时间:2018-12-18 01:41:37


1、问答题 如何处理顶板冒落空洞内积聚的瓦斯?
2、单项选择题 客户经理针对客户产品售后或新营销贵宾客户,必须()内进行一次电话或短信回访。
A.一周
B.一个季度
C.一个月
D.一年
3、填空题 井下岩粉棚和水棚主要起()作用。
4、单项选择题 矿井()进行一次反风设施检查。
A、每2个月
B、每季
C、每4个月
D、每5个月
5、填空题 地面抽放瓦斯泵房内和泵房周围()范围以内,禁止有明火。
6、单项选择题 混入下列()气体可使瓦斯爆炸下限升高。
A.氢气
B.二氧化碳
C.一氧化碳
D.硫化氢
7、单项选择题 采、掘工作面采用串联通风的次数不得超过()。
A、1次
B、2次
C、3次
8、填空题 上井后要及时填写测风报表,做到()、()、()三对口。
9、单项选择题 在开拓新水平的井巷第一次接近未揭露的煤层时,按照地测部门提供的掘进面距煤层的准确位置,必须在距煤层外开始打钻。()
A.10m;
B.15m;
C.5m;
D.20m。
10、填空题 井下充电室必须有()通风系统,回风风流应引入()。
11、判断题 风门门框要垂直顶底板,不得倾斜。
12、单项选择题 低瓦斯矿井采掘工作面每班至少检查()次瓦斯。
A、1
B、2
C、3
D、4
13、单项选择题 光学瓦斯检定器二氧化碳吸收管内的药剂是()。
A.钠石灰
B.氯化钙
C.硅胶
D.活性碳
14、问答题 怎样检查巷道中二氧化碳浓度?
15、填空题 在连接矿井相邻采区的巷道中设置(),可有效阻止瓦斯爆炸火焰的传播。
16、单项选择题 使用局扇的掘进工作面要做到:任何人不得随意停开局扇,因停电检修等原因停风时,必须()。
A.停止工作
B.撤出人员、切断电源
C.停止工作、撤出人员
17、问答题 矿井通风的目的是什么?
18、判断题 煤矿企业必须按规定组织对全体从业人员的安全教育和培训,及时选送主要负责人、安全生产管理人员和特种作业人员到具备相应资质的煤矿安全培训机构参加培训
19、填空题 采煤工作面回风流中,瓦斯和二氧化碳浓度应在距采煤工作面煤壁线()以外的采煤工作面回风巷风流中测定,并取其最大值作为测定结果和处理依据。
20、填空题 矿井总回风巷会一翼回风巷中瓦斯或二氧化碳浓度超过()时,必须立即查明原因,进行处理。
21、单项选择题 下列作业易引起冒顶事故。()
A.采煤机采煤后及时支护;
B.支柱柱脚支在浮煤上;
C.有缺柱、断梁断柱即使补缺更换;
D.加大支柱的初撑力大。
22、单项选择题 甲烷的性质是()
A、无色、无味、无臭、无毒的气体,比重0.97;
B、无色、无味、有臭、有毒的气体,比重0.554;
C、无色、无味、无臭、无毒的气体,比重0.554;
D、无色、无味、无臭、有毒的气体,比重0.97。
23、单项选择题 采区结束后,至多不超过()天,必须在所有同已采区相连通的巷道中设置密闭,全部封闭采区。
A.30
B.45
C.60
D.75
24、单项选择题 下列煤中C元素的含量最高。()
A.泥炭
B.烟煤
C.褐煤
D.无烟煤
25、判断题 瓦斯可以用来制造药品、甲醛和做燃料。
26、多项选择题 下面哪些是检查高冒地点、采煤工作面上隅角、采空区边缘的瓦斯及二氧化碳时的安全操作规范行为()
A.要站在支护完好的地点用探杖送扫检测地点
B.检查时由高到低逐渐向下检查
C.检查时由低到高逐渐向上检查
D.检查人的头部切忌超越检查的最大高度
27、多项选择题 盲巷管理的“四对号”是()。
A.现场牌板
B.台账越高
C.采掘工程图
D.通风系统图
E.瓦斯管理牌板
28、单项选择题 大气压力下降时,矿井瓦斯涌出量()。
A.减小
B.增大
C.不变
D.不能确定
29、判断题 中央式通风方式是进风井和回风井均位于井田倾向的中央。
30、多项选择题 在()情况下,尤其应该注意瓦斯涌出量的变化,以确保安全生产:
A.开采遇地质构造
B.地面大气压明显变化
C.工作面开采接近结束时
D.顶板来压
E.风量调节时
31、单项选择题 为减小邻近煤层涌出的瓦斯对开采层开采工作的影响,常采用()。
A.采空区瓦斯抽放
B.本煤层瓦斯抽放
C.围岩瓦斯抽放
D.临近层瓦斯抽放
32、多项选择题 低瓦斯矿井的()掘进工作面必须在工作面设置甲烷传感器。
A.煤巷
B.半煤岩巷
C.有瓦斯涌出的岩巷
D.所有岩巷
33、单项选择题 人井人员()随身携带自救器。
A.应
B.可根据情况决定是否
C.必须
34、填空题 处理瓦斯积聚应注意的事项:导引风筒内的瓦斯浓度不得超过();专用瓦斯排放巷道汇合后的瓦斯浓度不得超过()。
35、填空题 煤体中的瓦斯通常是以()和吸附状态两种状态存在的。
36、判断题 在采掘工作面,瓦斯浓度小于5%时绝无发生爆炸的危险
37、问答题 如何预防处理顶板附近瓦斯层状积聚?
38、判断题 瓦斯浓度高于16%时,瓦斯不会爆炸也不会燃烧。
39、单项选择题 井下发生火灾时,当火源发生在回风侧或网络较复杂时应采用通风方法。()
A.维护正常通风
B.矿井反风
C.风流短路
D.停止通风机运转
40、判断题 震动爆破应一次装药、一次爆破,打眼和爆破不能平行作业,全部炮眼必须填满炮泥。
41、判断题 生产经营单位为从业人员劳动保护用品时,可根据情况采用货币或者其他物品代替。
42、判断题 开采规模越大,矿井瓦斯涌出量越大。
43、填空题 《煤矿安全规程》规定:井下空气中硫化氢的浓度不得超过()。
44、填空题 采煤工作面进风流是指距煤壁及顶、底板各为()和以采空区的切顶线为界的采煤工作面空间的风流。
45、判断题 矿井发生重大灾害事故后,必须立即成立抢救指挥部,局长任总指挥。
46、单项选择题 过滤式自救器的适用条件是()。
A、氧气浓度不低于17%、一氧化碳浓度不高于1.5%、不含有其它有毒气体的环境中;
B、氧气浓度不低于12%、一氧化碳浓度不高于1.5%、可含有其它有毒气体的环境中;
C、氧气浓度不低于18%、一氧化碳浓度不高于1.0%、可含有其它有毒气体的环境中;
D、氧气浓度不低于18%、一氧化碳浓度不高于1.5%、不含有其它有毒气体的环境中。
47、单项选择题 依据下列矿井瓦斯绝对涌出量,属于高瓦斯矿井的是()。
A、10m3/min;
B、20m3/min;
C、35m3/min;
D、55m3/min。
48、单项选择题 当巷道中出现异常气味,如煤油味、松香味和煤焦油味时,表明风流上方有()隐患。
A.瓦斯突出
B.顶板冒落
C.煤炭自燃
49、单项选择题 在井下()放明炮、糊炮。
A.没有瓦斯时可以
B.不得
C.禁止
50、填空题 瓦斯检查员做到井下记录牌、检查班报手册和瓦斯台账(),检查记录上的检查地点、日期、具体时间、班组、内容、数据、检查人姓名必须完全一致。
51、单项选择题 光干涉式甲烷测定器中目镜是由两个()的平凸镜组成。
A、凸面平行
B、凹面平行
C、凹面相对
D、凸面相对
52、判断题 全风压局部通风是利用局部通风机产生的风压进行通风的一种通风方法。
53、判断题 煤巷、半煤岩巷和有瓦斯涌出的岩巷的掘进工作面未装备甲烷风电闭锁装置或者甲烷断电仪和风电闭锁装置为煤矿重大安全生产隐患。
54、单项选择题 下列是瓦斯喷出前的预兆。()
A.瓦斯浓度变大
B.瓦斯浓度忽大忽小
C.瓦斯涌出量增加时发出咝咝声
D.A、B和C
55、单项选择题 处理火灾事故时,当瓦斯浓度达到()%以上,并继续增加有爆炸危险,救护队员必须立即撤到安全地点,然后采取措施,排除爆炸危险。
A.1
B.2
C.3
D.5
56、判断题 利用光学瓦斯检定器测定瓦斯时对零地点的温度和压力应与被测地点相近。
57、单项选择题 煤与瓦斯突出次数随煤层倾角的增大而()。
A.增加
B.减少
C.不变
D.不确定
58、填空题 在巷道内撒布岩粉可起到抑制或减弱煤尘()的作用。
59、多项选择题 甲烷自动检测报警断电装置的设置地点有()。
A.采煤工作面
B.煤及半煤岩巷掘进工作面
C.串联通风时,被串联工作面的进风流中
D.回风流中的机电硐室
E.水平进风大巷
60、填空题 全部垮落法控制顶板的长壁后退式回采工作面后方的采空区内按浮煤的自燃情况可划分为()、()和()三个带。
61、判断题 利用光学瓦斯检定器测定瓦斯时对零地点与测定地点温度和气压差别大时会造成零点漂移。
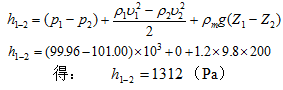
62、问答题
计算题:某倾斜巷道两端口标高分别为-100m和+100m,绝对静压分别为101.00kPa和99.96kPa,巷道内的风速为5m/s,风流向下流动,空气密度为1.2kg/m3,求该条巷道的通风阻力?
63、判断题 矿井抽出式通风又叫负压通风。
64、判断题 井下氧气减少的原因主要是人员呼吸的消耗。
65、单项选择题 增阻调节法是在()风路中安装调节风门,增加风阻,保证风量按需分配。
A.串联
B.并联
C.角联
D.都不是
66、单项选择题 煤矿生产中最常用的矿井通风方法是。()
A.自然通风
B.压入式通风
C.抽出式通风
D.混合式通风
67、问答题 引起煤尘爆炸的主要原因有哪些?
68、单项选择题 采掘工作面瓦斯浓度达到时必须停止电钻打眼。()
A.0.5%
B.0.75%
C.1.0%
D.1.5%
69、判断题 火灾发生在井下分支风路时,一般应立即停运主要通风机。
70、单项选择题 地下开采时,倾角为7º的煤层属煤层。()
A.近水平煤层;
B.缓倾斜煤层;
C.倾斜煤层;
D.急倾斜煤层。
71、单项选择题 巷道的支护形式主要取决于。()
A.围岩性质,压力大小,生产能力,瓦斯涌出量;
B.围岩性质,压力大小,服务年限,用途及断面形状;
C.围岩性质,煤层赋存条件,生产能力,用途及断面形状;
D.压力大小,服务年限,巷道长度、用途及端面形状。
72、填空题 矿井水的来源主要有()、()、()和()等四种。
73、问答题 局部通风机停风时,应采取哪些措施并如何做好瓦斯检查工作?
74、单项选择题 排放巷道积存瓦斯时,()采用“一风吹”方法。
A.严禁
B.不得
C.可以
75、问答题 简述什么叫“一泡三检制”?
76、单项选择题 生产矿井采掘工作面空气温度不得超过(),机电硐室的空气温度不得超过()。
A、24℃、28℃
B、25℃、29℃
C、26℃、30℃
D、29℃、32℃
77、判断题 煤尘粒度越小,爆炸性越强。
78、多项选择题 下列()项影响煤层瓦斯含量。
A.煤田地质
B.地质构造
C.煤层赋存条件
D.煤的变质程度
79、多项选择题 煤层瓦斯含量的大小取决于()。
A.成煤和变质过程中瓦斯生成量的多少
B.瓦斯能被保存下来的条件
C.瓦斯涌出量的多少
D.开采强度
80、问答题 集团公司一号安全指令有几条?是什么?
81、判断题 专用排瓦斯巷风流中瓦斯浓度不得超过3%。
82、单项选择题 矿井备用通风机必须能在()分钟内开动。
A.2
B.5
C.10
D.15
83、判断题 开采突出煤层或石门揭穿突出煤层时,每个采掘工作面的专职瓦斯检查工, 应该巡回检查瓦斯。
84、单项选择题 一炮三检是在采掘工作面()。
A、打眼前、装药前和放炮前;
B、打眼前、放炮前和放炮后;
C、装药前、放炮前和放炮后;
D、放炮前、放炮后和撤警戒后。
85、多项选择题 采煤工作面必须检查瓦斯和CO的地点有()。
A.采煤工作面区域
B.采煤工作面回风流区域
C.采煤工作面进风流区域
D.上隅角
E.下隅角
86、填空题 矿尘中的()是引起矽肺病的主要因素。
87、单项选择题 倾角为50°于()煤层。
A.缓倾斜
B.倾斜
C.急倾斜
88、单项选择题 一般认为,含水煤水分蒸发后,其自燃危险性()。
A.增大
B.变小
C.不变
D.不能确定
89、判断题 处理瞎炮时,若当班未能处理完,爆破工必须同下一班爆破工在现场交待清楚。
90、单项选择题 含暗煤多的煤层,其自然发火危险性()。
A.越大
B.越小
C.不变
D.不能确定
91、单项选择题 容易造成风流紊乱的地点是()。
A.角联巷道
B.串联巷道
C.并联巷道
D.采煤工作面
92、判断题 开采有瓦斯喷出或煤与瓦斯突出的煤层,严禁任何两个工作面串联通风。
93、填空题 瓦斯检查人员必须执行瓦斯()检查制度和请示报告制度。
94、判断题 湿度计是用来测量空气绝对湿度的仪表。
95、填空题 矿尘的分散度有()和()两种表示方法。
96、填空题 ()责任制度是单位各项安全生产规章制度的核心,是单位最基本的管理制度。
97、单项选择题 下列表述正确的是。()
A.后开采的分层瓦斯涌出量比先开采的分层大;
B.老顶初次垮落前瓦斯涌出量大;
C.落煤时的瓦斯涌出量大于其他工序;
D.风量增加时,瓦斯涌出量减少。
98、判断题 使用光学瓦斯检定器检查瓦斯浓度时,读数需要精确到小数点后第二位。
99、判断题 瓦斯超限时瓦斯检查工有权责令现场工作人员停止工作,并撤到安全地点。
100、判断题 瓦斯,煤尘同时存在时,瓦斯浓度越高,煤尘爆炸下限越低。
101、判断题 不管哪种采煤方法,工作面绝对瓦斯涌出量随产量增大而增加。
102、问答题 那些地点需设置瓦斯检查点?
103、判断题 设在回风流中的扩散通风硐室,当深度超过3m时,必须制定安全措施,经矿总工程师批准,并设置瓦斯检查点,其CH4浓度不得超过1%。
104、单项选择题 《煤矿安全规程》规定进风井口以下空气温度应保持()℃以上。
A.0
B.1
C.2
D.4
105、填空题 防止煤尘爆炸的技术措施可分为减尘、降尘、消除落尘和()等四个方面。
106、判断题 使用检定管测定井下气体浓度时,应将50ml气体在100s时间内均匀注入检定管。
107、填空题 在瓦斯抽放工作中,一般测定()个重要参数,必须定期测定和掌握控制。
108、填空题 只有恢复通风的巷道风流中的瓦斯浓度不超过()和二氧化碳浓度不超过()时方可人工局部通风机供风巷道内的电气设备的供电和采区回风系统内的供电。
109、判断题 放炮地点附近20m内风流中瓦斯浓度达到1.5%时,不准装药放炮。
110、单项选择题 ()是煤矿发生瓦斯煤尘爆炸的最大隐患。
A、瓦斯浓度
B、悬浮岩尘
C、悬浮煤尘
D、沉积煤尘
111、单项选择题 下列是形成煤与瓦斯突出的原因。()
A.地应力
B.瓦斯压力
C.煤体的结构
D.A、B和C
112、单项选择题
煤(岩)与瓦斯突出矿井的采煤工作面,甲烷传感器报警浓度、断电浓度、复电浓度分别为()。
A.≥1.0%CH4;≥1.0%CH44;<1.0%CH4
B.≥1.5%CH4;≥1.5%CH44;<1.0%CH4
C.≥1.0%CH4;≥1.5%CH44;<1.0%CH4
D.≥1.5%CH4;≥1.0%CH44;<1.0%CH4
113、单项选择题 瓦检员下井时,必须携带便携式光学甲烷检测仪,仪器必须完好,精度符合要求,同时备有长度大于()的胶管、温度计。
A.0.8m
B.1.5m
C.1.0m
114、单项选择题 井下最优排尘风速是。()
A.0.15m/s以下
B.0.15~1.5m/s
C.1.5~2.0m/s
D.2.0m/s以上
115、问答题 计算题:某某区月工作日为30天,月产量为90000t,回风量为850M3/min,瓦斯浓度为0.6%,求该采区的绝对瓦斯涌出量和相对瓦斯涌出量。
116、单项选择题 火灾事故中,绝大多数遇难者是因()死亡。
A.高温火焰
B.CO中毒
C.未掌握逃生方法
117、判断题 采掘工作面若有高冒点,应设一个瓦斯检查点。
118、单项选择题 井下巷道不得有厚度超过()mm、连续长度超过()m的煤尘堆积。
A.2、5
B.5、2
C.2、20
D.5、20
119、判断题 矿尘中的游离二氧化硅是引起矿工矽肺病的主要原因
120、问答题 瓦斯爆炸有什么预兆?附近人员发现爆炸预兆应怎么办?
121、单项选择题 采煤工作面的2个瓦斯传感器应。()
A.一个布置在进风顺槽,一个布置在回风顺槽
B.一个布置在回风顺槽距工作面10m处,另一个布置在回风顺槽距出风口10~15m处
C.2个均布置在工作面内合适位置
D.一个布置在回风隅角,另一个布置在回风顺槽距出风口10~15m处
122、单项选择题 下列哪种方法不能减小巷道通风阻力。()
A.采用梯形断面的巷道;
B.保持巷道连接部位光滑;
C.断面逐渐变化;
D.清理巷道中不用的堆积物。
123、判断题 瓦斯抽放的三防装置是防回火、防漏气和防爆装置。
124、判断题 长度不超过6m的掘进巷道,可采用扩散通风。
125、单项选择题 掘进工作面的专职瓦斯检查人员井下交接班地点是()。
A.局部通风机处
B.掘进工作面迎头处
C.掘进巷道口处
D.井下任何地点
126、判断题 若能及时发现,自燃火灾比外源火灾容易扑灭。
127、填空题 瓦斯监测仪内部的清洁:未安装目镜组、气室组前,必须对瓦斯检测仪内部进行清洁,在目镜的观察孔洞中观察,应看不到()、()、()、()、()、()等。
128、判断题 放炮前检查瓦斯是一炮三检里的第一检。
129、单项选择题 ()在1个采煤工作面使用2台发爆器同时进行爆破作业。
A.可以
B.不得
C.严禁
130、单项选择题 爆破前爆破地点附近20m以内风流中的瓦斯浓度应小于。()
A.0.5%
B.1.0%
C.1.5%
D.2.0%
131、判断题 断层附近煤层破碎,易丢煤,因此容易发生自然发火。
132、单项选择题 检定管测定气体浓度使用抽气唧筒取样时,当抽气唧筒三通阀把轴线同唧筒轴线呈状态时可抽取试样。()
A.垂直
B.45º
C.一致
D.60º
133、单项选择题 井下焊接作业地点的风流中,瓦斯浓度不得超过()。
A.0.5%
B.0.8%
C.1.0%
134、填空题 排放瓦斯时,检查局部通风机附近()内瓦斯是否超过()。每次启动局部通风机或调整风量后,要及时检查局部通风机是否发生()。
135、单项选择题 矿井外部漏风率()至少测定一次,并做好记录。
A、每月
B、每2个月
C、每季
D、每6个月
136、多项选择题 在于式抽放瓦斯泵吸气侧管路系统中,必须装设有()作用的安全装置,并定期检查,保持性能良好。
A.防有害气体
B.防回火
C.防回气
D.防爆炸
137、判断题 瓦斯涌出量梯度的意义是开采深度每增加一米相对瓦斯涌出量的平均增加值。
138、填空题 井下甲烷传感器应垂直悬挂在顶板下()处。
139、问答题 巷道贯通后,为什么必须及时调整通风系统?
140、问答题 什么是瓦斯压力?
141、问答题 引起瓦斯积聚的主要原因有哪些?
142、判断题 断层等地质构造带附近易发生突出,特别是构造应力集中的部位突出的危险性大。
143、问答题 采煤工作面发生火灾时,现场人员应采取哪些急救措施?
144、判断题 开采有瓦斯喷出或有煤(岩)与瓦斯(二氧化碳)突出危险的煤层时,两个工作面之间可以串联通风。
145、判断题 企业的从业人员没有经过安全教育培训,不了解规章制度,因而造成重大伤亡事故的行为人不应负法律责任。
146、判断题 存在于采掘空间围岩内的力叫矿山压力。
147、单项选择题 当无开采保护层条件且煤层透气性差、地应力高、媒质松软时,可采用作为防突的区域行措施。()
A.水力冲孔
B.预抽瓦斯
C.煤层注水
D.震动放炮
148、单项选择题 作业场所的粉尘浓度,井下每月应测定()次。
A.1
B.2
C.3
D.4
149、判断题 光学瓦斯检定器的毛细管起着连通瓦斯室和大气的作用。
150、判断题 通风方式是指主要通风机的工作方法,有抽出式、压入式和抽压联合等。
151、单项选择题 《煤矿安全规程>规定,回风流中机电设备硐室的()必须安装甲烷传感器,瓦斯浓度不超过0.5%。
A.进风侧
B.回风侧
C.硐室内
D.硐室内和回风侧
152、问答题 简述什么叫“三人连锁爆破制”?
153、单项选择题 光干涉式甲烷测定器条纹宽度是以平面镜()的角度(约55′)来调整的。
A、向前倾斜
B、向后倾斜
C、向前移动
D、向后移动
154、问答题
停风后的恢复通风是如何要求的?
155、问答题 处理局部瓦斯积聚的方法有哪几类?
156、判断题 如震动爆破未能按要求揭穿煤层,掘进剩余部分时可按一般的爆破的要求进行。
157、判断题 每次检查瓦斯的结果要记入瓦斯检查班报手册和检查地点的记录牌上不必告知现场工作人员。
158、多项选择题 瓦斯检查的“三对口”是指()上填记的有关情况和数据完全一致。
A.记录牌板
B.检查手册
C.瓦斯台账
D.瓦检巡回图表
159、判断题 瓦斯的密度比空气小,所以瓦斯易在巷道上部积聚。
160、单项选择题 《规程》规定:当粉尘中的游离二氧化硅含量小于10%时,最大允许粉尘浓度不得超过()。
A.10mg/m3
B.20mg/m3
C.50mg/m3
D.2mg/m3
161、判断题 煤体内的瓦斯在没受采动影响前,游离状态和吸附状态的瓦斯量保持不变。
162、填空题 高瓦斯矿井的煤巷、半煤岩巷和掘进工作面必须在()及其()中设置甲烷传感器。即在工作面小于等于()处和掘进独巷距风口()处分别安设甲烷传感器。
163、单项选择题 采掘工作面瓦斯浓度达到时必须停止工作、切断电源、撤出人员,进行处理。()
A.0.5%
B.0.75%
C.1.0%
D.1.5%
164、问答题 光学甲烷检测仪零点漂移的原因是什么?
165、单项选择题 利用光学瓦斯检定器测定瓦斯时当测点空气湿度过大水分吸收管不能将水分全部吸收时会造成结果。()
A.无干涉条纹
B.干涉条纹不清晰
C.黑基线飘移
D.无读数
166、判断题 增加风阻调节风量法会增加矿井的总风阻但不会使总风量减少。
167、问答题 掘进工作面为什么要求使用防炮崩风筒?
168、判断题 防止瓦斯喷出的常用措施有探明地质构造、排放瓦斯、堵塞裂隙等。
169、判断题 瓦斯检查工有权对危害安全的行为,提出批评、检举和控告。
170、多项选择题 采煤工作面需要检测瓦斯和二氧化碳的地点有()
A.工作面进风流(进风顺槽至工作面煤壁线10米以外的风流)
B.工作面风流(指煤壁、顶板、底板各200mm和以外的风流)
C.上隅角(指采煤工作面回风侧最后一架棚处)
D.工作面回风流及尾巷
E.所有电器设备安装的地点
171、单项选择题 瓦斯检查工对上级单位或领导人忽视职工安全健康的错误决定及行为,()提出批评和控告。
A.不能
B.有权
C.无权
172、问答题 瓦斯检查工交接班制度内容是什么?
173、判断题 瓦斯在煤体中存在的状态是固定不变的。
174、判断题 排放瓦斯时,每次启动局部通风机后,均应检查局部通风机是否有循环风。
175、单项选择题 《规程》规定,低瓦斯矿井中,相对瓦斯涌出量大于()或有瓦斯喷出的个别区域为高瓦斯区,该区应按高瓦斯矿井管理。
A.>2m3/t
B.>5m3/t
C.>8m3/t
D.>10m3/t
176、判断题 巷道内风速太小是造成顶板附近瓦斯层状积聚的主要原因。
177、单项选择题 一般认为,同一种煤水分越多,则着火温度()。
A.越高
B.越低
C.不变
D.不能确定
178、单项选择题 煤矿生产中最常用的掘进通风方法是。()
A.扩散通风
B.局部通风机通风
C.全风压通风
D.引射器通风
179、判断题 爆破前必须检查爆破地点附近10m以内风流中的瓦斯浓度。
180、单项选择题 采煤工作面专用排放瓦斯巷中的瓦斯浓度不得超过()。
A.1.5%
B.2.0%
C.2.5%
D.3.0%
181、单项选择题 总风量等于各分支风量之和是()网路的特性。
A.串联
B.并联
C.简单角联
D.复杂角联
182、判断题 瓦斯是指煤矿井下有害气体的总称,通常特指甲烷。
183、填空题 空气在井巷中流动时,井巷阻止风流流动的作用力叫()。
184、单项选择题 木料场与矸石山的距离不得小于()。
A.30m
B.40m
C.50m
185、问答题 使用检定管测定气体浓度时应注意哪些问题?
186、多项选择题 某矿发生45年来最大的煤矿瓦斯爆炸事故,其中,煤矿八类人员下井未携带便携式瓦斯测定仪是重要原因之一,但有人认为瓦斯检查工、监测系统均可检查瓦斯而无必要携带该仪器。你认为煤矿八类人员下井必须携带便携式瓦斯测定仪的原因是()。
A.与瓦斯检查工、监测系统功能互相补充
B.瓦斯检查工、监测系统可以替代八类人员携带便携式瓦斯测定仪的作用
C.便于连续监测该区域瓦斯浓度的变化
D.光学瓦斯测定仪不如电子瓦斯测定仪准确
187、问答题 检查矿井瓦斯的主要目的是什么?
188、填空题 AQG一1瓦斯测定器的外药管的作用是()。
189、问答题 在掘进工作面:打眼至放炮期间监督检查什么?
190、单项选择题 巷道相向贯通前,当两个工作面的瓦斯浓度时,方可放炮。()
A.都在0.5%以下
B.都在1%以下
C.放炮面在1%以下,停工面1.5%以下
D.放炮面在1%以下
191、单项选择题 采煤工作面爆破地点附近20m范围内风流瓦斯浓度达到1.0%时,严禁爆破:其20m范围是指()。
A.下风流端20m
B.上风流端20m
C.上风流端10m,下风流端20m
D.上、下风流端各20m
192、单项选择题 光学瓦斯检定器按其测量瓦斯浓度的范围分为()两种。
A.0~10%和0~100%
B.0—10%和0--20%
C.0~20%和0~100%
193、填空题 采掘工作面采用串联通风,进入串联工作面风流中,瓦斯和二氧化碳浓度均不得超过()。
194、填空题 对设有各类有支架的巷道来讲,巷道风流是指距支架和巷底各为()mm的巷道空间内的风流。
195、多项选择题 按照瓦斯涌出地点和分布状况,瓦斯来源可分为()。
A.煤岩壁瓦斯涌出
B.采落煤岩瓦斯涌出
C.采空区的瓦斯涌出
D.邻近煤层瓦斯涌出
196、判断题 测定采区回风流中的瓦斯和二氧化碳浓度,应在采区全部汇合后的风流中测定。
197、单项选择题 盲 巷内瓦斯或二氧化碳浓度达到3%或其它有毒气体超过规定不能及时处理,必须在()小时内封闭完毕。
A.24h
B.12h
C.36h
D.48h
198、问答题 瓦斯及二氧化碳浓度检查次数是怎样规定的?
199、判断题 法律责任是指国家特别授权的机关依法追究、强制执行,其它机关和组织无权进行处罚。
200、填空题 光学瓦斯测定器由()、光路、电路三大系统构成。