手机用户可
保存上方二维码到手机中,在
微信扫一扫中右上角选择“从
相册选取二维码”即可。
1、问答题 风向标的工作原理?
点击查看答案
本题答案:风向传感器的变换器为码盘和光电组件。当风标随风向变化而
本题解析:试题答案风向传感器的变换器为码盘和光电组件。当风标随风向变化而转动时,通过轴带动码盘在光电组件缝隙中转动。产生的光电信号对应当时风向的格雷码输出。传感器的变换器采用精密导电塑料电位器,从而在电位器的活动端产生变化的电阻信号输出。
2、名词解释 英译汉:data
点击查看答案
本题答案:数据
本题解析:试题答案数据
3、问答题 风电场在检修中必须坚持贯彻什么样的方针、思想和原则?
点击查看答案
本题答案:风力发电场在检修中必须坚持贯彻预防为主、计划检修的方针
本题解析:试题答案风力发电场在检修中必须坚持贯彻预防为主、计划检修的方针,始终坚持质量第一的思想,贯彻实施应修必修,修必修好的原则,是设备始终处于良好的工作状态。
4、判断题 风力发电机遭雷击后可立即接近风电机。()
点击查看答案
本题答案:错
本题解析:暂无解析
5、单项选择题 风力机发电机组功率调节方式主要有()种调节方式。
A、3
B、2
C、4
D、5
点击查看答案
本题答案:A
本题解析:暂无解析
6、单项选择题 润滑与冷却系统不包括()。
A、泵单元
B、冷却单元
C、连接管路
D、控制单元
点击查看答案
本题答案:D
本题解析:暂无解析
7、填空题 第一、二种工作票需办理延期手续,应在()以前由()向运行值班负责人提出申请,由运行值班负责人通知()给予办理。第一、二种工作票只能延期一次。
点击查看答案
本题答案:工期尚未结束工作负责人;工作许可人
本题解析:试题答案工期尚未结束工作负责人;工作许可人
8、填空题 功率调节方式主要有()、()和()三种调节方式。
点击查看答案
本题答案:定桨距失速调节;变桨距角调节;混合调节
本题解析:试题答案定桨距失速调节;变桨距角调节;混合调节
9、问答题 对润滑油的要求考虑能够起到齿轮和轴承的保护作用,此外还应具备哪些性能?
点击查看答案
本题答案:(1)减小摩擦和磨损,具有高的承载能力,防止胶合;本题解析:试题答案(1)减小摩擦和磨损,具有高的承载能力,防止胶合;
(2)吸收冲击和振动;
(3)防止疲劳点蚀;
(4)冷却,防锈,抗腐蚀。
10、填空题 工作状态之间的转变:()。
点击查看答案
本题答案:提高工作状态层次只能一层一层地上升,而降低工作状态层次可以是
本题解析:试题答案提高工作状态层次只能一层一层地上升,而降低工作状态层次可以是一层或多层。这种工作状态之间转变方法是基本的控制策略,它主要出发点是确保机组的安全运行
11、填空题 凡在离地面(坠落高度基准面)()的地点进行工作,都应视做()。高处作业时,在没有脚手架或者在没有栏杆的脚手架上工作,高度超过1.5米时,必须使用安全带或采取其他可靠的安全措施。安全带(绳)应挂在(),并不得(),禁止系挂在()[如避雷器、断路器(开关)、隔离开关(刀闸)、互感器等()]。系安全带后应()是否扣牢。
点击查看答案
本题答案:2m及以上;高处作业;结实牢固构件上或专为挂安全带用的钢丝绳
本题解析:试题答案2m及以上;高处作业;结实牢固构件上或专为挂安全带用的钢丝绳上;低挂高用;移动或不牢固的物件上;支持不牢固的物体上;检查锁扣
12、单项选择题 风力机发电成本取决于()。
A、效率
B、效率、容量和年平均风速
C、年平均风速
D、容量和年平均风速
点击查看答案
本题答案:B
本题解析:暂无解析
13、单项选择题 风速的标准偏差与平均风速的比率称为。()
A、年平均;
B、日变化;
C、瑞利分布;
D、湍流强度。
点击查看答案
本题答案:D
本题解析:暂无解析
14、填空题 风电设备的控制系统包括:()、()和()三部分。
点击查看答案
本题答案:测量;中心控制器;执行机构
本题解析:试题答案测量;中心控制器;执行机构
15、填空题 齿轮箱的润滑十分重要,良好的润滑能够对()和()起到足够的保护作用。
点击查看答案
本题答案:齿轮;轴承
本题解析:试题答案齿轮;轴承
16、填空题 电气工作人员对本规程应()考试一次。因故间断电气工作连续(),必须重新温习本规程,并经考试合格后,方能恢复工作。参加带电作业人员,应经(),并经()、(),方能参加工作。新参加电气工作的人员、实习人员和临时参加劳动的人员(),必须经过安全知识教育后,方可下现场随同参加指定的工作,但不得单独工作。对外单位派来支援的电气工作人员,工作前应介绍现场()和()。
点击查看答案
本题答案:每年;三个月以上;专门培训;考试合格;领导批准后;干部、临时
本题解析:试题答案每年;三个月以上;专门培训;考试合格;领导批准后;干部、临时工等;电气设备接线情况;有关 安全措施
17、单项选择题 风力发电机组规定的工作风速范围一般是()。
A.0~18m/s;
B.0~25m/s;
C.3~25m/s;
D.6~30m/s。
点击查看答案
本题答案:C
本题解析:暂无解析
18、填空题 塔架和机舱应满足到防()、防()的要求,机舱、控制箱和筒式塔架均应有防小动物进入的措施。
点击查看答案
本题答案:盐雾腐蚀;沙尘暴
本题解析:试题答案盐雾腐蚀;沙尘暴
19、单项选择题 风速传感器的测量范围应在()。
A、0~40m/s;
B、0~50m/s;
C、0~60m/s;
D、0~80m/s。
点击查看答案
本题答案:C
本题解析:暂无解析
20、名词解释 英译汉:windspeed
点击查看答案
本题答案:风速
本题解析:试题答案风速
21、填空题 风能的基本特征是各地风能资源的多少,主要取决于该地每年刮风的()和()如何。
点击查看答案
本题答案:时间长短;风的强度
本题解析:试题答案时间长短;风的强度
22、单项选择题 风力发电机组发电机轴承用润滑油脂应具有较好的()。
A、流动性;
B、低温性能;
C、黏度;
D、高温性能。
点击查看答案
本题答案:D
本题解析:暂无解析
23、填空题 直流发电系统大都用于()千瓦以下的微、小型风力发电装置,与()配合使用。
点击查看答案
本题答案:10;蓄电池储能器
本题解析:试题答案10;蓄电池储能器
24、填空题 防止直击雷的保护装置有:()和()。
点击查看答案
本题答案:避雷针;避雷线
本题解析:试题答案避雷针;避雷线
25、填空题 对于一个风电场来说,()选择的正确与否直接影响到风电场长期运行的()和()。
点击查看答案
本题答案:风电机组;安全性;经济效益
本题解析:试题答案风电机组;安全性;经济效益
26、填空题 ()、()天气引起的停机与机组故障也是影响发电量的一个因素。
点击查看答案
本题答案:低温;沙尘暴
本题解析:试题答案低温;沙尘暴
27、填空题 ()和()是风力发电机组的偏航系统所必须具有的主要功能。
点击查看答案
本题答案:解缆;纽缆保护
本题解析:试题答案解缆;纽缆保护
28、问答题 什么是定轴轮系和周转轮系?
点击查看答案
本题答案:传动时每个齿轮的几何轴线都是固定的,这种轮系称为定轴轮
本题解析:试题答案传动时每个齿轮的几何轴线都是固定的,这种轮系称为定轴轮系。至少有一个齿轮的几何轴线绕另一齿轮的几何轴线转动的轮系,称为周转轮系。
29、填空题 电力系统要求继电保护具有可靠性、()、()、和()。
点击查看答案
本题答案:选择性;快速性;灵敏性
本题解析:试题答案选择性;快速性;灵敏性
30、填空题 在冬季寒冷潮湿的地区,为防止仪器结冰,测风设备应有()。
点击查看答案
本题答案:加热装置及相应的加热电源
本题解析:试题答案加热装置及相应的加热电源
31、问答题 门型架构的线路侧装地线时有哪些要求?
点击查看答案
本题答案:在门型架构的线路侧进行停电检修,如工作地点与所装接地线
本题解析:试题答案在门型架构的线路侧进行停电检修,如工作地点与所装接地线的距离小于10m,工作地点虽在接地线外侧,也可不另装接地线。
32、填空题 风轮的作用是把()转换成()机械能,风轮一般有一个,两个或两个以上的几何形状一样的叶片和一个轮毂组成。
点击查看答案
本题答案:风的动能;风轮的旋转
本题解析:试题答案风的动能;风轮的旋转
33、问答题 解释风速、风能密度?
点击查看答案
本题答案:风速是单位时间内空气在水平方向上所移动的距离。
本题解析:试题答案风速是单位时间内空气在水平方向上所移动的距离。
通过单位截面积的风所含的能量称为风能密度。
34、判断题 风电场投资成本随发电量而变化。()
点击查看答案
本题答案:对
本题解析:暂无解析
35、问答题 简述暂停→运行状态风力机的运行动作?
点击查看答案
本题答案:如果运行的条件满足,则:
(1)核对风力发电
本题解析:试题答案如果运行的条件满足,则:
(1)核对风力发电机组是否处于上风向;
(2)叶尖阻尼板回收或变桨距系统投入工作;
(3)根据所测转速,发电机是否可以切入电网。
36、填空题 ()和()是风力发电机组的主要承载部件。
点击查看答案
本题答案:塔架;基础
本题解析:试题答案塔架;基础
37、单项选择题 在正常工作条件下,风力发电机组的设计要达到的最大连续输出功率叫()。
A.平均功率;
B.最大功率;
C.额定功率;
D.最小功率。
点击查看答案
本题答案:C
本题解析:暂无解析
38、问答题 SF6配电装置发生大量泄漏等紧急情况时,如何处理?
点击查看答案
本题答案:人员应迅速撤出现场,开启所有排风机进行排风。未配戴隔离
本题解析:试题答案人员应迅速撤出现场,开启所有排风机进行排风。未配戴隔离式防毒面具人员禁止入内。只有经过充分的自然排风或恢复排风后,人员才准进入。
39、问答题 哪一个力产生使叶轮转动的驱动力矩?
点击查看答案
本题答案:升力使叶片转动,产生动能。
本题解析:试题答案升力使叶片转动,产生动能。
40、填空题 变压器呼吸器在运行中必须保持(),巡视设备时,要检查干燥器下部透气孔是否有()现象。
点击查看答案
本题答案:畅通;堵塞
本题解析:试题答案畅通;堵塞
41、名词解释 英译汉:tower
点击查看答案
本题答案:塔筒
本题解析:试题答案塔筒
42、填空题 用于叶片制造的主要材料有()、()、()、()等。
点击查看答案
本题答案:玻璃纤维增强塑料(GRP);碳纤维增强塑料(CFRP);木材
本题解析:试题答案玻璃纤维增强塑料(GRP);碳纤维增强塑料(CFRP);木材;钢和铝
43、问答题 某台风力发电机组,在6m/s风速时输出功率是60KW,当风速为12m/s时,问此时该风力发电机的输出功率是多少?
点击查看答案
本题答案:解:因在其他条件均不变的情况下,风力发电机的输出功率与
本题解析:试题答案解:因在其他条件均不变的情况下,风力发电机的输出功率与风速的立方成正比。
即
此时该台风力发电机的输出功率是480KW。
44、填空题 机组传动轴与齿轮箱行星架轴之间利用()连接联结,装拆方便,能保证良好的对中性,且减少了应力集中。行星传动机构利用()实现均载。
点击查看答案
本题答案:胀紧套;太阳轮的浮动
本题解析:试题答案胀紧套;太阳轮的浮动
45、名词解释 英译汉:anemometer
点击查看答案
本题答案:风速仪
本题解析:试题答案风速仪
46、填空题 从业人员应当接受安全生产教育和培训,掌握本职工作所需的(),提高(),增强()和()。
点击查看答案
本题答案:安全生产知识;安全生产技能;事故预防;应急处理能力
本题解析:试题答案安全生产知识;安全生产技能;事故预防;应急处理能力
47、填空题 在星形连接的电路中,三个末端连在一起的点叫()。常用符号()表示,从该点引出的线叫()线,如果该点接地则此线称()线。
点击查看答案
本题答案:中性点;0;中;地
本题解析:试题答案中性点;0;中;地
48、问答题 什么是变浆距?有何特点?
点击查看答案
本题答案:变浆距风轮的叶轮与轮毂通过轴承连接。
虽然结
本题解析:试题答案变浆距风轮的叶轮与轮毂通过轴承连接。
虽然结构比较复杂,但能够获得较好的性能,而且叶轮承受的载荷较小、重量轻。
49、问答题 检修工作结束以前,若需将设备试加工作电压,如何布置措施?
点击查看答案
本题答案:(1)全体工作人员撤离工作地点;
(2)将该
本题解析:试题答案(1)全体工作人员撤离工作地点;
(2)将该系统所有工作票收回,拆除临时遮拦、接地线和标示牌,恢复常设遮拦;
(3)应在工作负责人和值班人员进行全面检查无误后,由值班人员进行施加电压。工作班若需继续工作时,应重新履行工作许可手续。
50、问答题 升压站电气主接线有哪几种及其特点?
点击查看答案
本题答案:风电场升压站电气主接线,根据风电场分期、系统送出的要求
本题解析:试题答案风电场升压站电气主接线,根据风电场分期、系统送出的要求,常用的有线路--变压器组、单母线、桥型接线3种。
(1)线路—变压器组接线
优点:接线简单清晰,110kV侧不设母线,电气设备减少,投资减少,操作简便,继电保护简化。
缺点:当一组单元中某个元件故障或检修时,整个单元将停止运行。适用于只有1期开发、设置1台主变的风电场。
(2)单母线接线
单母线接线高压只有一组母线,每个出线和变压器都通过断路器和隔离开关接到母线上。电源支路将电能送至母线,引出线从母线得到电能,母线起着汇集和分配电能的作用。
优点:接线简单明显,设备少、经济性好,运行时操作方便,便于扩建。缺点:当母线或者母线侧刀闸发生故障或者进行检修时,各支路都必须停止工作;引出线的开关检修时,该支路要停止供电。
(3)桥式接线(无汇流母线)
只适用于仅有两台变压器和两条引出线的风电场中。桥式接线只需要3台开关。根据桥式连接开关位置的不同,可分为内桥接线和外桥接线两种方式。桥式接线的优点:
(1)简单清晰、设备少,造价低;
(2)具有一定的可靠性和灵活性;
(3)易于发展为单母分段或双母接线。
不适用于在系统中占重要地位的大型风电场,有时也作为大型风电场的初期接线。
51、名词解释 风轮锥角
点击查看答案
本题答案:风轮锥角是指叶片相对于和旋转轴垂直的平面的倾斜度。
本题解析:试题答案风轮锥角是指叶片相对于和旋转轴垂直的平面的倾斜度。
52、判断题 碳纤维叶片一定比玻纤叶片贵。现在国外新的5MW级风力机叶片的整个横梁都采用碳纤维。()
点击查看答案
本题答案:错
本题解析:暂无解析
53、名词解释 叶片弦长
点击查看答案
本题答案:叶片径向各剖面翼型的弦长。叶片根部剖面的翼型弦长称根弦
本题解析:试题答案叶片径向各剖面翼型的弦长。叶片根部剖面的翼型弦长称根弦,叶片尖部剖面的翼型弦长称尖弦。
54、问答题 偏航异常噪声原因?
点击查看答案
本题答案:1.润滑油或润滑脂严重缺失;
2.偏航阻尼力
本题解析:试题答案1.润滑油或润滑脂严重缺失;
2.偏航阻尼力矩过大;
3.齿轮副轮齿损坏;
4.偏航驱动装置中油位过低。
55、填空题 单叶片风轮通常比2叶片风轮效率()。
点击查看答案
本题答案:低6%
本题解析:试题答案低6%
56、问答题 遇到哪些情况时,严禁动火?
点击查看答案
本题答案:遇到下列情况之一时,严禁动火:
(1)油船、
本题解析:试题答案遇到下列情况之一时,严禁动火:
(1)油船、油车停靠的区域;
(2)压力容器或管道未泄压前;
(3)存放易燃易爆物品的容器未清理干净前;
(4)风力达5级以上的露天作业;
(5)遇有火险异常情况未查明原因和消险前电力生产设备或场所应配置必要的消防设施,并根据需要配备合格的呼吸保护器现场消防设施周围不得堆放杂物和其他设备,消防用砂应保灾自动报警装置或固定灭火装置防火重点部位禁止吸烟,并应有明显标志,其他生产现场不准流动吸烟,吸烟应有指定地点。
57、问答题 如何保证检修设备不会误送电?
点击查看答案
本题答案:检修设备和可能来电侧的断路器(开关)、隔离开关(刀闸)
本题解析:试题答案检修设备和可能来电侧的断路器(开关)、隔离开关(刀闸)应断开控制电源和合闸电源,隔离开关(刀闸)操作把手必须锁住,确保不会误送电。
58、填空题 发电厂主控制室内,电气信号分事故信号、()信号和()信号。
点击查看答案
本题答案:预告;位置
本题解析:试题答案预告;位置
59、填空题 风电机受潮发出沙沙噪声,此时不得接近风电机,以()。
点击查看答案
本题答案:防感应电
本题解析:试题答案防感应电
60、判断题 在定期维护中,应检查发电机电缆端子,并按规定力矩紧固。()
点击查看答案
本题答 案:对
本题解析:暂无解析
61、问答题
计算题:已知:新疆金风科技S62-1200风力机典型设计数据为r=31m,P=1200KW=1200000W,n=15.5rp/mim;1200kW风力机高速特性数如下图所示,试对1200风力机进行优化设计?
点击查看答案
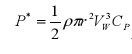
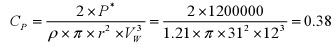
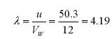
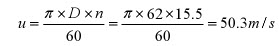
本题答案:解:(1)核算能量利用系数Cp和设计风速Vw:
本题解析:试题答案解:(1)核算能量利用系数Cp和设计风速Vw:
风轮机功率与转子半径、风速、能量利用系数有下列关系:
能量利用系数和风速
(2)核算叶顶周速/风速比λ:
可见:核算的1200kW风力机的风能利用系数Cp=0.38,设计风速Vw=12m/s
风能利用系数稍低,风能利用较好。如果高速特性数λ设计再高点,设计转速再高点(见图18.5r/min),设计功率可达1360kW。
62、填空题 高压室的钥匙至少应有三把,由配电值班人员负责保管,按值移交。一把供()使用,一把专供()使用,其他可以借给()和()使用,但必须登记签名,当日交回。
点击查看答案
本题答案:紧急时;值班员;许可单独巡视高压设备的人员;工作负责人
本题解析:试题答案紧急时;值班员;许可单独巡视高压设备的人员;工作负责人
63、问答题 齿轮箱润滑油的作用?
点击查看答案
本题答案:1.减小摩擦和磨损、具有高的承载能力、防止胶合;
本题解析:试题答案1.减小摩擦和磨损、具有高的承载能力、防止胶合;
2.吸收冲击和振动;
3.防止疲劳点蚀;
4.冷却、防锈、抗腐蚀。
64、问答题 轮系的定义?
点击查看答案
本题答案:为了获得很大的传动比,或者为了将输入轴的一种转速变换为
本题解析:试题答案为了获得很大的传动比,或者为了将输入轴的一种转速变换为输出轴的多种转速等原因,常采用一系列互相啮合的齿轮将输入轴和输出轴连接起来。这种由一系列齿轮组成的传动系统称为轮系。
65、单项选择题 用焦耳定律计算发热量Q等于()焦。
A、I2R
B、I2Rt
C、0.24I2Rt
点击查看答案
本题答案:B
本题解析:暂无解析
66、填空题 遇有电气设备着火时应立即将有关()的电源切断,然后再进行()。
点击查看答案
本题答案:设备;灭火
本题解析:试题答案设备;灭火
67、问答题 在设备构架上工作,悬挂什么样的标示牌?
点击查看答案
本题答案:在室外构架上工作,则应在工作地点邻近带电部分的横梁上,
本题解析:试题答案在室外构架上工作,则应在工作地点邻近带电部分的横梁上,悬挂“止步,高压危险!”的标示牌。在工作人员上下铁架或梯子上,应悬挂“从此上下!”的标示牌。在邻近其他可能误登的带电架构上,应悬挂“禁止攀登,高压危险!”的标示牌。
68、填空题 偏航系统中都设有偏航计数器,偏航计数器的作用是(),当偏航系统的偏航圈数达到计数器的设定条件时,则触发自动解缆动作,机组进行自动解缆并复位。
点击查看答案
本题答案:用来记录偏航系统所运转的圈数
本题解析:试题答案用来记录偏航系统所运转的圈数
69、填空题 互感器的二次侧必须(),以保证()和()的安全。
点击查看答案
本题答案:接地;设备;人身
本题解析:试题答案接地;设备;人身
70、问答题 计算题:有一台1500kW的风力发电机组,其年实际发电量为350万kWh,求该台机组的年容量系数是多少(计算结果保留两位小数)?
点击查看答案
本题答案:解:根据公式
本题解析:试题答案解:根据公式
该机组年容量系数是0.27。
71、填空题 风力机正由1MW等级向2.5MW、5~6MW()的方向发展,商品化的风力机已达()MW以上。
点击查看答案
本题答案:大型化;2
本题解析:试题答案大型化;2
72、填空题 风轮机气动设计软件(WTD1.0)提出了一套风轮机叶轮气动设计的()方法,并建立了一套有()价值、考虑流动()的风轮机气动数值模型。
点击查看答案
本题答案:数值;工程应用;三维效应
本题解析:试题答案数值;工程应用;三维效应
73、判断题 风能的环境效益主要是由于减少了化石燃料的使用从而减少了由于燃烧产生的污染物的排放。()
点击查看答案
本题答案:对
本题解析:暂无解析
74、填空题 世界风能利用排在前四位的是()、()、()和()。
点击查看答案
本题答案:德国;美国;西班牙;丹麦
本题解析:试题答案德国;美国;西班牙;丹麦
75、填空题 如果电缆被沿顺时针方向或者逆时针方向缠绕3.8圈,控制器改变风力发电机的状态到(),且电缆被自动展开。
点击查看答案
本题答案:暂停状态
本题解析:试题答案暂停状态
76、单项选择题 在某一期间内,风力发电机组的实际发电量与理论发电量的比值,叫风力发电机组的()。
A、容量系数;
B、功率系数;
C、可利用率;
D、发电率。
点击查看答案
本题答案:A
本题解析:暂无解析
77、填空题 风电场升压站的类型:()、()、()、()。主接线方式有,()、()、()。
点击查看答案
本题答案:330KV;220KV;110KV;66KV;线路-变压器组
本题解析:试题答案330KV;220KV;110KV;66KV;线路-变压器组;单母线;桥型接线
78、填空题 电阻、电感、电容串联电路中,若总电压超前总电流一个角度,这种电路称为()电路,这种电路的负载叫()性负载。
点击查看答案
本题答案:电感性;电感
本题解析:试题答案电感性;电感
79、填空题 发电机的额定功率因数等于()功率与()功率的比值。
点击查看答案
本题答案:额定有功;额定视在
本题解析:试题答案额定有功;额定视在
80、填空题 风力发电机概述:风力发电机是()。
点击查看答案
本题答案:实现有风能到机械能和由机械能到电能两个能量转换过程的装置,风
本题解析:试题答案实现有风能到机械能和由机械能到电能两个能量转换过程的装置,风轮系统实现了从风能到机械能的能量转换,发电机和控制系统则实现了从机械能到电能的能量转换过程
81、名词解释 英译汉:panel
点击查看答案
本题答案:控制盘
本题解析:试题答案控制盘
82、问答题 说出测量部分各类传感器的名称及其测量对象?
点击查看答案
本题答案:(1)风传感器:风速、风向;
(2)温度传感
本题解析:试题答案(1)风传感器:风速、风向;
(2)温度传感器:空气、润滑油、发电机线圈等;
(3)位置传感器:润滑油、刹车片厚度、偏航等;
(4)转速传感器:叶轮、发电机等;
(5)压力传感器:液压油压力、润滑油压力等;
(6)特殊传感器:叶片角度、电量变送器等。
83、填空题 风电场的定期巡视:运行人员应定期对()、()、()、场内高压配电线路进行巡回检查,发电缺陷及时处理,并登记在缺陷记录本上。
点击查看答案
本题答案:风电机组;风电场测风装置;升压站
本题解析:试题答案风电机组;风电场测风装置;升压站
84、问答题 影响发电量的主要因素有哪些?
点击查看答案
本题答案:湍流影响、尾流影响、叶片污染的气动损失、功率曲线、风机
本题解析:试题答案湍流影响、尾流影响、叶片污染的气动损失、功率曲线、风机的可利用率、风电场内线损失、对风装置的滞后影响、气候影响。
85、判断题 可用”直接计算法”和”概率计算法”求平均风能密度。()
点击查看答案
本题答案:对
本题解析:暂无解析
86、问答题 风电场选址技术标准有哪些?
点击查看答案
本题答案:(1)风能资源丰富区;
(2)容量系数较大地
本题解析:试题答案(1)风能资源丰富区;
(2)容量系数较大地区;
(3)风向稳定地区;
(4)风速年变化较小地区;
(5)气象灾害较少地区;
(6)湍流度小地区。
87、填空题 220kV主变压器的主保护配置两套不同原理的()和(),后备保护配置复合起动的()。还配置(),(零序电压)和()、()、()、()等。
点击查看答案
本题答案:差动保护;瓦斯保护;过流保护;零序电流保护;间隙放电电流的零
本题解析:试题答案差动保护;瓦斯保护;过流保护;零序电流保护;间隙放电电流的零序电流电压保护;温度保护;风扇故障保护;过负荷保护
88、填空题 定浆距风电机组的优点:①()②()③(),利于造成大型风电机组。缺点:①()②()③()。
点击查看答案
本题答案:提高了风能转换效率,更充分利用风能;不会发生过发电现象;叶片
本题解析:试题答案提高了风能转换效率,更充分利用风能;不会发生过发电现象;叶片相对简单,重量轻;调桨机构复杂,控制系统也比较复杂;因复杂而使出现故障的可能性增加;对电网的影响大
89、填空题 我国属()气候,()风大,()风小,但是在我国北部和沿海,由于天气和海陆的关系,风速年变化较()。在沿海地区,选址要避开()的地点和()的地区。
点击查看答案
本题答案:季风;冬季;夏季;小;台风经常登陆;雷暴易发生
本题解析:试题答案季风;冬季;夏季;小;台风经常登陆;雷暴易发生
90、问答题 操作中的五防的内容是什么?
点击查看答案
本题答案:1、防止误拉、合开关;
2、防止带接地线(接
本题解析:试题答案1、防止误拉、合开关;
2、防止带接地线(接地闸刀)合闸;
3、防止带电装设接地线、带电合接地闸刀;
4、防止带负荷拉、合闸刀;
5、防止误入带电间隔。
91、问答题 备件网络数据库基本信息应包括哪些?
点击查看答案
本题答案:(1)集团公司控股风电场表单;
(2)各风电
本题解析:试题答案(1)集团公司控股风电场表单;
(2)各风电场所有装机机型表单;
(3)各风电场某机型风机备件表单,该表单项包括备件类别、备件名称、台装量、总装量、年耗量、现有库存量、额定库存量、单位、参考价格、制造商、原进货渠道;
(4)采购订单,包括集中采购订单、临时采购订单及风电场自购订单;
(5)备件出/入库单;
(6)备件领用申请/登记。
92、判断题 变桨距叶轮叶片的设计目标主要是为防止气流分离。()
点击查看答案
本题答案:对
本题解析:暂无解析
93、填空题 风电技术的不断进步和风轮机的()化、()化和()化,无疑将()风电价格并推进其发展。
点击查看答案
本题答案:大型;高效;规模;降低
本题解析:试题答案大型;高效;规模;降低
94、判断题 风力机“性能价格比最优”原则,永远是项目设备选择决策的重要原则。()
点击查看答案
本题答案:对
本题解析:暂无解析
95、填空题 安全生产坚持()的方针,按照()的原则,建立安全生产(),完善安全生产()。
点击查看答案
本题答案:“安全第一、预防为主、综合治理”;“谁主管、谁负责”“管生产
本题解析:试题答案“安全第一、预防为主、来源:91考试网 91exam.org综合治理”;“谁主管、谁负责”“管生产必须管安全”;管理体系;管理机制
96、问答题 简述电缆敷设方式?
点击查看答案
本题答案:电缆敷设方式一般采用直埋,电缆沟深度800~1000m
本题解析:试题答案电缆敷设方式一般采用直埋,电缆沟深度800~1000mm,施工时挖深800~1000mm,底部铺上沙子,放上电缆和光缆,然后回填土直埋,盖入盖板,恢复植被。电缆沟恢复植被后往往留一些标记,运行时如电缆出现了故障,可通过标记查找。
97、问答题 风电场安全管理工作的主要内容是什么?
点击查看答案
本题答案:根据现场实际,建立和健全安全监督机构和安全管理网络;安
本题解析:试题答案根据现场实际,建立和健全安全监督机构和安全管理网络;安全教育要常抓不懈,做到全员教育,全面教育,全过程教育,并掌握好教育的时间和方法,达到好的教育效果;严肃认真地贯彻执行各项规章制度;建立和完善安全生产责任制;事故调查要坚持四不放过的原则;要认真编制并完成好安全技术劳动保护措施计划和反事故措施计划。
98、问答题 偏航异常噪声的原因?
点击查看答案
本题答案:1.润滑油润滑脂严重缺失;
2.偏航阻尼力矩
本题解析:试题答案1.润滑油润滑脂严重缺失;
2.偏航阻尼力矩过大;
3.齿轮副轮齿损坏;
4.偏航驱动装置中油位过。
99、填空题 电流100安等于()毫安,()微安,等于()千安,()兆安。
点击查看答案
本题答案:105;108;0.1;10-4
本题解析:试题答案105;108;0.1;10-4
100、判断题 顺风向风力机风吹向风轮,塔架会干扰流向叶片的空气流,使风力机性能降低。()
点击查看答案
本题答案:对
本题解析:暂无解析
101、填空题 变电站中由直流系统提供电源的回路有()、()、()、()等。
点击查看答案
本题答案:合闸回路;控制保护回路;信号回路;事故照明回路
本题解析:试题答案合闸回路;控制保护回路;信号回路;事故照明回路
102、填空题 短路器的用途是:正常时能接通或断开电路;发生故障时,能自动切断故障电流,需要时能自动重合,起到()和()两方面的作用。
点击查看答案
本题答案:控制;保护
本题解析:试题答案控制;保护
103、填空题 定桨距风电机组的优点:①()②()。缺点:①()②()③()④()⑤()。
点击查看答案
本题答案:机械结构简单,易于制造;控制原理简单,运行可靠性高;额定风速
本题解析:试题答案机械结构简单,易于制造;控制原理简单,运行可靠性高;额定风速高,风轮转换效率低;转速恒定,机电转换效率低;对电网影响大;常发生过发电现象,加速机组的疲劳损坏;叶片复杂,重量大,制造较难,不宜制造大风电机组
104、问答题 变压器测绝缘时有何规定?
点击查看答案
本题答案:(1)绝缘电阻的测量规定:6kV以上者用2500V摇表
本题解析:试题答案(1)绝缘电阻的测量规定:6kV以上者用2500V摇表测量,500V及以下者用500V摇表测量,测量各线圈对外壳的绝缘电阻值,不应低于初始值的50%,吸收比:R60″/R15″≥1.3即为合格。
(2)备用超过一个月的变压器投运前应测量其绝缘电阻值。
(3)有明显受潮时,应及时测量绝缘电阻值。
(4)大修后变压器绝缘电阻值由检修测量提供。
105、填空题 齿轮箱常见的故障:()、()、()、()。
点击查看答案
本题答案:齿轮损伤;轴承损坏;断轴和渗漏油;油温高
本题解析:试题答案齿轮损伤;轴承损坏;断轴和渗漏油;油温高
106、单项选择题 ()目前是风电行业全国最大的复合材料供应商。生产风力机叶片、机舱罩及其他复合材料制品,同时开发具有自主知识产权的大型风力机叶片。
A、天津塘沽海洋科技工业园
B、中美供应公司
C、天津升华国际贸易有限公司
D、以上都是
点击查看答案
本题答案:D
本题解析:暂无解析
107、填空题 变压器短路故障后备保护主要是作为相邻元件及()的后备保护。
点击查看答案
本题答案:变压器内部
本题解析:试题答案变压器内部
108、填空题 一般半年检抽紧所有螺丝的()%。
点击查看答案
本题答案:5-10
本题解析:试题答案5-10
109、问答题 什么是变浆距控制?它有哪些特点?
点击查看答案
本题答案:变浆距控制主要是指通过改变翼形迎角,使翼形升力发生变化
本题解析:试题答案变浆距控制主要是指通过改变翼形迎角,使翼形升力发生变化来进行输出功率的调节。
变浆距控制风轮的特点,优点有启动性好;刹车机构简单,叶片顺浆及风轮转速可以之间下降;额定点前的功率输出饱满;额定点后的输出功率平滑;风轮叶根承受的静动载荷小;叶宽小、叶片轻、机头质量比失速机组小。缺点有由于有叶片变距机构,轮毂较复杂,可靠性设计要求高,维护费用高;功率调节复杂,费用高。
110、问答题 哪几种情况不得进行交接班或暂停接班?
点击查看答案
本题答案:1.倒闸操作事故处理未告一段落。
2.接班人
本题解析:试题答案1.倒闸操作事故处理未告一段落。
2.接班人员酗酒精神状态明显不好。
3.在交接班过程中发生事故紧急操作任务,应暂停交接班,此时接班人员应听从交班值长指挥,并积极动协助处理。
4.公司领导风电场场长认为需暂缓交班的其它事项。
111、填空题 油断路器火灾时,严禁直接(),应切断其(),然后进行灭火。
点击查看答案
本题答案:切断起火断路器电源;两侧前后一级的断路器电源
本题解析:试题答案切断起火断路器电源;两侧前后一级的断路器电源
112、问答题 比较风力发电机采用同步发电机和感应发电机的优缺点。
点击查看答案
本题答案:风力发电机采用同步发电机,较感应发电机的效率高,无功电
本题解析:试题答案风力发电机采用同步发电机,较感应发电机的效率高,无功电流可控,同时同步发电机能以任意功率因数运行;采用感应发电机时,感应电机与电网的连接可以认为是一个缓冲器,它有一定的滑差,对电网冲击小。缺点是感应电机是根据有功功率输出来吸收无功功率,易产生过电压等现象,且启动电流大。
113、填空题 发电机应装有()装置和()装置。
点击查看答案
本题答案:定子绕组测温;转子测速
本题解析:试题答案定子绕组测温;转子测速
114、填空题 我国风能资源分布很广,在东南沿海、山东、辽宁沿海及其岛屿年平均风速达到()m/s,内陆地区如内蒙古北部,甘肃、新疆北部以及松花江下游也属于风资源丰富区,风速达到()m/s;在这些地区均有很好的开发利用条件。
点击查看答案
本题答案:6~9;6.3
本题解析:试题答案6~9;6.3
115、问答题 风电场220kV升压站系统继电保护种类?
点击查看答案
本题答案:(1)220kV线路保护;
(2)220kV
本题解析:试题答案(1)220kV线路保护;
(2)220kV母线保护;
(3)220kV故障录波器;
(4)保护及故障信息远传系统。
116、填空题 风力发电机组中的齿轮箱是一个重要的机械部件,其主要功能是()。
点击查看答案
本题答案:将风轮在风力作用下所产生的动力传递给发电机并使其得到相应的转
本题解析:试题答案将风轮在风力作用下所产生的动力传递给发电机并使其得到相应的转动
117、填空题 风力发电机的接地电阻应每年测试()次。
点击查看答案
本题答案:一
本题解析:试题答案一
118、问答题 基于现场总线的自动化监控及信息集成系统主要优点是什么?
点击查看答案
本题答案:(1)增强了现场级信息集成能力;
(2)开放
本题解析:试题答案(1)增强了现场级信息集成能力;
(2)开放式、互操作性、互换性、可集成性;
(3)系统可靠性高、可维护性好;
(4)降低了系统及工程成本。
119、判断题 雷电时,不能靠近避雷针,但在远离避雷针的地方可以进行倒闸操作。()
点击查看答案
本题答案:错
本题解析:暂无解析
120、填空题 控制系统的保护功能:()、()、()、()、()、()、()、()、()。
点击查看答案
本题答案:超电压保护范围;过电流保护范围;风轮转速极限;发电机转速极限
本题解析:试题答案超电压保护范围;过电流保护范围;风轮转速极限;发电机转速极限;发电机过功率保护值;发电机过电流保护值;大风保护风速;系统接地电阻;防雷感应电压
121、填空题 对于风能转换装置而言,可利用的风能是在()到()之间的风速段,这个范围的风能即(),该风速范围内的平均风功率密度称为()。
点击查看答案
本题答案:启动风速;停机风速;有效风能;有效风功率密度
本题解析:试题答案启动风速;停机风速;有效风能;有效风功率密度
122、问答题 风力发电机组的工作状态有哪些?
点击查看答案
本题答案:①运行状态;
②暂停状态;
③停机
本题解析:试题答案①运行状态;
②暂停状态;
③停机状态;
④紧急停机状态。
123、填空题 运转过程中,在安装、润滑、维护都正常的情况下,轴承由于()而产生疲劳剥落。
点击查看答案
本题答案:套圈与滚动体的接触表面经受交变载荷的反复作用
本题解析:试题答案套圈与滚动体的接触表面经受交变载荷的反复作用
124、填空题 感应发电机也称为()发电机,有鼠笼型和绕线型两种。在恒速/恒频系统中,一般采用()电机。
点击查看答案
本题答案:异步;鼠笼型异步
本题解析:试题答案异步;鼠笼型异步
125、填空题 密封部位轴的表面粗糙度()与密封圈接触的轴表面不允许有螺旋形机加工痕迹。
点击查看答案
本题答案:Ra=0.2~0.63μm
本题解析:试题答案Ra=0.2~0.63μm
126、问答题 电缆试验结束后,应做好哪些安全措施?
点击查看答案
本题答案:电缆试验结束,应对被试电缆进行充分放电,并在被试电缆上
本题解析:试题答案电缆试验结束,应对被试电缆进行充分放电,并在被试电缆上加装临时接地线,待电缆尾线接通后才可拆除。
127、填空题 液压系统油箱内设隔板是为了()和()。
点击查看答案
本题答案:利于散热;分离杂质
本题解析:试题答案利于散热;分离杂质
128、填空题 全球最大的风力机供应商是()的VestasWindSystems公司。
点击查看答案
本题答案:丹麦
本题解析:试题答案丹麦
129、填空题 风电场升压站内主接地网建成后,实测接地电阻应满足()。
点击查看答案
本题答案:R≤0.5Ω
本题解析:试题答案R≤0.5Ω
130、问答题 高压触电采用哪些方法使触电者脱离电源?
点击查看答案
本题答案:(1)立即通知有关供电企业或用户停电。
(2
本题解析:试题答案(1)立即通知有关供电企业或用户停电。
(2)戴上绝缘手套,穿上绝缘靴,用相应电压等级的绝缘工具按顺序拉开电源开关或熔断器。
(3)抛掷裸金属线使线路短路接地,迫使保护装置动作,断开电源。注意抛掷金属线之前,应先将金属线的一端固定可靠接地,然后另一端系上重物抛掷,注意抛掷的一端不可触及触电者和其他人,另外,抛掷者抛出线后,要迅速离开接地的金属线8m以外或双腿并拢站立,防止跨步电压伤人。在抛掷短路线时,应注意防止电弧伤人或断线危及人员安全。
131、问答题 润滑对机械设备的正常运转起着如下的作用?
点击查看答案
本题答案:(1)降低摩擦系数
(2)减少磨损
本题解析:试题答案(1)降低摩擦系数
(2)减少磨损
(3)降低温度
(4)防止腐蚀、保护金属表面
(5)清洁冲洗作用
132、填空题 当风电机组发生火灾时,运行人员应立即(),迅速采取(),防止();当火灾危及()时,值班人员应立即()。
点击查看答案
本题答案:停机并切断电源;灭火措施;火势蔓延;人员和设备安全;拉开该机
本题解析:试题答案停机并切断电源;灭火措施;火势蔓延;人员和设备安全;拉开该机组线路侧的断路器
133、填空题 线路、用户检修班或基建施工单位在发电厂或变电所进行工作时,必须由所在单位()签发()并履行()。
点击查看答案
本题答案:发电厂、变电所或工区;工作票;工作许可手续
本题解析:试题答案发电厂、变电所或工区;工作票;工作许可手续
134、判断题 风速与地形、地势、高度、建筑物等密切相关,风能桨叶高度处的风速才是风轮机设计风速。()
点击查看答案
本题答案:对
本题解析:暂无解析
135、问答题 什么是事故应急抢修工作?
点击查看答案
本题答案:电气设备发生故障被迫紧急停止运行,需要短时间内恢复的抢
本题解析:试题答案电气设备发生故障被迫紧急停止运行,需要短时间内恢复的抢修和排除故障的工作。
136、判断题 风力发电机检修后,缺陷仍未消除,也视为检修合格。()
点击查看答案
本题答案:错
本题解析:暂无解析
137、问答题 安装和维护风速传感器的注意事项?
点击查看答案
本题答案:(1)风速和风向传感器应垂直的安装在相距1米以上的横臂
本题解析:试题答案(1)风速和风向传感器应垂直的安装在相距1米以上的横臂上。
(2)风向传感器已调好零,不许随意松动风向帽与主轴间的制动螺钉。
(3)测风传感器应每年给轴承注油一次,注油时应拆下风速架或风向帽,将仪表油从传感器的上轴承处注入。
(4)传感器风速、风向帽上各不动的制动螺钉均用软质密封胶密封,不要随便拆卸,拆卸后再装配时最好重新涂上胶密封。
138、填空题 质量管理是检修管理工作的()。应建立健全三级质量监督和保证体系,即()、()、()的三级体系。
点击查看答案
本题答案:中心;班组;各专业;厂部
本题解析:试题答案中心;班组;各专业;厂部
139、填空题 双馈异步发电机的运行状态:①()②()③()。
点击查看答案
本题答案:亚同步运行状态;超同步运行状态;同步运行状态
本题解析:试题答案亚同步运行状态;超同步运行状态;同步运行状态
140、问答题 风电机组年度例行维护计划的编制依据及内容是什么?
点击查看答案
本题答案:风电机组年度例行维护计划的编制应以制造商提供的年度例行
本题解析:试题答案风电机组年度例行维护计划的编制应以制造商提供的年度例行维护内容为主要依据,结合实际运行情况,在每个维护周到来之前进行整体编制。计划内容主要包括工作开始时间、工作进度计划、工作内容、主要技术措施和安全措施、人员安排以及针对设备运行状况应注意的特殊检查项目等。
141、填空题 乙炔气瓶禁止放在高温设备附近,应距离明火()以上,使用中应与氧气瓶保持()以上距离。
点击查看答案
本题答案:10m;5m
本题解析:试题答案10m;5m
142、判断题 风力机支撑系统的功能将力矩从主齿轮上的齿轮安装盘传递到机舱底盘。()
点击查看答案
本题答案:对
本题解析:暂无解析
143、填空题 无论高压设备是否带电,工作人员不得单独移开或越过遮拦进行工作;若有必要移开遮拦时,应()。
点击查看答案
本题答案:有监护人在场,并符合设备不停电时的安全距离
本题解析:试题答案有监护人在场,并符合设备不停电时的安全距离
144、填空题 风力发电装置主要包括:()、()、()等。
点击查看答案
本题答案:风轮机;传动变速装;发电机
本题解析:试题答案风轮机;传动变速装;发电机
145、单项选择题 风力机、风场设计软件包,应包括()个子包。
A、2
B、3
C、4
D、5
点击查看答案
本题答案:C
本题解析:暂无解析
146、问答题 风力机归纳起来,可分为哪两大类?
点击查看答案
本题答案:(1)水平轴风力机,风轮的旋转轴与风向平行,
本题解析:试题答案(1)水平轴风力机,风轮的旋转轴与风向平行,
(2)垂直轴风力机,风轮的旋转轴垂直于地面或气流方向。
147、问答题 简述轻型结构叶片的优缺点?
点击查看答案
本题答案:优点:
(1)在变距时驱动质量小,很小的叶片
本题解析:试题答案优点:
(1)在变距时驱动质量小,很小的叶片机构动力下产生很高的调节速度;
(2)减少风力发电机组总重量;
(3)风轮的机械刹车力矩很小;
(4)周期振动弯矩由于自重减轻而很小;
(5)减少了材料成本;
(6)运费减少;
(7)便于安装。
缺点:
(1)要求叶片结构必须可靠,制造费用高;
(2)所用材料成本高;
(3)风轮推力小,风轮在阵风时反应敏感,因此,要求功率调节也要快;
(4)材料特性及载荷计算必须很准确,以免超载。
148、填空题 运行时有较高的风能利用系数,既有较大的转矩,而且起动风速低,因此适用于()。
点击查看答案
本题答案:提水
本题解析:试题答案提水
149、单项选择题 根据风轮机的()设计风轮机的转速和风轮直径。
A、设计风速和功率
B、风场风密度
C、高速特性曲线
D、以上都是
点击查看答案
本题答案:D
本题解析:暂无解析
150、填空题 最适用于系统短期需要大流量场合快速回路是()。
点击查看答案
本题答案:液压缸差动连接快速回路
本题解析:试题答案液压缸差动连接快速回路
151、填空题 变速恒频风电机组的优点:①()②()③()。缺点:①()②()③()。
点击查看答案
本题答案:机电转换效率高;不会发生过发电现象;对电网影响小;电机结构较
本题解析:试题答案机电转换效率高;不会发生过发电现象;对电网影响小;电机结构较为复杂;风轮转速和电机控制较复杂,运行维护难度较大;增加一套电子变流设施
152、填空题 登塔维护检修时,不得()同时登塔。登塔应使用()、()、()。零配件及工具应单独放在工具袋内。工具袋应背在()或与()相连。工作结束后,所有()应关闭。
点击查看答案
本题答案:两个人在同一段塔筒内;安全带;戴安全帽;肩上;安全绳;平台窗
本题解析:试题答案两个人在同一段塔筒内;安全带;戴安全帽;肩上;安全绳;平台窗口
153、问答题 常口对口(鼻)呼吸时,应注意些什么?
点击查看答案
本题答案:(1)每次吹气量不要过大,大于1200ml会造成胃扩张
本题解析:试题答案(1)每次吹气量不要过大,大于1200ml会造成胃扩张吹气时不要按压胸部;
(2)儿童伤员需视年龄不同而异,其吹气量约为500ml左右,以胸廊能上抬时为宜;
(3)抢救一开始的首次吹气两次,每次时间约1~1.5s;
(4)有脉搏无呼吸的伤员,则每5s吹一口气,每分钟吹气12次;
(5)口对鼻的人工呼吸,适用于有严重的下颁及嘴唇外伤,牙关紧闭,下颌骨骨折等情况的伤员,难以采用口对口吹气法;
(6)婴、幼儿急救操作时要注意,因婴、幼儿韧带、肌肉松弛,故头不可过度后仰,以免气管受压,影响气道通畅,可用一手拖颈,以保持气道平直;另一方面婴、幼儿口鼻开口均较小,位置又很靠近,抢救者可用口帖住婴幼儿口与鼻的开口处,施行口对口鼻呼吸。
154、填空题 一般齿轮箱都设置有冷却器和加热器,当油温低于()℃时,加热器会自动对油池进行加热;当油温高于()℃时,油路会自动进入冷却器管路,经冷却降温后再进入润滑油路。
点击查看答案
本题答案:10;65
本题解析:试题答案10;65
155、问答题 什么是风电机组点检工作?
点击查看答案
本题答案:风电机组点检工作是利用感官和简单的仪表工具,精密检测设
本题解析:试题答案风电机组点检工作是利用感官和简单的仪表工具,精密检测设备和仪器,按照预先制订的技术标准,定人、定点、定标准、定周期、定方法、定量地进行巡视检查工作。通过科学分析、准设备易劣化部位,全面掌握设备的技术状况和劣化程度的一种检查管理方法。
156、填空题 需要变更工作班成员时,须经()同意,在对新工作人员()手续后,方可进行工作。非特殊情况下不得变更工作负责人,如确需变更工作负责人应(),工作许可人将变动情况记录在工作票上。工作负责人允许变更一次。原、现工作负责人应()进行交接。
点击查看答案
本题答案:工作负责人;进行安全交底;由工作票签发人同意并通知工作许可人
本题解析:试题答案工作负责人;进行安全交底;由工作票签发人同意并通知工作许可人;对工作任务和安全措施
157、填空题 风能大小与()、()和()成()。
点击查看答案
本题答案:气流通过的面积;空气密度;气流速度的立方;正比
本题解析:试题答案气流通过的面积;空气密度;气流速度的立方;正比
158、填空题 风力发电齿轮箱属于闭式齿轮传动类型,其主要的失效形式是()与(),故选择润滑油时,重点保证有足够的()和()。
点击查看答案
本题答案:胶合;点蚀;油膜厚度;边界膜强度
本题解析:试题答案胶合;点蚀;油膜厚度;边界膜强度
159、填空题 根据物质形态,润滑剂分为四种:()润滑、()润滑、()润滑、()润滑。
点击查看答案
本题答案:气体;液体;半固体;固体
本题解析:试题答案气体;液体;半固体;固体
160、名词解释 英译汉:wind vane
点击查看答案
本题答案:风向
本题解析:试题答案风向
161、问答题 何为风能?风能可用什么来描述?
点击查看答案
本题答案:空气流动具有的动能称为风能。
风能可用&ld
本题解析:试题答案空气流动具有的动能称为风能。
风能可用“风能密度”来描述。空气在一秒钟时间里以速度V流过单位面积产生的动能称为“风能密度”,风能密度与平均风速V的三次方成正比。
162、填空题 风轮的减速比它指的是()与()的比值。
点击查看答案
本题答案:风轮叶片叶尖线速;来流风速
本题解析:试题答案风轮叶片叶尖线速;来流风速
163、问答题 龙源集团对风电新建工程移交生产的时间如何规定的?
点击查看答案
本题答案:单机组240小时试运行预验收证书签署的同时签署&ldq
本题解析:试题答案单机组240小时试运行预验收证书签署的同时签署“单机组移交生产交接书”,并视同单机组移交生产交接完成。整体移交生产要求整体工程最后一台机组240小时试运验收签字结束后1个月内完成。
164、填空题 ()是评定风轮气动特性优劣的主要参数。
点击查看答案
本题答案:风能利用系数
本题解析:试题答案风能利用系数
165、填空题 风能利用是否经济,取决于风力机轮毂中心高处最小()。其界线目前取在大约()m/s,根据实际的利用情况,这一界线值可能高一些或低一些。
点击查看答案
本题答案:年平均风速;5
本题解析:试题答案年平均风速;5
166、问答题 简述风电机组液压系统的组成及作用?
点击查看答案
本题答案:液压系统一般由电动机、油泵、油箱、过滤器、管路及各种液
本题解析:试题答案液压系统一般由电动机、油泵、油箱、过滤器、管路及各种液压阀等组成。液压系统主要是为油缸和制动器提供必要的驱动压力,有的强制润滑型齿轮箱亦需要液压系统供油。油缸主要是用于驱动定浆距风轮的叶尖制动装置或变浆距风轮的变浆机构。
167、问答题 灭火剂的选用原则是什么?
点击查看答案
本题答案:(1)灭火的有效性;
(2)对设备的影响;<
本题解析:试题答案(1)灭火的有效性;
(2)对设备的影响;
(3)对人体的影响。
168、填空题 风轮扫风面积是指()。
点击查看答案
本题答案:风轮在旋转平面上的投影面积
本题解析:试题答案风轮在旋转平面上的投影面积
169、问答题 说出风能利用对环境的不利影响?
点击查看答案
本题答案:视觉侵扰、土地使用、对生态环境的影响,噪声和对电信的干
本题解析:试题答案视觉侵扰、土地使用、对生态环境的影响,噪声和对电信的干扰都是风力发电的不足之处;这些负面影响可以通过精心设计而减少。
170、填空题 根据()、()和()原则,可将全国风能资源划分为()个大区、()个小区。
点击查看答案
本题答案:第一级区划指标;第二级区划指标;第三级区划指标;4 ;30
本题解析:试题答案第一级区划指标;第二级区划指标;第三级区划指标;4 ;30
171、判断题 与恒速/恒频系统相比,变速/恒频发电机系统的风/电转换装置的电气部分变得较为复杂和昂贵。()
点击查看答案
本题答案:对
本题解析:暂无解析
172、名词解释 英译汉:remote
点击查看答案
本题答案:远控
本题解析:试题答案远控
173、问答题 事故调查必须实事求是,尊重科学,做到“四不放过”,四不放过内容是什么?
点击查看答案
本题答案:事故原因未查清不放过,事故责任者未受到处理不放过,没有
本题解析:试题答案事故原因未查清不放过,事故责任者未受到处理不放过,没有采取防范措施不放过,事故责任者和应受教育者没有受到教育不放过。
174、问答题 如何降低齿轮箱噪声?
点击查看答案
本题答案:1.适当提高齿轮箱精度,进行齿形修缘,增加啮合重合度;
本题解析:试题答案1.适当提高齿轮箱精度,进行齿形修缘,增加啮合重合度;
2.提高轴和轴承的刚度;
3.合理布置轴系和轮系传动,避免发生共振。
175、填空题 在风力发电机组中,常采用()联轴器、()联轴器两种方式。
点击查看答案
本题答案:刚性;弹性
本题解析:试题答案刚性;弹性
176、问答题 试述液压传动的工作原理。
点击查看答案
本题答案:液压传动的工作原理就是利用液体的压力传递运动和动力。先
本题解析:试题答案液压传动的工作原理就是利用液体的压力传递运动和动力。先利用动力元件将原动机的机械能转换成液体的压力能,再利用执行元件将体液的压力能转换为机械能,驱动工作部件运动。液压系统工作时,还可利用各种控制元件对油液进行压力、流量和方向的控制与调节,以满足工作部件对压力、速度和方向上的要求。
177、填空题 齿轮箱齿面损失的表现形式有早期点蚀、()、()和表面压碎等。
点击查看答案
本题答案:破坏性点蚀;齿面剥落
本题解析:试题答案破坏性点蚀;齿面剥落
178、单项选择题 风电场的选址一般分()两个步骤。
A、预选和定点
B、筛选和定点
C、预选和筛选
D、定点观测和可行性的评价
点击查看答案
本题答案:A
本题解析:暂无解析
179、问答题 风力发电机组的日常运行工作内容主要包括哪些?
点击查看答案
本题答案:风力发电机组的日常运行工作内容包括通过中控室的监测机算
本题解析:试题答案风力发电机组的日常运行工作内容包括通过中控室的监测机算机,监视机组的各项参数变化及运行状态,并按规定认真填写《风电场运行日志》,当发现一场变化趋势时,应对该机组的运行状态实施连续监视,并根据实际情况采取相应的处理措施;遇到常规故障,应及时通知维护人员,应根据当时的气候条件做相应的检查处理,并在《风电场运行日志》上做好相应的故障处理记录及质量验收记录;对于非常常规故障,应及时通知相关部门,并积极配来源:91考试网 91Exam.org合处理解决。
180、单项选择题 当电网中并入的风力电量达到一定程度,会引起电压不稳定,一般建议不大于()。
A、5%
B、10%
C、15%
D、25%
点击查看答案
本题答案:B
本题解析:暂无解析
181、填空题 齿轮油应()进行一次化验,请专门的机构的进行各项指标的监测。
点击查看答案
本题答案:每年
本题解析:试题答案每年
182、填空题 设计风力机桨叶叶型的规则是:低速风力机()叶片,高速风力机()叶片。
点击查看答案
本题答案:多;少
本题解析:试题答案多;少
183、填空题 风力发电机轴承所用润滑要求有良好的()。
点击查看答案
本题答案:高温性能和抗磨性能
本题解析:试题答案高温性能和抗磨性能
184、单项选择题 NAPT可以对哪些元素进行转换().
A.MAC地址+端口号
B.IP地址+端口号
C.只有MAC地址
D.只有IP地址
点击查看答案
本题答案:B
本题解析:暂无解析
185、填空题 新建、扩建风电场的生产人员必须经过()教育、()教育、()培训,取得相关合格证后方可上岗工作。
点击查看答案
本题答案:安全;岗位技术;风电的专业基础知识
本题解析:试题答案安全;岗位技术;风电的专业基础知识
186、填空题 高压断路器的主要结构一般大体可分为()部分、()部分、()部分和()部分。
点击查看答案
本题答案:导流;绝缘;灭弧;操作机构
本题解析:试题答案导流;绝缘;灭弧;操作机构
187、填空题 风轮功率的大小取决于()。
点击查看答案
本题答案:风轮直径
本题解析:试题答案风轮直径
188、问答题 登塔维护检查时,为什么不得两个人在同一段塔筒内同时登塔?
点击查看答案
本题答案:登塔维护检查时,如两人在同一段塔筒内同时登塔,上部登塔
本题解析:试题答案登塔维护检查时,如两人在同一段塔筒内同时登塔,上部登塔人员发生人员坠落或零配件及检修工具坠落时对下部登塔人员会造成人身威胁、伤害。
189、填空题 中国政府提出的风电规划目标是2010年全国风电装机达到(),到2020年风电装机达到()。2020年之后风电超过核电成为第三大主力发电电源,在2050年前后(),超过水电,成为第二大主力发电电源。
点击查看答案
本题答案:500万千瓦;3000万千瓦;达到或超过4亿千瓦
本题解析:试题答案500万千瓦;3000万千瓦;达到或超过4亿千瓦
190、判断题 交接班会议结束后交接班人员应共同到场内进行一次巡视。()
点击查看答案
本题答案:对
本题解析:暂无解析
191、名词解释 英译汉:control
点击查看答案
本题答案:控制
本题解析:试题答案控制
192、问答题 我国最大风能区是指哪些区域?
点击查看答案
本题答案:东南沿海及其岛屿。这一地区,有效风能密度大于、等于20
本题解析:试题答案东南沿海及其岛屿。这一地区,有效风能密度大于、等于200W/m的等值线平行于海岸线,沿海岛屿的风能密度在300W/m以上,有效风力出现时间百分率达80~90%,大于、等于8m/s的风速全年出现时间约7000~8000h,大于、等于6m/s的风速也有4000h左右。
193、填空题 叶轮旋转时叶尖运动所生成圆的投影面积称为()。
点击查看答案
本题答案:扫掠面积
本题解析:试题答案扫掠面积
194、多项选择题 属于工作票签发人的安全责任有()。
A.工作必要性
B.工作是否安全
C.正确安全的组织工作
D.工作票上所填安全措施是否正确完备
点击查看答案
本题答案:A, B, D
本题解析:暂无解析
195、名词解释 风速
点击查看答案
本题答案:风速是单位时间内空气在水平方向上所移动距离。
本题解析:试题答案风速是单位时间内空气在水平方向上所移动距离。
196、问答题 结合所在风电场的实际情况简述升压站计算机监控系统的系统结构?
点击查看答案
本题答案:(1)升压站计算机监控系统采用分层分布式系统结构,分主
本题解析:试题答案(1)升压站计算机监控系统采用分层分布式系统结构,分主控层和现地控制层(间隔层),中间由监控网络相连。间隔层主要由保护单元、测控装置等组成。
(2)现地控制层的220kV线路保护及测控装置、220kV主变保护及测控装置等具备以太网接口,可直接接入工业以太网。
(3)直流系统及35kV出线保护及测控装置则均通过规约转换器接入工业以太网。主变保护、母线保护和220kV线路的保护设备独立,220kV测控装置采用面向设备单元化设计。
(4)35kV出线保护及测控装置采用一体化的微机综合保护测控装置,装在各自的开关柜上。
(5)主控级设置2台主计算机/操作员工作站、1台工程师工作站、2台打印机、1台传真机、2套逆变电源装置(和风电场监控系统共用)、2套远动装置以及相应的配套软件等,以完成升压站各主设备的数据采集及运行参数的监视、控制操作、故障报警、事件顺序记录及事故追忆、数据存储及与上级调度系统的通信等功能。运行人员可通过彩色屏幕显示器和键盘、鼠标等实现对升压站主设备的监控。
(6)监控网络采用双网结构,传输介质采用光纤,为增强可靠性,网络采用100M高速工业级以太网。
(7)计算机监控系统通过双远动装置(主/备方式自动切换)与上级调度部门进行联系,远动信息按一收二发方式分别送往内蒙中调,锡盟区调。远动装置具有遥测、遥信、遥控、遥调功能。
197、填空题 直流发电系统所用的发电机主要是()和(),经()整流后输出直流电。
点击查看答案
本题答案:交流永磁发电机;无刷自励发电机;整流器
本题解析:试题答案交流永磁发电机;无刷自励发电机;整流器
198、问答题 停送电倒闸操作的顺序是?
点击查看答案
本题答案:停电拉闸操作应按照断路器(开关)—&mda
本题解析:试题答案停电拉闸操作应按照断路器(开关)——负荷侧隔离开关(刀闸)——电源侧隔离开关(刀闸)的顺序依次进行,送电合闸操作应按与上述相反的顺序进行。严禁带负荷拉合隔离开关(刀闸)。
199、填空题 合成油的主要优点表现为在低温状况下,合成油具有较好的();在温度升高时,可以较好地抑制()降低;高温时化学稳定性较好.可减少油泥凝结物和残碳的产生。
点击查看答案
本题答案:流动性;粘度
本题解析:试题答案流动性;粘度
200、名词解释 英译汉:sensor
点击查看答案
本题答案:传感器
本题解析:试题答案传感器
题库试看结束后
微信扫下方二维码即可打包下载完整版《★风电专业知识考试》题库
手机用户可保存上方二维码到手机中,在微信扫一扫中右上角选择“从相册选取二维码”即可。
题库试看结束后微信扫下方二维码即可打包下载完整版《风电专业知识考试:风电专业知识考试》题库,分栏、分答案解析排版、小字体方便打印背记!经广大会员朋友实战检验,此方法考试通过率大大提高!绝对是您考试过关的不二利器!
手机用户可保存上方二维码到手机中,在微信扫一扫中右上角选择“从相册选取二维码”即可。
微信搜索关注"91考试网"公众号,领30元,获取公务员事业编教师考试资料40G