手机用户可
保存上方二维码到手机中,在
微信扫一扫中右上角选择“从
相册选取二维码”即可。
1、问答题 简述胶带传动的优点。
点击查看答案
本题答案:(1)能缓冲吸振,工作平稳;(2)有过载保护;(3)能
本题解析:试题答案(1)能缓冲吸振,工作平稳;(2)有过载保护;(3)能用于两轮中心距大的传动;(4)结构简单,维修方便。
2、问答题 简述冷态手工槽制较薄钢板圆锥台过程(可分两半圆制作)。
点击查看答案
本题答案:1.按中径尺寸展开放样(皮厚处理),下料切割,制作大小
本题解析:试题答案1.按中径尺寸展开放样(皮厚处理),下料切割,制作大小口处弧度检查样板;
2.在扇形钢板上画好区域线和校对线(射线);
3.用二根型钢(工字钢或槽钢)作底胎在平台上呈"八"形放好;
4.用凸锤沿射线敲击,使钢板逐渐弯曲,先压板边区域,后压中间区域,打弯过程中,小口处落锤力量要重,大口处要轻;打弯至用样板检查合格;
5.将两半圆锥台组对成型。
3、单项选择题 如果连接件的钢板较薄,而铆钉直径较大,应按()强度计算。
A.抗压
B.抗拉
C.抗剪
D.抗挤
点击查看答案
本题答案:D
本题解析:暂无解析
4、单项选择题 在拼接焊厚钢板时,按规定设置引弧板和熄弧板,是为了保证焊缝()的焊接质量。
A、两端
B、中间
C、背面
D、正面
点击查看答案
本题答案:A
本题解析:暂无解析
5、填空题 合理的搭边宽度是()。
点击查看答案
本题答案:保证冲裁件质量的最小宽度
本题解析:试题答案保证冲裁件质量的最小宽度
6、单项选择题 电动机在空载时,其转速()同步转速。
A、大于
B、等于
C、小于
D、接近于
点击查看答案
本题答案:D
本题解析:暂无解析
7、问答题 “T”字梁焊后变形如何矫正(上拱,旁弯,角变形并存)?
点击查看答案
本题答案:1.矫正顺序:先矫正角变形,然后矫正上拱和旁弯;
本题解析:试题答案1.矫正顺序:先矫正角变形,然后矫正上拱和旁弯;
2.角变形矫正:在两道焊缝背面用火焰沿着焊缝方向进行线状加热一道,如是厚板加热二道,加热线不能太宽,应小于两焊脚总宽,加热深度不超过板厚,加热后让其自然冷却;
3.上拱矫正:在立板上采用三角形加热法,加热位置选在弯曲最高处,加热方法应由里向边缘移动;上拱矫正量可略过一点,以抵销旁弯矫正时上拱量;
4.旁弯矫正:采用三角形加热法,其加热位置选在面板平面外凸的一侧。
8、单项选择题 可以用来成形,冲孔,落料和切边的机械是()。
A.剪板机
B.冲床
C.板料折弯压力机
D.上述三种机械
点击查看答案
本题答案:D
本题解析:暂无解析
9、单项选择题 在水平面的投影()实长。
A.小于
B.大于
C.等于
D.1.5倍
点击查看答案
本题答案:A
本题解析:暂无解析
10、填空题 在自由状态下管材弯曲,易发生弯曲部位的()变形。
点击查看答案
本题答案:压偏
本题解析:试题答案压偏
11、单项选择题 材料弯曲时由于凹模摩擦阻力不等会产生()。
A、弯曲回弹
B、偏移
C、歪斜
D、棱角
点击查看答案
本题答案:B
本题解析:暂无解析
12、单项选择题 一般直径在200毫米以下的钢管弯曲时,多数采用()校正。
A.线状加热
B.点状加热
C.三角形加热
D.机械矫正
点击查看答案
本题答案:B
本题解析:暂无解析
13、填空题 浮顶升降试验应以()、导向机构及密封装置无卡涩现象、浮梯转动灵活、浮顶与液面接触部分()为合格。
点击查看答案
本题答案:升降平稳;无渗漏
本题解析:试题答案升降平稳;无渗漏
14、问答题 企业工时定额起什么作用?
点击查看答案 91exam.org
本题答案:1.企业计划工作和经济核算的基础。
2.合理
本题解析:试题答案1.企业计划工作和经济核算的基础。
2.合理组织劳动和正确组织生产的重要依据。
3.调动工人群众积极性,开展劳动竞赛和提高劳动生产率的重要手段。
4.贯彻执行"各尽所能,按劳分配"原则和正确反映劳动数量和质量的一个尺度。
15、单项选择题 碱性焊条要求电弧稳定,故大多采用()。
A、直流反极性接法
B、直流正极性接法
C、交流接法
D、直流接法
点击查看答案
本题答案:A
本题解析:暂无解析
16、填空题 冷作产品中的连接多数采用焊接,也有采用铆接和(),个别产品还采用胀接。
点击查看答案
本题答案:螺栓连接
本题解析:试题答案螺栓连接
17、单项选择题 焊件开坡口的主要目的是()。
A.使焊件焊透
B.为了操作方便
C.使焊缝边缘熔合良好
D.防止产生气孔和夹渣
点击查看答案
本题答案:A
本题解析:暂无解析
18、填空题 根据上、下剪刃安装的相对位置,剪板机分为()两种。
点击查看答案
本题答案:平刃和斜刃
本题解析:试题答案平刃和斜刃
19、填空题 单臂式吊架起重能力一般在()N以下。
点击查看答案
本题答案:4900
本题解析:试题答案4900
20 、填空题 等径直角弯头采用()法比较简便。
点击查看答案
本题答案:平行线
本题解析:试题答案平行线
21、填空题 钢结构施工图可分为()图、()图、()图、()图、()图等几种。
点击查看答案
本题答案:零件;装配;示意;详;总
本题解析:试题答案零件;装配;示意;详;总
22、单项选择题 工作压力在()属于高压容器。
A.0.1-1.6Mpa
B.1.6-10MPa
C.10-100
D.大于100MPa
点击查看答案
本题答案:C
本题解析:暂无解析
23、填空题 钢结构焊后产生的扭曲变形的主要原因是焊缝的()和()。
点击查看答案
本题答案:纵向收缩;横向收缩
本题解析:试题答案纵向收缩;横向收缩
24、单项选择题 铝及其铝合金主要采用的焊接方法是()。
A.手工电弧焊
B.气焊
C.氩弧焊
D.埋弧自动焊
点击查看答案
本题答案:C
本题解析:暂无解析
25、单项选择题 大批量生产冲裁件时,一般选用()冲裁模。
A.简单
B.带导柱
C.复合
点击查看答案
本题答案:B
本题解析:暂无解析
26、单项选择题 肉芽组织的主要成分是()
A.吞噬细胞和成纤维细胞
B.成纤维细胞、新生毛细血管和神经
C.成纤维细胞和新生毛细血管
D.中性粒细胞和成纤维细胞
E.吞噬细胞和新生毛细血管
点击查看答案
本题答案:C
本题解析:该题是基本概念题,肉芽组织的主要成分是成纤维细胞和新生毛细血管,可有中性粒细胞和吞噬细胞,没有神经,因此,答案是C。
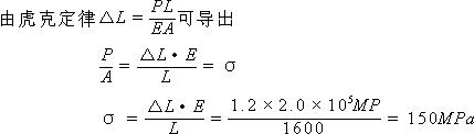
27、问答题 计算题:一低碳钢制螺栓,长160cm,拧紧时产生了0.12cm的伸长,试求螺栓内的拉应力。(取E=2.0×105Mpa)
点击查看答案
本题答案:
试题答案
螺栓内的拉应力为150MPa。
28、填空题 塑性好的材料,弯曲半径可以小一些;塑性差的材料,弯曲半径要()一些。
点击 查看答案
本题答案:大
本题解析:试题答案大
29、单项选择题 通过各种手段的测量,可以()找出构件变形的位置。
A.很容易
B.很困难
C.不容易
D.不困难
点击查看答案
本题答案:A
本题解析:暂无解析
30、问答题 什么是质量管理手段?企业常用的质量管理手段有哪些?
点击查看答案
本题答案:质量管理手段是指在质量管理活动中,以发挥质量职能的有效
本题解析:试题答案质量管理手段是指在质量管理活动中,以发挥质量职能的有效性为目的,起到计划、组 织、协调、控制等方面作用的管理方式、方法的综合。
常用的质量管理手段主要有十种。它们是:工厂方针管理、质量管理体系、质量组织、质量成本管理、质量审核、质量信息管理、质量改进、质量教育、群 众性质量管理活动、可靠性管理。
题库试看结束后
微信扫下方二维码即可打包下载完整版《★冷作钣金工》题库
手机用户可保存上方二维码到手机中,在微信扫一扫中右上角选择“从相册选取二维码”即可。
题库试看结束后微信扫下方二维码即可打包下载完整版《冷作钣金工:铆工(中级)》题库,分栏、分答案解析排版、小字体方便打印背记!经广大会员朋友实战检验,此方法考试通过率大大提高!绝对是您考试过关的不二利器!
手机用户可保存上方二维码到手机中,在微信扫一扫中右上角选择“从相册选取二维码”即可。
微信搜索关注"91考试网"公众号,领30元,获取公务员事业编教师考试资料40G