手机用户可
保存上方二维码到手机中,在
微信扫一扫中右上角选择“从
相册选取二维码”即可。
1、问答题 安装汽水管道上的测温取源插座的操作步骤及方法是什么?
点击查看答案
本题答案:(1)准备工具,领取插座;
(2)检查核对温
本题解析:试题答案(1)准备工具,领取插座;
(2)检查核对温度插座螺纹丝扣;
(3)打磨测孔周围及插座焊接坡口;
(4)找正点焊;
(5)焊接;
(6)清除焊渣及检查温度杆座丝口有无损伤;
(7)合金材质插座委托热处理;
(8)封闭插座口。
2、填空题 汽包上设有压力表、()、()等附件控制汽包压力和水位,确保安全。
点击查看答案
本题答案:水位计;安全门
本题解析:试题答案水位计;安全门
3、填空题 使用液柱式压力计时,应保证仪器处于(),否则将产生()。
点击查看答案
本题答案:垂直位置;歪斜误差。
本题解析:试题答案垂直位置;歪斜误差。
4、名词解释 热力系统
点击查看答案
本题答案:汽、水、氢、油、煤粉、燃气、瓦斯、烟、风、压缩空气以及
本题解析:试题答案汽、水、氢、油、煤粉、燃气、瓦斯、烟、风、压缩空气以及输煤、脱硫、脱硝、除尘、冲灰、输煤等发电生产设备系统。
5、单项选择题 分散控制系统是()有机结合的整体。
A.微型处理机、工业控制机、数据通信系统;
B.工业控制机、数据通信系统、CRT显示器;
C.过程通道、CRT显示器、微型处理机;
D.以上都是。
点击查看答案
本题答案:D
本题解析:暂无解析
6、填空题 汽包的作用包括:()、建立水冷壁水循环和()。
点击查看答案
本题答案:汽水分离作用;清洗蒸汽
本题解析:试题答案汽水分离作用;清洗蒸汽
7、单项选择题 DCS系统其核心结构可归纳为“三点一线”结构,其中一线指计算机网络,三点分别指()。
A、现场控制站、操作员站、数据处理站
B、现场控制站、操作员站、工程师站
C、现场控制站、数据处理站、工程师站
D、数据处理站、操作员站、工程师站
点击查看答案
本题答案:B
本题解析:暂无解析
8、问答题 使用补偿导线时应注意什么问题?
点击查看答案
本题答案:1、补偿导线必须与相应型号的热电偶配用。2、补偿导线在
本题解析:试题答案1、补偿导线必须与相应型号的热电偶配用。2、补偿导线在与热电偶仪表连接时,正负极不能接错。两对连接点要处于相同温度。3、补偿导线和热电偶连接点温度不得超过规定使用的温度范围。4、要根据所配仪表的不同要求,选用补偿导线的线径。
9、问答题 RB的触发条件有那些?
点击查看答案
本题答案:1、两台送风机运行时,任一台送风机跳闸;
2
本题解析:试题答案1、两台送风机运行时,任一台送风机跳闸;
2、两台引风机运行时,任一台引风机跳闸;
3、两台一次风机运行时,任一台一次风机跳闸;
4、两台汽动给水泵运行时,任一台汽动给水泵跳闸。
10、单项选择题 连锁控制属于()。
A.过程控制级;
B.过程管理级;
C.生产管理级;
D.经营管理级。
点击查看答案
本题答案:A
本题解析:暂无解析
11、多项选择题 测压仪表的标尺上限不宜取得太小,主要考虑到弹性元件有()
A.刚度
B.滞后效应
C.灵敏度
D.温度特性
E.弹性疲劳
点击查看答案
本题答案:B, E
本题解析:暂无解析
12、问答题 DEH测速传感器安装要求?
点击查看答案
本题答案:DEH要求三路测速传感器,直接取自汽机机头的测速探头。
本题解析:试题答案DEH要求三路测速传感器,直接取自汽机机头的测速探头。(1)齿轮与测速头间隙δ=0.9& plusmn;0.1mm(2)支架与测速头应固牢,与测速齿轮外圆正交。齿轮上齿光滑不能有毛刺,否则波形不好,工作不正常。。
13、问答题 可编程控制器至少应包括哪几部分?各部分的功能是什么?
点击查看答案
本题答案:1、处理器:是核心部件,执行用户程序及相应的系统功能。
本题解析:试题答案1、处理器:是核心部件,执行用户程序及相应的系统功能。
2、存储器:存储系统程序、用户程序及工作数据。
3、输入输出卡件:是可编程控制器与现场联系的通道。
4、电源:向PLC系统各部分供电。
5、内部总线:PLC内部各部分相互联系的通道。
14、填空题 PID调节器中I的作用是(),D的作用是()。
点击查看答案
本题答案:消除静态偏差;超前加强调节
本题解析:试题答案消除静态偏差;超前加强调节
1 5、填空题 压力表在升压检定和降压检定时,各对应检定点上,轻敲表壳后,()读数之差叫压力表的()。
点击查看答案
本题答案:两次;轻敲变动量。
本题解析:试题答案两次;轻敲变动量。
16、单项选择题 单相半波整流电路中的滤波电容值越大,则()。
A.输出的电压值越大;
B.输出的平均电压值越大
C.输出电压的脉动频率越大
点击查看答案
本题答案:C
本题解析:暂无解析
17、问答题 说明一下二期真空泵两个压力开关联锁条件及定值?
点击查看答案
本题答案:联锁启动条件:
联锁开关投入且真空泵正在运行
本题解析:试题答案联锁启动条件:
联锁开关投入且真空泵正在运行且真空泵入口真空低于88KPa,联锁另一台真空泵启动
真空泵运行且入口真空高于88KPa连开入口电磁阀
跳闸条件:
联锁开关已投入且两台真空泵均运行,B泵入口真空不低(<-94KPa),延时10秒停A真空泵
联锁开关已投入且两台真空泵均运行,A泵入口真空不低(<-94KPa),延时5秒停B真空泵
18、单项选择题 对于与热电偶配套的动圈表,下列叙述正确的是()
A.对于标准化热电偶,动圈表是通用的
B.动圈表必须与其相同型号的热电偶相配
C.动圈表的量程一般不能调整
D.动圈表测量的起始温度为0℃
点击查看答案
本题答案:B
本题解析:暂无解析
19、填空题 气体的体积流量qv与其标准体积流量qvn的关系是()。
点击查看答案
本题答案:qvn=qv
本题解析:试题答案qvn=qv
20、单项选择题 仪表管子弯曲半径,对于金属管不应小于其外径的()。
A、4倍;
B、3.5倍;
C、3倍;
D、5倍。
点击查看答案
本题答案:C
本题解析:暂无解析
21、单项选择题 端子排并列安装时,其间隔不应小于()mm。
A、50;
B、100;
C、150;
D、200。
点击查看答案
本题答案:C
本题解析:暂无解析
22、问答题 TC型同操器由哪几部分组成?
点击查看答案
本题答案:TC型同操器主要由电源变压器、桥式整流电路、π型
本题解析:试题答案TC型同操器主要由电源变压器、桥式整流电路、π型滤波电路、串联式电压调整电路、取样电路、比较放大电路、短路保护电路等部分组成。
23、判断题 伺服电机上装电磁机械式制动器主要用以限制执行器输出轴的转角。
点击查看答案
本题答案:错
本题解析:暂无解析
24、问答题 DTL-33l调节器的功能有哪些?
点击查看答案
本题答案:DTL-331调节器的功能是:
①对输入信号
本题解析:试题答案DTL-331调节器的功能是:
①对输入信号进行比例、积分、微分运算;
②实现手动、自动双向无扰切换;
③对调节对象实行远方手动操作;
④对被凋量的偏差及阀位开度进行指示;
⑤当调节器用于定值系统时,可以对被调量的给定值进行设定;
⑥当调节器用于比率系统时,可以对比率系数进行设定;
⑦具有输出限幅及抗积分饱和的功能。
25、问答题 具有哪些条件才能进行温度调节系统的投入工作?
点击查看答案
本题答案:A.炉正常运行,过热蒸汽温度达到额定运行温度。
本题解析:试题答案A.炉正常运行,过热蒸汽温度达到额定运行温度。
B.机组负荷在60%以上,再热蒸汽温度达到额定运行参数。
C.减温水调节阀有足够的调节裕量。
D.过热汽温表、再热汽温表指示准确、记录清晰。
E.温度调节系统的设备正常,参数设置正确。
26、填空题 继电器的输入回路被称为(),输出回路称为()。
点击查看答案
本题答案:测量回路;执行回路
本题解析:试题答案测量回路;执行回路
27、单项选择题 当气动调节执行机构动作缓慢甚至不动,可排除在外的原因是()。
A.阀门或挡板内部机械部分有卡涩;
B.气源的进气管路有泄露;
C.气缸内部活塞密封不好;
D.调节机构的位置反馈变送器未调整好。
点击查看答案
本题答案:D
本题解析:暂无解析
28、问答题 绘图题:在热力系统图中,请画出表示流量变送器、压力变送器、液位变送器的图例?
点击查看答案
本题答案:
试题答案
流量变送器 压力变送器 液位变送器
29、填空题 当压力表所测介质具有腐蚀性时,必须在压力表前,加装(),而当所测高温介质时,为防止高温介质直接进入压力表,必须在压力表前,加装()。
点击查看答案
本题答案:中性介质隔离罐;冷凝管
本题解析:试题答案中性介质隔离罐;冷凝管
30、问答题 使用兆欧表检查绝缘时应注意哪些问题?
点击查看答案
本题答案:1)首先根据被测对象选用适当电压等级的兆欧表;
本题解析:试题答案1)首先根据被测对象选用适当电压等级的兆欧表;
2)测量时被测电路要切断电源;
3)带电容的设备测量前后均需放电;
4)兆欧表的引出线应为绝缘良好的多股软线;
5)摇把转动速度为每分120转左右,不应倒摇。
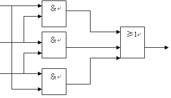
31、问答题 绘图题:画出继电器电路实现的“与”、“或”、“非”电路。
点击查看答案
本题答案:
试题答案
(a)“与”电路;(b)“或”电路;(c)“非”电路
32、问答题 简述差动变压器式远传压力表的工作原理?
点击查看答案
本题答案:差动变压器式远传压力表是一个压力---位移---电感-
本题解析:试题答案差动变压器式远传压力表是一个压力---位移---电感---电压转换装置。在弹性元件自由端连接一个铁芯,利用弹簧管(或膜合膜片)受压后所产生的弹性变形来改变铁芯与线圈之间的相对位置,使线圈的电感量发生改变,从而使压力变化的信号转换成线圈电感量变化的信号,进而改变差动变压器的输出电压。此电压信号经相敏整流后送至二次仪表,指示出被测压力的大小。
33、问答题 &nb sp;如何判断使用过并混合在一起的K型和J型热电偶?
点击查看答案
本题答案:将两支热电偶分别套上绝缘管,使其测量端同时放入盛有热水
本题解析:试题答案将两支热电偶分别套上绝缘管,使其测量端同时放入盛有热水的容器中,冷端处在环境温度下,用电位差计分别测量其热电势,热电势高的为J型热电偶,另一支为K型热电偶。
34、填空题 压力表在()和()时,各对应校验点上,轻敲表壳后,两次读数之差叫压力表的变差。
点击查看答案
本题答案:升压检定、降压检定
本题解析:试题答案升压检定、降压检定
35、问答题 DCS结构可概括为“三点一线”,“三点一线”分别指什么?
点击查看答案
本题答案:三点是指工程师站、操作员站、过程控制站。一线是指将三点
本题解析:试题答案三点是指工程师站、操作员站、过程控制站。一线是指将三点连接起来的高速数据网络。
36、填空题 工业常用热电阻有()、。和镍电阻三种。
点击查看答案
本题答案:铂电阻;铜电阻
本题解析:试题答案铂电阻;铜电阻
37、单项选择题 仪表的精确度用哪种误差来表示?()
A、系统误差;
B、绝对误差;
C、允许误差;
D、相对误差。
点击查看答案
本题答案:C
本题解析:暂无解析
38、单项选择题 弹簧管压力表量程偏大时则应()。
A、逆时针转动机芯;
B、顺时针转动机芯;
C、将示值调整螺钉向外移;
D、将示值调整螺钉向内移。
点击查看答案
本题答案:D
本题解析:暂无解析
39、填空题 热电阻的测温()、(),铂热电阻常用作-200~+500℃范围的标准温度计。
点击查看答案
本题答案:范围宽、精度高
本题解析:试题答案范围宽、精度高
40、填空题 施工现场临近高温、陡坎,深坑及高压带电区等处所均应设置临时遮拦及“()”“()”的标示牌;危险处所夜间应设红灯警示。
点击查看答案
本题答案:止步,危险!;止步,高压危险!
本题解析:试题答案止步,危险!;止步,高压危险!
41、填空题 自动检测是监视对象()的工具。自动报警则是监视对象()的工具。
点击查看答案
本题答案:工作情况;异常情况
本题解析:试题答案工作情况;异常情况
42、问答题 什么是铠装热电阻?
点击查看答案
本题答案:铠装热电阻是把金属保护套管、绝缘材料和电阻体三者组合在
本题解析:试题答案铠装热电阻是把金属保护套管、绝缘材料和电阻体三者组合在一起拉制而成,也称套管热电阻。
43、问答题 图形组态中提供哪两个库?
点击查看答案
本题答案:提供系统图形库和用户图形库。
本题解析:试题答案提供系统图形库和用户图形库。
44、填空题 使用节流式流量计测量流量时,实际流量(),测量误差()。
点击查看答案
本题答案:越小;越大。
本题解析:试题答案越小;越大。
45、多项选择题 MACSV系统的网络可分为()。
A、监控网络;
B、系统网络;
C、控制网络;
D、通信网。
点击查看答案
本题答案:A, B, C
本题解析:暂无解析
46、问答题 简述汽轮机调节级的工作原理。
点击查看答案
本题答案:具有一定压力和温度的蒸汽通过固定喷管膨胀加速,使蒸汽热
本题解析:试题答案具有一定压力和温度的蒸汽通过固定喷管膨胀加速,使蒸汽热能转化为动能。从喷管中出来的高速汽流以一定方向进入动叶,推动叶轮旋转做功,完成蒸汽动能转换成机械能的过程。
47、问答题 压力测点位置的选择遵循的原则是什么?
点击查看答案
本题答案:压力测点位置的选择应遵循以下几点:
(1)取
本题解析:试题答案压力测点位置的选择应遵循以下几点:
(1)取压口不能处于管道的弯曲、分叉和能形成涡流的地方。
(2)当管道内有突出物时,取压口应选在突出物之前。
(3)在阀门前附近取压时,则与阀门的距离应大于管道直径的两倍。若取压口在阀门后,则与阀门距离应大于3倍的管道直径。
(4)对于宽容器,取压口应处于流速平稳和无涡流的区域。
48、填空题 表征生产过程是否正常进行而需要加以调节的物理量称为()。
点击查看答案
本题答案:被调量
本题解析:试题答案被调量
49、问答题 什么叫旁路?什么叫30%旁路?
点击查看答案
本题答案:锅炉产生的新蒸汽和再热蒸汽因故不需要通过汽轮机便可直接
本题解析:试题答案锅炉产生的新蒸汽和再热蒸汽因故不需要通过汽轮机便可直接进入凝汽器的一种特殊管道,称为旁路。旁路可通过的蒸汽流量为额定流量的30%,称为30%旁路。
50、单项选择题 电缆敷设区域的温度不应高于电缆的长期工作允许温度,普通型电缆与热管道保温层交叉敷设时应大于()。
A、500mm;
B、400mm;
C、300mm;
D、200mm。
点击查看答案
本题答案:D
本题解析:暂无解析
51、单项选择题 DKJ电动执行器由()组成。
A.伺服放大器、减速器、位置发送器;
B.伺服放大器、减速器;
C.减速器、位置发送器。
点击查看答案
本题答案:A
本题解析:暂无解析
52、填空题 工业用压力表的精度等级有()、()、()三种。
点击查看答案
本题答案:1.0,1.5,2.5
本题解析:试题答案1.0,1.5,2.5
53、填空题 系统泄压时,做泄压措施前,应先检查确认检修设备和系统确与运行部分可靠的隔离,然后方可()有关的阀门机型泄压。泄压操作时,人员不得正对()的方向。
点击查看答案
本题答案:缓慢开启;压力释放
本题解析:试题答案缓慢开启;压力释放
54、填空题 ZR402氧化锆氧量分析器探头性能测试包括()的测试和()的测试。
点击查看答案
本题答案:加热器内阻;热电阻阻值;探头本底电势。
本题解析:试题答案加热器内阻;热电阻阻值;探头本底电势。
55、问答题 高压加热器有哪些保护?
点击查看答案
本题答案:高压加热器有水位保护。当高压加热器钢管破裂,高压水外流
本题解析:试题答案高压加热器有水位保护。当高压加热器钢管破裂,高压水外流,使高压加热器水位升高时,为了避免高压水进入汽轮机,应当立即切断高压加热器进出水门,打开旁路门进行保护。
56、问答题 调节设备按结构形式可分为哪几类?
点击查看答案
本题答案:调节设备按结构形式可分为基地式、单元组合式和计算机分散
本题解析:试题答案调节设备按结构形式可分为基地式、单元组合式和计算机分散式等类型。
57、问答题 简述压力开关投入程序?
点击查看答案
本题答案:1、开启一次阀门,使导管充满介质
2、二次阀
本题解析:试题答案1、开启一次阀门,使导管充满介质
2、二次阀门为三通门时,缓缓开启排污手轮,用被测介质
将导管冲洗干净后,关闭排污手轮
3、缓缓开启二次阀门,投入仪表
4、测量蒸汽和液体的压力开关应先进行排汽,将开关接头稍松开,稍稍打开二次阀门,放出管内空气,待接头有空气流出后,关紧二次阀门,拧紧接头,再投入仪表。
58、问答题 电子皮带秤是根据什么原理工作的?
点击查看答案
本题答案:电子皮带秤,是根据皮带机在单位时间内输送的原煤量,等于
本题解析:试题答案电子皮带秤,是根据皮带机在单位时间内输送的原煤量,等于单位长度皮带上的原煤量与皮带运行速度的乘积的关系设计的。用荷重传感器应变电桥的应变电阻变化量ΔR/R来模拟单位长度煤量,用应变电桥供桥电压来模拟皮带速度;因此,应变电桥输出的不平衡电压U=K•ΔR/R•E,其大小就可以代表单位时间皮带上输送的煤量。
59、单项选择题 热工调节对象具有()三个结构特性。
A、容量系数、阻力、惯性;
B、容量系数、阻力、传递距离;
C、惯性、阻力、传递距离;
D、容量系数、惯性、传递距离。
点击查看答案
本题答案:B
本题解析:暂无解析
60、问答题 为什么工业生产中很少采用纯积分作用调节器?
点击查看答案
本题答案:积分作用的特点是,只要有偏差,输出就会随时间不断增加,
本题解析:试题答案积分作用的特点是,只要有偏差,输出就会随时间不断增加,执行器就会不停地动作,直到消除偏差,因而积分作用能消除静差。单纯的积分作用容易造成调节动作过头而使调节过程反复振荡,甚至发散,因此工业生产中很少采用纯积分作用调节器,只有在调节对象动态特性较好的情况下,才有可能采用纯积分调节器。
61、判断题 公司对工作环境常常接触粉尘的工作人员,每两年要进行一次职业病(包括尘肺、噪音及其他职业病)体检。
点击查看答案
本题答案:对
本题解析:暂无解析
62、问答题 双金属温度计有什么特点?
点击查看答案
本题答案:双金属温度计具有测温范围宽-100-600、精确度较高
本题解析:试题答案双金属温度计具有测温范围宽-100-600、精确度较高0.5,刻度盘大,刻度线长,使用方便和不易损坏等特点。
63、填空题 温度越高,两金属的自由电子密度相差(),则接触电势()。
点击查看答案
本题答案:越大;越大。
本题解析:试题答案越大;越大。
64、填空题 火力发电厂常用的转速表有离心式转速表、()和()等。
点击查看答案
本题答案:磁电式转速表;电子计数式转速表
本题解析:试题答案磁电式转速表;电子计数式转速表
65、填空题 电接点压力表的检定可分两个步骤进行:(),()。
点击查看答案
本题答案:示值检定;信号(控制)误差检定。
本题解析:试题答案示值检定;信号(控制)误差检定。
66、填空题 汽轮机振动表一般由()、()和显示仪表组成。
点击查看答案
本题答案:振动传感器;振动放大器
本题解析:试题答案振动传感器;振动放大器
67、单项选择题 测量压力的引压管的长度一般不应超过()。
A、10mm;
B、20mm;
C、30mm;
D、50mm。
点击查看答案
本题答案:D
本题解析:暂无解析
68、填空题 标准节流元件有()、()、()、()等。
点击查看答案
本题答案:标准孔板、标准喷嘴、长径喷嘴、文丘利管
本题解析:试题答案标准孔板、标准喷嘴、长径喷嘴、文丘利管
69、问答题 试述滑差电机的工作原理。
点击查看答案
本题答案:滑差电机由鼠笼式异步电动机、电磁转差离合器和测速发电机
本题解析:试题答案滑差电机由鼠笼式异步电动机、电磁转差离合器和测速发电机组成。离合器是调速功能的核心部件,由主动部分和从动部分组成,两部分之间留有一定的气隙,无机械连接,只有电磁力耦合关系。
异步电动机转动,带动与其转子同轴的电枢旋转,由于耦合器电磁力矩的作用,使离合器从动部分跟随电枢的旋转沿同一方向旋转。
离合器的电磁力矩与气隙中的磁感应强度的平方成正比。而磁感应强度的大小与激磁电流(电气控制装置输出直流电流)有关。所以当离合器的负载转矩一定时,只要平滑地改变电气控制装置的输出电流(激磁电流),即可实现对给粉机的调速。
70、问答题 简述什么是单阀控制,有什么特点?
点击查看答案
本题答案:单阀控制,所有高压调门开启方式相同,各阀开度一样,故叫
本题解析:试题答案单阀控制,所有高压调门开启方式相同,各阀开度一样,故叫单阀方式.特点:节流调节,全周进汽。
71、填空题 在差压变送器的取压处和信号管路之间应加装(),以防止()直接进入差压计,使两管路内的液柱高度相等。
点击查看答案
本题答案:冷凝器;高温介质
本题解析:试题答案冷凝器;高温介质
72、判断题 在DKJ电动执行器中采用的异步电动机是要具有启动力矩大、启动电流小,并具有良好的堵转特性。
点击查看答案
本题答案:对
本题解析:暂无解析
73、判断题 VI88M增强型调节器的输入阻抗为250k~以下。
点击查看答案
本题答案:错
本题解析:暂无解析
74、问答题 电缆敷设完毕后应在哪些地方固定?
点击查看答案
本题答案:应固定的地方有:
(1)水平敷设直线段的两端
本题解析:试题答案应固定的地方有:
(1)水平敷设直线段的两端。
(2)垂直敷设所有各支点。
(3)转弯处的两端点上。
(4)穿越电缆管的两端。
(5)引进控制盘,台前300毫米处;引进端子箱前150~300毫米处。
(6)电缆终端头的颈部等处。
75、填空题 测量方法很多,按获取测量结果的程序可分为()和()。
点击查看答案
本题答案:直接测量;间接测量
本题解析:试题答案直接测量;间接测量
76、问答题 绘图题:用开关K1、K2、K3控制一个楼梯灯D,当有2个或3个开关合上时,D亮,否则D不亮,试写出其逻辑表达式并画出其继电器电路图。
点击查看答案
本题答案:
试题答案
D=K1K2+K2K3+K1K3
77、填空题 高压旁路控制系统设计有()、定压、()三种运行方式。
点击查看答案
本题答案:阀位;滑压
本题解析:试题答案阀位;滑压
78、问答题 简述氧化锆氧量分析传感器工作的基本原理?
点击查看答案
本题答案:氧化锆氧量分析传感器是由一种固体电解质—氧
本题解析:试题答案氧化锆氧量分析传感器是由一种固体电解质—氧化锆陶瓷制成的,这是一种具有离子导电性质的固体。在陶瓷体内外两侧烧结附着有电极。当烟气和参比空气中氧气分压力不同时,吸附在氧浓度高一侧电有为上地氧分子得到4个电子,形成两2价氧离子进入固体电解质。
在高温下,由于氧离子从高浓度的地方向低浓度的地方转移在低浓度侧电极上释放多作电子变成氧分子逸出,扩散运动在两侧电极上电荷积聚而产生电动 势,形成一种电极浓差电池,这就是传感器的基本原理。
79、填空题 温度自动调节系统在投入前应做()、再热蒸汽温度动态特性试验和()。
点击查看答案
本题答案:过热蒸汽温度动态特性试验;减温水调节门的特性试验
本题解析:试题答案过热蒸汽温度动态特性试验;减温水调节门的特性试验
80、填空题 目前,具有()、()和()调节规律的调节器在火电厂中得到广泛应用。
点击查看答案
本题答案:比例;积分;微分
本题解析:试题答案比例;积分;微分
81、问答题 如何降低热工信号系统和热工保护系统的误动作率?
点击查看答案
本题答案:1.合理使用闭锁条件,使信号检测回路具有逻辑判断能力。
本题解析:试题答案1.合理使用闭锁条件,使信号检测回路具有逻辑判断能力。
2.采用多重化的热工信号摄取方法,可减少检测回路自身的误动作率。
82、多项选择题 吹扫炉膛负压测点必须做的措施包括()。
A、解除炉膛负压高低Ⅱ值灭炉保护;
B、解除炉膛负压控制自动;
C、解除送风量自动;
D、解除二次风门层操自动。
点击查看答案
本题答案:A, B
本题解析:暂无解析
83、问答题 STB-1100型调节器出现哪些条件时,AL灯(黄色)点亮?
点击查看答案
本题答案:STB-1100型调节器出现下列条件时,AL灯(黄色)
本题解析:试题答案STB-1100型调节器出现下列条件时,AL灯(黄色)点亮。
条件1:1次侧测量值信号超出报警设定值(C07,C08)的范围以外时。
条件2:2次侧偏差信号超出报警设定值(C09,C10)的范围以外时。
条件3:2次侧测量值信号超出报警设定值(2C07,2C08)的范围以外时。
条件4:2次侧偏差信号超出报警设定值(2C09,2C10)的范围以外时。
条件5:模拟输入信号A11~A17为-10%以下或110%以上时(但对;没被编程使用的模拟输入通道,报警显示不起作用)。
条件6:当执行控制运算程序将内部运算的结果“1”存到输出寄存器DO4时。
该仪表AL灯还具备一种“闪亮”的报警方式,当RAM保护电池的电压的3.0以下或4.3以上时,显示灯闪亮。这种闪光动作优先于上述条件而引起的AL灯点亮。
84、填空题 按照误差的特点和性质,误差可分为系统误差、()、()。
点击查看答案
本题答案:偶然误差;粗大误差。
本题解析:试题答案偶然误差;粗大误差。
85、单项选择题 当电动执行机构的不灵敏区调得太小时,执行机构将出现()。
A.实际位置与指令不符;
B.反转;
C.振荡。
点击查看答案
本题答案:C
本题解析:暂无解析
86、多项选择题 涡轮流量计仪表的仪表常数ζ通过()给出其值。
A.理论计算
B.出厂时实验标定
C.根据实际测量流体标定
D.根据水或空气标定
E.根据实验取平均值
点击查看答案
本题答案:B, C, D
本题解析:暂无解析
87、问答题 CD是什么?
点击查看答案
本题答案:芯片上的物理尺寸特征被称为关键尺寸,即CD
本题解析:试题答案芯片上的物理尺寸特征被称为关键尺寸,即CD
88、问答题 汽机旁路系统有哪些热工设备?
点击查看答案
本题答案:高旁系统热工设备:
a)高旁压力变送器(2个
本题解析:试题答案高旁系统热工设备:
a)高旁压力变送器(2个);
b)阀前温度变送器(1个);
c)阀后温度变送器(2个);
d)减压阀:比例阀、位反及位置行程开关、闭锁阀;
e)减温阀:比例阀、位反及位置行程开关;
f)隔离阀:开关电磁阀、位置行程开关;
g)油站:压力开关(3个)P<<、P<、P>;;液位开关(1个)L<;温度开关(2个)T>>、T>。
低旁系统热工设备:
①低旁阀前压力变送器(再热器出口压力);
②低旁阀后压力变送器(2个、A、B侧各1个);
③低旁阀后温度(4个、A、B侧各2个);
④喷水压力(2个、A、B侧各1个);
⑤减压阀(2个)伺服阀、位反及位置行程开关;
⑥低旁减温阀(2个)伺服阀、位反及位置行程开关;
⑦油站(同高旁油站)。
89、问答题 什么叫标准热电偶?
点击查看答案
本题答案:所谓标准热电偶是指作标准用的,用来检定实用热电偶的热电
本题解析:试题答案所谓标准热电偶是指作标准用的,用来检定实用热电偶的热电偶。物理和化学性能都很稳定,并规定有一定的极限误差。
90、填空题 角接标准孔板适用的管道直径(),直径比()。
点击查看答案
本题答案:50~1000mmm、0.22—0.80
本题解析:试题答案50~1000mmm、0.22—0.80
91、填空题 更换隔离后的电接点水位测量筒上电极时,应()、()消压并冷却后方可进行。答:停仪表电源;开排污门。
点击查看答案
本题答案:停仪表电源;开排污门。
本题解析:试题答案停仪表电源;开排污门。
92、问答题 电动单元组合仪表按功能划分为哪几种单元?
点击查看答案
本题答案:电动单元组合仪表按功能划分为变送单元、转换单元、计算单
本题解析:试题答案电动单元组合仪表按功能划分为变送单元、转换单元、计算单元、显示单元、给定单元、调节单元、辅助单元、执行单元。
93、问答题 简述玻璃液体温度计的工作原理?
点击查看答案
本题答案:玻璃液体温度计是利用感温液体热胀冷缩引起液体高度变化的
本题解析:试题答案玻璃液体温度计是利用感温液体热胀冷缩引起液体高度变化的性质测温的。当感温包在被测介质中受到变化作用后,感温液体开始膨胀或收缩,液体沿着毛细管上升或下降,从而在刻度标尺上直接显示出温度值。
94、问答题 什么是比较法检定热电偶?
点击查看答案
本题答案:比较法就是利用高一级的标准热电偶和被检热电偶在检定炉中
本题解析:试题答案比较法就是利用高一级的标准热电偶和被检热电偶在检定炉中直接比较的一种检定方法。就是把标准热电偶与被检热电偶捆扎在一起送入检定炉内,把热电偶的测量端置于均匀的温度场中,用测试仪器测出它们的热电势,以便得出它们之间的差值。
95、问答题 锅炉跟随汽轮机控制方式的基本原理是什么?
点击查看答案
本题答案:锅炉跟随汽轮机控制方式的基本原理是:当负荷要求指令变化
本题解析:试题答案锅炉跟随汽轮机控制方式的基本原理是:当负荷要求指令变化时,通过汽轮机主控制器,先改变主蒸汽调节阀的开度,改变进入汽轮机的蒸汽流量,使发电机输出功率迅速满足负荷要求指令的要求,调节阀开度改变后,锅炉出口的主蒸汽压力随即变化。
96、判断题 DDZ-Ⅱ型电动单元组合仪表以线性集成电路组件作为主要的放大元件;组装式电子控制装置以晶体管作为主要的放大元件。
点击查看答案
本题答案:错
本题解析:暂无解析
97、单项选择题 控制电缆的使用电压为交流()及以下,或直流1000V以下。
A、380V;
B、500V;
C、600V;
D、750V。
点击查看答案
本题答案:B
本题解析:暂无解析
98、问答题 什么叫冗余?什么叫冗余校验?
点击查看答案
本题答案:冗余就是重复的意思。在计算机术语中,冗余是为减少计算机
本题解析:试题答案冗余就是重复的意思。在计算机术语中,冗余是为减少计算机系统或通信系统的故障概率,而对电路或信息的有意重复或部分重复。
冗余校验是通过数位组合是否非法来实现检验的,用称作检验位的冗余位检测计算机所造成的错误。具体做法是,由输入数据的冗余码计算出输出数据的冗余码,然后与结果的冗余码进行比较,判断是否一致。这种冗余码在加法器电路采用偶数时选择奇数。冗余检验一般用于运算电路中。
99、填空题 常见的液柱式压力计有三种,即()、()和斜管微压计。
点击查看答案
本题答案:U形管压力计;单管压力计。
本题解析:试题答案U形管压力计;单管压力计。
100、单项选择题 对于现代大型火电机组的锅炉控制系统的两大支柱是协调控制(CCS)和()。
A.数据采集系统(DAS);
B.顺序控制系统(SCS);
C.炉膛安全监控系统(FSSS);
D.旁路控制系统(BPS)
点击查看答案
本题答案:C
本题解析:暂无解析
101、填空题 表示生产运行情况是否正常而需加以调节的物理量叫(),()所具有的数值叫给定值。
点击查看答案
本题答案:被调量;被调量
本题解析:试题答案被调量;被调量
102、填空题 玻璃液体温度计安全泡的作用是()时.液体把()。
点击查看答案
本题答案:防止温度过高;玻璃管胀裂。
本题解析:试题答案防止温度过高;玻璃管胀裂。
103、填空题 可编程序控制器是利用()原理和技术构成的,是用来处理()信息的自动控制器。
点击查看答案
本题答案:微型电子计算机、开关量。
本题解析:试题答案微型电子计算机、开关量。
104、填空题 热电厂给(),其节流元件多选用孔板。
点击查看答案
本题答案:水流量测量
本题解析:试题答案水流量测量
105、单项选择题 活塞式压力计常用来作为检定一般压力表的()。
A.普通仪器;
B.标准仪器;
C.工作器具。
点击查看答案
本题答案:B
本题解析:暂无解析
106、填空题 当测量蒸汽和液体流量的节流装置低于差压计时,为防止()在测量管路由节流装置引出时,应先下垂不小于(),再向上接至仪表。
点击查看答案
本题答案:空气;500毫米。
本题解析:试题答案空气;500毫米。
107、填空题 禁止在制氢设备、发电机氢系统附近进行()作业或可能产生火花的作业工作人员不得穿()的鞋。
点击查看答案
本题答案:明火;带钉子。
本题解析:试题答案明火;带钉子。
108、问答题 怎样正确使用试电笔?
点击查看答案
本题答案:握持电笔时,有一手应接触笔身的金属部分,验电时应使氖管
本题解析:试题答案握持电笔时,有一手应接触笔身的金属部分,验电时应使氖管小窗背光,并朝向自己,以便观察。对直流220V验电时,一手握电笔,将端头置“+”或“—”电上,另一手接地。为了避免验电时发生意外,试电笔端部应包绝缘,只露出端头。
109、问答题 什么叫微分先行的PID调节器?
点击查看答案
本题答案:微分先行PID调节器实际是测量值先行,它可以减少测量信
本题解析:试题答案微分先行PID调节器实际是测量值先行,它可以减少测量信号的滞后,有利于提高调节品质。
110、填空题 SS-46型双向测振仪是(),其测量结果是振幅的绝对值。
点击查看答案
本题答案:绝对式振动仪
本题解析:试题答案绝对式振动仪
111、名词解释 工作许可人的安全责任什么?
点击查看答案
本题答案:1负责审查工作票所列安全措施是否正确完备是否符合现场条
本题解析:试题答案1负责审查工作票所列安全措施是否正确完备是否符合现场条件
2工作现场布置的安全措施是否完善必要时予以补充
3负责检查检修设备有无突然来电和流入汽、水及可燃易暴有毒有害介质的危险
4对工作票所列内容如有任何疑问应向工作票签发人询问清楚必要时应要求作详细补充
112、单项选择题 在燃煤锅炉中,由于进入炉膛的燃烧量很难准确测量,所以一般选用()信号间接表示进入炉膛的燃料量。
A、风量;
B、蒸汽流量;
C、给水流量;
D、热量。
点击查看答案
本题答案:D
本题解析:暂无解析
113、填空题 逻辑运算中,1和0是指()的取值,它表示的是一种(),没有()的含意。
点击查看答案
本题答案:逻辑变量;状态;数量
本题解析:试题答案逻辑变量;状态;数量
114、问答题 密封风机联锁启动条件?
点击查看答案
本题答案:(1)任一一台一次风机已运行
(2)另一侧密
本题解析:试题答案(1)任一一台一次风机已运行
(2)另一侧密封风机已启
(3)另一侧密封风机已停,或另一侧密封风机故障,或另一侧密封风机出口压力低
115、填空题 热工保护系统不可靠的情况可分为()和()二方面,一般说来()较之()带来的损失更严重。
点击查看答案
本题答案:误动,拒动,拒动,误动
本题解析:试题答案误动,拒动,拒动,误动
116、多项选择题 MACSV系统可以完成下列()功能。
A、实时数据采集;
B、过程控制;
C、顺序控制;
D、对数据进行记录、统计、显示、打印处理。
点击查看答案
本题答案:A, B, C, D
本题解析:暂无解析
117、单项选择题 继电器是一种借助于()或其他物理量的变化而自动切换的电器。
A、机械力;
B、电磁力;
C、电流;
D、电压。
点击查看答案
本题答案:B
本题解析:暂无解析
118、单项选择题 现有以下几种测温装置,在测汽轮机轴瓦温度时,最好选用()
A.镍铬一镍硅热电偶;
B.充气压力式温度计;
C.铂热电阻。
点击查看答案
本题答案:C
本题解析:暂无解析
119、填空题 压力式温度计常见的故障为仪表无指示()、()指示值突然下降等。
点击查看答案
本题答案:跳针;指示值偏大或偏小。
本题解析:试题答案跳针;指示值偏大或偏小。
120、多项选择题 关于导波雷达液位计安装位要求正确的有()。
A、杆式和缆式探头的安装位置离罐壁要有一定距离,在罐壁有挂料的情况下,探头和挂料之间的距离最少为100mm;
B、杆式和缆式探头的安装位置离安装附件越远越好,在距离小于300mm时进行调试时一定要进行“抑制”;
C、有时,杆式和缆式探头可以不接触金属容器壁或底部;
D、当安装在室外时,推荐采用遮阳罩。
点击查看答案
本题答案:A, B, C, D
本题解析:暂无解析
121、问答题 工业调节器的基本运算规律有哪些?
点击查看答案
本题答案:工业调节器的基本运算规律有比例(P)运算,比例积分(P
本题解析:试题答案工业调节器的基本运算规律有比例(P)运算,比例积分(P1)运算和比例积分微分(PID)运算。
122、填空题 冷端补偿器通常是由()和()配套使用的。
点击查看答案
本题答案:热电偶;动圈式仪表。
本题解析:试题答案热电偶;动圈式仪表。
123、问答题 液柱式压力计有哪些变型仪表?
点击查看答案
本题答案:1)单管压力计;(2)倾斜微压计;(3)U型管压力计;
本题解析:试题答案1)单管压力计;(2)倾斜微压计;(3)U型管压力计;
124、单项选择题 导套和模座的配合代号一般选用()。
A、H6/m5
B、H7/f7
C、H6/h5
D、H7/d6
点击查看答案
本题答案:A
本题解析:暂无解析
125、填空题 在实际工作中,铜电阻R。的数值按统一设计标准制成()和()二两种。
点击查看答案
本题答案:50欧;100欧。
本题解析:试题答案50欧;100欧。
126、问答题 DAS系统的基本功能有哪些?
点击查看答案
本题答案:一般来说,DAS系统应具备的基本功能有数据采集、输入信
本题解析:试题答案一般来说,DAS系统应具备的基本功能有数据采集、输入信号预处理、报警、开关量变态处理、事故顺序记录、CRT显示、打印制表和拷贝、操作请求与指导、事故追忆、二次参数计算、性能计算和经济分析、人机联系等功能。
127、问答题 如何生成系统设备状态图?
点击查看答案
本题答案:首先完成设备组态,然后在图形组态工具中执行文件菜单中的
本题解析:试题答案首先完成设备组态,然后在图形组态工具中执行文件菜单中的引入(文件),然后选择设备组态,按照向导逐步生成系统设备状态图。
128、问答题 热电阻温度传感器产生误差的原因有哪几个方面?
点击查看答案
本题答案:有下面三个方面:
(1)分度误差:由于热电阻
本题解析:试题答案有下面三个方面:
(1)分度误差:由于热电阻材料纯度和工艺的差异将产生分度误差。
(2)线路电阻变化引起误差:热电阻是通过测量电阻大小来测温的;因此,线路电阻的大小将影响测量结果,引起测量误差。
(3)通电流发热引起误差:测量热电阻的阻值时,要通过一定的电流,产生热量,若散热量小于产生的热量,电阻体将升温而引起温度测量的附加误差,其大小与流过电流的大小有关。
129、填空题 使用输出信号为4~20毫安的差压变送器作为汽包水位变送器时,当汽包水位在零时,变送器输出为()。
点击查看答案
本题答案:12毫安。
本题解析:试题答案12毫安。
130、判断题 安全生产监督人员在制止违章作业,违章指挥和违反劳动纪律的行为时,在当事人要求解释时,可不必解释理由。
点击查看答案
本题答案:错
本题解析:暂无解析
131、单项选择题 工作用热电偶的检定周期一般为()。
A、半年;
B、1年;
C、1年半;
D、2年。
点击查看答案
本题答案:A
本题解析:暂无解析
132、单项选择题 测速电动机由()和()组成。
A.线圈、定子;
B.定子、转子;
C.线圈、转子。
点击查看答案
本题答案:B
本题解析:暂无解析
133、填空题 对()、()的测量,多选用转子式流量计。
点击查看答案
本题答案:小流量、低雷诺数流体流量
本题解析:试题答案小流量、低雷诺数流体流量
134、填空题 瞬时流量就是()。
点击查看答案
本题答案:单位时间内通过管道某截面的物质的数量
本题解析:试题答案单位时间内通过管道某截面的物质的数量
135、填空题 当汽轮机转速超过()%额定转速时,应进行()。
点击查看答案
本题答案:103;超速保护
本题解析:试题答案103;超速保护
136、问答题 长山电厂EJA变送器常用的参数有哪些?
点击查看答案
本题答案:①压力②零点③模拟量信号输出④量程范围百分比⑤静压⑥工
本题解析:试题答案①压力②零点③模拟量信号输出④量程范围百分比⑤静压⑥工程单位⑦工程单位显示⑧阻尼系数
137、填空题 热工控制回路中所使用的电气设备属于()电压范畴。
点击查看答案
本题答案:低压
本题解析:试题答案低压
138、问答题 1151型差压变送器的校验步骤是什么?
点击查看答案
本题答案:(1)在安装托架上安装变送器,拧上紧固螺栓;
本题解析:试题答案(1)在安装托架上安装变送器,拧上紧固螺栓;
(2)将变送器用U型螺栓固定在现场安装架上;
(3)垂直或水平将导压管的高压侧与变送器的“H”侧相连;
(4)垂直或水平将导压管的低压侧与变送器的“L”侧相连;
(5)将工作电源(+,—)与变送器的接线端(+,—)连接;
(6)先打开变送器组阀的平衡阀,再缓慢打开高、低压侧工作阀;
(7)关闭平衡阀,变送器投入使用。
139、单项选择题 数字电压表是一种将被测的连续并将测量结果以数字形式显示出来的电测仪表()。
A.模拟量;
B.脉冲量;
C.电压量。
点击查看答案
本题答案:C
本题解析:暂无解析
140、问答题 造成汽缸上、下壁温度差值的原因?
点击查看答案
本题答案:1)汽缸内热蒸汽由于自然对流而上升,上缸高于下缸,凝结
本题解析:试题答案1)汽缸内热蒸汽由于自然对流而上升,上缸高于下缸,凝结水因自重而下流,故下缸温度低;
2)下缸如置抽汽管、疏水管具有较大的散热面积;
3)下缸保温条件差。
141、单项选择题 热电阻温度计测温,当仪表指示为无限大时,其故障原因之一是热电阻()。
A、断线;
B、接地;
C、短路;
D、保护套管内积水。
点击查看答案
本题答案:A
本题解析:暂无解析
142、单项选择题 对于下面的被调节量,当运行人员同时开始进行手动调节后,()反应最快。
A、过热器出口温度;
B、再热器出口温度;
C、除氧器水位;
D、二次风流量。
点击查看答案
本题答案:D
本题解析:暂无解析
143、问答题 什么是双波纹管差压计?有什么特点?
点击查看答案
本题答案:双波纹管差压计是一种固定安装的工业仪表,它与节流装置配
本题解析:试题答案双波纹管差压计是一种固定安装的工业仪表,它与节流装置配合使用可测量流体的流量,也可用来测量差压及液位等。其主要特点是:(1)无汞;(2)采用焊接波纹管。因其有效面积一致,可以减少一般差压计在高压下工作所引起的测量误差。因此,可在高静压条件下工作;(3)具有阻尼装置并可调节阻尼时间,可以测量脉动压力。(4)具有单向过载保护装置,能防止因误操作而损坏仪表的感受元件。
144、单项选择题 检定一块准确度等级为1.5级,测量上限为6.0兆帕的压力表,选用的精密压力表的准确度等级和量程为()。
A.0.4级,16兆帕;
B.0.6级,10兆帕;
C.0.25级,10兆帕。
点击查看答案
本题答案:C
本题解析:暂无解析
145、问答题 璃液体温度计与其他测温仪表相比有哪些优点?
点击查看答案
本题答案:玻璃液体温度计与其他测温仪表相比有以下优点:
本题解析:试题答案玻璃液体温度计与其他测温仪表相比有以下优点:
(1)结构简单.价格便宜.制造容易。
(2)具有较高的准确度。
(3)直接读数,使用方便。
缺点:易损坏且无法修理,玻璃水银温度计生产时易产生汞害,损坏时污染环境
146、填空题 兆欧表俗称(),它是专供用来检测电气设备、供电线路()的一种可携式仪表。
点击查看答案
本题答案:摇表;绝缘电阻
本题解析:试题答案摇表;绝缘电阻
147、名词解释 动火工作票工作许可人的安全责任什么?
点击查看答案
本题答案:1工作票所列安全措施是否正确完备是否符合现场条件
本题解析:试题答案1工作票所列安全措施是否正确完备是否符合现场条件
2动火设备于运行设备是否确已隔绝
3向工作负责人作现场交待运行所做的安全措施是否完善
148、单项选择题 三冲量给水调节系统中用()信号作为前馈信号。
A.给水流量
B.负荷
C.蒸汽流量
D.燃料量
点击查看答案
本题答案:C
本题解析:暂无解析
149、填空题 ()和()之间的关系是t=T-273.16。
点击查看答案
本题答案:热力学温度、摄氏温度
本题解析:试题答案热力学温度、摄氏温度
150、填空题 一个工程大气压=()帕=()米水柱。
点击查看答案
本题答案:98066.5;10
本题解析:试题答案98066.5;10
151、问答题 全面质量体系的构成要素有哪些?
点击查看答案
本题答案:全面质量体系的构成要素主要包括:质量方针、质量目标、质
本题解析:试题答案全面质量体系的构成要素主要包括:质量方针、质量目标、质量体系、质量策划、质量成本、质量改进、质量文化及质量审核。
152、单项选择题 采用补偿式平衡容器的差压式水位计在测量汽包水位时能消除()对测量的影响。
A、环境温度;
B、汽包压力和环境温度;
C、被测介质温度;
D、汽包工作压力。
点击查看答案
本题答案:D
本题解析:暂无解析
153、填空题 在实际工作中多采用()对调节器的参数进行整定。
点击查看答案
本题答案:经验法
本题解析:试题答案经验法
154、单项选择题 就地压力表安装时,其与支点的距离应尽量缩短,最大不应超过()mm。
A、400;
B、600;
C、800;
D、1000。
点击查看答案
本题答案:B
本题解析:暂无解析
155、多项选择题 下列SM203主控单元上STDBY灯亮描述正确的是()。
A、SM203主控单元上STDBY灯亮表示主控单元为从机(双机);
B、SM203主控单元上STDBY灯闪表示主控单元为单机或双机系统中一个主控单元故障
C、SM203主控单元上STDBY灯灭表示主控单元为主机(双机);
D、SM203主控单元上STDBY灯闪表示主控单元处于停止状态。
点击查看答案
本题答案:A, B, C
本题解析:暂无解析
156、填空题 压力变送器的“零点迁移”就是把()所对应的被测参数()值由零迁移到某一个的数值。
点击查看答案
本题答案:变送器零点、不为零
本题解析:试题答案变送器零点、不为零
157、问答题 弹簧管式压力表的作用原理是什么?
点击查看答案
本题答案:弹簧管又称波登管,是一根弯曲成圆弧形、螺旋形或S形等形
本题解析:试题答案弹簧管又称波登管,是一根弯曲成圆弧形、螺旋形或S形等形状的管子,呈扁圆形或椭圆形。截面的短轴方向与管子弯曲的径向方向一致,当通入弹簧管内的压力较管外的压力高时,由于短轴方向的内表面积比长轴方向大,受力也大,使管子截面有变圆的趋势。即短轴要增长,长轴要缩短,产生弹性变形。这时自由端必然要向管子伸直的方向移动。当变形引起的弹性力和压力产生的作用力平衡时,变形停止。自由端产生的位移,通过杠杆带动放大机构,使指针偏转一定角度,借助刻度盘指示出被测压力值的大小
158、问答题 一般自动调节系统是由哪几部分构成的?
点击查看答案
本题答案:自动调节系统由:
(1)测量变送单元。
本题解析:试题答案自动调节系统由:
(1)测量变送单元。
(2)给定单元。
(3)调节单元。
(4)执行单元。
(5)被调对象,组成。
159、填空题 除氧器一般设有()保护和()保护。
点击查看答案
本题答案:水位,压力。
本题解析:试题答案水位,压力。
160、问答题 热工保护系统应遵守哪些“独立性”原则?
点击查看答案
本题答案:一、停机、停炉保护逻辑系统应当有独立的逻辑、独立的冗余
本题解析:试题答案一、停机、停炉保护逻辑系统应当有独立的逻辑、独立的冗余控制器、独立的输入/输出系统和独立的电源,且应在功能上和物理上独立于其他逻辑系统,不得与任何其他逻辑系统(如MCS和SCS等)组合在一起。
二、一套保护逻辑系统应仅限于单台机组,不应多台机组共用一套保护逻辑系统。
三、冗余I/O信号应通过不同的I/O模件和通道引入/引出。
四、触发停机、停炉保护信号的开关量仪表和模拟量变送器/传感器应单独设置;当确有困难而需与其他系统合用时,其信号应首先进入保护系统,然后再通过隔离设施引至其他系统。
五、触发停机、停炉保护信号的开关量仪表和模拟量变送器/传感器的取样系统不应与其他系统的发讯器合用,冗余配置的开关量仪表或模拟量变送器/传感器也不应使用同一取样系统。
六、停机、停炉动作命令不应通过通信总线传送。触发停机、停炉的信号应为硬接线。
161、问答题 Ⅱ型仪表系统由哪几部分组成?
点击查看答案
本题答案:TF型仪表系统由模拟组件和数字逻辑组件两部分组成。
本题解析:试题答案TF型仪表系统由模拟组件和数字逻辑组件两部分组成。
162、问答题 微机数据采集系统有那些主要功能?
点击查看答案
本题答案:1)CRT屏幕显示有:模拟图、棒形图、曲线图、相关图、
本题解析:试题答案1)CRT屏幕显示有:模拟图、棒形图、曲线图、相关图、成组显示、成组控制;
2)打印报表:定时制表、随机打印。
3)在线性能计算:二次参数计算,定时进行经济指标计算,操作指导,汽机寿命消耗计算和管理;
4)工程师站可用作运行参数的设置和修改,各种应用软件、生产管理和试验分析等软件的离线开发。
163、问答题 执行机构根据输出位移量不同,可分为哪几种?
点击查看答案
本题答案:执行机构根据输出位移量不同,可分为角位移(角行程)执行
本题解析:试题答案执行机构根据输出位移量不同,可分为角位移(角行程)执行机构和线位移(直行程)执行机构。
164、填空题 测量误差是测量结果与被测量的真值的差,可以用()来表示,也可以用()来表示。
点击查看答案
本题答案:绝对误差;相对误差
本题解析:试题答案绝对误差;相对误差
165、问答题 技能操作题:对于一台刚安装好的智能.ABB执行器,要求全关位置由力矩确定,全开位置由行程确定,如何调试?
点击查看答案
本题答案:(1)将开关置于LOC,长按mode/stop进入主菜
本题解析:试题答案(1)将开关置于LOC,长按mode/stop进入主菜单,用+/-按钮可选择不同的菜单组。
(2)选定某个菜单组后长按mode,/stop,进入该菜单,用+/-按钮可选择不同的子菜单。长按mode/stop,子菜单闪烁,此时可以修改该菜单,按提示关向模式选择力矩,开向模式选择行程,修改后短按mode/stop,屏幕显示SAVE,再按mode/stop确认修改。
(3)短按me(1e/stop退出该主菜单。
166、单项选择题 位置发送器输出电流随铁心位移在正、反两个方向的变化是()。
A.相反的;
B.对称的;
C.相同的。
点击查看答案
本题答案:B
本题解析:暂无解析
167、问答题 DCS对现场I/O量的处理可以为近程I/O和远程I/O两种,说明两者的区别与关系?
点击查看答案
本题答案:区别:近程I/O是将过程量直接通过信号电缆引入计算机,
本题解析:试题答案区别:近程I/O是将过程量直接通过信号电缆引入计算机,其信号电缆传输的是模拟量信号。远程I/O通过远程终端单元实现现场I/O,在远程终端单元和计算机之间通过通信线路实现连接和信号的交换,其通信电缆传输的是数字量。关系:它们都要完成对现场过程量的数据采集。
168、单项选择题 在煤流中,对于灰分Ad>20%的原煤,当煤量不足300t时,应采取的最少子样数目为()个。
A、18
B、20
C、30
D、15
点击查看答案
本题答案:A
本题解析:暂无解析
169、问答题 为什么要设火焰监视和灭火保护?
点击查看答案
本题答案:锅炉燃烧的基本要求是建立和保持稳定的燃烧火焰。若由于操
本题解析:试题答案锅炉燃烧的基本要求是建立和保持稳定的燃烧火焰。若由于操作不当、锅炉负荷道低或燃料变劣等情况,炉膛内热量不足,火焰温度过低,容易造成灭火事故。此外,送风系统发生异常,风量突然大量增加或减少,也容易灭火而这时若继续向炉内输送燃料,就会有爆炸的危险,造成严重的设备或人身事故。为了防止这种恶性事故的出现,对于锅炉燃烧系统,必须设置火焰检油和灭火保护装置。
170、填空题 仪表真空管路敷设,应保持一定的坡度,一般应从()向倾斜,以便将凝结水导回凝汽器,切忌在管路中间出现向下U型弯,造成水封,影响测量。
点击查看答案
本题答案:仪表侧;取样侧。
本题解析:试题答案仪表侧;取样侧。
171、填空题 铜--康铜热电偶,分度号为(),由于铜热电极易氧化,所以在氧化气体中使用不应超过()℃。
点击查看答案
本题答案:T;300。
本题解析:试题答案T;300。
172、名词解释 在热力和机械设备上工作保证安全的组织措施是什么?
点击查看答案
本题答案:工作票制度;工作许可制度;工作监护制度;工作间断、试运
本题解析:试题答案工作票制度;工作许可制度;工作监护制度;工作间断、试运和终结制度:动火工作票制度操作票制度
173、问答题 普通工业型热电偶主要有哪几种?
点击查看答案
本题答案:目前常用的普通工业型热电偶主要有:(1)铂铑10-铂热
本题解析:试题答案目前常用的普通工业型热电偶主要有:(1)铂铑10-铂热电偶;(2)铂铑30-铂铑6热电偶;(3)镍铬-镍硅热电偶;(4)铁-康铜热电偶;(5)铜-康铜热电偶;(6)镍铬-考铜热电偶;(7)镍铬-康铜热电偶。
174、单项选择题 对于24V的PLC输入卡件,通常它的有效高电平输入范围低限为()V。
A、10;
B、15;
C、20;
D、22。
点击查看答案
本题答案:B
本题解析:暂无解析
175、问答题
绘图题:根据图E-7,画出相应的逻辑图。

点击查看答案
本题答案:
试题答案
176、单项选择题 量程为0—10MPa,精度等级为1.5级,其基本允许误差为()MPa。
A、±1.5;
B、±1.0;
C、±0.15;
D、±0.1。
点击查看答案
本题答案:C
本题解析:暂无解析
177、填空题 自动调节系统在动态中,被调参数随()的过程,称为自动调节系统的()或过渡过程。
点击查看答案
本题答案:时间变化;调节过程
本题解析:试题答案时间变化;调节过程
178、填空题 气动仪表的优点是:工作可靠、防火防爆、()、价格较低、()等。
点击查看答案
本题答案:便于维护;抗外界干扰能力强
本题解析:试题答案便于维护;抗外界干扰能力强
179、问答题 带电接点的压力表式温度计的动作原理是什么?
点击查看答案
本题答案:带电接点的压力表式温度计,不仅具有指示部分,还带有可供
本题解析:试题答案带电接点的压力表式温度计,不仅具有指示部分,还带有可供两位调节或控制的电接点。电接点装置的上下限接点可按需要调整到任意给定的温度上,上下限的温度由定接点指示出来,动接点由指针带动。当被测介质的温度超过或低于上限或下限给定的温度时,温度计指针上的动接点便与上限或下限接点相接触,此时,便发出信号闭合或断开控制回路,起调节作用。
180、单项选择题 现有以下几种测温装置,在测汽轮机轴瓦温度时,最好选用()
A.镍铬一镍硅热电偶;
B.充气压力式温度计;
C.铂热电阻。
点击查看答案
本题答案:C
本题解析:暂无解析
181、问答题 绘图题:请用继电器电路实现如下的逻辑表达式Z=K1•Z+K2。
点击查看答案
本题答案:
试题答案
182、单项选择题 集散控制系统的生产管理级,是整个()的协调者和控制者。
A.工艺系统;
B.调节系统;
C.控制系统;
D.数据处理系统。
点击查看答案
本题答案:A
本题解析:暂无解析
183、问答题 使用兆欧表检测绝缘时注意事项?
点击查看答案
本题答案:(1)首先根据被测对象选用适当的电压等级的兆欧表,一般
本题解析:试题答案(1)首先根据被测对象选用适当的电压等级的兆欧表,一般选用550V兆欧表
(2)带电容的设备测量前后均需放电
(3)兆欧表的引出线应为绝缘良好的多股铜芯软线
(4)摇把摇动速度为120rpm作用,不能倒摇。
184、填空题 一般发电厂热力系统中管道的涂色规定为红色(),绿色(),黑色(),黄色()。
点击查看答案
本题答案:过热蒸汽;给水;工业水和循环水;油
本题解析:试题答案过热蒸汽;给水;工业水和循环水;油
185、单项选择题 供给差压计检定时的气源压力最大变化量为气源压力的()。
A、±1%
B、±1.5%
C、±2%
D、±3%。
点击查看答案
本题答案:A
本题解析:暂无解析
186、单项选择题 配热电阻的电子平衡电桥的测量线路中要求每根导线电阻阻值为()
A.2.5Ω
B.5Ω
C.10Ω
D.15Ω
点击查看答案
本题答案:A
本题解析:暂无解析
187、问答题 绘图题:热工信号与保护系统常用的“三取二”信号输入,试画出对应的逻辑框图。
点击查看答案
本题答案:
试题答案
188、单项选择题 深度反馈原理在调节仪表中得到了广泛应用,即调节仪表的动态特性权决定于()。
A、正向环节;
B、反馈环节;
C、调节仪表;
D、以上都是。
点击查看答案
本题答案:B
本题解析:暂无解析
189、单项选择题 孔板弯曲会造成流量示值()。
A、偏高;
B、偏低;
C、不受影响;
D、可能偏低或偏高
点击查看答案
本题答案:D
本题解析:暂无解析
190、问答题 在单元机组负荷控制中负荷要求指令处理模块的主要功能是什么?
点击查看答案
本题答案:主要功能有:
1、正常情况下由ADS或运行人
本题解析:试题答案主要功能有:
1、正常情况下由ADS或运行人员变动负荷,并经速率限制产生负荷要求指令;
2、正常情况下电网调频;
3、变负荷速率限制手动设定;
4、机组最大、最小负荷手动设定;
5、快速返回、快速切断、迫升/迫降和主燃料跳闸时,负荷要求指令跟踪锅炉实际负荷指令。
191、单项选择题 在负载中,电流的方向与电压的方向总是()的。
A.相同
B.相反
C.视具体情况而定
D.任意。
点击查看答案
本题答案:A
本题解析:暂无解析
192、单项选择题 电信号气动执行机构中,气源中断自锁的基础上,增大一个(),就可实现电源中断自锁。
A.二位三通电磁阀;
B.气动功率放大器;
C.反馈凸轮。
点击查看答案
本题答案:A
本题解析:暂无解析
193、填空题 使用节流式流量计测量流量时,实际流量越小,越大,测量的最小流量一般不应小于()倍的最大流量。
点击查看答案
本题答案:误差;l/3~l/4
本题解析:试题答案误差;l/3~l/4
194、问答题 汽包水位过高过低对锅炉有什么危害?
点击查看答案
本题答案:汽包水位是锅炉安全运行中最重要的参数,汽包水位过高,使
本题解析:试题答案汽包水位是锅炉安全运行中最重要的参数,汽包水位过高,使主蒸汽水分大,易使过热器壁结垢,甚至于水冲机;汽包水位过低,易使水质盐份加大,严重时回使水冷壁坩埚。
195、填空题 屏蔽层应一端(),另一端()。
点击查看答案
本题答案:接地;浮空
本题解析:试题答案接地;浮空
196、判断题 在工作中,工作人员应当遵守本公司及本部门的安全生产规章制度和操作规程,服从管理,正确佩戴和使用劳动防护用品。
点击查看答案
本题答案:对
本题解析:暂无解析
197、填空题 热电偶两端所处温度不同,在热电偶回路中便会产生()。
点击查看答案
本题答案:热电势
本题解析:试题答案热电势
198、填空题 测温元件应安装在被测介质温度处,避免装在阀门、()以及()的死角附近。
点击查看答案
本题答案:弯头;管道和设备
本题解析:试题答案弯头;管道和设备
199、问答题 使用电接点水位表应注意哪些问题?
点击查看答案
本题答案:应当注意:
(1)使用的电极要精心挑选.绝缘
本题解析:试题答案应当注意:
(1)使用的电极要精心挑选.绝缘电阻应在2O兆欧以上。
(2)电极应尽可能随锅炉启动同时投入运行,以达到缓慢升温的目的。
(3)运行中需要更换电极时,要关严汽水门,打开排污门,放掉容器内的水,待水位容器消压并完全冷却后,再进行拆装。
(4)更换电极或停用后重新启动水位表时,应先打开排污门,再缓慢开启汽水阀门,缓慢关闭排污门,使仪表投入运行。
(5)拆装电极时,应避免敲打。安装时要细心,丝扣与结合面应完好、垂直。拧入接点时,丝扣要涂抹二硫化钼或铅油。
200、填空题 常用的自动报警装置主要包括()、()、控制电路三大部分。
点击查看答案
本题答案:显示器;音响器
本题解析:试题答案显示器;音响器
题库试看结束后
微信扫下方二维码即可打包下载完整版《★火电厂热工考试》题库
手机用户可保存上方二维码到手机中,在微信扫一扫中右上角选择“从相册选取二维码”即可。
题库试看结束后微信扫下方二维码即可打包下载完整版《火电厂热工考试:火电厂热工考试》题库,分栏、分答案解析排版、小字体方便打印背记!经广大会员朋友实战检验,此方法考试通过率大大提高!绝对是您考试过关的不二利器!
手机用户可保存上方二维码到手机中,在微信扫一扫中右上角选择“从相册选取二维码”即可。
微信搜索关注"91考试网"公众号,领30元,获取公务员事业编教师考试资料40G