统计学和统计法基础知识:统计方法测试题(强化练习)

时间:2019-04-24 00:41:18

微信搜索关注"91考试网"公众号,领30元,获取事业编教师公务员等考试资料40G
题库试看结束后微信扫下方二维码即可打包下载完整版《★统计学和统计法基础知识》题库
手机用户可保存上方二维码到手机中,在微信扫一扫中右上角选择“从相册选取二维码”即可。

题库试看结束后微信扫下方二维码即可打包下载完整版《统计学和统计法基础知识:统计方法》题库,分栏、分答案解析排版、小字体方便打印背记!经广大会员朋友实战检验,此方法考试通过率大大提高!绝对是您考试过关的不二利器
手机用户可保存上方二维码到手机中,在微信扫一扫中右上角选择“从相册选取二维码”即可。

1、多项选择题  下列选项中,属于概率抽样的有()。

A.典型抽样
B.分层抽样
C.重点抽样
D.整群抽样
E.系统抽样


点击查看答案


2、判断题  直方图的横坐标代表变量的类别,纵坐标代表各变量值出现的频数。()


点击查看答案


3、判断题  加法模式是假定四种变动因素存在着某种相互影响关系,互不独立;乘法模式是假定影响时间数列的四种变动因素是相互独立的。()


点击查看答案


4、判断题  全面调查和非全面调查是根据调查结果所得到的资料是否全面来划分的。()


点击查看答案


5、判断题  平均增长速度不是根据各期环比增长速度直接求得的,而是根据平均发展速度计算的,并且平均增长速度的值总是小于平均发展速度的值。()


点击查看答案


6、多项选择题  

若“”都是总体参数θ的无偏估计量,下列说法中正确的有()。

A.A
B.B
C.C
D.D
E.E


点击查看答案


7、单项选择题  有意识地选择三个有代表性的农村点调查农民收入情况,这种调查方式属于()。

A.典型调查
B.重点调查
C.抽样调查
D.普查


点击查看答案


8、判断题  

在大样本时,样本比例会近似服从正态分布。检验统计量用z统计量,其基本形式为。()


点击查看答案


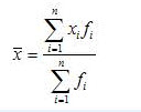
9、判断题  

样本均值的标准误差计算公式为(当总体标准差未知时,可用样本标准差代替)。()


点击查看答案


10、判断题  折线图和散点图都可以用来反映两个变量之间的关系。()


点击查看答案


11、判断题  在编制价格指数时,要以商品的销售量或使用数量作为权数。()


点击查看答案


12、单项选择题  下列图形中,适合比较不同变量之间的结构差异的是()。

A.条形图
B.饼图
C.环形图
D.散点图


点击查看答案


13、判断题  平均发展速度是一定时期内各环比发展速度的序时平均数,因而也是一种平均数。()


点击查看答案


14、单项选择题  回归分析中对两个变量的要求是()。

A.因变量是随机的,自变量是给定的非随机变量
B.两个变量都是随机的
C.两个变量都是不随机的
D.自变量是随机的,因变量是给定的


点击查看答案


15、单项选择题  

若假设形式为H0:μ=μ0,H1:μ≠μ0,当随机抽取一个样本,其均值=μ0,则()。

A.肯定接受原假设
B.有可能接受原假设
C.有1-α的可能接受原假设
D.有可能拒绝原假设


点击查看答案


16、单项选择题  为了掌握全国乳制品的质量,选出蒙牛、伊利、光明和三元等几个大型乳制品企业进行调查,这种调查方法属于()。

A.普查
B.典型调查
C.重点调查
D.统计报表


点击查看答案


17、判断题  若直线回归方程y=170-2.5x,则变量x和y之间存在着负的相关关系。()


点击查看答案


18、单项选择题  假定10亿人口大国和100万人口小国的居民年龄标准差相同,现在各自用重复抽样方法抽取本国的1‰人口了解年龄状况,比较抽样误差,两者的关系为()。

A.两者相等
B.前者大于后者
C.前者小于后者
D.不能确定


点击查看答案


19、多项选择题  由样本均值的抽样分布可知样本统计量与总体参数之间的关系为()。

A.在重复抽样条件下,样本均值的方差等于总体方差的1/n
B.样本方差等于总体方差的1/n
C.样本均值的期望值等于总体均值
D.样本均值恰好等于总体均值
E.样本均值的方差等于总体方差


点击查看答案


20、判断题  假设检验中拒绝域的大小与显著性水平有关。()


点击查看答案


21、多项选择题  样本比例是总体比例的()

A.无偏估计量
B.一致估计量
C.有偏估计量
D.无效估计
E.近似估计量


点击查看答案


22、单项选择题  与概率抽样相比,非概率抽样的优点是()。

A.样本统计量的分布是确定的
B.可以利用样本的结果对总体相应的参数进行推断
C.操作简单、成本低
D.技术含量更高


点击查看答案


23、多项选择题  计算样本容量,如果总体比例的值未知,可以()

A.用样本比例来代替
B.取总体比例值为0.5,使得π(1-π)达到最大
C.取总体比例值为0.1,使得π(1-π)达到最大
D.取总体比例值为0.2,使得π(1-π)达到最小
E.取总体比例值为0.3,使得π(1-π)达到最小


点击查看答案


24、单项选择题  某一地区所估计的营养过剩人数达到10%,然而有人认为实际上比这个比例还要高,要检验该说法是否正确,则假设检验的形式为()。

A.H0:π≤0.1,H1:π>0.1
B.H0:π=0.1,H1:π≠0.1
C.H0:π≥0.1,H1:π<0.1
D.H0:π<0.1,H1:π≥0.1


点击查看答案


25、判断题  数量指标指数和质量指标指数的划分具有相对性。()


点击查看答案


26、单项选择题  首先将总体分成不同的"层(或组)",然后在每一层内进行抽样。此种抽样方法是()

A.概率抽样
B.分层抽样
C.非概率抽样
D.整群抽样


点击查看答案


27、单项选择题  

拉氏物量指数的计算公式为()

A.A
B.B
C.C
D.D


点击查看答案


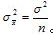
28、判断题  在重置抽样时,样本均值的标准差为总体标准差σ2的1/n。()


点击查看答案


29、多项选择题  测定长期趋势的方法主要有()

A.回归方程法
B.移动平均法
C.指数平滑法
D.半数平均法
E.时距扩大法


点击查看答案


30、单项选择题  下列关于定量数据的图形表示方法,错误的是()。

A.直方图横坐标代表变量分组,纵坐标代表各变量值出现的频数
B.折线图利用线段的升降来说明数据方向变动
C.散点图可以用来反映两个变量之间的关系
D.定量数据的直方图与定性数据的条形图实际上是相同的上是相同的


点击查看答案


31、单项选择题  

设p表示商品的价格,q表示商品的销售量,说明了()。

A.在基期销售量条件下,价格综合变动的程度
B.在报告期销售量条件下,价格综合变动的程度
C.在基期价格水平下,销售量综合变动的程度
D.在报告期价格水平下,销售量综合变动的程度


点击查看答案


32、单项选择题  某地为推广先进企业的生产经营管理经验,对效益最好的几个企业进行调查,此种调查属于()。

A.重点调查
B.典型调查
C.普查
D.抽样调查


点击查看答案


33、单项选择题  统计指数按其所表明的经济指标性质的不同分为()。

A.简单指数和加权指数
B.综合指数和平均指数
C.个体指数和综合指数
D.数量指数和质量指数


点击查看答案


34、多项选择题  对于定性数据,反映其集中趋势的数字特征有()

A.比例
B.百分比
C.平均数
D.众数
E.中位数


点击查看答案


35、单项选择题  某管理局对其所属的企业的生产计划完成百分比采用如下分组,其中最能反映事物本质差异的分组是()。

A.80~89%,90~99%,100~109%,110%以上
B.80%以下,80~100%,100%以上
C.80%以下,80~90%,90~100%,100%~110%,110%以上
D.85%以下,85~95%,95~105%,105%以上


点击查看答案


36、单项选择题  测定变量之间相关关系密切程度的主要方法是()。

A.相关表
B.相关图
C.相关系数
D.定性分析


点击查看答案


37、多项选择题  概率抽样一般包括()

A.重点抽样
B.分层抽样
C.简单随机抽样
D.整群抽样
E.系统抽样


点击查看答案


38、判断题  

大样本情况下,总体比例检验的统计量为。()


点击查看答案


39、单项选择题  

样本比例的标准误差计算公式为()。

A.A
B.B
C.C
D.D


点击查看答案


40、单项选择题  综合指数是一种()

A.简单指数
B.加权指数
C.个体指数
D.平均指数


点击查看答案


41、多项选择题  测定现象之间有无线性关系的方法有()。

A.绘制相关表
B.绘制散点图
C.计算估计标准误差
D.计算相关系数
E.A现象进行定性分析


点击查看答案


42、单项选择题  加权算术平均中权数的实质是()。

A.各组的单位数
B.总体单位数
C.各组的单位数占总体单位数的比重
D.各组的单位数与标志值的乘积


点击查看答案


43、判断题  区间估计是包括样本统计量在内的一个区间,该区间通常是由样本统计量加减估计标准误差得到的。()


点击查看答案


44、多项选择题  两个变量之间的相关系数r=0.91,则说明()。

A.这两个变量之间是正相关
B.这两个变量之间存在着线性相关关系
C.A这两个变量之间的相关系数进行检验时使用t检验
D.A这两个变量之间的相关系数进行检验时使用F检验
E.这两个变量中一个变量增加一个单位时,另外一个变量随之增加0.91个单位


点击查看答案


45、判断题  

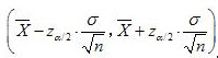
大样本情况下,总体服从正态分布,总体方差已知,总体均值在置信水平(1-α)下的置信区间为。()


点击查看答案


46、判断题  在分组数据中,若某一数据恰好等于该组的上组限,则该数据应归于该组中。()


点击查看答案


47、多项选择题  如果用p表示商品价格,q表示商品销售量,则公式Σp1q1-Σp0q1的意义是()。

A.综合反映价格变动和销售量变动的绝对额
B.综合反映销售额变动的绝对额
C.综合反映多种商品价格变动而增减的销售额
D.综合反映由于价格变动而使消费者增减的货币支出额
E.综合反映多种商品销售量变动的绝对额


点击查看答案


48、单项选择题  研究搜集、处理和描述的统计学方法是()

A.描述统计
B.推断统计
C.理论统计
D.应用统计


点击查看答案


49、判断题  

小样本情况下,总体服从正态分布,总体方差未知,总体均值在置信水平(1-α)下的置信区间为。()


点击查看答案


50、单项选择题  说明现象在较长时期内发展的总速度的指标是()。

A.环比发展速度
B.平均发展速度
C.定基发展速度
D.环比增长速度


点击查看答案


51、多项选择题  在对总体进行区间估计时,需要考虑()

A.总体是否服从正态分布
B.总体是否服从均匀分布
C.总体方差是否已知
D.总体均值是否已知
E.用于估计的样本是大样本还是小样本


点击查看答案


52、多项选择题  估计标准误差的作用是表明()。

A.回归方程的代表性
B.样本的变异程度
C.估计值与实际值的平均误差
D.样本指标的代表性
E.总体的变异程度


点击查看答案


53、判断题  道·琼斯股票价格平均指数采用加权算术平均法计算。()


点击查看答案


54、判断题  饼图、条形图、环形图等仅适用于定性数据。()


点击查看答案


55、多项选择题  下列数据属于观测数据的有()

A.某十字路口一天内通过的机动车数量
B.在实验条件下,细胞的分裂速度
C.北京市2012年城镇居民可支配收入
D.在温度和湿度一定的情况下,某一标号水泥的凝固时间
E.2012年我国财政收入数据


点击查看答案


56、多项选择题  

在直线趋势方程Tt=a+bt中,各个符号的意义包括()

A.Tt表示时间数列的长期趋势
B.a值等于原时间数列的最末水平
C.b为趋势直线的斜率
D.b是每增加一个单位时间,现象平均增加的值
E.t表示时间数列中指标所属的时间


点击查看答案


57、判断题  普查必须按照一定的周期进行调查。()


点击查看答案


58、判断题  

小样本情况下,当总体方差未知时,总体均值检验的统计量为。()


点击查看答案


59、单项选择题  在统计假设检验中,作为检验标准的总体参数是()。

A.已知的
B.假设的
C.随机的
D.变异的


点击查看答案


60、单项选择题  如果相关系数r为正,说明()。

A.随着一个变量增加,另一个变量减少
B.随着一个变量减少,另一个变量也减少
C.y一般小于x
D.x一般小于y


点击查看答案


61、判断题  在对总体均值进行假设检验时,采用什么检验统计量取决于所抽取的样本是大样本还是小样本,还需要考虑总体是否为正态分布、总体方差是否已知等。()


点击查看答案


62、判断题  描述统计是研究如何利用样本数据来获得总体特征的统计学方法。()


点击查看答案


63、单项选择题  某小区新增住户2%,每家住户用电量比上年提高了5%,则该小区用电量总额增长()

A.7%
B.7.1%
C.10%
D.11.1%


点击查看答案


64、单项选择题  某种产品的单位成本Y(元/件)对产量X(千件)的回归方程为Y=100-0.2X,其中“-0.2”的意义是()。

A.产量每增加1千件,单位成本下降0.2元
B.产量每增加1千件,单位成本平均下降0.2元
C.产量每增加1千件,单位成本下降20%
D.产量每增加1千件,单位成本下降0.2%


点击查看答案


65、单项选择题  下列变量是定量变量的是()

A.天气形势
B.籍贯
C.职业
D.天气温度


点击查看答案


66、单项选择题  从均值为μ,方差为σ2(有限)的任意一个总体中抽取样本容量为n的样本,下列说法正确的是()。

A.当n充分大时,样本均值的分布近似服从正态分布
B.只有当n;30时,样本均值的分布近似服从正态分布
C.样本均值的分布与n无关
D.无论n多大,样本均值的分布都为非正态分布


点击查看答案


67、多项选择题  编制时间数列应遵循的原则有()

A.时期长短应该相等
B.指标经济内容应该一致
C.总体范围相同
D.指标的计算方法、计算价格和计量单位一致
E.数列中的各个指标值具有可比性


点击查看答案


68、单项选择题  假定某一现象每年绝对增长量是稳定的,则年增长速度的变化趋势是()。

A.稳定不变
B.有所上升
C.有所下降
D.有升有降


点击查看答案


69、单项选择题  一项民意调查的目的是想确定年轻人愿意与其父母讨论的话题。调查结果表明:60%的年轻人愿意与其父母讨论家庭财务状况,35%的年轻人愿意与其父母讨论有关教育的话题,10%的年轻人愿意与其父母讨论爱情问题。该调查所收集的数据是()。

A.观测数据
B.顺序数据
C.分类数据
D.实验数据


点击查看答案


70、判断题  数值型数据不仅可以区分数据的大小、高低和优劣等,也可以计算数据之间的绝对差。()


点击查看答案


71、单项选择题  下列各项中,相关密切程度最高的是()。

A.某商店的职工人数与商品销售额之间的相关系数为0.87
B.身高与体重之间的相关关系为0.90
C.小麦产量与化肥施用量之间的相关系数为0.83
D.商品销售额与流通费用水平的相关系数为-0.81


点击查看答案


72、单项选择题  A某市高等学校科研所进行调查,统计总体是()。

A.某市所有的高等学校
B.某一高等学校科研所
C.某一高等学校
D.某市所有高等学校科研所


点击查看答案


73、多项选择题  下列关于数据2,5,5,7,9,5,9的的说法,正确的是()。

A.平均数为5
B.中位数为5
C.众数为5
D.极差为7
E.平均数为6


点击查看答案


74、判断题  由样本统计量来估计总体参数有两种方法:点估计和区间估计。()


点击查看答案


75、判断题  假设检验的结果能证明原假设成立。()


点击查看答案


76、单项选择题  

随机抽取一个n=100的样本,计算得到=60,s=15,要检验假设H0:μ=65,H1:μ≠65,检验的统计量为()。

A.-3.33
B.3.33
C.-2.36
D.2.36


点击查看答案


77、多项选择题  季节变动的特点包括()。

A.季节变动每年重复进行
B.分析季节变动时无法消除长期趋势的影响
C.季节变动按照一定的周期进行
D.季节变动是没有规律、不可预测的
E.季节变动的每个周期变化强度大体相同


点击查看答案


78、单项选择题  下列现象的相关密切程度最高的是()。

A.某商店的职工人数与商品销售 91exam.org额之间的相关系数是0.87
B.流通费用水平与利润率之间的相关关系为-0.92
C.商品销售额与利润率之间的相关系数为0.51
D.商品销售额与流通费用水平的相关系数为-0.81


点击查看答案


79、单项选择题  组距数列中每组上限是指()。

A.每组的最小值
B.每组的最大值
C.每组的中点数值
D.每组的起点数值


点击查看答案


80、判断题  本年与上年相比,若物价上涨10%,则本年的1元只值上年的0.9元。()。


点击查看答案


81、判断题  样本量越大,样本均值的抽样标准差就越大。()


点击查看答案


82、多项选择题  

下列计算公式中正确的有()。

A.A
B.B
C.C
D.D
E.E


点击查看答案


83、单项选择题  A全国十个大型钢铁企业生产的基本情况进行调查,其调查组织方式应属于()。

A.统计报表
B.普查
C.重点调查
D.抽样调查


点击查看答案


84、判断题  在趋势直线方程Tt=a+bt中,b的数值应等于相邻两个趋势值之差。()


点击查看答案


85、判断题  总体均值的双侧检验形成为:H0:μ=μ0,H1:μ≠μ()


点击查看答案


86、多项选择题  在各种平均指标中,不受极端值影响的平均指标有()。

A.算数平均数
B.调和平均数
C.中位数
D.几何平均数
E.众数


点击查看答案


87、判断题  众数是数据中处于中间位置的那个数。()


点击查看答案


88、判断题  假设检验与区间估计的主要区别之一是:在假设检验中,人们更关注小概率事件是否发生,而区间估计立足于以大概率进行推断。()


点击查看答案


89、多项选择题  下列关于统计学的描述,正确的有()

A.统计学是用来处理数据的,是关于数据的一门学问
B.统计学是用以收集数据,分析数据和由数据得出结论的一组概念、原则和方法
C.统计分析数据的方法大体上可分为描述统计和推断统计两大类
D.在现代社会中,几乎所有领域都会应用到统计学
E.统计的应用范围很广泛,有时也会被滥用


点击查看答案


90、判断题  

小样本情况下,总体服从正态分布,总体方差已知,总体均值在置信水平(1-α)下的置信区间为。()


点击查看答案


91、判断题  在一个统计样本中,标准差越大,表明各个观测值分布得越分散。()


点击查看答案


92、单项选择题  为了调查某校学生的购书费用支出,将全校学生的名单按拼音顺序排列后,每隔50名学生抽取一名学生进行调查,这种调查方法是()。

A.简单随机抽样
B.整群抽样
C.系统抽样
D.分层抽样


点击查看答案


93、单项选择题  每一吨铸铁成本y(元)随铸铁废品率x(%)变动的回归方程为y=56+8x,这意味着()。

A.废品率每增加1%,成本每吨增加64元
B.废品率每增加1%,成本每吨增加8%
C.废品率每增加1%,成本每吨增加8元
D.废品率每增加1%,成本每吨为56元


点击查看答案


94、判断题  极差、四分位差、标准差和方差都可以反映定量数据的离散趋势。()


点击查看答案


95、单项选择题  

某企业三种产品的单位成本和产量资料如下表,若根据上表资料编制三种产品的总成本指数、成本总指数、产量总指数,并分析由于单位产品成本和产量变动对产品总成本的影响,请回答下述问题:

产量总指数为()。

A.114.86%
B.115.02%
C.86.94%
D.87.06%


点击查看答案


96、判断题  某地区医生人数逐年增加,2005年、2006年、2007年各年的环比增长率分别为8%、18%、15%。该地区三年来医生人数共增长了41%(8%+18%+15%)。()


点击查看答案


97、单项选择题  假设检验中的显著性水平α是()。

A.推断时犯第Ⅱ类错误的概率
B.推断时犯第Ⅰ和第Ⅱ类错误的概率
C.推断时犯第Ⅰ类错误的概率
D.推断时犯第Ⅲ类错误的概率


点击查看答案


98、单项选择题  在计算股票价格指数时,所选择的样本必须具有()。

A.代表性和敏感性
B.代表性和同一性
C.敏感性和同一性
D.敏感性和变动性


点击查看答案


99、单项选择题  已知一组数据均值为3,标准差为1.58,则其离散系数为()

A.1.90
B.0.53
C.4.58
D.4.74


点击查看答案


100、多项选择题  从形式上看,统计表由()组成。

A.表头
B.行标题
C.列标题
D.数字资料
E.表外附加


点击查看答案


101、多项选择题  统计数据的直接来源有()。

A.统计调查
B.文献检索
C.实验
D.调查机构发布的调查结果
E.图书中数据


点击查看答案


102、判断题  其他条件相同时,总体方差越大,必要的样本容量越大。()


点击查看答案


103、多项选择题  下列有关"增长1%的绝对量"的叙述中,正确的有()

A.前一期发展水平除以100
B.本期发展水平除以100
C.逐期增长量与环比增长速度之比
D.逐期增长量与定基增长速度之比
E.环比发展速度-1


点击查看答案


104、单项选择题  小概率事件,是指在一次事件中几乎不可能发生的事件。一般称之为“显著性水平”,用α表示。显著性水平一般取值为()。

A.5%
B.20%
C.30%
D.50%


点击查看答案


105、单项选择题  加权算术平均数的大小()。

A.主要受各组标志值大小的影响,而与各组次数的多少无关
B.主要受各组次数多少的影响,而与各组标志值的大小无关
C.既受各组标志值大小的影响,又受各组次数多少的影响
D.既与各组标志值大小无关,又与各组次数多少无关


点击查看答案


106、判断题  如果总体不是正态分布,当n为小样本时(通常n<30),则样本均值的分布服从正态分布。()


点击查看答案


107、判断题  计划某种产品在“十一五”期间的总速度为316%,则年平均增长速度是125.9%。()


点击查看答案


108、多项选择题  评价估计量的标准有()

A.无偏性
B.有效性
C.一致性
D.集中性
E.离散性


点击查看答案


109、判断题  当np≥5,且n(1-p)≥5时,就可以认为样本容量足够大,样本比例近似服从正态分布。()


点击查看答案


110、判断题  一个包含长期趋势的时间序列在进行季节变动分析时应先消除长期趋势的影响。()


点击查看答案


111、判断题  在一个统计样本中,其标准差越大,它的趋中程度就越好。()


点击查看答案


112、多项选择题  由样本均值的抽样分布可知样本统计量与总体参数之间的关系为()。

A.在重复抽样条件下,样本均值的方差等于总体方差的1/n
B.样本方差等于总体方差的1/n
C.样本均值的期望值等于总体均值
D.样本均值恰好等于总体均值
E.样本均值的方差等于总体方差


点击查看答案


113、单项选择题  当对正态总体均值检验时,如果总体方差未知则应该进行()。

A.Z检验
B.F检验
C.t检验
D.χ2检验


点击查看答案


114、多项选择题  总体比例假设检验的基本形式有()。

A.H0:π=π0,H1:π≠π0
B.H0:π≥π0,H1:π<π0
C.H0:π≤π0,H1:π>π0
D.H0:π≠π0,H1:π=π0
E.H0:π>π0,H1:π≤π0


点击查看答案


115、判断题  重点单位的选择带有主观因素。()


点击查看答案


116、多项选择题  相关系数r的数值()。

A.可为正值
B.可为负值
C.可大于1
D.可等于-1
E.可等于1


点击查看答案


117、判断题  

从100个住户中随机抽取了10户,调查其月消费支出额。经计算得到10户的平均月消费支出额为3500元,标准差为300元。假定总体服从正态分布,则总体平均月消费支出额95%的置信区间为:。()


点击查看答案


118、多项选择题  假设检验的第一步,要提出()。

A.原假设
B.备择假设
C.零假设
D.备选假设
E.假设


点击查看答案


119、单项选择题  

用最小二乘法配合直线趋势方程=a+bx,其中参数b为负值,则这条直线是()。

A.上升趋势
B.下降趋势
C.平稳趋势
D.发展趋势不明显


点击查看答案


120、判断题  其他条件相同时,误差范围越大,样本容量就可以越小;误差范围越小,样本容量就必须越大。()


点击查看答案


121、多项选择题  某地区2007年比2006年社会商品零售价格总指数为108.5%,这一结果说明()。

A.商品零售价格平均上涨了8.5%
B.商品零售额上涨了8.5%
C.由于物价上涨使商品零售额下降了8.5%
D.商品零售量平均上涨了8.5%
E.在商品零售量保持不变条件下由于物价上涨使零售额提高了8.5%


点击查看答案


122、单项选择题  甲、乙两村粮食平均亩产量分别为1000千克和1250千克,标准差分别为45千克和49千克,可以判断()。

A.甲村的平均亩产量有较大的代表性
B.乙村的平均亩产量有较大的代表性
C.两个村的平均亩产量有相同代表性
D.无法判断


点击查看答案


123、单项选择题  在物价上涨后,同样多的人民币少购买商品3%,则物价指数为()。

A.97%
B.103.09%
C.3%
D.109.13%


点击查看答案


124、多项选择题  若已知一个时间数列的项数、累计增长量和定基增长速度,可以求得()。

A.平均增长量
B.最初水平
C.最末水平
D.平均发展速度
E.增长1%的绝对值


点击查看答案


125、单项选择题  加权算术平均数中权数的实质是()

A.各组的单位数
B.总体单位数
C.各组的单位数占总体单位数的比重
D.各组的单位数与标志值的乘积


点击查看答案


126、单项选择题  顺序数据()

A.是一种定量数据
B.可以进行排序,表明事物之间的大小、优劣关系等
C.可以反映事物在数量上的差异
D.其计算功能与数值型数据相同


点击查看答案


127、单项选择题  

已知某企业2009年甲、乙两种产品产量及产值资料,如表1所示。表1则甲产品的产量的个体指数为();甲乙两种产品的产量总指数为()。

A.120%;113.3%
B.125%;113.3%
C.120%;116.7%
D.125%;116.7%


点击查看答案


128、多项选择题  下列属于居民消费价格指数的作用的有()。

A.反映通货膨胀的状况
B.反映货币购买力变动
C.反映对职工实际工资的影响
D.反映一定时期内城乡商品零售价格变动趋势和程度
E.反映多种商品销售量变动的情况


点击查看答案


129、单项选择题  某研究部门准备在全市500万个家庭中抽取5000个家庭,推断该城市所有职工家庭的年人均消费。这项研究的总体是()、样本是()、样本量是()

A.500万个家庭、500万个家庭的人均消费、5000
B.500万个家庭的人均消费、500万个家庭、5000
C.500万个家庭、5000个家庭、5000
D.500万个家庭的人均消费、5000个家庭、500万


点击查看答案


130、单项选择题  下列图示方法中,最适于用来研究总体中各组成部分所占比重的是()。

A.条形图
B.饼图
C.折线图
D.散点图


点击查看答案


131、多项选择题  销售额与流通费用率,在一定条件下,存在相关关系,这种相关关系属于()。

A.正相关
B.单相关
C.负相关
D.复相关
E.完全相关


点击查看答案


132、多项选择题  下列有关“增长1%的绝对量”的叙述中,正确的有()。

A.前一期发展水平除以100
B.本期发展水平除以100
C.逐期增长量与环比增长速度之比
D.逐期增长量与定基增长速度之比
E.环比发展速度-1


点击查看答案


133、判断题  其他条件相同时,置信水平越大,所需要的样本量也就越大。()


点击查看答案


134、单项选择题  为了便于数据分析,人们常用数字1表示男性,2表示女性,这个数字1和2()。

A.具有数量上的差异
B.具有实际数字名义
C.只是一个编号
D.可以进行运算


点击查看答案


135、多项选择题  检验统计量一般包括()

A.z统计量
B.t统计量
C.s统计量
D.m统计量
E.Y统计量


点击查看答案


136、单项选择题  假设检验的依据是()。

A.小概率原理
B.中心极限定理
C.方差分析原理
D.总体分布


点击查看答案


137、单项选择题  

派氏物价指数的计算公式为()。

A.A
B.B
C.C
D.D


点击查看答案


138、单项选择题  

当总体为未知的非正态分布时,当样本容量n足够大(通常要求n≥30)时,样本均值的期望值为()

A.总体均值
B.总体均值的1/n
C.总体均值的
D.总体均值的


点击查看答案


139、判断题  

大样本情况下,总体服从正态分布,总体方差已知,总体均值在置信水平(1-α)下的置信区间为()


点击查看答案


140、单项选择题  到商场购物停车变得越来越困难,管理人员希望掌握顾客找到停车位的平均时间。为此某一个管理人员跟踪了50名顾客并记录下他们找到车位的时间。这里管理人员感兴趣的样本是()。

A.管理人员跟踪过的50名顾客
B.上午在商场停车的顾客
C.在商场停车的所有顾客
D.到商场购物的所有顾客


点击查看答案


141、多项选择题  对于定量数据,反映其离散程度的数字特征有()

A.方差
B.标准差
C.平均数
D.分位数
E.极差


点击查看答案


142、单项选择题  当居民消费价格指数等于100时,说明()

A.报告期与基期相比综合物价上升100点
B.报告期与基期相比综合物价上升100%
C.报告期与基期相比综合物价没有变化
D.报告期与基期相比综合物价下降100%


点击查看答案


143、单项选择题  某连续变量分为五组,第一组为40-50,第二组为50-60,第三组为60-70,第四组为70-80,第五组为80以上,依照规定()

A.50在第一组,70在第四组
B.60在第二组,80在第五组
C.70在第四组,80在第五组
D.80在第四组,50在第二组


点击查看答案


144、单项选择题  可用来表述定性数据的统计图形是()

A.饼图
B.直方图
C.拆线图
D.散点图


点击查看答案


145、多项选择题  在直线趋势方程Tt=a+bt中,各个符号的意义包括()。

A.Tt表示时间数列的长期趋势
B.a值等于原时间数列的最末水平
C.b为趋势直线的斜率
D.b是每增加一个单位时间,现象平均增加的值
E.t表示时间数列中指标所属的时间


点击查看答案


146、判断题  对客观现象进行实地观测所取得的数据是实验数据。()


点击查看答案


147、多项选择题  关于回归方程的统计检验中,说法正确的是()。

A.A线性回归方程的显著性进行检验时,需进行F检验
B.A线性回归方程的显著性进行检验时,需进行t检验
C.A线性回归方程的显著性进行检验时,需进行R检验
D.A回归系数的显著性进行检验时,需进行F检验
E.A回归系数的显著性进行检验时,需进行t检验


点击查看答案


148、单项选择题  某商场某种商品的销售价格报告期比基期下降了5%,销售量增加5%,在这种条件下,该种商品的销售额()。

A.增加
B.减少
C.没有变化
D.不能确定


点击查看答案


149、判断题  对同一个总体参数的两个无偏估计量,有更小方差的估计量更有效。()


点击查看答案


150、判断题  

以99.73%的詈信水平推断总体参数的置信区间为()


点击查看答案


151、单项选择题  要通过移动平均法消除季节变动,则移动平均项数()。

A.应选择奇数
B.应选择偶数
C.应和自然周期长度一致
D.可任意取值


点击查看答案


152、多项选择题  在对总体均值进行假设检验时,采用什么检验统计量取决于()。

A.所抽取的样本是大样本还是小样本
B.还需要考虑总体是否为正态分布
C.总体方差是否已知
D.样本均值是否已知
E.样本方差是否已知


点击查看答案


153、单项选择题  回归分析中的简单回归是指()。

A.两个变量之间的回归
B.变量之间的线性回归
C.两个变量之间的线性回归
D.变量之间的简单回归


点击查看答案


154、单项选择题  

当σ2已知时,总体均值μ在1-α置信水平下的置信区间为()。

A.A
B.B
C.C
D.D


点击查看答案


155、多项选择题  下列关于拉氏指数和派氏指数的陈述中,正确的是()。

A.拉氏指数主要受基期产品结构的影响
B.派氏指数主要受基期产品结构的影响
C.拉氏指数要求每期更换权数资料
D.派氏指数要求每期更换权数资料
E.派氏物量指数的解释更符合现实意义


点击查看答案


156、单项选择题  设一个总体共有5个元素,从中随机抽取一个容量为2的样本,在不重置抽样时,共有()个样本

A.25
B.10
C.5
D.1


点击查看答案


157、多项选择题  A某商店某时期商品销售额变动情况进行分析,其指数体系包括()。

A.销售量指数
B.销售价格指数
C.总平均价格指数
D.销售额指数
E.个体指数


点击查看答案


158、多项选择题  下列选项中,可以用来考查一组数据的分布特征的有()

A.集中趋势
B.分布规律
C.离散程度
D.数字特征
E.准确程度


点击查看答案


159、单项选择题  重置抽样的特点是()。

A.每次抽样的总体单位数都是不同的
B.各次抽选相互影响
C.每次抽选时,总体单位数都在逐渐减少
D.每次抽选时,总体单位数始终不变


点击查看答案


160、单项选择题  某企业甲、乙两车间2005年工人的平均工资分别为1500元和1600元,2006年两车间的平均工资水平未变,而甲车间人数增长15%,乙车间人数增长8%,则2006年甲、乙两车间工人的总平均工资比2005年()。

A.提高
B.降低
C.保持不变
D.可能提高,也可能降低


点击查看答案


161、单项选择题  某商店本年同上年比较,商品销售额没有变化,而各种商品价格上涨了7%,则商品销售量增(或减)的百分比为()。

A.-6.54%
B.-3%
C.+6.00%
D.+14.29%


点击查看答案


162、判断题  饼图利用圆形及圆内扇形面积来表示数值大小。()


点击查看答案


163、单项选择题  计算标准差时,如果从每个数据中减去常数a,则计算结果与原标准差相比()。

A.变大
B.不变
C.变小
D.无法确定


点击查看答案


164、多项选择题  用季节指数法分析季节变动的缺陷是()。

A.没有考虑长期趋势的影响
B.考虑了长期趋势的影响
C.季节比率的高低受各年数值大小的影响
D.季节比率的高低不受各年数值大小的影响
E.无法消除长期趋势的影响


点击查看答案


165、单项选择题  

已知变量x和变量y之间的关系如图所示,则变量x和变量y之间的相关系数为:()。

A.0.29
B.-0.86
C.1.04
D.0.91


点击查看答案


166、多项选择题  下列说法中正确的有()

A.时间序列数据不一定按数据的时间先后顺序排列
B.发展速度和增长速度都是动态相对指标
C.长期趋势分析方法中的回归方程法中的参数可以用最小二乘法进行估计
D.指数平滑法中的平滑系数可以大于1但不能小于0
E.季节变动分析方法中的回归方程法消除法消除了长期趋势的影响


点击查看答案


167、判断题  拉氏价格指数和帕氏价格指数计算结果不同,是因为拉氏价格指数主要受报告期商品结构的影响,而派氏价格指数主要受基期商品结构的影响。()


点击查看答案


168、单项选择题  P值越小,()。

A.拒绝原假设的可能性越小
B.拒绝原假设的可能性越大
C.拒绝备择假设的可能性越大
D.不拒绝备择假设的可能性越小


点击查看答案


169、判断题  指数的实质是相对数,它能反映现象的变动和差异程度。()


点击查看答案


170、多项选择题  指数体系中()

A.一个总值指数等于两个(或两个以上)因素指数的代数和
B.一个总值指数等于两个(或两个以上)因素指数的乘积
C.存在相对数之间的数量对等关系
D.存在绝对变动额之间的数量对等关系
E.各指数都是综合指数


点击查看答案


171、多项选择题  下面有关P值的叙述,不正确的有()。

A.在H0:μ=μ0,H1:μ<μ0情况下,P值是当H0为真时,样本可能结果不低于实际观测结果的概率
B.在H0:μ=μ0,H1:μ<μ0情况下,P值是当H0为真时,样本可能结果不高于实际观测结果的概率
C.在H0:μ=μ0,H1:μ>μ0情况下,P值是当H0为真时,样本可能结果不低于实际观测结果的概率
D.在H0:μ=μ0,H1:μ>μ0情况下,P值是当H0为真时,样本可能结果不高于实际观测结果的概率
E.若P<α,接受H0;若P>α,接受H1


点击查看答案


172、判断题  平均增长速度不是根据各期环比增长速度直接求得的,而是根据平均发展速度计算的,并且平均增长速度的值总是大于平均发展速度的值。()


点击查看答案


173、多项选择题  下列变量是定性变量的有()

A.职业
B.年龄
C.教育程度
D.距离
E.月收入


点击查看答案


174、多项选择题  由样本均值的抽样分布可知样本统计量与总体参数之间的关系为()。

A.在重复抽样条件下,样本均值的方差等于总体方差的1/n
B.样本方差等于总体方差的1/n
C.样本均值的期望值等于总体均值
D.样本均值恰好等于总体均值
E.样本均值的方差等于总体方差


点击查看答案


175、单项选择题  下列指数中,属于狭义概念的指数是()。

A.原油产量指数
B.石油价格指数
C.石油化工行业销售量指数
D.石油化工行业销售额指数


点击查看答案


176、判断题  样本量与置信水平成正比,与总体方差成反比,与允许的估计误差成正比。()


点击查看答案


177、单项选择题  A于一元线性回归模型,以Se表示估计标准误差,r表示样本相关系数,则有()。

A.Se=0时,r=1
B.Se=0时,r=-1
C.Se=0时,r=0
D.Se=0时,r=1或r=-1


点击查看答案


178、单项选择题  若数据的分布比较均匀,应编制()。

A.异距数列
B.等距数列
C.单项数列
D.组距数列


点击查看答案


179、单项选择题  如果估计量的期望值等于被估参数,这个估计量就称为被估参数的()

A.无偏估计量
B.一致估计量
C.有效估计量
D.有偏估计量


点击查看答案


180、多项选择题  下面几个关于集中趋势测量方法的陈述中,正确的是()。[2010年初级真题]

A.众数是数据中出现次数最多的数值
B.中位数可用来反映分类数据的集中趋势
C.均值适用于任何类型的数据
D.中位数和众数具有统计上的稳健性
E.均值提供的信息比中位数和众数多


点击查看答案


181、判断题  

当总体为未知的非正态分布时,只要样本容量n足够大(通常要求n≥30),样本均值仍会接近正态分布,其分布的期望值为总体均值,方差为总体方差的1/n。()


点击查看答案


182、单项选择题  

在不重复抽样条件下,如果不考虑顺序,其样本可能个数是()。

A.A
B.B
C.C
D.D


点击查看答案


183、判断题  只有当相关系数接近+1时,才能说明两变量之间存在着高度相关关系。()


点击查看答案


184、判断题  统计报表可以摸清一个国家的国情、国力,特别是可以了解与掌握人力、财力、物资资源状况及其利用状况,为国家制定长远规划与政策提供可靠的依据。()


点击查看答案


185、单项选择题  已知同一指标不同年度的数值排列顺序,欲求季节比率,则()

A.用按月(季)平均法
B.用移动平均趋势剔除法
C.上述两种方法都可以
D.上述两种方法都不可以


点击查看答案


186、多项选择题  在大样本的情况下,检验H0:μ=μo,H1:μ>μo,则()成立时,可接受原假设。

A.实测显著性水平P值<显著性水平α
B.P值>α
C.Z<Z0
D.Z>Z0
E.Z>Zα/2


点击查看答案


187、判断题  典型调查的单位数目一般不多,但它们具有的现象总量在总体总量中占据绝大部分。()


点击查看答案


188、多项选择题  下列关于平均数的说法,正确的是()。

A.平均数可以反映某一事物的平均水平
B.A于未分组数据,平均数的计算公式为:
C.A于分组数据,平均数的计算公式为:
D.平均数的应用非常广泛,其计算方法更是简单
E.平均数可以用于定性数据集中程度的测度


点击查看答案


189、多项选择题  在一个总体均值的假设检验中,确定检验统计量,需要考虑的主要因素有()。

A.总体方差已知还是未知
B.双侧检验还是单侧检验
C.显著性水平的大小
D.用于进行检验的是大样本还是小样本
E.总体和样本的方差是否相等


点击查看答案


190、单项选择题  若两变量x和y存在不完全相关关系,对于自变量x的任何一个值,因变量y()。

A.有惟一确定的值与之对应
B.有若干个值与之对应
C.所有数值都与之对应
D.没有数值与之对应


点击查看答案


191、单项选择题  某10家统计师培训机构在各种媒体宣传的花费分别为(万元):72,63.1,54.7,54.3,29,26.9,25,23.9,23,20。则样本方差为()。

A.19.54
B.39.19
C.381.94
D.343.74


点击查看答案


192、单项选择题  统计表的列标题表示各组的名称,一般应写在统计表的()。

A.上方
B.第一行
C.第一列
D.均可以


点击查看答案


193、判断题  发展速度可以是负值。()


点击查看答案


194、判断题  

样本均值的标准误差计算公式为(当总体标准差未知时,可用样本标准差代替)。()


点击查看答案


195、多项选择题  在假设检验中,当我们做出拒绝原假设而接受备择假设的结论时,表示()。

A.有充足的理由否定原假设
B.原假设必定是错误的
C.犯错误的概率不大于α
D.犯错误的概率不大于β
E.在H0为真的假设下发生了小概率事件


点击查看答案


196、单项选择题  对于一组数据:16、25、25、27、27、36、36、36、41、41、41、41,众数为()

A.16
B.25
C.36
D.41


点击查看答案


197、多项选择题  下列选项中属于季节变动的特点的有()

A.季节变动每年重复进行
B.分析季节变动时无法消除长期趋势的影响
C.季节变动按照一定的周期进行
D.季节变动是没有规律、不可预测的
E.季节变动的每个周期变化强度大体相同


点击查看答案


198、判断题  在进行相关和回归分析时,必须以定性分析为前提,判定现象之间有无关系及其作用范围。()


点击查看答案


199、多项选择题  下列关于派氏指数与拉氏指数的说法,正确的有()。

A.拉氏指数主要受基期商品(产品)结构的影响
B.派氏指数计算比拉氏指数麻烦
C.拉氏指数比派氏指数得到更普遍的应用
D.派氏指数在编制连续性指数数列时比较方便
E.从实际意义上看,派氏指数的解释更符合现实意义


点击查看答案


200、判断题  假设检验依据的是小概率原理。()


点击查看答案


题库试看结束后微信扫下方二维码即可打包下载完整版《★统计学和统计法基础知识》题库
手机用户可保存上方二维码到手机中,在微信扫一扫中右上角选择“从相册选取二维码”即可。

题库试看结束后微信扫下方二维码即可打包下载完整版《统计学和统计法基础知识:统计方法》题库,分栏、分答案解析排版、小字体方便打印背记!经广大会员朋友实战检验,此方法考试通过率大大提高!绝对是您考试过关的不二利器
手机用户可保存上方二维码到手机中,在微信扫一扫中右上角选择“从相册选取二维码”即可。

微信搜索关注"91考试网"公众号,领30元,获取公务员事业编教师考试资料40G