时间:2019-05-03 01:31:46


1、问答题 简述发展特高压输电的三个主要目标。
2、单项选择题 绝缘子卡具的静态试验荷重为其额定荷重的()。
A、1.5;
B、2;
C、2.5;
D、3
3、单项选择题 带电断、接引线时,为保证引线与周围不同电位设备保持足够的安全距离,可采用()防止引线摆动。
A.绝缘操作杆;
B.绝缘 锁杆;
C.绝缘扎线剪;
D.绝缘三齿扒。
4、问答题 计算题:计算在110kV中性点直接接地系统中,作业人员发生单相触电事故后, 流经人体的电流值并简述其后果(人体阻抗为1500Ω。忽略杆塔接地电阻)
5、单项选择题 用于500kV及以下电压等级交流输电线路的屏蔽服,其衣料的屏蔽效率不得小于()。
A、28dB;
B、38dB;
C、40dB;
D、42dB;
6、问答题 识绘题:已知某220KV线路,导线挂点到杆塔水平距离L米,悬垂绝缘子串长度为a米,带电作业时风偏角为β,地电位作业。画出地电位作业时作业人员在杆塔上作业的安全距离示意图。(图中表达方式仅供参考)
7、多项选择题 电场强度具有()。
A.发散性
B.聚集性
C.方向性
D.大小之分
8、单项选择题 用消弧绳断、接空载线路时,作业人员与断开点应保持()以上的距离。
A、2m;
B、3m;
C、4m;
D、5m
9、单项选择题 同样实验条件下,在下列间隙中,以()间隙的操作冲击50%放电电压为最低。
A、棒一板;
B、棒一棒;
C、板一板;
D、环一环
10、单项选择题 杆塔所承受的导线质量为()。
A、两相邻杆塔间的导线质量之和;
B、杆塔两侧导线质量之和;
C、相邻二 档距中两弧垂最低点之间的导线质量之和;
D、两相邻档距导线质量之和的1/2。
11、多项选择题 以下关于杆塔呼称高度叙述不正确的是()。
A、导线中轴线至地面的垂直距离
B、杆塔最下层横担的下弦至地面的垂直距离
C、杆塔最高点至地面的垂直距离
D、杆塔高度和埋深之和
12、单项选择题 绝缘材料在一定的电压作用下和规定的时间内,绝缘层没有发生击穿现象的电压值,称为()。
A.闪络电压
B.击穿电压
C.耐受电压
D.绝缘电压
13、问答题 绝缘工具的检查性试验条件是什么?
14、多项选择题 通常被称为环氧玻璃钢的材料由()主要成分组成。
A、玻璃纤维;
B、环氧树脂;
C、固化剂;
D、偶联剂;
E、石英砂;
F、玻璃。
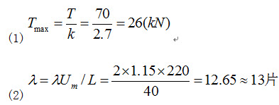
15、问答题
计算题:某220KV输电线路,使用XWP-70型号绝缘子,有效泄露距离L=400mm,线路通过第二级污区,爬电比距λ=2cm/KV(2.3cm/KV),系统最高工作电压取工作电压的1.15倍,运行情况安全系数K=2.7。
问:
(1)单串运行情况能够承受的最大荷载是多少?
(2)工作电压下需要多少片绝缘子?
16、单项选择题 某单回10kV中性点不接地系统,无架空避雷线,空载架空线路长度为5km。试估算搭接该空载线路时的电容电流为()安。
A.2.7³10³5³10-3=0.135
B.10³5³10-3=0.05
C.10³5/350≈0.14
D.10³5/10=5
17、单项选择题 架空导线对大地、人穿绝缘鞋站在地面上时人对大地,都相当于一个()元件。
A.电容;
B.电阻;
C.电感;
D.电压。
18、单项选择题 作为设备保护的绝缘绳索应选择()倍的安全系数。
A.2.0
B.1.5
C.3
D.2.5
19、单项选择题 ()及以上的线路,可使用合格的绝缘棒或专用的绝缘绳验电。验电时,绝缘棒或绝缘绳的验电部分应逐渐接近导线,根据有无放电声和火花来判断线路是否确无电压。
A、35KV;
B、110KV;
C、220KV;
D、330KV
20、单项选择题 DL409-91规定,带电水冲洗用水的电阻率一般不低于()。
A、杆塔;
B、线路名;
C、双重;
D、多重。
21、单项选择题 确定交流220kV、500kV电压等级输电线路带电作业安全距离时,起控制作用的是()。
A、操作过电压;
B、大气过电压;
C、工频过电压;
D、分布电压
22、单项选择题 大刀卡具是用于更换()绝缘子。
A、单串耐张;
B、双串耐张;
C、单串直线了;
D、双串直线。
23、单项选择题 海拔1000m以下地区,在110kV交流输电线路上进行带电作业时,绝缘绳索最小有效绝缘长度为 ()。
A、1.0m;
B、1.3m;
C、1.8m;
D、2.1m
24、多项选择题 安全距离是由()等因素决定的。
A.绝缘水平
B.带电作业时过电压水平
C.必要的安全裕度
D.气象条件
25、问答题 识绘题:请画出牵引绳从定滑轮引出1—2滑轮组示意图。
26、多项选择题 中性点直接接地方式的优点是()。
A、系统内过电压小20%;
B、与同电压线路比较可减少绝缘子数量,减小塔头尺寸;
C、接地的继电保护动作可靠;
D、单相接地电流大。
27、单项选择题 在同杆塔架设的多回线路中,部分线路停电检修,应在工作人员对带电导线最小距离不小于规定的安全距离时,才能进行。严禁在有()的10KV及以下线路带电情况下,进行另一回线路的登杆停电检修工作。
A、同杆塔架设;
B、交叉跨越;
C、平行架设;
D、同向架设
28、多项选择题 以下哪些属于带电作业工具的机械试验内容()。
A、静荷重试验;
B、动荷重试验;
C、操作冲击试验;
D、耐压试验。
29、问答题 识绘题:请画出输电线路全换位图。
30、单项选择题 做工频耐压试验时,()试验电压以下的升压速度是任意的,以后的升压速度按每秒3%的速度匀速上升。
A.60%
B.50%
C.40%
D.30%