手机用户可
保存上方二维码到手机中,在
微信扫一扫中右上角选择“从
相册选取二维码”即可。
1、问答题 差动电阻式观测仪器力学特性参数率定的项目有哪些?
点击查看答案
本题答案:差动电阻式观测仪器力学特性参数率定的项目有最小读数,端
本题解析:试题答案差动电阻式观测仪器力学特性参数率定的项目有最小读数,端基线性度误差、回差、重复性、温度补偿系数。
2、问答题 计算题:已知差动电阻式钢筋计冰点电阻为53.40Ω,温度常数6.90℃/Ω,第一次实测电阻值为Rt=55.10Ω,Rs=57.70Ω,几天后实测电阻为Rs=58.00Ω,假设仪器各芯线电阻值都相等,无变化,问第二次实测计算温度是多少?
点击查看答案
本题答案:由Rs=R1+R 2+r1+r4及Rt=R1+R2
本题解析:试题答案由Rs=R1+R2+r1+r4及Rt=R1+R2
得r1+r4=Rs-Rt=57.70-55.10=2.60Ω
则Rt’=Rs’-(r1+r4)=58.00-2.60=55.40Ω
故第二次实测计算温度为:
t=a’(Rt-R0)=6.9×(55.40-53.40)=13.80℃
3、填空题 当发现电桥线路不通时,用万用表检查()、()、()、()。
点击查看答案
本题答案:桥臂;检流计回路;电源回路;内附检流计和外接检流计
本题解析:试题答案桥臂;检流计回路;电源回路;内附检流计和外接检流计
4、问答题 照准误差主要取决于什么?
点击查看答案
本题答案:这主要取决于望远镜的放大倍数和视准线长度。
本题解析:试题答案这主要取决于望远镜的放大倍数和视准线长度。
5、问答题 什么是带状地形图?
点击查看答案
本题答案:用于线形工程的选线、勘察设计或管理的地形图叫带状地形图
本题解析:试题答案用于线形工程的选线、勘察设计或管理的地形图叫带状地形图。
6、单项选择题 直伸网监测时,一测回2C变化范围不得超过()
A、9秒
B、8秒
C、6秒
D、13秒
点击查看答案
本题答案:B
本题解析:暂无解析
7、填空题 为确保监测自动化系统可靠运行,应进行()。
点击查看答案
本题答案:防雷设计
本题解析:试题答案防雷设计
8、填空题 电阻应变片是一种()元件。
点击查看答案
本题答案:把变形转化为电阻变化的
本题解析:试题答案把变形转化为电阻变化的
9、单项选择题 某数为0.3445米,要保留三位小数时,凑正为()。
A、0.345
B、0.343
C、0.344
点击查看答案
本题答案:C
本题解析:暂无解析
10、填空题 量水堰一般选用三角堰或矩形堰,三角堰适用于流量为()的量测范围;矩形堰适用于流量大于()的情况;当流漏量小于()时,可采用容积法。
点击查看答案
本题答案:1L/S~70L/S;50L/S;1L/S
本题解析:试题答案1L/S~70L/S;50L/S;1L/S
11、问答题 经纬仪的三轴误差是什么?
点击查看答案
本题答案:1)视准轴误差;
2)横轴误差;
本题解析:试题答案1)视准轴误差;
2)横轴误差;
3)竖轴误差。
12、填空题 垂直位移变化则规定:下降为(),上升为()。
点击查看答案
本题答案:正;负
本题解析:试题答案正;负
13、填空题 波带板激光准直系统主要由激光器点光源()和()三部分组成。
点击查看答案
本题答案:波带板;接收靶
本题解析:试题答案波带板;接收靶
14、填空题 地球表面上的任何物体同时受到两种力的作用,一种是(),另一种是()。
点击查看答案
本题答案:地球的引力;地球自转的离心力
本题解析:试题答案地球的引力;地球自转的离心力
15、问答题
计算题:进行水准仪i角检校时,在J1站测得a1=300.916cm,b1=298.356cm,在J2站测得a2=311.140cm,b2=308.825cm,
求i角和J2站标尺的正确读数a2’,b2’
点击查看答案
本题答案:Δ=[(a2-b2)-(a1-b1)]*0
本题解析:试题答案Δ=[(a2-b2)-(a1-b1)]*0.5=-1.225mm
所以:i=10’’△=-12.’’25<±15’’
a2’=a2-2△=311.140-2(-0.1225)=311.385cm
b2’=b2-△=308.825-(-0.1225)=308.948cm
16、填空题 船闸视准线观测,半测回两次读数差不得超过(),测回差限差为()。
点击查看答案
本题答案:0.7mm;0.5mm
本题解析:试题答案0.7mm;0.5mm
17、填空题 船闸右闸墙视准线设站点由()倒垂控制,后视点由()倒垂控制。
点击查看答案
本题答案:IP(10);IP(09)
本题解析:试题答案IP(10);IP(09)
18、问答题 试分析作用到重力坝的荷载有哪些,如何考虑荷载的组合?
点击查看答案
本题答案:有水平力和垂直力两种,前者有指向上游与指向下游两种,指
本题解析:试题答案有水平力和垂直力两种,前者有指向上游与指向下游两种,指向下游的有水库静水压力、泥沙压力、浪压力、冰压力及坝体地震惯性力和地震动压力等,指向上游的有下游水压力和土压力,垂直力有坝体自重(向下)与坝底扬压力(向上),在设计或验算时,必须根据可能同时发生的情况进行荷载组合,荷载组合时分为基本组合和特殊组合。
19、单项选择题 一组观测值真误差为:7,2,-2,-8,1,0求得其中误差为()
A、±4.9
B、±4.5
C、±1.8
D、±3.5
点击查看答案
本题答案:B
本题解析:暂无解析
20、问答题 电子计算机,按其规模可分为哪五类?
点击查看答案
本题答案:巨型电子计算机、大型电子计算机、中型电子计算机、中小型
本题解析:试题答案巨型电子计算机、大型电子计算机、中型电子计算机、中小型电子计算机、微型电子计算机。
21、问答题 试述分析接缝有哪些变化规律?
点击查看答案
本题答案:1)直线形重力坝的横缝开合(沿坝轴线方向),主要与坝体
本题解析:试题答案1)直线形重力坝的横缝开合(沿坝轴线方向),主要与坝体混凝土温度有关,温度高时缝闭合,温度低时缝张开,以年为周期成正弦曲线变化,比气温有一些滞后;水库水位对重力坝的横缝开度没有明显影响,但对拱坝的横缝开合有影响。
2)横缝上下方向及沿垂直方向的错动大致有同位移变化相同的规律。
22、填空题 倒锤线设备由(),(),(),()和观测平台组成。
点击查看答案
本题答案:浮体组;不锈钢丝;倒锤孔;锚块
本题解析:试题答案浮体组;不锈钢丝;倒锤孔;锚块
23、单项选择题 容积法测渗流,每次截水时间不得小于()
A、20秒
B、10秒
C、30秒
点击查看答案
本题答案:B
本题解析:暂无解析
24、问答题 根据国内外一些坝的实测资料坝体孔隙压力的变化和分布有什么特点?
点击查看答案
本题答案:1)坝内各点孔隙压力值随水库水位的涨落而升降。
本题解析:试题答案1)坝内各点孔隙压力值随水库水位的涨落而升降。
2)坝内孔隙压力变化滞后于水库水位的变化。
3)近上游侧的孔隙压力变化还受混凝土温度变化影响。
4)在横向分布上孔隙压力的数值和年变幅,随着测点到上游面距离的增加而减少。
5)孔隙压力的大小和坝体抗渗性能有密切关系。
6)纵向孔隙压力的分布是不均匀的。
25、问答题 研究测量误差的目的和任务是什么?
点击查看答案
本题答案:研究测量误差的目的是为了找出误差产生的规律,消除或减弱
本题解析:试题答案研究测量误差的目的是为了找出误差产生的规律,消除或减弱测量误差对测量成果的影响;研究测量误差的任务一是进行数据处理,求待定量的最佳估值,二是评定观测成果的质量。
26、问答题 什么叫视准轴误差?
点击查看答案
本题答案:视准轴不垂直于横轴对水平方向读数的影响,称为视准轴误差
本题解析:试题答案视准轴不垂直于横轴对水平方向读数的影响,称为视准轴误差。
27、单项选择题 引张线观测时,各测点测回之差不得超过()
A、0.2mm
B、0.1mm
C、0.3mm
点击查看答案
本题答案:A
本题解析:暂无解析
28、问答题 万安电站初期运行装机容量?保证出力、年发电量为多少?
点击查看答案
本题答案:万安电站初期运行装机容量为40万千瓦,保证出力为4.7
本题解析:试题答案万安电站初期运行装机容量为40万千瓦,保证出力为4.7万千瓦,年发电量为11.5亿度。
29、单项选择题 电阻温度计的电缆是几蕊的()。
A、二蕊
B、三蕊
C、四蕊
点击查看答案
本题答案:B
本题解析:暂无解析
30、填空题 导线法的精度,主要取决于()和()。
点击查看答案
本题答案:测角;量边
本题解析:试题答案测角;量边
31、单项选择题 直伸网监测时,半测回归零差不得超过()
A、8秒
B、9秒
C、5秒
D、6秒
点击查看答案
本题答案:D
本题解析:暂无解析
32、单项选择题 作用在物体上某一点的两力的合力大小,等于()。
A、两个力之和;
B、两个力之差;
C、两个力之积;
D、两个力的矢量和。
点击查看答案
本题答案:D
本题解析:暂无解析
33、填空题 大坝安全监测自动化系统宜采用()。
点击查看答案
本题答案:分布式系统
本题解析:试题答案分布式系统
34、单项选择题 我国电力系统规定,对大容量的电力系统,交流电频率应保持在50HZ,其偏差不得超过()。
A、±0.2HZ
B、±0.5HZ
C、±0.8HZ
点击查看答案
本题答案:A
本题解析:暂无解析
35、填空题 扬压力监测孔在建基面以下的深度,不宜大于()m。
点击查看答案
本题答案:1.0
本题解析:试题答案1.0
36、单项选择题 混凝土坝安全监测技术规范规定:观测仪器力学性能检验的各项误差中,重复性误差应小于或等于()。
A、0.1%;
B、0.5%;
C、1%;
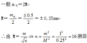
D、2%。
点击查看答案
本题答案:B
本题解析:暂无解析
37、填空题 所谓水平面,就是与()。
点击查看答案
本题答案:水准面相切并在切点处与铅垂线正交的面
本题解析:试题答案水准面相切并在切点处与铅垂线正交的面
38、问答题
计算题:如图所示,导线呈一闭合三角形,若已知AB边坐标方位角为αAB=168°16′,求其它两条边的坐标方位角。

点击查看答案
本题答案:αBC=180°+61°4
本题解析:试题答案αBC=180°+61°42′-360°+αAB=49°58′
αCA=180°+75°28′+αBC=305°26′
39、填空题 资料分析的项目、内容和方法应根据实际情况而定,但对于()、()、()及()必须进行分析。
点击查看答案
本题答案:变形量;渗漏量;扬压力;巡视检查的资料
本题解析:试题答案变形量;渗漏量;扬压力;巡视检查的资料
40、问答题 电桥使用如何测电阻?
点击查看答案
本题答案:1)将仪器电缆按颜色相应地接于电桥上,打开检流计指针开
本题解析:试题答案1)将仪器电缆按颜色相应地接于电桥上,打开检流计指针开关,调整检流计G的指针使之指零;
2)当仪器引出电缆为三芯时,将“3,4”开关指向“3”,当为四芯电缆时,指向“4”;
3)将“ε,t”开关指向“电阻值”或“t”,按下粗调电源开关,调整四个可变电阻,使检流计指针指零,然后松开粗调,按下精调开关,精调可变电阻,使检流计指零,此时旋纽上的指示数即为仪器电阻值。
41、填空题 在纵缝内设置足够数量的键槽的目的是为了在接缝之间传递()和()。
点击查看答案
本题答案:剪力;压力
本题解析:试题答案剪力;压力
42、单项选择题 尽可能使经纬仪与观测目标同高,并要求α角小于3°,是为了消除()。
A、视准轴误差
B、横轴误差
C、竖轴误差
点击查看答案
本题答案:B
本题解析:暂无解析
43、问答题 计算题:已知坝内一扬压力观测孔口标高为262.40米,今测得孔口距孔内水面距离为10m,求孔内水面高程,若同时测得坝上下游水位分别为290m和240m,求该孔的渗压系数。
点击查看答案
本题答案:(1)孔内水面高程:H孔=262.40-10=252.
本题解析:试题答案(1)孔内水面高程:H孔=262.40-10=252.40m
(2)扬压系数:α=252.40-240/(290-240)=24.8%
44、问答题 电阻温度计常用型号只有哪一种;测温范围为多少℃,测温精度为多少?
点击查看答案
本题答案:电阻温度计常用型号只有DW一种;
测温范围为
本题解析:试题答案电阻温度计常用型号只有DW一种;
测温范围为-30~80℃,测温精度为±0.3℃
45、单项选择题
150kg/cm2应力换算成MPa应为()
A、15MPa
B、1.5MPa
C、0.15MPa
点击查看答案
本题答案:A
本题解析:暂无解析
46、填空题 觇标主要项目的检验与校正有:水准轴应()竖轴;活动觇标的零位测定;觇标图案中心线应与竖轴()。
点击查看答案
本题答案:垂直;重合
本题解析:试题答案垂直;重合
47、单项选择题 受力物体上的任一点处总可以找到()个主应力。
A、1;
B、2;
C、3;
D、4。
点击查看答案
本题答案:C
本题解析:暂无解析
48、问答题 一条导线长度500米,中误差为±10毫米,另一条导线长200米,中误差为±4毫米,这两条导线的精度是否相等?
点击查看答案
本题答案:第一条导线的相对中误差:f1=10mm/500m=1/
本题解析:试题答案第一条导线的相对中误差:f1=10mm/500m=1/50000
第二条导线的相对中误差:f2=4mm/200m=1/50000
这两条导线的精度都是五万分之一,所以测量精度相等。
49、单项选择题 直伸网监测时,各测回方向值之差不得超过()
A、5秒
B、6秒
C、9秒
点击查看答案
本题答案:A
本题解析:暂无解析
50、问答题 为什么重力坝要设计成三角形断面?
点击查看答案
本题答案:由于重力坝靠自重产生的摩擦力以抵抗水平推力,而水平推力
本题解析:试题答案由于重力坝靠自重产生的摩擦力以抵抗水平推力,而水平推力主要是 水平水压力,其分布呈三角形,故坝体自重也应成三角形。另一方面重力坝断面在上游侧设计成直角三角形或接近直角三角形后,上游面压力最大,这样将抵消在上游面产生的拉应力,所以重力坝要设计成三角形断面。
51、填空题 固结灌浆不仅能够改善基岩的()和(),还能提高坝基表层岩石的不透性。
点击查看答案
本题答案:强度;整体性
本题解析:试题答案强度;整体性
52、填空题 差动电阻式观测仪器密封绝缘性能率定项目有:在()和()下的绝缘电阻。
点击查看答案
本题答案:高低温;高压水
本题解析:试题答案高低温;高压水
53、问答题 人体与带电导体的最小安全距离是如何规定的?
点击查看答案
本题答案:10KV及以下的安全距离为0.70米。
35
本题解析:试题答案10KV及以下的安全距离为0.70米。
35KV的安全距离为1.00米。
110KV的安全距离为1.50米。
220KV的安全距离为3.00米。
54、填空题 水平位移观测的方法有:活动觇标法,小角度法,(),(),(),()和激光准直法等。
点击查看答案
本题答案:倒垂法;引张线法;前方交会法;导线法
本题解析:试题答案倒垂法;引张线法;前方交会法;导线法
55、单项选择题 用流速法观测渗流量,两次观测之差不得大于两次平均值的()
A、5﹪
B、10﹪
C、20﹪
点击查看答案
本题答案:B
本题解析:暂无解析
56、问答题 国产应变计是按仪器的什么来划分的?国标中仪器的标距有哪几种?其测温精度为多少?
点击查看答案
本题答案:国产应变计是按仪器的标距来划分的。
国标中仪
本题解析:试题答案国产应变计是按仪器的标距来划分的。
国标中仪器的标距有100、180、250毫米三种,其测温精度为±0.5℃
57、单项选择题 安全带或腰绳在使用前应作检查试验,试验时间为()。
A、2分钟
B、5分钟
C、10分钟
点击查看答案
本题答案:B
本题解析:暂无解析
58、问答题 计算题:用30M的尺丈量120m的距离,若尺段的中误差为20mm,全长的中误差为多少?
点击查看答案
本题答案:全长的中误差M为:
M=±(2
本题解析:试题答案全长的中误差M为:
M=±(20*20+20*20+20*20+20*20)0.5
=±40毫米
59、问答题 电器设备的电压等级按带电部分对地电压分为哪几类?
点击查看答案
本题答案:高压:250V以上者。低压:250V及以下者。
本题解析:试题答案高压:250V以上者。低压:250V及以下者。
安全电压:36V及以下者。
60、单项选择题 用于三,四等水准测量的仪器,i角不得大于()
A、30秒
B、20秒
C、15秒
点击查看答案
本题答案:B
本题解析:暂无解析
61、填空题 所谓比例尺精度就是图上()。
点击查看答案
本题答案:0.1mm按比例尺求得的地面水平长度
本题解析:试题答案0.1mm按比例尺求得的地面水平长度
62、问答题 重力坝的泄流方式有哪几种?
点击查看答案
本题答案:有坝顶溢流式、大孔口溢流式、深孔泄水式三种。
本题解析:试题答案有坝顶溢流式、大孔口溢流式、深孔泄水式三种。
63、单项选择题 二等水准测量,基辅分划读数差,不得超过()
A、±0.4mm
B、±0.5mm
C、±0.6mm
点击查看答案
本题答案:A
本题解析:暂无解析
64、单项选择题 在水准测量中,仪器安置在前、后距离相等的地方,可以消除()。
A、水准管轴误差;
B、竖直轴误差;
C、横轴误差;
D、视准轴误差。
点击查看答案
本题答案:D
本题解析:暂无解析
65、问答题 根据国内外大坝的情况,试述坝基扬压力分布有什么特点?
点击查看答案
本题答案:(1)纵向扬压力分布与坝的高度大体相适应;
本题解析:试题答案(1)纵向扬压力分布与坝的高度大体相适应;
(2)横向扬压力分布大体是上游侧高,下游侧低,中间呈折线变化。
(3)纵向扬压力系数的分布则取决于坝基防渗条件,防渗条件好的则扬压力系数小,反之则大。
66、问答题 计算题:已知坝坡坡度为1:m,量取坝横断面坡上两点间的距离为S米,求两点间的平距和高差?
点击查看答案
本题答案:平距=m×S/((1+m2))0.5
本题解析:试题答案平距=m×S/((1+m2))0.5
高差=S/((1+m2))0.5
67、问答题 土坝具有哪些特点?
点击查看答案
本题答案:土坝具有:就地取材、节省资金、结构简单、施工方便,另外
本题解析:试题答案土坝具有:就地取材、节省资金、结构简单、施工方便,另外对地基的要求较低等特点。
68、问答题 万安工程内观仪器种类有多少?哪几种?
点击查看答案
本题答案:有10种。有:应变计、无应力计、变形计、钢筋计、温度计
本题解析:试题答案有10种。有:应变计、无应力计、变形计、钢筋计、温度计、土压力盒、渗压计、裂缝计、测缝计、压应力计。
69、单项选择题 用于一二等水准测量的仪器,i角不得大于()
A、10秒
B、20秒
C、15秒
点击查看答案
本题答案:C
本题解析:暂无解析
70、问答题 试述内部观测资料质量控制的方法?
点击查看答案
本题答案:根据差动电阻式仪器的特性,一般只观测温度电阻和电阻比,
本题解析:试题答案根据差动电阻式仪器的特性,一般只观测温度电阻和电阻比,就可以计算出应变,应力等。但为了进行观测资料的质量控制,还可以测量包含电缆电阻在内的总电阻,以及黑白两芯线对调后的电阻比,利用上述4个值间的特性关系,就可以分析观测资料是否正常。对测值异常的仪器,可以加测一些分电阻,以做为进一步分析的依据。
(1)利用正反测电阻比之乘积,等于固定电阻平方的关系,来检验测值的可靠性,若正反测电阻比之积等于10000,则说明测值可靠,若差值较大,则说明异常。
(2)用检查分电阻的方法进行检验,如测得的分电阻与埋设前相比较相差较大,说明仪器不正常。
(3)对比分析温度和电阻比过程线,一个仪器的温度和电阻比的变化是遵循一定规律的,如果观测资料不符合这个规律,就说明测值异常。
71、单项选择题 我国电力系统规定,对大容量的电力系统,交流电频率应保持在50HZ,其偏差不得超过()。
A、±0.2HZ
B、±0.5HZ
C、±0.8HZ
点击查看答案
本题答案:A
本题解析:暂无解析
72、单项选择题 在水准测量中,仪器安置在前、后距离相等的地方,可以消除()。
A、水准管轴误差;
B、竖直轴误差;
C、横轴误差;
D、视准轴误差。
点击查看答案
本题答案:D
本题解析:暂无解析
73、填空题 溢流坝的消能措施有()消能()消能()消能和消力戽消能等形式。
点击查看答案
本题答案:挑流;底流;面流
本题解析:试题答案挑流;底流;面流
74、单项选择题 比例尺为1:2000的地形图,图上0.5mm代表实地()米
A、1000
B、100
C、1
点击查看答案
本题答案:C
本题解析:暂无解析
75、问答题 观测资料的分析方法可分为哪两种?
点击查看答案
本题答案:观测资料的分析方法可分为定性分析和定量分析两种。
本题解析:
试题答案观测资料的分析方法可分为定性分析和定量分析两种。
76、问答题 什么叫首曲线及计曲线?
点击查看答案
本题答案:按基本等高距描绘的等高线叫基本等高线,亦称首曲线。为了
本题解析:试题答案按基本等高距描绘的等高线叫基本等高线,亦称首曲线。为了判别等高线时计数方便,每五根首曲线加粗一根等高线,被加粗的等高线叫计曲线。
77、填空题 边角网包括()、()、()三种。
点击查看答案
本题答案:三角网;测边网;测角测边网
本题解析:试题答案三角网;测边网;测角测边网
78、填空题 利用()作为测量变形的变换手段称为弦钢弦式仪器。
点击查看答案
本题答案:钢弦的振动频率
本题解析:试题答案钢弦的振动频率
79、填空题 监测自动化系统设计应以(),遵循“()”原则,并应满足水电厂现代化管理的需求。
点击查看答案
本题答案:工程安全监测为目的;实用、可靠、先进、经济
本题解析:试题答案工程安全监测为目的;实用、可靠、先进、经济
80、单项选择题 电阻温度计的电缆是几蕊的()。
A、二蕊
B、三蕊
C、四蕊
点击查看答案
本题答案:B
本题解析:暂无解析
81、填空题 引张线观测需增减水箱水量,使钢丝高出尺面()mm为宜。
点击查看答案
本题答案:0.3-3.0
本题解析:试题答案0.3-3.0
82、问答题 浸润线测压管布设的原则是什么?
点击查看答案
本题答案:一般应选择最重要、最有代表性、而且能控制主要渗流情况以
本题解析:试题答案一般应选择最重要、最有代表性、而且能控制主要渗流情况以及预计有可能出现异常渗流的横断面作为浸润线观测断面,布置测压管。
83、问答题 计算题:某测压管测值为0.15MPa,已知H下=69.37m,H上=82.11m,水头折减系数为α=0.579,表座高程为63.85。问设计控制扬压高程?并判断实测扬压力水位是否符合设计要求?
点击查看答案
本题答案:扬压力控制值:
H控=α&tim
本题解析:试题答案扬压力控制值:
H控=α×(H上-H下)+H下
=0.579×(82.11-69.37)+69.37=76.75(m)
H实=0.15×102+63.85=79.15(m)
∵H实>H控
∴扬压力水位高于设计要求,不符合设计标准。
84、单项选择题 四等水准支线测量,必须进行往返观测或()观测。
A、一往;
B、两往;
C、单尺法;
D、双尺法。
点击查看答案
本题答案:B
本题解析:暂无解析
85、问答题 作图题:试绘出:加固的斜坡、未加固斜坡、加固的陡坎和未加固的陡坎的1∶500比例尺地形图图式。
点击查看答案
本题答案:
试题答案
86、问答题 防渗帷幕的主要作用是什么?
点击查看答案
本题答案:其主要作用是:降低扬压力,增加大坝的稳定性。
本题解析:试题答案其主要作用是:降低扬压力,增加大坝的稳定性。
87、填空题 容积法观测渗流量时,需将渗漏水引入容器内,测定渗漏水的容积和充水时间(),即可求得渗漏量,两次测值之差不得大于()。
点击查看答案
本题答案:一般为1min,且不得小于10s;平均值的5%
本题解析:试题答案一般为1min,且不得小于10s;平均值的5%
88、问答题 差动电阻式观测仪器温度特性参数率定的项目有哪些?
点击查看答案
本题答案:差动电阻式观测仪器温度特性参数率定的项目有:冰点电阻,
本题解析:试题答案差动电阻式观测仪器温度特性参数率定的项目有:冰点电阻,零上温度常数,零下温度常数。
89、问答题 什么叫交会法?
点击查看答案
本题答案:根据两个以上已知点,用方向或距离交会,确定待定点坐标和
本题解析:试题答案根据两个以上已知点,用方向或距离交会,确定待定点坐标和高程的方法叫交会法。
90、单项选择题 按菲列罗公式计算的测角中误差不得超过()
A、1秒
B、0.7秒
C、2秒
D、3秒
点击查看答案
本题答案:B
本题解析:暂无解析
91、填空题 基线丈量前的准备工作:整置()和定线,轴杆头()测量。
点击查看答案
本题答案:轴杆头;水准
本题解析:试题答案轴杆头;水准
92、填空题 船闸闸墙的水平位移量符号规定为:向()为正、背向()为负。
点击查看答案
本题答案:闸室中心
本题解析:试题答案闸室中心
93、填空题 测量上把某点沿()的距离,称为该点的绝对高程。
点击查看答案
本题答案:铅垂线方向到大地水准面
本题解析:试题答案铅垂线方向到大地水准面
94、问答题 计算题:一根名义长为D的钢尺与标准长度比较,得实际长为D1米,用这根尺量得两点之间的距离为L米,求改正后的距离L为多少?
点击查看答案
本题答案:△D=D-D1
△L=(△D/D)&time
本题解析:试题答案△D=D-D1
△L=(△D/D)×L
L=L+△L
95、单项选择题 作用在物体上某一点的两力的合力大小,等于()。
A、两个力之和;
B、两个力之差;
C、两个力之积;
D、两个力的矢量和。
点击查看答案
本题答案:D
本题解析:暂无解析
96、单项选择题
150kg/cm2应力换算成MPa应为()
A、15MPa
B、1.5MPa
C、0.15MPa
点击查看答案
本题答案:A
本题解析:暂无解析
97、填空题 前方交会法是利用在坝的下游岸边设置2个或3个()的工作基点,交会位移标点,测出交会角,从而计算出位移标点的()。
点击查看答案
本题答案:已知坐标;坐标
本题解析:试题答案已知坐标;坐标
98、问答题 什么叫地形测量学?
点击查看答案
本题答案:地形测量学是以小区域的地面形状和大小作为研究对象的一门
本题解析:试题答案地形测量学是以小区域的地面形状和大小作为研究对象的一门学科。
99、问答题 视准线观测影响精度的因素有哪些?
点击查看答案
本题答案:1)基点变位和观测墩变形;
2)经纬仪和觇标
本题解析:试题答案1)基点变位和观测墩变形;
2)经纬仪和觇标的对中误差;
3)照准误差;
4)读数误差;
5)其它仪器误差;
6)水平折光影响。
100、单项选择题 受力物体上的任一点处总可以找到()个主应力。
A、1;
B、2;
C、3;
D、4。
点击查看答案
本题答案:C
本题解析:暂无解析
101、问答题 万安电站设计蓄水位和死水位为多少?初期又为多少?
点击查看答案
本题答案:万安电站设计蓄水位为100.0米,死水位为90.0米,
本题解析:试题答案万安电站设计蓄水位为100.0米,死水位为90.0米,初期蓄水位为96.0米,死水位为85.0米。
102、单项选择题 扬压力测量时,两次读数差不得大于压力表最小刻度单位的()
A、1/2
B、1/3
C、1/5
点击查看答案
本题答案:A
本题解析:暂无解析
103、单项选择题 内附检流计鉴定,检流计处于5-10mm偏转的不平衡位置,突然切断电源,用秒表测量回至原点的时间要求小于()为合格。
A、5s
B、2s
C、3s
点击查看答案
本题答案:C
本题解析:暂无解析
104、问答题 有压隧洞、无压隧洞在闸门布置上有何区别?
点击查看答案
本题答案:在闸门布置上,有压隧洞闸门布置在出口处,但若要布置在隧
本题解析:试题答案在闸门布置上,有压隧洞闸门布置在出口处,但若要布置在隧洞进口处则必须设通气孔和旁通阀,无压隧洞闸门布置在进口处。
105、单项选择题 土石坝在水库初次蓄水期,对渗流量、坝基渗流压力的观测的次数规定为()。
A、3~6次/月;
B、5~8次/月;
C、10~30次/月;
D、31~45次/月。
点击查看答案
本题答案:C
本题解析:暂无解析
106、问答题 差动电阻式观测仪器,是利用什么原理制成的?
点击查看答案
本题答案:差动电阻式观测仪器,是利用2根钢丝电阻在外力作用下,产
本题解析:试题答案差动电阻式观测仪器,是利用2根钢丝电阻在外力作用下,产生变形以后,其电阻值也随着发生差动变化的原理制成的。
107、单项选择题 用容积法测渗流时,两次观测值之差不得大于两次测得渗流量平均的()
A、10﹪
B、5﹪
C、20﹪
点击查看答案
本题答案:B
本题解析:暂无解析
108、单项选择题 钢筋计与被测钢筋焊接要求其直径()。
A、小2mm;
B、大2mm;
C、相同;
D、可大可小。
点击查看答案
本题答案:C
本题解析:暂无解析
109、问答题 横轴与竖轴是否垂直的检验如何?
点击查看答案
本题答案:在较高墙壁处安置仪器,以盘左位置瞄准墙壁高处一点P,放
本题解析:试题答案在较高墙壁处安置仪器,以盘左位置瞄准墙壁高处一点P,放平望远镜在墙上定出一点M1,倒转望远镜,盘右再瞄准P点,又放平望远镜在墙上定出一点M2,如M1与M2不重合则横轴不垂直于竖轴。
110、问答题 地形图使用的基本内容有哪些?
点击查看答案
本题答案:使用的内容包括地面点平面位置,在图上进行定向,确定两点
本题解析:试题答案使用的内容包括地面点平面位置,在图上进行定向,确定两点间距离,求图上任一点高程,在图上求坡度和坡度线,作纵横断面图,确定两点间通视,计算面积及体积等。
111、单项选择题 混凝土坝安全监测技术规范规定:观测仪器力学性能检验的各项误差中,重复性误差应小于或等于()。
A、0.1%;
B、0.5%;
C、1%;
D、2%。
点击查看答案
本题答案:B
本题解析:暂无解析
112、问答题 试述分析改善坝基扬压力的措施有哪些?
点击查看答案
本题答案:为了减小坝基扬压力,改善坝的应力和稳定条件,常在坝踵附
本题解析:试题答案为了减小坝基扬压力,改善坝的应力和稳定条件,常在坝踵附近坝基中灌浆,构成防渗帷幕,阻拦渗水,减少渗透压力;同时在防渗帷幕边钻孔,形成排水孔幕,将渗过、绕过防渗帷幕的渗水就近排往下游。为了有效地减小坝基扬压力,还可以在坝基面上设置纵、横排水廊道和面排水孔。
113、问答题 在同一断面的两测压管水位分别为46.55m、21.33m,两管水平距离为20M,管口高程之差为15M,求其渗透坡降?
点击查看答案
本题答案:坡降=(H1-H2)/D=(46.55-21.33)/
本题解析:试题答案坡降=(H1-H2)/D=(46.55-21.33)/20=25.22/20=1.261
114、单项选择题 内附检流计鉴定时,使电桥盘面增加0.1欧姆,指针偏转大于()者合格。
A、2mm
B、3mm
C、5mm
点击查看答案
本题答案:B
本题解析:暂无解析
115、问答题 在水库中一般采用什么样的器具进行取水样为宜?
点击查看答案
本题答案:一般采用取样器进行取水样。
本题解析:试题答案一般采用取样器进行取水样。
116、问答题 钢筋计是按仪器什么来划分的?
点击查看答案
本题答案:钢筋计是按仪器所配钢筋直径来划分的。
本题解析:试题答案钢筋计是按仪器所配钢筋直径来划分的。
117、填空题 土坝视准线观测,半测回两次读数限差为(),半测回差为()。
点击查看答案
本题答案:1.0mm;2.0mm
本题解析:试题答案1.0mm;2.0mm
118、填空题 所谓平差,就是求()的最或然值的方法。
点击查看答案
本题答案:观测值
本题解析:试题答案观测值
119、单项选择题 当仪器承受的温度不变时,由于变形引起的电阻比变化将使电阻变化,二者变化的趋势是()。
A、相同;
B、相反;
C、同步;
D、相同相反都有。
点击查看答案
本题答案:B
本题解析:暂无解析
120、单项选择题 内附检流计要求其灵敏度大于()
A、0.3mm/0.01%
B、0.2mm/0.01%
C、0.1mm/0.01%
点击查看答案
本题答案:A
本题解析:暂无解析
121、问答题 试分析混凝土温度变化有何特点?
点击查看答案
本题答案:1)温度变化呈周期性:主要以年为周期变化,最表层混凝土
本题解析:试题答案1)温度变化呈周期性:主要以年为周期变化,最表层混凝土还受日夜温差的变化影响。
2)混凝土温度变化滞后于气温和水温,愈深处滞后时间愈长。
3)温度变幅在混凝土表面最大,愈深处愈小。
4)温度变化过程线升温段较平缓,降温段较陡峻,峰两侧形状不对称。
5)到达稳定温度的时间,一般需要数年。
122、填空题 自动测量监测仪器设备在满足准确度要求的前提下,应力求()、()、()。
点击查看答案
本题答案:结构简单;稳定可靠;维护方便
本题解析:试题答案结构简单;稳定可靠;维护方便
123、填空题 纬仪的三轴误差是:()误差,()误差及()误差。
点击查看答案
本题答案:视准轴;横轴;竖轴
本题解析:试题答案视准轴;横轴;竖轴
124、填空题 为了消除或减小水准仪i角误差,应严格检验(),尽量使前后视距()累计视距差不超限,采用()观测程序及往返测应分别在上午和下午进行等。
点击查看答案
本题答案:i角;相等;奇偶数站
本题解析:试题答案i角;相等;奇偶数站
125、问答题 倒垂法观测水平位移的误差来源何处?
点击查看答案
本题答案:误差来源有仪器的对中误差、调平误差、照准误差、读数误差
本题解析:试题答案误差来源有仪器的对中误差、调平误差、照准误差、读数误差、仪器间隙误差等。
126、填空题 在重要的钢筋混凝土建筑物内应布置()。监测钢筋应力的钢筋计应焊接在()。当钢筋为弧形时,其曲率半径应(),并须保证钢筋计中间的钢套部分不受弯曲。
点击查看答案
本题答案:钢筋应力测点;同一轴线的受力钢筋上;大于2m
本题解析:试题答案钢筋应力测点;同一轴线的受力钢筋上;大于2m
127、单项选择题 检查仪器绝缘是否达标,应使用()。
A、万用表;
B、电桥;
C、兆欧表;
D、通电后,用电笔测试。
点击查看答案
本题答案:C
本题解析:暂无解析
128、单项选择题 坝基采取防渗和排水措施后,其扬压力会()
A、抬高;
B、成直线减小;
C、成折线型减小;
D、变为零。
点击查看答案
本题答案:C
本题解析:暂无解析
129、问答题 简述测量平差所遵循的原则?
点击查看答案
本题答案:①只用唯-组改正数来消除不符值
②这组改正数
本题解析:试题答案①只用唯-组改正数来消除不符值
②这组改正数V应满足〔PVV〕=最小这一基本要求。
130、问答题 土石坝各组成部分的作用是什么?
点击查看答案
本题答案:坝壳是坝体的绝大部分,由砂、石料组成,作用是维持坝体稳
本题解析:试题答案坝壳是坝体的绝大部分,由砂、石料组成,作用是维持坝体稳定。防渗体作用是减少水库水向下游渗漏;排水设备是将渗入到坝体的水尽快排出,以免影响坝下游坡面的稳定;护坡是用以保护坝体免受侵蚀。
131、填空题 自动化监测系统应(),有条件的应接入()。单独接地时,接地电阻不应大于()。
点击查看答案
本题答案:接地;工程的接地网;10Ω
本题解析:试题答案接地;工程的接地网;10Ω
132、问答题 如何检查仪器的总电阻和分线电阻?
点击查看答案
本题答案:将仪器的引出电缆分别按黑白、黑绿、黑红、红绿、红白、绿
本题解析:试题答案将仪器的引出电缆分别按黑白、黑绿、黑红、红绿、红白、绿白接于电桥的黑白接线柱上,分别测量其电阻值。
133、填空题 内部观测系统,由埋设在水工建筑物内部的()通过电缆连接传感器的()以及接受电缆传来的传感器的信号的接收装置等三部分组成。
点击查看答案
本题答案:传感器和电缆;集线箱
本题解析:试题答案传感器和电缆;集线箱
134、单项选择题 二等水准测量,基辅分划所测高差之差,不得超过()
A、±0.5mm
B、±0.6mm
C、±0.7mm
点击查看答案
本题答案:B
本题解析:暂无解析
135、问答题 差动电阻式观测仪器率定的项目有哪些?
点击查看答案
本题答案:差动电阻式观测仪器率定的项目有力学特性参数、温度特性参
本题解析:试题答案差动电阻式观测仪器率定的项目有力学特性参数、温度特性参数、密封绝缘性能。
136、单项选择题 丈量一条长为400米导线边,测得中误差为2毫米,则相对误差为()
A、1/200
B、1/200000
C、1/20000
点击查看答案
本题答案:B
本题解析:暂无解析
137、问答题 主厂房一般分为哪几层?
点击查看答案
本题答案:发电机层、水轮机层、蜗壳层,有的还设有电缆层。
本题解析:试题答案发电机层、水轮机层、蜗壳层,有的还设有电缆层。
138、问答题 试述分析结构状况对漏水量有哪些影响?
点击查看答案
本题答案:1)坝基渗透系数小的部位漏水量小。
2)坝基
本题解析:试题答案1)坝基渗透系数小的部位漏水量小。
2)坝基帷幕质量好的坝段,坝基漏水量少。
3)排水系统畅通时,漏水量小,堵塞时排水受阻而漏水增加。
4)坝体混凝土质量好则漏水少,质量差则漏水多。
5)结合不佳的水平浇筑缝和止水不严密的横缝常是漏水的通道。
6)漏水量的分布和变化除和上述结构诸因素有关外,还和排水位置有关。
139、问答题 观测水平位移的常用方法有哪几种?
点击查看答案
本题答案:活动觇标法、小角度法、倒垂法、引张线法、前方交会法、导
本题解析:试题答案活动觇标法、小角度法、倒垂法、引张线法、前方交会法、导线法和激光准直法。
140、单项选择题 按菲列罗公式计算的测角中误差不得超过()
A、1秒
B、0.7秒
C、2秒
D、3秒
点击查看答案
本题答案:B
本题解析:暂无解析
141、填空题 水平位移量符号规定为:向()为正、向()为正,反之为负。
点击查看答案
本题答案:下游;左岸
本题解析:试题答案下游;左岸
142、问答题 试分析混凝土坝体各种裂缝产生的原因何在?
点击查看答案
本题答案:1)施工缝是施工中因处理不好造成的。
2)温
本题解析:试题答案1)施工缝是施工中因处理不好造成的。
2)温度缝是因为水泥水化和外部温度突变造成的。
3)干缩缝是混凝土在空气中凝结收缩时造的。
4)沉陷缝是由于坝基不均匀沉陷引起的。
143、填空题 水工建筑物的观测项目,按其性质可分成如下几大类:()观察;()观测;()观测;()观测;()观测;()观测和其它观测。
点击查看答案
本题答案:现场;变形;渗透;内部;水文学;水力学
本题解析:试题答案现场;变形;渗透;内部;水文学;水力学
144、填空题 混凝土坝必须进行渗流监测,监测项目包括()、()、()及()。
点击查看答案
本题答案:扬压力;渗透压力;渗流量;水质监测
本题解析:试题答案扬压力;渗透压力;渗流量;水质监测
145、填空题 接缝和裂缝开合度则规定为:()为正,()为负。
点击查看答案
本题答案:张开;闭合
本题解析:试题答案张开;闭合
146、填空题 在不等精度观测列中,用改正数计算最或然值中误差,等于单位权中误差,除以()的平方根。
点击查看答案
本题答案:单位权和
本题解析:试题答案单位权和
147、问答题 坝下一等水准环线布设的目的是什么?
点击查看答案
本题答案:建立大坝垂直位移观测的基准点,检验垂直位移观测工作基点
本题解析:试题答案建立大坝垂直位移观测的基准点,检验垂直位移观测工作基点的稳定性,并提供坝下地壳形变观测资料。
148、单项选择题 检查仪器绝缘是否达标,应使用()。
A、万用表;
B、电桥;
C、兆欧表;
D、通电后,用电笔测试。
点击查看答案
本题答案:C
本题解析:暂无解析
149、问答题 差动电阻式观测仪器经过运输和长期保管,仪器的性能可能发生变化,在埋设仪器之前必须做何工作?以达到什么目的?
点击查看答案
本题答案:在埋设仪器之前必须对仪器进行率定,以检验厂家出厂卡片提
本题解析:试题答案在埋设仪器之前必须对仪器进行率定,以检验厂家出厂卡片提供的特征参数和保证埋设后观测资料的正确性和可靠性。
150、单项选择题 安全带或腰绳在使用前应作检查试验,试验时间为()。
A、2分钟
B、5分钟
C、10分钟
点击查看答案
本题答案:B
本题解析:暂无解析
151、单项选择题 一等水准测量视准长度不应大于()。
A、50m
B、35m
C、45m
D、30m
点击查看答案
本题答案:D
本题解析:暂无解析
152、问答题
如图,为混凝土坝的沉陷与气温、时间的过程线,试分析说明:
⑴气温与沉陷变化是否存在周期性变化,如是,以什么为周期?
⑵沉陷与温度是否存在滞后时间?
⑶沉陷量主要受什么影响?

点击查看答案
本题答案:由过程线图中可以看出
1.气温与沉陷是以年为
本题解析:试题答案由过程线图中可以看出
1.气温与沉陷是以年为周期性变化的。
2.沉陷滞后气温1-2个月变化。
3.混凝土坝主要受气温变化影响。
153、问答题 什么叫误差?
点击查看答案
本题答案:通常把观测值与真值之差,叫做误差。
本题解析:试题答案通常把观测值与真值之差,叫做误差。
154、单项选择题 双管式孔隙水压力计内外管测头高差为1.2m,内管稳定气压为310KPa,则孔隙水压力为()。
A、u=322KPa
B、u=333KPa
C、u=344KPa
点击查看答案
本题答案:A
本题解析:暂无解析
155、单项选择题 图根平面控制测量主要采用()图根测量、图解图根测量和经纬仪交会法等测量方法。
A、三角;
B、解析;
C、导线;
D、高程。
点击查看答案
本题答案:B
本题解析:暂无解析
156、单项选择题 内附检流计要求其灵敏度大于()
A、0.3mm/0.01%
B、0.2mm/0.01%
C、0.1mm/0.01%
点击查看答案
本题答案:A
本题解析:暂无解析
157、单项选择题 用流速法观测渗流量,两次观测之差不得大于两次平均值的()
A、5﹪
B、10﹪
C、20﹪
点击查看答案
本题答案:B
本题解析:暂无解析
158、问答题 计算题:某测压管压力表中心高程为100.05m,压力表读数为0.120mPa,当时库位为200.50m,下游水位为105.00m,试求该点的渗压系数。
点击查看答案
本题答案:测压管水位为100.05+0.120×10
本题解析:试题答案测压管水位为100.05+0.120×102=112.29m
管内水柱h=112.29-105.00=7.29m
上下游水头差为200.50-105.00=95.50m,
故渗压系数α=7.29/95.50=0.076
159、问答题 试述分析垂直位移和倾斜有哪些变化规律?
点击查看答案
本题答案:1)坝的高度越大,垂直位移及倾斜变幅越大。
本题解析:试题答案1)坝的高度越大,垂直位移及倾斜变幅越大。
2)坝基软弱的坝段,沉陷及倾斜较大。
3)对于坝体上部特别是坝顶温度和水位的变化都是垂直位移的主要影响因素,温度高时坝体膨胀而升高,温度低时则收缩而沉降。
4)对于坝基,水位变化是垂直位移和倾斜的主要因素,温度影响几乎没有。
160、填空题 水库水样采集地点选择的原则是:在距坝上游面()米左右的横断面上,选取()3条垂线;每条垂线一般布置在水库表面以下0.2~0.5米处、水深中间和库底附近等三处取样点。
点击查看答案
本题答案:100;左、中、右
本题解析:试题答案100;左、中、右
161、问答题
请根据下图分析说明漏水量变化情况。


点击查看答案
本题答案:从图中变化现象可以看出26-3#渗水通路有可能逐渐被淤
本题解析:试题答案从图中变化现象可以看出26-3#渗水通路有可能逐渐被淤堵,而26-1#则有可能被冲开。另外漏水量变化与库水位变化呈正相关,并有滞后现象。
162、问答题 测缝计是按仪器的什么来划分的。国标中仪器测量范围有哪三种?
点击查看答案
本题答案:测缝计是按仪器的测量范围来划分的。
国标中仪
本题解析:试题答案测缝计是按仪器的测量范围来划分的。
国标中仪器测量范围有5、10、20毫米三种。
163、问答题 引张线法观测水平位移的误差来源主要有哪些?
点击查看答案
本题答案:1)引张线灵敏度不够带来的误差;
2)观测误
本题解析:试题答案1)引张线灵敏度不够带来的误差;
2)观测误差,主要是读数误差、仪器误差、视线不垂直尺面所产生的误差;
3)端点变位测定误差。
164、填空题 根据国内外坝工段毁坏实例,泄水建筑物的毁坏原因主要为()、()、()。
点击查看答案
本题答案:空蚀;磨损;冲刷
本题解析:试题答案空蚀;磨损;冲刷
165、填空题 接缝观测设备包括()标点和()标点两大类。
点击查看答案
本题答案:单向;三向相对位移
本题解析:试题答案单向;三向相对位移
166、问答题 分析研究混凝土坝应力变化规律?
点击查看答案
本题答案:1)水库水位是影响大坝变形和应力变化的重要因素,在许多
本题解析:试题答案1)水库水位是影响大坝变形和应力变化的重要因素,在许多情况下,水库水位又是主要影响因素。对于重力坝水平截面上垂直正应力的变化规律是:靠上游侧的测点的应力随库水位的升高而向加大拉应力方向发展;靠下游侧的测点的应力随库水位的升高而向加大压应力方向发展。对于拱坝,水平截面上拱冠处的垂直正压应力的变化规律与重力坝相反,靠上游侧的测点的应力随库水位的升高而向加大压应力方向发展,靠下游侧的测点的应力随库水位的升高而向加大拉应方向发展;但水平正应力不论测点位于何处,均随水位的升高而向加大压应力方向发展。
2)坝体温度也是影响大坝变形和应力变化的重要因素。其一般规律是:坝体温度上升时压应力增大,降温时压应力减小,拉应力增大。
3)施工期水平截面上的垂直正压应力随坝体浇筑高程的升高,自重逐渐加大,亦向加大方向发展。但远离水平截面重心的测点,当截面以上混凝土自重的偏心力矩较大时,就可能向压应力减小,拉应力增大的发现发展。
4)坝体的应力分布不仅与坝的结构、纵缝及其灌浆情况、坝体和基础的物理力学特性等有关,还与裂缝发育情况和施工质量等有关。
167、单项选择题 引张线观测时,各测点测回之差不得超过()
A、0.2mm
B、0.1mm
C、0.3mm
点击查看答案
本题答案:A
本题解析:暂无解析
168、填空题 当采用水尺法测量量水堰堰顶水头时,水尺精度不低于()mm;采用水位测针或量水堰水位计量测堰上水头时,精度不低于()mm。
点击查看答案
本题答案:1.0;0.1
本题解析:试题答案1.0;0.1
169、单项选择题 一组观测值真误差为:7,2,-2,-8,1,0求得其中误差为()
A、±4.9
B、±4.5
C、±1.8
D、±3.5
点击查看答案
本题答案:B
本题解析:暂无解析
170、单项选择题 内观仪器有统一的符号规定,基岩变形计和土压计分划用()表示
A、ZE
B、N.M
C、M,E
点击查看答案
本题答案:C
本题解析:暂无解析
171、问答题 基线丈量主要用于何处丈量?
点击查看答案
本题答案:主要用于工作基点校核、直接测定位移标点的位移以及三角网
本题解析:试题答案主要用于工作基点校核、直接测定位移标点的位移以及三角网的基线或起算边的丈量。
172、问答题 什么叫闭合水准路线?
点击查看答案
本题答案:起止点于同一已知水准点的封闭水准路线。
本题解析:试题答案起止点于同一已知水准点的封闭水准路线。
173、单项选择题 一等水准测量,规定前后视距差不得超过()
A、±1m
B、±2m
C、±0.5m
点击查看答案
本题答案:C
本题解析:暂无解析
174、问答题 水工比例电桥的率定项目有哪些?
点击查看答案
本题答案:水工比例电桥的率定项目有绝缘、零位电阻,测值准确率,内
本题解析:试题答案水工比例电桥的率定项目有绝缘、零位电阻,测值准确率,内附检流计等。
175、填空题 如视线长度超过500米,视准线观测方法一般采用()或()
点击查看答案
本题答案:分段观测法;中点设站法
本题解析:试题答案分段观测法;中点设站法
176、问答题 视准轴应垂直于横轴的检验如何?
点击查看答案
本题答案:整平仪器,用盘左位置瞄准与仪器同高的目标A,读取水平度
本题解析:试题答案整平仪器,用盘左位置瞄准与仪器同高的目标A,读取水平度盘读数L,倒转望远镜,在盘右位置瞄准A,读取读数R,如:L-R≠±180°,则视准轴不垂直于横轴。
177、单项选择题 砼的强度指标是指标准试件()天的强度。
A、7天
B、28天
C、25天
点击查看答案
本题答案:B
本题解析:暂无解析
178、单项选择题 内附检流计鉴定时,使电桥盘面增加0.1欧姆,指针偏转大于()者合格。
A、2mm
B、3mm
C、5mm
点击查看答案
本题答案:B
本题解析:暂无解析
179、问答题
请根据下图分析说明气温、水温变化情况。

点击查看答案
本题答案:1)以年为周期作波动变化;
2)水温变化滞后
本题解析:试题答案1)以年为周期作波动变化;
2)水温变化滞后于气温,愈深处滞后时间愈长;
3)夏季水温常低于气温而冬季高于气温。
180、问答题 三等水准测量在一测站上水准仪照准双面水准尺的顺序如何?
点击查看答案
本题答案:1)照准后视标尺黑面,按视距和中丝读数;
2
本题解析:试题答案1)照准后视标尺黑面,按视距和中丝读数;
2)照准前视标尺黑面,按视距和中丝读数;
3)照准前视标尺红面,按中丝读数;
4)照准后视标尺红面,按中丝读数。
181、问答题
一组两向钢筋计实测成果见下表,请分析其变化趋势。

点击查看答案
本题答案:钢筋应力随时间而增大,但变化量逐渐减小,并趋于稳定。<
本题解析:试题答案钢筋应力随时间而增大,但变化量逐渐减小,并趋于稳定。
182、问答题 试述原型观测三环节的关系?
点击查看答案
本题答案:能真实反映实际情况并具有一定精度的现场观测,是整理分析
本题解析:试题答案能真实反映实际情况并具有一定精度的现场观测,是整理分析工作的基础和前提,而将观测数据加工成理性认识的分析成果,则是观测目的的体现。
183、填空题 影响视准轴误差的主要因素是()位置不正确,()影响及()影响。
点击查看答案
本题答案:十字丝;调焦;温度
本题解析:试题答案十字丝;调焦;温度
184、问答题 对某观测班近十年的观测报表质量进行统计分析,发现:人为涂改有174次,字迹模糊的有85次,报表纸错位的有51次,其它原因的有21次。根据上述统计资料,画出排列图,并指出产生观测报表质量问题的主要原因是什么。
点击查看答案
本题答案:据“关键的少数,次要的多数”的
本题解析:试题答案据“关键的少数,次要的多数”的原则,从以下排列图可以看出,造报表质量问题的主要原因是人为涂改。

185、问答题 试述进行经纬仪的照准部水准管轴垂直于竖轴的检验和校正?
点击查看答案
本题答案:检验方法:先将仪器大致整平,转动照准部使水准管与任意两
本题解析:试题答案检验方法:先将仪器大致整平,转动照准部使水准管与任意两个脚旋的连线平行,再转动脚螺旋使气泡居中,然后将照准部旋转180度。若泡不居中,说明水准管轴不垂直于竖轴须校正.
校正方法:先用脚螺旋调整气泡偏离的一半,然后用水准管校正螺丝使泡居中.此项检校应反复进行,直到照准部旋转到任何位置气泡都能居中为止。
186、问答题 分析气蚀的发生过程及对建筑物破坏的原因?
点击查看答案
本题答案:高速水流经过砼溢流面时由于砼表面不平整,使局部地区水压
本题解析:试题答案高速水流经过砼溢流面时由于砼表面不平整,使局部地区水压强于大气压强时产生负压,负压区的水分子极易气化,形成许多小气泡,其体积随即膨胀,这种现象称为"气穴"现象,当气泡随水流下移到正常压力区时,经周围水平压缩,气泡在建筑物表面迅速破裂时对周围与表面产生爆破力和吸力,造成砼表面及建筑物周围的剥蚀现象,这就是气蚀破坏的现象与过程。
187、填空题 水流形态观测的内容是()形态,()()及挑射水流观测等。
点击查看答案
本题答案:平面;水跃;水面线
本题解析:试题答案平面;水跃;水面线
188、问答题 什么叫视准线法?
点击查看答案
本题答案:是用经纬仪或视准仪建立一条平行于坝轴线的不变的视准线,
本题解析:试题答案是用经纬仪或视准仪建立一条平行于坝轴线的不变的视准线,测定位移标点距视准线的偏离值来计算水平位移。
189、单项选择题 用于一二等水准测量的仪器,i角不得大于()
A、10秒
B、20秒
C、15秒
点击查看答案
本题答案:C
本题解析:暂无解析
190、填空题 水电站由(),(),(),()和送电设备组成。
点击查看答案
本题答案:水工建筑物、厂房、水轮发电机组、变压站
本题解析:试题答案水工建筑物、厂房、水轮发电机组、变压站
191、问答题 什么叫经纬度?
点击查看答案
本题答案:经度是通过某点的真子午面和首子午面所夹的二面角,称为该
本题解析:试题答案经度是通过某点的真子午面和首子午面所夹的二面角,称为该点的经度,而纬度是过某点的铅垂线和赤道平面的夹角,称为该点的纬度。
192、填空题 监测自动化系统包含()、()、()、()等几部分。
点击查看答案
本题答案:数据自动采集;数据传输;数据存储;数据管理
本题解析:试题答案数据自动采集;数据传输;数据存储;数据管理
193、问答题 观测资料分析内容包括哪些?
点击查看答案
本题答案:1)通过观测资料的分析,了解测值的变化规律;
本题解析:试题答案1)通过观测资料的分析,了解测值的变化规律;
2)通过分析,查找异常测值,分析原因,研究对策;
3)根据测值变化规律,预测未来各种条件下的测值大小;
4)通过上述分析,判断建筑物的安全状况。
194、问答题 土石坝对地基有何要求?
点击查看答案
本题答案:1.地基透水性小;
2.要有足够的强度,保证
本题解析:试题答案1.地基透水性小;
2.要有足够的强度,保证坝基和坝体的稳定;
3.地基在坝体荷载作用下,沉陷量要小,以免影响坝的正常运用或产生裂缝。
195、填空题 正常状态的大坝是指大坝达到()的功能,不存在影响正常使用的缺陷,且各主要()的变化处于正常情况下的状态。
点击查看答案
本题答案:设计要求;监测量
本题解析:试题答案设计要求;监测量
196、问答题 对观测资料的分析有何要求?
点击查看答案
本题答案:应正确、深入地认识大坝安全工作状态和测值变化规律,准确
本题解析:试题答案应正确、深入地认识大坝安全工作状态和测值变化规律,准确.及时地发现问题和做出安全判断,充分地利用现场观测所取得的信息,有效地为安全运行和设计、施工、科研服务,对观测资料的分析要客观和全面,力求较正确地反映真实情况力规律,要把握测值和结构状态的内在联系,不停留在表面的描述上,在观测手段所提供的信息范围内,对坝所存在的较大问题,要找得准,既不漏报,也不虚报,在可能带来严重后果之前就有明确的判断。
197、问答题 计算题:用视准线法观测水平位移,设观测一测回的中误差为m=±1.0mm,允许误差为0.5mm,试问观测多少测回才能满足精度要求?
点击查看答案
本题答案:
试题答案
198、问答题 简述活动觇标零位的测定方法?
点击查看答案
本题答案:在相距20-40米的两个观测墩上,分别安置仪器和固定觇
本题解析:试题答案在相距20-40米的两个观测墩上,分别安置仪器和固定觇标,将经纬仪(或视准仪)的望远镜瞄准固定觇标的中心线,然后取下固定觇标,安上活动觇标,转动活动觇标的微动螺旋,使觇标的中心线与望远镜十字竖丝重合,并读出读数,如此反复进行10次读数,最后检查一下仪器的视线是否有变动,如未变动,取10次读数的平均值即为活动觇标的零位。
199、问答题 《水电站大坝安全检查施行细则》中规定,土石坝检查应注意什么?
点击查看答案
本题答案:应注意其液化、坝坡不稳定、过量渗流、固体材料与可溶性物
本题解析:试题答案应注意其液化、坝坡不稳定、过量渗流、固体材料与可溶性物质的流失和坝坡冲刷等。
200、填空题 坝体和坝基的倾斜应采用一等水准监测,也可采用()和()监测。
点击查看答案
本题答案:连通管;遥测倾斜仪
本题解析:试题答案连通管;遥测倾斜仪
题库试看结束后
微信扫下方二维码即可打包下载完整版《★水工监测工》题库
手机用户可保存上方二维码到手机中,在微信扫一扫中右上角选择“从相册选取二维码”即可。
题库试看结束后微信扫下方二维码即可打包下载完整版《水工监测工:水工监测工(中级)》题库,分栏、分答案解析排版、小字体方便打印背记!经广大会员朋友实战检验,此方法考试通过率大大提高!绝对是您考试过关的不二利器!
手机用户可保存上方二维码到手机中,在微信扫一扫中右上角选择“从相册选取二维码”即可。
微信搜索关注"91考试网"公众号,领30元,获取公务员事业编教师考试资料40G