额定流量,m3/s;双吸泵流量取1/2额定值
	B.H表示额定扬程,m;多级泵扬程取每级叶轮的额定扬程
	C.n表示额定转速,r/min
	D.各国所用单位皆相同
104、单项选择题 关排出阀启动时启动功率较小的是()。
	A.旋涡泵
	B.离心泵
	C.螺杆泵
	D.齿轮泵
105、单项选择题 离心泵有的叶轮做成双吸主要是为了()。
	A.平衡轴向推力
	B.能产生更高扬程
	C.易于实现动平衡
	D.限制进口流速,提高抗汽蚀能力
106、单项选择题 离心泵由正吸高改为流注吸高工作,关闭运转正常,全开排出阀则电流过大,应()。
	A.减小管路阻力
	B.关小排出阀节流
	C.减小排出管路静扬程
	D.开大旁通回流阀
107、单项选择题 为防止离心泵发生“汽蚀”,以下措施有效的是()。
	A.增大泵的转速
	B.清洗吸入滤器,减小吸入管路阻力
	C.使用旁通阀调节泵的流量
	D.采用封闭启动
108、单项选择题 关于离心泵比转数的下列说法中错误的是()。
	A.几何相似的泵如运送同种液体,额定工况的比转数必然相等
	B.通常给出的比转数都是相对额定工况而言
	C.比转数相等的泵必定几何相似
	D.输送同样液体的比转数相同的泵,如叶片数目、形状相同,一般几何相似
109、单项选择题 对离心泵,关闭排出阀启动时()。
	A.扬程最高,轴功率最小,效率最高
	B.扬程最高,轴功率最小,效率最低
	C.扬程最低,轴功率最大,效率最低
	D.扬程最低,轴功率最小,效率最高
110、单项选择题 离心泵叶轮设平衡管会降低()。
	A.容积效率
	B.水力效率
	C.机械效率
	D.A和B
111、单项选择题 估计排送冷水的离心泵的流量时,流量应与泵的()成正比。
	A.转速
	B.叶轮直径的平方
	C.吸口直径
	D.吸口直径的平方
112、单项选择题 会使离心泵流量减小的是()。
	A.排出容器液面升高
	B.排出管路阻力降低
	C.排出压力降低
	D.泵转速增加
113、单项选择题 离心泵在船上一般不用作()。
	A.货油泵
	B.压载泵
	C.舱底水泵
	D.油水分离器的供水泵
114、单项选择题 离心泵叶轮裂纹或蚀孔不严重时可焊补修复,下列说法不正确的是()。
	A.预热至600℃左右,先挂锡再黄铜气焊
	B.焊完好待缓慢冷却后机械加工
	C.加工后如静平衡试验不合格应补焊
	D.静平衡试验不合格可铣去部分盖板校正
115、单项选择题 关于离心泵轴承的以下说法中错误的是()。
	A.轴承安装前可加热至150℃左右再装入轴上
	B.轴承外圈与安装处通常为过盈配合
	C.立式泵若有两只止推轴承通常“背靠背”安装
	D.水润滑轴承功率损失小,但承载能力低
116、单项选择题 水环泵排送气体的工作过程不包括()。
	A.吸入过程
	B.压缩过程
	C.排出过程
	D.余隙容积气体膨胀过程
117、单项选择题 两台同型离心泵,单独向某系统供液时,工作扬程接近关闭扬程,如希望得到尽量大的流量,应()使用。
	A.串联
	B.并联
	C.视液体性质而定
	D.视排出容器高度而定
118、单项选择题 离心泵常用()帮助自吸。
	A.蒸汽抽气器
	B.空气抽气器
	C.水环泵
	D.B或C
119、单项选择题 离心泵采用封闭启动的目的是()。
	A.减轻启动时的震动
	B.降低启动噪声
	C.减小电动机的启动电流
	D.提高泵的自吸能力
120、单项选择题 离心泵吸排容器和管路状况未变,流量降低,不会是因()。
	A.滤器脏堵
	B.电机反转
	C.密封环间隙过大
	D.双吸叶轮装反
121、单项选择题 防止离心泵发生汽蚀的有效措施不包括()。
	A.常洗吸入滤器
	B.防止吸入液体温度过高
	C.降低吸上高度
	D.采用较粗的排出管
122、单项选择题 ()汽蚀余量取决于吸、排条件而与泵无关。
	A.必需
	B.临界
	C.有效
	D.B和C
123、单项选择题 离心泵叶轮设平衡孔会降低()。
	A.容积效率
	B.水力效率
	C.机械效率
	D.A和B
124、单项选择题 离心泵旁通回流阀关小后,泵的()。
	A.流量减小,功率增大
	B.与A相反
	C.流量减小,功率降低
	D.与C相反
125、单项选择题 离心泵输水温度变化时,对()有明显影响。
	A.流量 
	B.扬程 
	C.功率 
	D.有效汽蚀余量 
126、单项选择题 离心泵调节流量方法中经济性最好的是()调节。
	A.节流
	B.回流
	C.变速
	D.A或B或C
127、单项选择题 不同国家制定的计算离心泵比转数的方法()。
	A.求出的都是无量纲准则数
	B.算法相同,所得数值也相同
	C.算法相同,所用单位不同,故所得数值不同
	D.算法和所用单位均不同,所得数值和量纲都不同
128、单项选择题 离心泵关小排出阀时,其轴向推力()。
	A.增大
	B.减小
	C.不受影响
	D.因泵而异
129、单项选择题 设平衡盘的离心泵在工作压力增加后平衡盘的()。
	A.径向间隙增大
	B.径向间隙减小
	C.轴向间隙增大
	D.轴向间隙减小
130、单项选择题 两台性能相同的离心泵向某系统单独供液时流量为Q,扬程为H,串联向该系统供液时流量为Q′,扬程为H′,则()。
	A.Q′=Q,H′=2H
	B.Q′=Q,2H>H′>H
	C.Q′>Q,H′>H
	D.Q′=2Q,H′=2H
131、单项选择题 离心泵发生汽蚀不会产生的现象是()。
	A.流量和扬程减小
	B.产生600~25000Hz的噪声和振动
	C.扬程降低
	D.出口液体带大量气泡
132、单项选择题 曲径密封环多用于()离心泵。
	A.扬程较高
	B.流量较大
	C.双吸式
	D.效率较高
133、单项选择题 离心泵开大旁通回流阀后,泵的流量和主管路流量()。
	A.都增大
	B.都减小
	C.前者减小,后者增大
	D.前者增大,后者减小
134、单项选择题 离心泵的潜伏汽蚀发生在()时。
	A.有效汽蚀余量Δha小于必需汽蚀余量Δhr
	B.Δha=Δhr
	C.Δha>Δhr,但前者接近后者
	D.Δha接近临界汽蚀余量Δhc
135、单项选择题 下列泵中随排出压力增大而轴承径向负荷加大的是()。
	A.导轮式离心泵
	B.往复泵
	C.螺杆泵
	D.双作用叶片泵
136、单项选择题
	国际标准化组织以型式数 作为离心泵的相似准则,以下说法错误的是()。
作为离心泵的相似准则,以下说法错误的是()。
	A.这是一个无因次数
	B.n表示额定转速,r/s
	C.Q表示额定流量,m3/s;双吸泵流量取1/2额定值
	D.H表示额定扬程,m;多级泵扬程取每级的额定扬程
137、单项选择题 自吸式离心泵吸不上水不可能是因为()。
	A.没有初灌
	B.吸入管漏气
	C.轴封填料老化
	D.底阀漏泄
138、单项选择题 船用离心泵为避免发生喘振,流量~扬程曲线应尽量避免()。
	A.陡降形
	B.平坦形
	C.驼峰形
	D.都无妨
139、单项选择题 离心泵若改用前弯叶片会使()提高。
	A.液体在叶轮出口的压力能
	B.液体在叶轮出口的动能
	C.泵的允许吸上高度
	D.泵的效率
140、单项选择题 叶轮式泵的汽蚀余量是指泵入口处()压力头之差。
	A.液体压力头与泵内压力最低处
	B.液体压力头与液体汽化时
	C.总能头与泵内压力最低处
	D.总能头与液体汽化时
141、单项选择题 离心泵的理论扬程与()无关。
	A.泵的几何尺寸
	B.叶轮的转速
	C.液体的种类
	D.叶片的形状
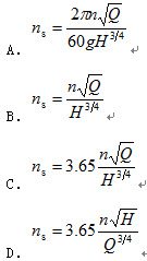
142、单项选择题
	我国将离心泵的比转数ns定为()。(式中:H为单级扬程,Q为单级流量)
	
	A、A
	B、B
	C、C
	D、D
143、单项选择题 下列泵中主要转动部件不需要特殊方法平衡轴向力的是()。
	A.单吸离心泵
	B.螺杆泵
	C.单侧流道开式旋涡泵
	D.双吸离心泵
144、单项选择题 两台离心泵单独向某系统供液时,能正常工作,只是流量较小,现将其并联工作,一段时间后其中一台泵壳发热,可能是()。
	A.流量太大
	B.功率太大
	C.扬程太高
	D.发热泵流量为0
145、单项选择题 下述关于泵的说法正确的是()。
	A.比转数是对所有泵分类的相似准则
	B.允许吸入真空度大的泵自吸能力较强
	C.凡是叶轮式泵皆不能作液压泵用
	D.回转式容积泵只能作油泵用
146、单项选择题 额定值为扬程50m、流量60m3/h、轴功率10kW的离心泵工作时排出压力为0.5MPa,吸入压力为-0.05MPa,其工作流量Q和轴功率P应为()。
	A.Q=60m3/h,P=10kW
	B.Q<60m3/h,P>10kW
	C.Q>60m3/h,P>10kW
	D.Q<60m3/h,P<10kW
147、单项选择题 比转数小的离心泵()。
	A.扬程相对较高,流量相对较小,H-Q曲线较平坦
	B.扬程相对较小,流量相对较大,H-Q曲线较陡
	C.扬程相对较高,流量相对较大,H-Q曲线较平坦
	D.扬程相对较小,流量相对较小,H-Q曲线较陡
148、单项选择题 设平衡盘的离心泵在工作压力减小后平衡盘的()。
	A.径向间隙增大
	B.径向间隙减小
	C.轴向间隙增大
	D.轴向间隙减小
149、单项选择题 关于比转数,以下说法中正确的是()。
	A.指单位时间的转数
	B.适用所有泵的一个相似准则
	C.用于叶轮式泵的一个相似准则
	D.同样的泵不同国家求得的比转数相同
150、单项选择题 有正吸高的自吸离心泵工作时吸入真空度较大,但不能正常排水,不可能是因为()。
	A.吸高太大
	B.吸入滤器堵塞
	C.排出阀未开足
	D.吸入阀未开足
151、单项选择题 为提高离心泵装置的抗汽蚀性能,设计上的措施不包括()。
	A.增大有效汽蚀余量
	B.增大必需汽蚀余量
	C.用抗汽蚀材料造叶轮
	D.提高过流部分表面光洁度
152、单项选择题 可能使离心泵电流过大的是()。
	A.关排出阀启动
	B.转速提高
	C.排出液面升高
	D.排出容器压力升高
153、单项选择题 水环泵的()效率很低。
	A.容积
	B.水力
	C.机械
	D.A和B和C
154、单项选择题 会使离心泵的必需汽蚀余量降低的是()。
	A.液体温度降低
	B.吸上高度降低
	C.吸入管流阻降低
	D.泵进口部分形状改善
155、单项选择题 随排出压力增大而轴承径向力不加大的是()。
	A.往复泵
	B.单作用叶片泵
	C.单作用水环泵
	D.导轮式离心泵
156、单项选择题 用节流调节法改变泵的流量一般应改变()阀的开度。
	A.吸入
	B.排出
	C.旁通
	D.安全
157、单项选择题 离心式压载泵抽排压载水时若真空引水装置失效,最方便的应急引水方法是()。
	A.关排出阀启动
	B.从泵壳漏斗向泵内灌水
	C.吸舷外水帮助吸入管建立真空
	D.外接真空泵
158、单项选择题 离心泵的临界汽蚀余量是指泵的()下降(2+K/2)%时的汽蚀余量(K指泵的型式数)。
	A.流量
	B.扬程
	C.效率
	D.B或C
159、单项选择题 离心泵水封环的作用是()。
	A.引入水润滑冷却填料
	B.防止空气漏入泵内
	C.防止液体漏出泵
	D.A和B
160、单项选择题 下列泵调节流量适合采用节流调节的是()。
	A.水环泵
	B.喷射泵
	C.旋涡泵
	D.离心泵
161、单项选择题 水环泵工作中()。
	A.应该定期补水
	B.应该连续补水
	C.无须补水
	D.A或B
162、单项选择题 离心泵改送黏度较大的液体时,工况点的参数中降低不明显的是()。
	A.扬程
	B.流量
	C.轴功率
	D.A和C
163、单项选择题 大流量离心泵常采用()。
	A.多级离心泵
	B.开式叶轮
	C.低比转数叶轮
	D.双吸式叶轮
164、单项选择题 水环泵中工作水的作用一般不包括()。
	A.分隔各叶间腔室
	B.吸收气体压缩热
	C.润滑泵的轴承
	D.向所排送气体传递能量
165、单项选择题 离心泵的特性曲线上有标出()与流量的关系。
	A.排出压力
	B.轴功率
	C.有效汽蚀余量
	D.容积效率
166、单项选择题 可串并联的立式离心泵两个叶轮吸入口()。
	A.全向上
	B.全向下
	C.上轮向上,下轮向下
	D.与C相反
167、单项选择题 金穗准贷记卡持卡人在ATM等自助设备上提取现金时,每卡每日累计取现金额不得超过()元。
	A.20000
	B.5000
	C.1000
	D.由自助设备内含钞量确定
168、单项选择题 自吸式离心泵无法建立足够的真空度,不能吸上液体,不会是因为()。
	A.没有初灌
	B.轴封填料老化
	C.吸入阀忘开
	D.吸入管漏气
169、单项选择题 两台同型离心泵,单独向某系统供液时,工作扬程比额定扬程低。如希望得到尽量大的流量,应()使用。
	A.串联
	B.并联
	C.视液体性质而定
	D.视排出容器高度而定
170、单项选择题 工作条件不变的离心泵如流量、扬程超过需要,为节省功率,最佳的工况调节方法是()。
	A.关小排出阀
	B.开大回流阀
	C.换变速电机
	D.将叶轮外径车削减小
171、单项选择题 离心泵原先在额定工况工作,开大排出阀后()。
	A.工作扬程增大
	B.轴功率减小
	C.效率增加
	D.允许吸入真空度降低
172、单项选择题 正常情况对离心泵容积效率影响最大的是()。
	A.叶轮与泵壳的轴向间隙
	B.叶轮与泵壳“蜗舌”处的径向间隙
	C.叶轮进口处的径向间隙
	D.轴封漏泄
173、单项选择题 离心泵发生汽蚀时,采取的应急措施可以是()。
	A.开大排出阀
	B.关小吸入阀
	C.开大旁通阀
	D.关小排出阀
174、单项选择题 离心泵排出压力过高可能导致()。
	A.电机过载
	B.安全阀开启
	C.汽蚀现象
	D.无法排液
175、单项选择题 在船上一般无须引水的离心泵是()。
	A.压载泵
	B.舱底水泵
	C.主海水泵
	D.油轮扫舱泵
176、单项选择题 关于离心泵叶轮切割的说法中错误的是()。
	A.刚出厂的叶轮就有车削过的派生型号
	B.高比转数的叶轮允许切割量大
	C.导轮式离心泵切割叶轮时不车削盖板,只车削叶片
	D.中、低比转数叶轮车削时可同时车削盖板,后盖板车削量应比前盖板大
177、单项选择题 会使离心泵有效汽蚀余量降低的是()。
	A.泵转速降低
	B.液体温度降低
	C.泵进口部分形状不理想
	D.泵扬程降低
178、单项选择题 关于离心泵串联,以下说法错误的是()。
	A.应尽量用额定流量相近的泵
	B.单台泵向静压较大的容器排液困难时,可考虑将泵串联用
	C.串联时总的工作扬程为各泵的工作扬程之和
	D.串联后总的工作扬程比各泵单独使用时的扬程高,但流量不变
179、单项选择题 离心泵原先在额定工况工作,关小排出阀后不会()。
	A.流量减小
	B.工作扬程增大
	C.效率降低
	D.允许吸入真空度减小
180、单项选择题 离心泵若采用前弯叶片不会使泵的()提高。
	A.扬程
	B.功率
	C.效率
	D.流量
181、单项选择题 设有平衡孔或平衡管的离心泵叶轮在()处设有密封环。
	A.前盖板
	B.后盖板
	C.A或B
	D.A和B
182、单项选择题 电动离心泵三相电相序接错,泵会()。
	A.发生汽蚀
	B.电机过载
	C.流量不足
	D.安全阀开启
183、单项选择题 目前新船的离心泵最常用的自吸方法是()。
	A.采用自吸式离心泵
	B.普通离心泵配自吸装置
	C.设真空箱集中抽吸
	D.用舷外水引水
184、单项选择题 离心式锅炉给水泵工作时随着锅炉蒸汽压降低,下列说法错误的是()。
	A.轴功率减小
	B.排出压力降低
	C.流量增大
	D.吸入压力降低
185、单项选择题 离心泵与往复泵相比,其主要缺点是()。
	A.流量不均匀
	B.自吸能力差
	C.不能抽送含杂质的污水
	D.管理维修较麻烦
186、单项选择题 靠水环泵引水的离心泵的最佳运行方式是()。
	A.水环泵由离心泵附带连续工作
	B.引水成功后让水环泵封闭运转
	C.引水成功后让水环泵小流量运转
	D.引水成功后让水环泵脱离工作
187、单项选择题 离心泵向静扬程较高的容器或可能形成的气囊的高流阻管路供液时,扬程特性曲线为()形的离心泵可能发生喘振。
	A.平坦
	B.陡降
	C.驼峰
	D.A或B或C
188、单项选择题 离心泵输送的液体黏度增大时,性能曲线最先变化的是()。
	A.扬程降低
	B.轴功率增加
	C.效率降低
	D.B和C
189、单项选择题 离心泵采用()使流量减少,泵的功率增加。
	A.旁通调节
	B.节流调节
	C.切割叶轮调节
	D.变速调节
190、单项选择题 离心泵汽蚀破坏不会发生在()。
	A.叶片出口处
	B.蜗壳或导轮
	C.叶片进口处
	D.叶轮外缘处盖板
191、单项选择题 离心泵单吸闭式叶轮后盖板密封环以内近泵轴处开有若干圆孔,是用来()。
	A.调节流量
	B.调整叶轮动平衡
	C.使叶轮轴向力平衡
	D.减轻叶轮重量
192、单项选择题 离心泵电动机过载的原因分析中,错误的结论是()。
	A.叶轮与泵壳摩擦
	B.填料压得太紧
	C.排出阀开得太小
	D.电压过低
193、单项选择题 叶轮两侧盖板都设密封环的离心泵不包括()离心泵。
	A.双吸式
	B.带平衡孔的
	C.带平衡管的
	D.带平衡盘的
194、单项选择题 船用泵中较容易产生汽蚀的是()。
	A.循环水泵
	B.舱底水泵
	C.凝水泵
	D.卫生水泵
195、单项选择题 船用离心式海水泵叶轮多采用()。
	A.开式
	B.半开式
	C.闭式
	D.A或B或C
196、单项选择题 ()的离心泵填料函要设水封环。
	A.填料函内侧水压低于或略高于大气压
	B.排出压力高
	C.输送污浊液体
	D.所有的