手机用户可
保存上方二维码到手机中,在
微信扫一扫中右上角选择“从
相册选取二维码”即可。
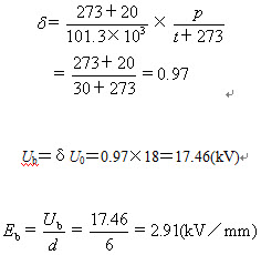
1、问答题 计算题:某测量球隙间距6mm,已知其在标准大气状态下放电电压值为18kV,求在环境温度为30℃、气压p为101.3kPa下实际放电电压值及击穿场强。
点击查看答案
本题答案:
试题答案
2、判断题 电缆金属外皮可作零线。
点击查看答案
本题答案:错
本题解析:暂无解析
3、问答题 什么是供电方式?供电方式确定的原则是什么?
点击查看答案
本题答案:供电方式是指供电企业向用户提供电源的形式。
本题解析:试题答案供电方式是指供电企业向用户提供电源的形式。
供电方式应当按照安全、可靠、经济、合理和便于管理的原则,由电力供应与使用双方根据国家有关规定以及电网规划、用电需求和当地供电条件等因素协商确定。
4、问答题
某客户,5月份用电量3600000kW•h,月中最大负荷为6000kW,求5月份该客户最大负荷利用小时数Tmax和月均负荷率β。
点击查看答案
本题答案:Tmax=3600000÷6000=60
本题解析:试题答案Tmax=3600000÷6000=600(h)
β=(3600000÷(30×24))÷6000×100%=83.3%
最大负荷利用小时数为600h,月平均负荷率83.3%。
5、问答题 计算题:距作业地点x为20km远处的220kV线路落雷,测得雷电波的衰减系数K=0.16×10-3,求作业点可能出现的雷电压幅值。
点击查看答案
本题答案:
大气过电压的电压幅值应为绝缘子串的50%冲
本题解析:试题答案
大气过电压的电压幅值应为绝缘子串的50%冲击放电电压,通常220kV线路绝缘子串的U50%=1200kV。雷电波到达作业地点,经衰减,电压约为
6、单项选择题 电动操动机构一般用于()及以上电压等级的隔离开关。
A、10kV
B、35kV
C、110kV
D、220kV
点击查看答案
本题答案:C
本题解析:暂无解析
7、问答题 造成污闪的三个必要条件是什么?
点击查看答案
本题答案:三个必要条件是:
(1)运行电压
本题解析:试题答案三个必要条件是:
(1)运行电压
(2)污秽物质
(3)潮湿。
8、单项选择题 有功电能的单位正确表示是()。
A、kW•h
B、度
C、kvar•h
D、kW•h
点击查看答案
本题答案:A
本题解析:暂无解析
9、问答题 试述长期边际成本电价的含义。
点击查看答案
本题答案:世界各国目前制定电价的基本方法,归纳起来主要有两种,即
本题解析:试题答案世界各国目前制定电价的基本方法,归纳起来主要有两种,即会计成本定价法和边际成本定价法。这两种不同的定价方法实质上是反映不同的成本核算方法。我国现行电价采用的是会计成本定价法。改革开放以来,我国由世界银行贷款的电力建设项目,一般都推荐或要求按边际成本定价。
边际成本是指由于产量微增所引起的生产成本的微增。"长期"就是经常测算,对未预见到的情况进行调整。"边际",以严格的数学意义可解释为无穷小的变化,而通常"微增"可解释为成本或负荷小量的、非连续的变化。所以,"微增"和"边际"两词,可以互换地表示非连续的变化。简单地讲,在一定期限(一般为10年),根据微增负荷发生的微增成本编制的成本计划,叫作长期边际成本,以这个成本为基础确定的电价,叫作长期边际成本电价。
边际成本定价法是根据新增用户或增加单位千瓦用电而增加的成本进行核算,按各类用户的供电电压、用电时间,严格计算增加单位千瓦用电而引起的系统成本增加值,计算系统长期边际容量成本和边际电量成本,并结合用户的负荷特性来设计电价结构及其比价,制定电价表。
边际成本定价理论被认为能反映资源的真实成本价格,能较好地对成本进行合理分摊,有利于资源优化配置。
10、问答题 什么叫临时用电?办理临时用电的规定和注意事项有哪些?
点击查看答案
本题答案:对基建工地、农田水利、市政建设、抢险救灾等非永久性用电
本题解析:试题答案对基建工地、农田水利、市政建设、抢险救灾等非永久性用电,由供电企业供给临时电源的叫临时用电。
办理临时用电的规定如下:
(1)临时用电期限除供电企业准许外,一般不得超过6个月,逾期未办理延期手续或永久性正式用电手续的,供电企业应终止供电。
(2)使用临时电源的用户不得向外转供电,也不得转让给其他用户,供电企业也不受理其变更用电事宜,如需改为正式用电,应按新装用电办理。
(3)因抢险救灾需要紧急供电时,供电企业应迅速组织力量,架设临时电源供电。架设临时电源所需工程费用和应付电费,由地方人民政府有关部门负责从救灾经费中拨付。
营业部门在办理临时用电手续时,应注意以下事项:
(1)用户申请临时用电时,必须明确提出使用日期。如有特殊情况需延长用电期限者,应在期满前向供电企业提出申请,经同意后方可继续使用。
(2)临时用电应按规定的分类电价,装设计费电能表收取电费。如因紧急任务或用电时间较短,也可不装设电能表,按用电设备容量、用电时间和规定的电价计收电费
(3)在供电前,供电企业应按临时供电的有关来源:91考试网 91ExAm.org内容与临时用电户签订临时供用电合同
11、问答题 物种形成的方式?
点击查看答案
本题答案:分为3类:
(1)异域性物种形成;
本题解析:试题答案分为3类:
(1)异域性物种形成;
(2)邻域性物种形成;
(3)同域性物种形成。
12、判断题 降低线路损耗的技术措施有:①配电网技术改造②提高电网功率因数。
点击查看答案
本题答案:对
本题解析:暂无解析
13、单项选择题 根据制作弹簧的材料类型,一般将弹簧分为()三类。
A、压缩弹簧,拉伸弹簧,蝶形弹簧
B、扭力弹簧,压缩弹簧,拉伸弹簧
C、螺旋弹簧,圈弹簧,片弹簧
D、扭力弹簧,压缩弹簧,螺旋弹簧
点击查看答案
本题答案:C
本题解析:暂无解析
14、问答题 合表用电中安装分表和分摊电费时应注意哪些问题?
点击查看答案
本题答案:应注意以下问题:
(1)根据各户用电负荷的大
本题解析:试题答案应注意以下问题:
(1)根据各户用电负荷的大小,选择适当容量的电能表作分表,每只分表的容量均不得大于总表的容量。
(2)分表应由具有电工资格的人安装,接线要正确。分表应装在安全、干燥、明显、不易受损及受震并便于互相监督的地方,具体位置由合表用电户共同商定。
(3)分表的损耗大约平均在0.5~1.0kW•h/月之间,个别较大的可达1.5kW•h/月左右。分摊电费时可由合表用电户共同商定分表加电量的问题。
(4)如总分表电量差数较大时,可从以下几个方面查找原因,采取相应措施进行解决。
1)总表和分表的指示数抄错,分表的尾数未计或总、分表抄表时间不一致。
2)表内线路可能漏电,或分表内部分电器误接在总表线路上,公用照明灯未装分表。
3)分表使用年久失准。
15、判断题 电流互感器的极性错误不影响接入电能表的计量错误。
点击查看答案
本题答案:错
本题解析:暂无解析
16、单项选择题 填发()乘车证均须粘贴使用人近期一寸半身免冠相片。
A.定期通勤、通勤、通学、探亲
B.临时定期、定期通勤、通勤、通学
C.全年定期、临时定期、通勤、定期通勤
D.全年定期、定期通勤、通勤、通学
点击查看答案
本题答案:D
本题解析:暂无解析
17、单项选择题 减容期满后的用户()内不得申办减容。
A、半年
B、一年半
C、1年
D、2年
点击查看答案
本题答案:D
本题解析:暂无解析
18、单项选择题 解答用户有关用电方面的询问工作属于()。
A、用电管理
B、用户服务
C、业扩服务
D、杂项业务
点击查看答案
本题答案:B
本题解析:暂无解析
19、问答题 220kV绝缘承力工具有效绝缘长度为1.8m,试计算其预防性工频耐压试验电压及其试验条件下的平均电位梯度。
点击查看答案
本题答案:已知220kV系统过电压倍数为3.0,系统运行电压升高
本题解析:试题答案已知220kV系统过电压倍数为3.0,系统运行电压升高系数为1.15。

20、单项选择题 营业部门对于已经接电用户在用电过程中办理的业务变更服务管理等工作称为()。
A、营业管理
B、用电工作
C、杂项工作
D、事务工作
点击查看答案
本题答案:A
本题解析:暂无解析
21、单项选择题 户外油断路器的顶部铁帽、接口、螺丝等处封闭不严而进水将使()。
A、油位升高
B、缓冲空间大
C、油温升高
D、油位下降
点击查看答案
本题答案:A
本题解析:暂无解析
22、问答题 事故抢修应做哪些工作?
点击查看答案
本题答案:首先要组织人员进行现场查看,研究事故抢修方案,准备材料
本题解析:试题答案首先要组织人员进行现场查看,研究事故抢修方案,准备材料及工具,并运往事故现场根据现场实际情况指定小组负责人及监护人,向全体施工人员介绍抢修工作的工作程序及质量标准,布置现场施工中各项工作的安全措施完工后要检查是否合乎质量要求,设备上、杆上及作业现场有无遗留物。
23、问答题 电气设备操 作的安全技术规定有哪些?
点击查看答案
本题答案:电气设备操作的安全技术规定有:
(1)断路器
本题解析:试题答案电气设备操作的安全技术规定有:
(1)断路器、隔离开关的停送电操作顺序。停电时,先拉断路器,后拉负荷侧隔离开关,再拉电源侧隔离开关。送电时,先合电源侧隔离开关,再合负荷侧隔离开关,最后合断路器。
(2)配电变压器停送电操作顺序。送电先合两边相跌落熔断器,后合中相跌落熔断器。停电先拉中相跌落熔断器,后拉两边相跌落熔断器。
(3)发生带负荷拉隔离开关时,不论情况如何,均不许将错拉的隔离开关再重新合上。
(4)严禁用隔离开关拉开接地故障和故障电容器、电压互感器及避雷器等。
(5)电气设备停电后,由于随时有未得到通知而突然来电的可能,因此在未做好安全措施前,不得触摸设备或进入遮栏。
(6)严肃约时停送电。
24、问答题 计算题:在R、C、L串联电路中,L=500μH,C为可变电容,变化范围在10~290pF,R=10Ω,若外加电压的频率f=1000kHz,问C为何值时电路发生谐振?
点击查看答案
本题答案:
试题答案
25、判断题 母线是连接各高压电气设备的辅助元件,属于二次设备。
点击查看答案
本题答案:错
本题解析:暂无解析
26、判断题 触电伤员脱离电源后如神志清醒,应让其站立或走动,同时严密观察。
点击查看答案
本题答案:错
本题解析:暂无解析
27、单项选择题 用户由于产品工艺改变使生产任务变化,致使原容量过大不能充分利用而提出申请减少一部分用电容量的,叫()。
A、暂停用电
B、减容
C、暂拆
D、调整
点击查看答案
本题答案:B
本题解析:暂无解析
28、问答题 什么叫电价?电价是怎样组成的?制定电价的原则是什么?
点击查看答案
本题答案:电能销售的价格就叫电价,电价是电能价值的货币表现。本题解析:试题答案电能销售的价格就叫电价,电价是电能价值的货币表现。
电价由电力部门的成本、税收和利润三部分组成。
根据《电力法》第三十六条的规定:制定电价应当坚持合理补偿成本、合理确定收益、依法计入税金、坚持公平负担、促进电力事业发展的原则。
29、判断题 减少供电线路电能损失,减少电压损失,提高末端电压宜采取无功就地补偿。
点击查看答案
本题答案:对
本题解析:暂无解析
30、单项选择题 汽油发动机达正常工作温度后仍使用阻风门时,则会()。
A.节省燃料
B.机油被冲淡
C.可使混合气完全燃烧
D.混合气过稀
点击查看答案
本题答案:B
本题解析:暂无解析
题库试看结束后
微信扫下方二维码即可打包下载完整版《★变电检修工考试》题库
手机用户可保存上方二维码到手机中,在微信扫一扫中右上角选择“从相册选取二维码”即可。
题库试看结束后微信扫下方二维码即可打包下载完整版《变电检修工考试:变电检修工考试》题库,分栏、分答案解析排版、小字体方便打印背记!经广大会员朋友实战检验,此方法考试通过率大大提高!绝对是您考试过关的不二利器!
手机用户可保存上方二维码到手机中,在微信扫一扫中右上角选择“从相册选取二维码”即可。
微信搜索关注"91考试网"公众号,领30元,获取公务员事业编教师考试资料40G