手机用户可
保存上方二维码到手机中,在
微信扫一扫中右上角选择“从
相册选取二维码”即可。
1、问答题 电力工业锅炉监察规程要求“锅炉结构必须安全可靠”,其六点基本要求是什么?
点击查看答案
本题答案:(1)锅炉各受热面,均应得到可靠的冷却;
(
本题解析 :试题答案(1)锅炉各受热面,均应得到可靠的冷却;
(2)锅炉各部分受热后,其热膨胀应符合要求;
(3)锅炉各受压部件、受压元件有足够的强度与严密性;
(4)锅炉炉膛、烟道有一定的抗爆能力;
(5)锅炉承重部件应有足够的强度、刚度与稳定性,并能适应所在地区的抗震要求;
(6)锅炉结构应便于安装、维修和运行。
2、问答题 计算题:某台500MW发电机组年可用小时7387.6h,非计划停运5次,计划停运1次,求平均连续可用小时?
点击查看答案
本题答案:平均连续可用小时=可用小时/(计划停运次数+非计划停运
本题解析:试题答案平均连续可用小时=可用小时/(计划停运次数+非计划停运次数)=7387.6/(5+1)=1231.27(h)
3、填空题 锅炉定期排污的位置应在沉淀物积聚最()地方。
点击查看答案
本题答案:多
本题解析:试题答案多
4、问答题 过热蒸汽温度过高有什么危害?
点击查看答案
本题答案:过热器温度过高,会使过热器管、蒸汽管道、汽轮机高压部分
本题解析:试题答案过热器温度过高,会使过热器管、蒸汽管道、汽轮机高压部分等产生额外热应力,还会加快金属材料的蠕变,因而缩短设备的使用寿命。当发生超温时,甚至会造成过热器管爆管,因而汽温过高对设备的安全有很大的危险。
5、填空题 烟风煤管道上的法兰螺栓孔,应采用(),不得任意采用火矩切割。
点击查看答案
本题答案:机械加工
本题解析:试题答案机械加工
6、问答题 绘图题:画出一个圆台的二视图,并标注尺寸(尺寸自定)。
点击查看答案
本题答案:
试题答案
7、单项选择题 外径百分尺主要用来测量工件的长、宽、厚及外径,测量时能准确地读出尺寸,精确度可达()。
A、0.001mm
B、0.01mm
C、0.05mm
D、0.1mm
点击查看答案
本题答案:B
本题解析:暂无解析
8、问答题 简述燃煤发电厂锅炉燃烧系统的流程?
点击查看答案
本题答案:燃煤电厂的煤由皮带机输送到煤仓间的煤斗内,煤斗的煤经给
本题解析:试题答案燃煤电厂的煤由皮带机输送到煤仓间的煤斗内,煤斗的煤经给煤机进入磨煤机磨成煤粉,煤粉由经空气预热器加热的热风携带进入炉内燃烧。燃烧生成的烟气经除尘后由引风机抽出,最后经烟囱排入大气。锅炉排出的炉渣经破碎 后,连同除尘器下部的细灰一起,由灰渣泵打至储灰场。
9、问答题 钢常用在锅炉的哪些部位?
点击查看答案
本题答案:用在锅炉的省煤器、水冷壁、顶棚过热器、低温过热器、给水
本题解析:试题答案用在锅炉的 省煤器、水冷壁、顶棚过热器、低温过热器、给水管、下降管及其相应的联箱。
10、问答题 常用的弯管方法有几种?常出现的缺陷如何?
点击查看答案
本题答案:常用的弯管方法有冷弯,热弯,可控硅中频弯管三种.检修工
本题解析:试题答案常用的弯管方法有冷弯,热弯,可控硅中频弯管三种.检修工作中少量管件或小口径弯件多用冷弯或人工充填砂子热弯,易出现的缺陷有:弯制部分断面呈椭圆状,外侧壁厚减薄,内侧壁厚增大。其原因是弯制过程中,外侧受拉应力,内侧受压应力。当压应力较大,内壁丧失稳定性后,出现波浪形皱纹。
11、问答题 锅炉钢管短期过热爆管破口有何特征?
点击查看答案
本题答案:通常短期过热爆管多发生在中,高压锅炉的水冷壁管上,由于
本题解析:试题答案通常短期过热爆管多发生在中,高压锅炉的水冷壁管上,由于管壁温度在短时间内突然上升,达到临界点或临界点以上温度,钢在这样温度下短时抗拉强度急剧下降。在介质压力作用下,温度高的向火侧首先产生塑性变形,管径胀粗,管壁减薄,随后发生爆破。爆破时,由于介质对炽热的管壁起激冷作用,在爆口往往有相变或不完全相变的组织结构。其宏观特征是:
破口张开很大,呈喇叭状,破口附近,管子胀粗较大;水冷壁管的短期过热爆管破口内壁由于爆管时管内汽水混合物的冲刷,显得十分光洁;管子外壁一般呈兰黑色,破口附近没有众多平行于破口的轴向裂纹。爆管的主要原因为:运行不正常;错用管材;使用有缺陷的管子。
12、填空题 燃油母管压力不得超过(),不得低于()。
点击查看答案
本题答案:3.14mpa;1.8mpa
本题解析:试题答案3.14mpa;1.8mpa
13、填空题 检查过热器、再热器管子及弯头,磨损或烧损超过管子壁厚的()时,应予以处理。
点击查看答案
本题答案:20%
本题解析:试题答案20%
14、填空题 屏中各管圈的()和()的差别较大,引起屏式过热器的热偏差较大。
点击查看答案
本题答案:结构;受热条件
本题解析:试题答案结构;受热条件
15、问答题 角向磨光机的日常保养有哪些要求?
点击查看答案
本题答案:(1)定时检查炭刷,当炭刷长度为5~6mm时要更换同类
本题解析:试题答案(1)定时检查炭刷,当炭刷长度为5~6mm时要更换同类炭刷;(2)经常检查换向器,有油污时应擦干净;(3)每年一至二次更换润滑油。换油时将旧油清除;(4)定期检查轴承,不合格及时更换;(5)定期检验引线情况及外壳绝缘情况,不合格及时修理。
16、问答题 热处理工艺一般要经过 哪几个阶段?
点击查看答案
本题答案:热处理工艺一般要经过加热、保温、冷却三个阶段。
本题解析:试题答案热处理工艺一般要经过加热、保温、冷却三个阶段。
17、问答题 锅炉的型式是什么?
点击查看答案
本题答案:锅炉的型式:高温高压、单室单汽包、自然循环、分段蒸发、
本题解析:试题答案锅炉的型式:高温高压、单室单汽包、自然循环、分段蒸发、液态排渣炉。
18、问答题 计算题:某低碳钢试样原断面面积为350mm2.拉断后断面面积为140mm2,求断面收缩率Ψ?
点击查看答案
本题答案:Ψ=(A-A1)/A×100%=(
本题解析:试题答案Ψ=(A-A1)/A×100%=(350-140)/350×100%=60%
断面收缩率为60%
19、填空题 能既不会凭空产生,也不会凭空消失,只能从一种形式转化成另一种形式,能的总量()。
点击查看答案
本题答案:保持不变
本题解析:试题答案保持不变
20、填空题 冷弯管为减小椭圆变形,滚轮的轮槽在垂直方向直径(),水平方向的半径()。
点击查看答案
本题答案:与管子直径相等;比管子半径大1-2mm
本题解析:试题答案与管子直径相等;比管子半径大1-2mm
21、填空题 空予器漏风可分为()和()。
点击查看答案
本题答案:直接漏风;携带漏风
本题解析:试题答案直接漏风;携带漏风
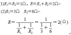
22、问答题
两个电阻R1和R2做串联连接,当R2和R 1具有以下数值时,试求等效电阻?
(1)R1=R2=1Ω串联,
(2)R1=3Ω,R2=6Ω并联。
点击查看答案
本题答案:
试题答案
23、填空题 减轻低温腐蚀的措施有两条,一是()三氧化硫的含量,二是()空气预热器冷端壁温。
点击查看答案
本题答案:减少;提高
本题解析:试题答案减少;提高
24、填空题 烟煤的挥发份含量在()。
点击查看答案
本题答案:10%~37%
本题解析:试题答案10%~37%
25、填空题 为了减少冷炉启动到并网所需时间,节约启动用油,一期锅炉配有邻炉加热系统,在所有()内沿长度装有()的邻炉加热分配管。
点击查看答案
本题答案:水冷壁下集箱;Φ42×5
本题解析:试题答案水冷壁下集箱;Φ42×5
26、填空题 耐火可塑料常用于炉墙接缝、穿墙密 封、炉墙上的门孔等局部,分散而耐火要求()的部位。
点击查看答案
本题答案:较高
本题解析:试题答案较高
27、填空题 W125减速箱清洗、检查、更换零件后,组装时必须保证螺旋齿轮的齿侧间隙为()mm出轴的承轴向游隙留在(),游隙量为()mm。
点击查看答案
本题答案:0.21-0.40;下端;0.10-0.20
本题解析:试题答案0.21-0.40;下端;0.10-0.20
28、填空题 汽包是().().()三个过程的枢纽,也时().储汽.储水的结合点和分界点。
点击查看答案
本题答案:蒸发;加热;过热;汽水分离
本题解析:试题答案蒸发;加热;过热;汽水分离
29、问答题 简述锅炉汽包人孔门封门过程?
点击查看答案
本题答案:(1)封闭之前由有关技术人员进行验收,合格后方可封门;
本题解析:试题答案(1)封闭之前由有关技术人员进行验收,合格后方可封门;(2)准备好高压石棉垫,并涂黑铅粉;(3)平稳缓慢地带上人孔门;(4)将压码对号就位,螺丝涂铅粉,并均匀地上紧;(5)用专用扳手缓慢交替地将螺丝拧紧,并使两个螺丝受力均匀;(6)当锅炉点火后需进行一次热紧螺丝。并装复人孔门保温盒。
30、填空题 燃烧器的“三高”区域是指高煤粉浓度、()、较高氧浓度。
点击查看答案
本题答案:高温度
本题解析:试题答案高温度
题库试看结束后
微信扫下方二维码即可打包下载完整版《★锅炉检修工考试》题库
手机用户可保存上方二维码到手机中,在微信扫一扫中右上角选择“从相册选取二维码”即可。
题库试看结束后微信扫下方二维码即可打包下载完整版《锅炉检修工考试:锅炉本体检修》题库,分栏、分答案解析排版、小字体方便打印背记!经广大会员朋友实战检验,此方法考试通过率大大提高!绝对是您考试过关的不二利器!
手机用户可保存上方二维码到手机中,在微信扫一扫中右上角选择“从相册选取二维码”即可。
微信搜索关注"91考试网"公众号,领30元,获取公务员事业编教师考试资料40G