手机用户可
保存上方二维码到手机中,在
微信扫一扫中右上角选择“从
相册选取二维码”即可。
1、填空题 重力坝双斜面深层抗滑稳定分析的方法有:()法,()法,()法。
点击查看答案
本题答案:剩余推力;被动抗力;等安全系数
本题解析:试题答案剩余推力;被动抗力;等安全系数
2、多项选择题 按挡水面板的形式支墩坝可分为:()。
A、平板坝
B、连拱坝
C、大头坝
D、浆砌石坝
点击查看答案
本题答案:A, B, C
本题解析:暂无解析
3、问答题 简述重力坝应力分析的方法,掌握重力坝水平截面边缘应力的计算公式,边缘主应力面于何处?为何边缘应力是首先需计算的应力?
点击查看答案
本题答案:重力坝应力分析的方法主要有:
⑴模型试验法;
本题解析:试题答案重力坝应力分析的方法主要有:
⑴模型试验法;
⑵材料力学法;
⑶弹性理论的解析法;
⑷弹性理论的差分法;
⑸弹性理论的有限元法。
边缘最小主应力为坝面,最大主应力为垂直于坝面的剖面。因最大最小应力均出现在坝面,所以需首先校核边缘应力。
4、问答题 土石坝为什么要设防渗体?防渗体有哪些形式?
点击查看答案
本题答案:土石坝挡水后,在坝体内会形成由上游的渗流,这会使水库损失水量
本题解析:试题答案土石坝挡水后,在坝体内会形成由上游的渗流,这会使水库损失水量,还引起管涌、流图等渗透变形,对坝颇稳定不利,必须在设计时采取防渗措施以减少渗漏,保证坝体渗透稳定性,故要设防渗体。
防渗体的形式:
1、黏土心墙
2、黏土斜墙
3、非土料防渗体
5、问答题 TT系列调速器有哪些主要特点?
点击查看答案
本题答案:(1)采用一级放大系统。由飞摆带动的引导阀直接控制执行机构-
本题解析:试题答案(1)采用一级放大系统。由飞摆带动的引导阀直接控制执行机构-接力器。
(2)压力油直接由齿轮油泵供给,用溢流阀维持压力恒定。引导阀为正搭叠量结构。不调节时,压力油从溢流阀排掉。
(3)飞摆电动机及油泵电动机的电源直接由发电机母线端或经专用的变压器供给。
(4)开度限制是通过手动操作机构的大手轮来完成的。
(5)手动变速。
6、问答题 什么叫水工隧洞?其作用是什么?
点击查看答案
本题答案:在水利工程中为了输水或泄洪,常穿山开挖建成封闭式的输水道,称
本题解析:试题答案在水利工程中为了输水或泄洪,常穿山开挖建成封闭式的输水道,称为水工隧洞。
按其担负任务的不同,可分为放水隧洞和泄水隧洞。
放水隧洞用来由水库放出用于灌溉、发电和给水等所需的水量;
泄水隧洞可以用于配合溢洪道宣泄部分洪水,泄放水电站尾水、为检修枢纽建筑物或因战备等的需要而放空水库以及排沙等。
7、问答题 抗空蚀的主要措施有哪些?简述掺气装置的组成和类型。
点击查看答案
本题答案:抗空蚀的措施:
掺气减蚀、优化体形、控制溢流面的
本题解析:试题答案抗空蚀的措施:
掺气减蚀、优化体形、控制溢流面的平整度、采用抗空蚀材料。
掺气装置的组成:
①掺气空间:低挑坎、跌坎等;
②通气系统:为掺气空间补气。
掺气空间的形式:
①掺气槽式;
②挑坎式;
③跌坎式;
④挑、跌联合式;
⑤挑坎与掺气槽联合式;
⑥跌坎与掺气槽联合式;
⑦突扩式和分流墩式。
8、单项选择题 工作闸门布置在()的为有压隧洞。
A、进口
B、洞身
C、中部
D、出口
点击查看答案
本题答案:D
本题解析:暂无解析
9、填空题 不平衡剪力在闸墩和底板进行分配时可采用()法和()法。
点击查看答案
本题答案:弹性地基梁;反力直线
本题解析:试题答案弹性地基梁;反力直线
10、判断题 水闸出流平台上小坎的作用是为了形成淹没式水跃。
点击查看答案
本题答案:错
本题解析:暂无解析
11、问答题 YT系列调速器的主要特点有哪些?
点击查看答案
本题答案:(1)YT型为合成式,即调速器油压设备与接力器等组成一
本题解析:试题答案(1)YT型为合成式,即调速器油压设备与接力器等组成一个整体,便于运输及安装。
(2)在结构上能适用于立式或卧式机组,改变主配压阀及反馈锥体的装配方向,便能适用于水轮机导水机构不同的开闭方向。
(3)可满足自动调节及远距离控制的各项要求,并可用手动操作以适应单独供电电站的启动、事故及检修过程中的需要。
(4)飞摆电动机采用感应式电动机,其电源可以由装在水轮机组轴上的永磁发电机供给,也可以由发电机出线端母线通过变压器供给,可根据电站需要选定。
(5)当飞摆电动机失去电源及紧急事故状态下,可以通过紧急停机电磁阀直接操作主配压阀及接力器,迅速关闭水轮机导水机构。
(6)可以改装成适应交流操作的需要。
(7)油压设备运行方式为断续式。
(8)油压设备在工作压力范围内能根据回油箱油位自动补充压力油箱内的空气,从而使压力油箱内油气保持一定的比例。
12、单项选择题 通过坝体的渗透流量()。
A.与坝身材料渗透系数无关,坝体的浸润线与坝身材料渗透系数无关;
B.与坝身材料渗透系数有关,坝体的浸润线与坝身材料渗透系数有关;
C.与坝身材料渗透系数有关,坝体的浸润线与坝身材料渗透系数无关;
D.与坝身材料渗透系数无关。
点击查看答案
本题答案:C
本题解析:暂无解析
13、判断题 排水设施应具有充分的排水能力,不至被泥沙堵塞,以保证在任何情况下都能自由地排出全部渗水。()
点击查看答案
本题答案:对
本题解析:暂无解析
14、问答题 泄槽衬砌应满足什么要求?
点击查看答案
本题答案:泄槽衬砌应满足:
表面光滑平整,不至引起不利
本题解析:试题答案泄槽衬砌应满足:
表面光滑平整,不至引起不利的负压和空蚀;
分缝止水可靠,避免高速水流侵入底板以下,因脉动压力引起破坏;
排水系统畅通,以减小作用于底板上的扬压力;材料能抵抗水流冲刷;
在各种荷载作用下能保持稳定;适应温度变化和一定的抗冻融循环能力。
15、问答题 挑流消能中挑坎承受的主要荷载有哪些?
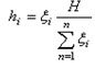
点击查看答案
本题答案:主要有水流离心力、水重、扬压力、脉动压力、混凝土自重等。
本题解析:试题答案主要有水流离心力、水重、扬压力、脉动压力、混凝土自重等。
16、单项选择题 暗适应的时间长度与人在明处逗留的时间长度有关,人在明处逗留的时间越(),则暗适应的时间越()。
A、长,短
B、短,长
C、不能确定
D、长,长
点击查看答案
本题答案:D
本题解析:暂无解析
17、单项选择题 为了满足防洪要求,获得发电、灌溉、供水等方面的效益,需要在河流的适宜地段修建不同类型的建筑物,用来控制和支配水流,这些建筑物通称为()。
A、挡水建筑物
B、水利枢纽
C、大坝
D、水工建筑物
点击查看答案
本题答案:B
本题解析:暂无解析
18、判断题 有压洞纵坡取决于隧洞进出口高差。()
点击查看答案
本题答案:对
本题解析:暂无解析
19、判断题 在同样的条件下,铰结桥板比无横向联系的桥板受力条件要好。()
点击查看答案
本题答案:对
本题解析:暂无解析
20、多项选择题 作用于重力坝的荷载主要有()。
A.自重
B.人群荷载
C.静水荷载
D.扬压力
点击查看答案
本题答案:A, C, D
本题解析:暂无解析
21、问答题 水工隧洞的衬砌有什么作用?
点击查看答案
本题答案:①防止围岩变形,保证围岩的稳定。
②承受围岩
本题解析:试题答案①防止围岩变形,保证围岩的稳定。
②承受围岩压力,内水压力和其他荷载。
③防止渗漏。
④保护围岩免受水流,空气,温度,干湿变化等冲蚀破坏作用。
⑤平整围岩,减小表面粗糙,增大过流能力。
22、单项选择题 进出口航道的航行一般以()。
A、叠标导航为主,叠标的设臵合理与否直接关系到船舶交通安全
B、陆标定位为主,应经常利用陆标定位
C、以浮标引航为主,浮标等助航标志的合理设臵直接关系到船舶交通安全
D、导标导航为主,导标的合理设臵直接关系到船舶交通安全
点击查看答案
本题答案:C
本题解析:暂无解析
23、问答题 调节系统常见故障的主要原因有哪些?
点击查看答案
本题答案:调速器本身以外的原因造成的,大体可归纳为:
本题解析:试题答案调速器本身以外的原因造成的,大体可归纳为:
(1)水力因素由于引水系统水流的压力脉动或振动而导至水轮机的转速脉动。
(2)机械因素主机本身摆动。
(3)电气因素发电机转子和走子的间隙不均匀,电磁力不平衡,励磁系统不稳而使电压振荡,永磁机制造和安装质量不佳而导致飞摆电源信号的脉动。
由调速器本身原因造成的故障:
在处理这类问题之前,首先应当确定故障的属类,然后再进一步缩小分析和观察的范围,尽快找到故障的结所症在,以便对症下药,迅速排除。
在生产实践中遇到的问题往往很复杂,原因也很多。这就要求除认真掌握调速器的基本原理外,对各种故障的表现形式、检查方法及处理对策等,都应全面地了解。
24、判断题 当围岩厚度超过1.5倍开挖洞径时,才考虑弹性抗力。()
点击查看答案
本题答案:错
本题解析:暂无解析
25、单项选择题 梁式渡槽的支承形式有墩式和排架式两种,排架式支承结构一般有()。
A、单排架、双排架、
B、U型排架、组合式排架
C、升卧式排架;
D、半地下式排架。
点击查看答案
本题答案:A
本题解析:暂无解析
26、单项选择题 船舶交通流特征参数是指()。Ⅰ、交通流量;Ⅱ、船舶密度;Ⅲ、交通流速度;Ⅳ、船舶轨迹;Ⅴ、船首时距。
A、Ⅰ~Ⅳ
B、Ⅰ、Ⅱ、Ⅲ
C、Ⅲ、Ⅳ、Ⅴ
D、Ⅰ~Ⅴ
点击查看答案
本题答案:B
本题解析:暂无解析
27、单项选择题 主要发生在粘性土体渗流出口无保护的情况下。
A.管涌
B.流土
C.接触冲刷
D.管涌和流土
点击查看答案
本题答案:B
本题解析:暂无解析
28、单项选择题 ()建立了世界上第一个通航分隔制。
A、1967年在多佛尔海峡
B、1976年在多佛尔海峡
C、1967年在马六甲海峡
D、1976年在马六甲海峡
点击查看答案
本题答案:A
本题解析:暂无解析
29、判断题 拱坝的中心角越大对坝肩岩体稳定越有利。()
点击查看答案
本题答案:错
本题解析:暂无解析
30、单项选择题 下面关于坝体应力的几种说法正确的是()。
A、正常运用期,坝基面的最大铅直正应力应小于坝基容许压应力。
B、正常运用期,坝基面的最大铅直正应力应大于坝基容许压应力。
C、坝体内绝对不允许出现拉应力
D、以上说法都不对。
点击查看答案
本题答案:A
本题解析:暂无解析
31、问答题 什么叫拱圈的最优中心角?
点击查看答案
本题答案:满足坝体应力分布均匀、拱坝的体积较小、拱端稳定性好的拱
本题解析:试题答案满足坝体应力分布均匀、拱坝的体积较小、拱端稳定性好的拱圈中心角。
32、判断题 地下水柱折减系数的取值与地下水活动状态有关。()
点击查看答案
本题答案:对
本题解析:暂无解析
33、填空题 不设闸门时,溢流坝的坝顶高程等于水库的()水位。
点击查看答案
本题答案:正常蓄
本题解析:试题答案正常蓄
34、单项选择题 水工建筑物上的作用主要有()。
A.自重作用、温度作用、渗流作用、流体作用、地震作用
B.自重作用、温升作用、渗流作用、流体作用、地震作用
C.自重作用、温度作用、渗流作用、波浪作用、地震作用
D.自重作用、温度作用、渗压作用、流体作用、地震作用
点击查看答案
本题答案:A
本题解析:暂无解析
35、问答题 试述重力坝防渗帷幕灌浆的目的、设计内容、原则和方法。
点击查看答案
本题答案:帷幕灌浆是在坝踵附近钻孔,进行深层高压灌浆,充填地基中的裂隙
本题解析:试题答案帷幕灌浆是在坝踵附近钻孔,进行深层高压灌浆,充填地基中的裂隙和渗水通道,形成一道连续的砼地下墙。
帷幕灌浆作用是减少坝底渗透压力;降低坝底渗流坡降,防止发生机械或化学管涌;减少渗流量。
设计要求:
①帷幕的深度
帷幕应伸入相对不透水层3—5m。
当相对不透水层较深时,采用悬挂式帷幕深度(0.3~0.7)坝高。
②帷幕的厚度满足抗渗要求。
③灌浆材料:水泥浆和化学灌浆。
④钻孔方向:垂直向下或倾角在10°坝内,以穿过更多的裂隙。
⑤帷幕应伸入两岸坝肩基岩的一定范围内。
36、判断题 用瑞典圆弧法计算土石坝坝坡稳定问题,没有考虑土条间的相互作用力,计算出的抗滑稳定安全系数偏小。()
点击查看答案
本题答案:对
本题解析:暂无解析
37、单项选择题 月夜下,它船灯光受海面反光的影响,感觉距离与实际距离相比()。
A、要远些
B、要近些
C、一样
D、与灯光亮度有关
点击查看答案
本题答案:A
本题解析:暂无解析
38、判断题 水闸是渲泄水库中多余洪水的低水头建筑物。()
点击查看答案
本题答案:错
本题解析:暂无解析
39、单项选择题 为了确保AIS中船舶静态信息的正确和最新,任何时候只要需要,值班驾驶员都应检查这些数据。一般要求至少()。
A、每个航次检查一次
B、每个月检查一次
C、取A和B中时间较短者检查一次
D、取A和B中时间较长者检查一次
点击查看答案
本题答案:C
本题解析:暂无解析
40、单项选择题 用雷达进行船舶交通观测时,应记录()数据。
A、时间、方位、距离、船舶速度等
B、方位、距离、回波点编号、雷达所在的位臵等
C、时间、方位、距离、回波点编号、雷达所在的位臵等
D、时间、方位、距离、船舶速度、船舶航迹等
点击查看答案
本题答案:C
本题解析:暂无解析
41、多项选择题 土石坝设置护坡的目的是()。
A.防止波浪淘刷
B.避免水冲刷
C.提高坝坡稳定性能
D.适应变形的能力
点击查看答案
本题答案:A, B
本题解析:暂无解析
42、单项选择题 采用多种材料筑坝()。
A.其材料的透水性可由上游向下游侧逐渐增小;
B.其材料的透水性可由上游向下游侧逐渐增大;
C.其材料的透水性可由下游向上游侧逐渐增大;
D.其材料的透水性可由上游向下游侧逐渐变化。
点击查看答案
本题答案:B
本题解析:暂无解析
43、判断题 渠道设计的任务是:选定渠道的路线,确定渠道的纵、横断面及渠道的构造,确定渠道的设计流量和糙率等。()
点击查看答案
本题答案:错
本题解析:暂无解析
44、名词解释 涵洞
点击查看答案
本题答案:在土石坝枢纽中,当由于两岸地质条件或其他原因不易开挖隧洞时,
本题解析:试题答案在土石坝枢纽中,当由于两岸地质条件或其他原因不易开挖隧洞时,采用在土石坝下埋社涵管的方式。
45、填空题 泄洪洞与发电洞合一布置时,分岔角一般在()之间;发电洞在分岔段后的长度不宜()自身洞径的10倍。
点击查看答案
本题答案:30~60°;小于
本题解析:试题答案30~60°;小于
46、问答题 说明分等、分级的意义、对象、依据?
点击查看答案
本题答案:分等分级的意义(或目的):为贯彻执行国家经济、技术政策,达到
本题解析:试题答案分等分级的意义(或目的):为贯彻执行国家经济、技术政策,达到既安全又经济的目的。
对象:分等对象是水利水电枢纽工程,分级的对象是水工建筑物。
依据:分等的依据是按工程规模、效益及其在国民经济中的重要性进行分等,分级的依据是按水工建筑物所属的工程等别、及其在枢纽中的最重性进行分级。具体见我国的《水电水电工程等级划分及洪水标准》中的表格规定。
47、问答题 一般如何考虑拱坝的自重作用对坝体应力的影响?
点击查看答案
本题答案:若坝体混凝土全部浇筑完成后进行收缩缝灌浆,则假定全部自
本题解析:试题答案若坝体混凝土全部浇筑完成后进行收缩缝灌浆,则假定全部自重均由悬臂梁承受,自重变位已经完成,不参加拱梁分载法中的变位调整。但对具有垂直向弯曲的双曲拱坝,往往需要限制独立浇筑块的高度以保持坝块的稳定,浇筑到该高程并冷却后先行封拱,再继续向上浇。
此种情况下灌浆前的混凝土自重由悬臂梁单独承受,封拱以后浇筑的混凝土自重将在封拱高程下部的梁和拱之间进行分配。
48、单项选择题 横缝的设置是:()
A.通过于坝轴线,将坝体分成若干坝段;
B.平行于坝轴线,将坝体分成若干坝段;
C.沿着于坝轴线,将坝体分成若干坝段;
D.垂直于坝轴线,将坝体分成若干坝段。
点击查看答案
本题答案:D
本题解析:暂无解析
49、填空题 水利水电工程根据()、()及其()进行分等。
点击查看答案
本题答案:规模;效益;在国民经济中的重要性
本题解析:试题答案规模;效益;在国民经济中的重要性
50、单项选择题 “中华人民共和国船舶交通管理系统安全监督管理规则”规定,为避免紧迫局面的发生,VTS中心可()。
A、要求船舶向右避让
B、向船舶提出建议、劝告或发出警告
C、必要时指挥船舶航行
D、指挥船舶摆脱紧迫局面
点击查看答案
本题答案:B
本题解析:暂无解析
51、单项选择题 AIS所接收到的某船信息可能并不完整,这是因为()。
A、周围有明礁的存在,不能接收得其后面船的AIS信息
B、该船未安装或未连接传感器或传感器(如陀螺仪)无法提供数据
C、周围有船舶可能临时关闭或未开启AIS
D、本船的AIS性能欠佳
点击查看答案
本题答案:B
本题解析:暂无解析
52、多项选择题 关于重力坝下列说法正确的是()。
A、可在坝顶溢流和坝身设置泄水孔泄洪
B、受扬压力的影响较大
C、对地质条件的要求比土石坝低
D、施工期间可以利用坝体导流
点击查看答案
本题答案:A, B, D
本题解析:暂无解析
53、问答题 水利枢纽的设计阶段有哪些?
点击查看答案
本题答案:水利工程勘察设计的全过程可分为项目建议书、可行性研究报告、初
本题解析:试题答案水利工程勘察设计的全过程可分为项目建议书、可行性研究报告、初步设计、招标设计、施工图设计五个阶段。
54、填空题 碾压混凝土重力坝是用()含量比较低的超干硬性混凝土,经()而成的混凝土坝。
点击查看答案
本题答案:水泥;碾压
本题解析:试题答案水泥;碾压
55、问答题 运行油再生应注意哪几个问题?
点击查看答案
本题答案:(1)进行运行油的再生,能充分发挥运行中油的维护作用,
本题解析:试题答案(1)进行运行油的再生,能充分发挥运行中油的维护作用,使运行油长期保持良好的质量。当油已劣化进行运行中油再生工作时,要在酸价较低的情况下才允许进行。若油的酸价较高,不但得不到良好的结果,反而会使油系统中产生大量的油泥沉淀物。所以运行中油的酸价愈小,进行油的再生就愈安全。
(2)吸附剂的粒子不可过小,应采用3-8mm的粗孔粒子。吸附剂的用量为油量的0.5%~1.5%。另外,要将吸附剂中的气体清除后方可使用。
(3)透平油再生前,要将油中水分清除掉,否则影响再生效果和经济性。
(4)吸附器的安装应尽量减少管道的弯曲,油系统应保证正常循环。
56、单项选择题 根据国际电信联盟咨询委员会无线电分委会(ITU-R)的规定,AIS可以使用的频道为()。
A、只能是国际专用频道(87B和88B)
B、各个地区规定的其他海上VHF通信频率
C、国际专用频道和各个地区规定的其他海上VHF通信频率
D、国际专用频道和船舶遇险的数字选择呼叫(DSC)频道
点击查看答案
本题答案:C
本题解析:暂无解析
57、问答题 什么是招标设计?
点击查看答案
本题答案:随着招投标制在中国水利建设领域中的广泛推行,1994年水利部
本题解析:试题答案随着招投标制在中国水利建设领域中的广泛推行,1994年水利部规定,对需进行施工招标且尚未开工的项目,均应在完成初步设计之后进行招标设计。
58、问答题 简述土石坝发生渗透变形形式和防止渗透变形的工程措施各有哪些?
点击查看答案
本题答案:渗透变形的类型有管涌、流土、接触冲刷、接触管涌和接触流
本题解析:试题答案渗透变形的类型有管涌、流土、接触冲刷、接触管涌和接触流土。
防止渗透变形的工程措施有以下几种:
(1)设置防渗设施;
(2)设置排水沟或减压井;
(3)设置反滤层。
59、问答题 重力坝极限状态设计分哪两类?其验算的主要内容是什么?
来源:91 考试网
点击查看答案
本题答案:重力坝极限状态设计包含:
①承载能力极限状态;
本题解析:试题答案重力坝极限状态设计包含:
①承载能力极限状态;
②正常使用极限状态。
其中承载能力极限状态需验算坝基面或深层抗滑稳定和坝趾抗压强度,正常使用极限状态需验算坝踵不出现拉应力。
60、填空题 动力法有()法、()法和数值解法,数值解法有直接积分法和振型分解法。
点击查看答案
本题答案:地质力学;动床试验
本题解析:试题答案地质力学;动床试验
61、问答题 水工混凝土一般应满足哪些性能的要求?其材料组成有哪几种?
点击查看答案
本题答案:满足的性能:
强度、抗渗、抗冻、抗冲刷、抗侵蚀、
本题解析:试题答案满足的性能:
强度、抗渗、抗冻、抗冲刷、抗侵蚀、抗裂等性能。
采用组成:
水泥、掺合剂、外加剂、粗骨料、细骨料、水。
62、单项选择题 驾驶员在不同的航行环境下会有不同的注意广度。注意广度是指()。
A、看到的事物众多,并注意它们的变化
B、注意的范围或指在一定时间范围内所能把握一定清晰度的事物的数量
C、在大洋中所能把握事物的数量
D、有选择地针对一定事物,并使其在自己的大脑中达到完善程度
点击查看答案
本题答案:B
本题解析:暂无解析
63、问答题 如何确定水轮机层的地面高程?
点击查看答案
本题答案:根据已定出的水轮机安装高程,按照蜗壳的断面尺寸及其顶部
本题解析:试题答案根据已定出的水轮机安装高程,按照蜗壳的断面尺寸及其顶部混凝土保护层的厚度,即可定出水轮机层的地面高程。
64、单项选择题 当一个水域中的船舶密度小于最佳密度时,水域()。
A、处于拥挤状态
B、不会拥挤
C、安全受到威胁
D、可自由航行
点击查看答案
本题答案:B
本题解析:暂无解析
65、判断题 河道中的取水枢纽当中,引水闸的引水角越小越好。()
点击查看答案
本题答案:错
本题解析:暂无解析
66、单项选择题 当观测者观测()观测者的航行灯时,会引起观测者的视力低落。
A、位于高出观测者眼睛一定距离且正在接近
B、位于任意位臵正在接近
C、位于观测者眼睛几乎同一高度且正在接近
D、位于观测者眼睛几乎同一高度且正在离开
点击查看答案
本题答案:A
本题解析:暂无解析
67、单项选择题 平压管的作用是()。
A、保证检修闸门静水启闭。
B、排水。
C、排气。
D、补气。
点击查看答案
本题答案:A
本题解析:暂无解析
68、填空题 拱坝遇到温升对()不利;温降对()不利。
点击查看答案
本题答案:坝肩岩体稳定;坝体应力
本题解析:试题答案坝肩岩体稳定;坝体应力
69、单项选择题 船舶领域(ShipSafetyDomain)(避碰领域)是指()。
A、船舶的前后左右保持不受它物侵犯的空区
B、本船与他船的间距
C、A和B都对
D、A和B都错
点击查看答案
本题答案:A
本题解析:暂无解析
70、判断题 水闸是即挡水又泄水的水工建筑物。
点击查看答案
本题答案:对
本题解析:暂无解析
71、填空题 闸底板上、下游端一般设有齿墙,因为有利于(),并()。
点击查看答案
本题答案:抗滑稳定;可延长渗径
本题解析:试题答案抗滑稳定;可延长渗径
72、名词解释 双曲拱桥
点击查看答案
本题答案:是常见的桥梁之一,它由路面、主拱圈、拱上结构和墩台所组成。
本题解析:试题答案是常见的桥梁之一,它由路面、主拱圈、拱上结构和墩台所组成。
73、问答题 何为支墩坝?并简述其结构形式?
点击查看答案
本题答案:支墩坝:
由一系列支墩和挡水面板组成的重力坝
本题解析:试题答案支墩坝:
由一系列支墩和挡水面板组成的重力坝。
支墩坝的结构形式:
①大头坝:
支墩上游端两侧扩大,形成悬臂大头,大头间紧贴挡水。
②连拱坝:
由一系列紧连的拱筒挡水,并与支墩连成整体。
③平板坝:
由平面板简支在支墩上挡水。
74、问答题 水闸有哪些工作特点?
点击查看答案
本题答案:1.稳定方向:水闸必须具有足够的重力,以维持自身的稳定。
本题解析:试题答案1.稳定方向:水闸必须具有足够的重力,以维持自身的稳定。
2.渗流方向:应妥善进行防渗设计。
3.效能防冲方面:必须采取有效的效能防冲措施,以防止河道产生有害的冲刷。
4.沉降方面:采取必需的地基处理等措施,以减小过大的地基沉降和不均匀沉降。
75、填空题 土石坝按施工方法可分为()坝、()坝、和()坝三种型式。
点击查看答案
本题答案:碾压式土石;水力充填;定向爆破堆石
本题解析:试题答案碾压式土石;水力充填;定向爆破堆石
76、判断题 地下水柱折减系数的取值与地下水活动状态有关。()
点击查看答案
本题答案:对
本题解析:暂无解析
77、名词解释 稳定温度场
点击查看答案
本题答案:混凝土坝的各坝块在经过水化热温升后,温度逐渐回落,逐步达到相
本题解析:试题答案混凝土坝的各坝块在经过水化热温升后,温度逐渐回落,逐步达到相对稳定的温度,坝体内形成的温度场称为稳定温度场。
78、判断题 回填灌浆的目的是加固围岩,提高围岩的整体性,减小围岩压力,保证岩石的弹性抗力。()
点击查看答案
本题答案:错
本题解析:暂无解析
79、多项选择题 土石坝沥青混凝土心墙的优点是()。
A.单价低
B.抗渗性能低
C.抗震性能强
D.适应变形的能力强
点击查看答案
本题答案:C, D
本题解析:暂无解析
80、单项选择题 带胸墙水闸()。
A.适于挡水位低于引水水位或排水水位的情况;
B.适于引水位高于挡水水位或排水水位的情况;
C.适于引水位高于引水水位或挡水水位的情况;
D.适于挡水位高于引水水位或排水水位的情况。
点击查看答案
本题答案:D
本题解析:暂无解析
81、问答题 解释下列名词:①管涌;②流土。
点击查看答案
本题答案:①管涌:
破坏形式:坝体和地基土体中的部分颗
本题解析:试题答案①管涌:
破坏形式:坝体和地基土体中的部分颗粒被渗流逐步带走。
特点:发生在无粘性砂土,砾石中。从发生到破坏,持续较长的时间。
②流土:
破坏形式:在渗流的作用下,粘性土和均匀的非粘性土体被浮起。
特点:发生在粘性土及均匀非粘性土中,发生即破坏。
82、问答题 简述浆砌石重力坝的优缺点,其防渗设施有哪些?
点击查看答案
本题答案:浆砌石重力坝的优点:
①就地取材,节约水泥;
本题解析:试题答案浆砌石重力坝的优点:
①就地取材,节约水泥;
②水热化温升低,可不进行温度控制、不设纵缝、坝段长;
③节省模板,减少脚手架,模料用量少,减少了施工干扰;
④施工技术容易掌握,施工安排灵活,缺少施工机械时可人工砌筑。
浆砌石重力坝的缺点:
①人工砌筑的质量易不均;
②石料的修整和砌筑难以机械化,需大量人力;
③砌体防渗性能差,需专设防渗设施;
④工期长。
防渗设施主要有:
①砼防渗面板或防渗墙;
②水泥砂浆勾缝的浆砌石防渗层;
③钢丝网水泥喷浆护面。
83、问答题 拱坝的工作特点有哪些?(从结构、受力、稳定三方面说明)
点击查看答案
本题答案:(1)拱坝是固接于基岩的空间壳体结构,在平面上呈凸向上
本题解析:试题答案(1)拱坝是固接于基岩的空间壳体结构,在平面上呈凸向上游的拱形,其拱冠剖面呈竖直或向上游凸出的曲线形;
(2)坝体结构既有拱作用又有梁作用,其所承受的水平荷载一部分通过拱的作用压向两岸,另一部分通过竖直梁的作用传到坝底基岩;
(3)坝体的稳定主要依靠两岸拱端的反力作用,并不全靠坝体自重来维持。
84、判断题 非粘性土料是填筑坝体或坝壳的主要材料之一,对它的填筑密度也应有严格的要求。压密程度一般用填土的干重度γd来表示。()
点击查看答案
本题答案:错
本题解析:暂无解析
85、单项选择题 露顶平面闸门的止水一般设置在闸门()。
A、下游侧。
B、上游侧。
点击查看答案
本题答案:B
本题解析:暂无解析
86、问答题 闸孔型式有哪几种?各自优缺点及适用条件是什么?
点击查看答案
本题答案:闸孔型式有:开敞式不带胸墙闸孔、开敞式带胸墙闸孔、涵洞式闸孔
本题解析:试题答案闸孔型式有:开敞式不带胸墙闸孔、开敞式带胸墙闸孔、涵洞式闸孔。
(1)开敞式不带胸墙闸孔
①可泄洪、排冰、过木或其他漂浮物等,用于分洪闸、拦河闸;
②过闸水流为堰流;
③位于河道、渠道的过水断面上。
(2)开敞式带胸墙闸孔
适于挡水位高于引水水位、排水水位,如进水闸、排水闸。
减少活动闸门的高度。
(3)涵洞式闸孔:适合于位于河渠、堤防之下的取水、排水水闸。
87、判断题 渠系建筑物中,陡坡、跌水都是落差建筑物。()
点击查看答案
本题答案:对
本题解析:暂无解析
88、判断题 弹性抗力是主动力。()
点击查看答案
本题答案:对
本题解析:暂无解析
89、问答题 闸基渗流的计算目的是什么?有哪些计算方法?各自精度和适用条件如何?
点击查看答案
本题答案:闸基下的渗透压力计算的目的是验算闸室的稳定性。
本题解析:试题答案闸基下的渗透压力计算的目的是验算闸室的稳定性。
直线比例法认为闸基下渗流沿地下轮廓线长度各点的渗透坡降相同,即各点的渗透水头的损失是均匀的。
改进阻力系数法由地下轮廓线上的角点、板桩的尖点的等水头线,将渗流区分为若干段,如进口段、水平段、垂直段、出口段,分别计算各段的水头损失为
,各段中间的水头损失按直线变化,即可绘出闸基下的渗透压力分布图。
改进阻力系数法较直线比例法精度高。
90、单项选择题 扬压力即为:()
A.渗透压力;
B.浮压力;
C.渗透压力和浮压力之和;
D.渗透压力减去浮压力。
点击查看答案
本题答案:C
本题解析:暂无解析
91、名词解释 最有含水量
点击查看答案
本题答案:在一定的铺土厚度、压实功能下,粘性土只有在某一特定的含
本题解析:试题答案在一定的铺土厚度、压实功能下,粘性土只有在某一特定的含水量时才能得到最好的压实,这时的干容重即为最大干容重,而相应的含水量称为最有含水量。
92、问答题 闸墩的墩顶高程如何确定?
点击查看答案
本题答案:闸墩的上游部分的顶面高程应满足以下两个要求:
本题解析:试题答案闸墩的上游部分的顶面高程应满足以下两个要求:
①水闸挡水,不应低于水闸正常蓄水位加波浪计算高度与相应安全超高值之和。
②泄洪时,不应低于设计或校核洪水位与相应安全超高值之和。
93、问答题 简述拱坝应力分析的拱冠梁法。
点击查看答案
本题答案:拱坝应力分析的拱冠梁法是按中央悬臂梁(拱冠梁)与若干层
本题解析:试题答案拱坝应力分析的拱冠梁法是按中央悬臂梁(拱冠梁)与若干层水平拱在其交点变位一致的原则分配荷载的拱坝应力分析方法,是简化了的拱梁分载法。一般是沿坝高选取5~7层水平拱圈,仅考虑承受径向荷载,并假定荷载沿拱圈均匀分布。这种方法适用于对称或接近对称的拱坝,是一种近似的应力分析方法。
94、单项选择题 高度超过()的坝属于高坝。
A、50m
B、60m
C、70m
D、100m
点击查看答案
本题答案:C
本题解析:暂无解析
95、问答题 侧槽溢洪道的布置特点()
点击查看答案
本题答案:组成:由控制段、侧槽、泄槽、消能防冲设施和出水渠等部分
本题解析:试题答案组成:由控制段、侧槽、泄槽、消能防冲设施和出水渠等部分。适用条件:一般适用于坝址山头较高、岸坡较陡、岩石坚固而泄量较小的情况。这种型式的溢洪道多用于中小型工程。特点:溢流堰可采用实用堰,堰顶一般不设闸门。根据地形、地质条件,堰后可以是开敞明槽,也可以是无压隧洞,也可利用施工导流隧洞,如图所示。侧槽溢洪道与正槽溢洪道的主要区别在于侧槽部分,其它部分基本相同。
96、名词解释 空化
点击查看答案
本题答案:水流中某点的气核因该点的压力降至饱和蒸汽压强时气核迅速膨胀为
本题解析:试题答案水流中某点的气核因该点的压力降至饱和蒸汽压强时气核迅速膨胀为小空泡的现象。
97、名词解释 非常溢洪道
点击查看答案
本题答案:当遭遇非常洪水,为确保大坝安全方才启用的泄水建筑物。<
本题解析:试题答案当遭遇非常洪水,为确保大坝安全方才启用的泄水建筑物。
98、问答题 拱坝坝身泄水的方式有哪些?说明各种方式的适用条件。
点击查看答案
本题答案:拱坝的坝身泄水方式主要有自由跌落式、鼻坎挑流式、滑雪道
本题解析:试题答案拱坝的坝身泄水方式主要有自由跌落式、鼻坎挑流式、滑雪道式、坝身泄水孔等。
自由跌落式:
适用于基岩良好,单宽泄流量较小,坝体较薄的双曲拱坝或小型拱坝。
鼻坎挑流式:
适用于坝体较高,单宽流量较大的情况。
滑雪道式:
适用于泄洪量大、坝体较薄的拱坝枢纽中。
坝身泄水孔式:
适用于坝体较高的拱坝。
99、名词解释 水利枢纽
点击查看答案
本题答案:是指集中建造的几种水工建筑物配合使用,形成一个有机的综
本题解析:试题答案是指集中建造的几种水工建筑物配合使用,形成一个有机的综合体,称为水利枢纽。
100、问答题 圆弧滑裂面的基本原理。
点击查看答案
本题答案:①假定不同的半径及圆心位置,画出一系列的假定圆弧滑裂面。
本题解析:试题答案①假定不同的半径及圆心位置,画出一系列的假定圆弧滑裂面。
②对所假定的每一圆弧上的土体进行受力分析,求出坝体上的各力,对圆心的抗滑力矩和滑动力矩。圆弧面上的抗滑安全系数为滑裂面上全部抗滑力矩与滑动力矩之比。
③比较一系列圆弧上的抗滑安全系数,最小的抗滑安全系数所对应的圆弧面为最危险滑弧,要求最小的抗滑安全系数满足设计规范的要求。
101、判断题 土石坝与混凝土建筑物连接的型式有插入式和翼墙式。
点击查看答案
本题答案:对
本题解析:暂无解析
102、名词解释 水闸
点击查看答案
本题答案:是一种利用闸门挡水和泄水的低水头水工建筑物,多建于河道
本题解析:试题答案是一种利用闸门挡水和泄水的低水头水工建筑物,多建于河道、渠系及水库、湖泊岸边。一般由闸室、上游连接段和下游连接段三部分组成。
103、问答题 简述什么叫水泵的性能曲线?
点击查看答案
本题答案:1)水泵的性能曲线是指叶片在恒定的转速下,扬程功率效率
本题解析:试题答案1)水泵的性能曲线是指叶片在恒定的转速下,扬程功率效率和允许吸上真空高度或允许气蚀余量等性能参数随流量而变化的关系。
2)这种关系绘制成曲线称为性能曲线。
104、多项选择题 重力坝设置永久横缝是由于()。
A.施工速度快
B.坝体应力小
C.适应温变化
D.适应地基不均匀沉降
点击查看答案
本题答案:C, D
本题解析:暂无解析
105、问答题 水闸地下轮廓线的布置原则是什么?砂性土地基和粘性土地基地下轮廓线的布置有何不同?
点击查看答案
本题答案:防渗设计一般采用防渗与排水相结合的原则。
即
本题解析:试题答案防渗设计一般采用防渗与排水相结合的原则。
即在高水位侧采用铺盖、板桩、齿墙等防渗设施,用以延长渗径减小渗透坡降和闸底板下的渗透压力;在低水位侧设置排水设施,如面层排水、排水孔或减压井与下游连通,使地基渗水尽快排出,对粘性土地基,布置轮廓线时,排水设施可前移到闸底板下,以降低板下的渗透压力,并有利于粘性土加速固结,以提前闸室稳定性,防渗常用水平铺盖而不用板桩。
对于砂性土地基,当砂层很厚时,采用铺盖与板桩相结合的型式,排水设施布置在护坦上。必要时,铺盖前端再加设一道短板桩;当砂层较薄,下面有不透水层时,将板桩插入不透水层。
106、问答题 土坝稳定分析()
点击查看答案
本题答案:土坝坝坡较缓,在外荷载作用下,不会产生整体水平滑动。如
本题解析:试题答案土坝坝坡较缓,在外荷载作用下,不会产生整体水平滑动。如果剖面尺寸不当或坝体、坝基材料的抗剪强度不足,在一些不利荷载组合下,有可能发生坝体或坝体连同部分坝基一起局部滑动失稳;另外,当坝基内有软弱来层时,也可能发生塑性流动,影响坝的稳定。
107、问答题 厂房为什么要专设消防系统?
点击查看答案
本题答案:对于厂房的防火保安要给以特别的重视,因为水电站的事故可
本题解析:试题答案对于厂房的防火保安要给以特别的重视,因为水电站的事故可能给国民经济造成极大的损失。各种建筑物及设备的布置及大计,均应符合防火保安的专门规定,还要满足国防上的特殊要求。
防火保安的设备和场所是:
发电机的灭火、高压开关电器的灭弧变压器的防爆、开关站的防雷、蓄电池室和油系统室的通风。
消防水泵应充分可靠,并有必要的防火墙、栅、通道和门,以保证电厂安全可靠地发供电。消防水源单独设置,直接供水给各处消火栓。
108、判断题 隧洞中常需要临时性支护和永久性衬砌,以承受围岩压力。()
点击查看答案
本题答案:对
本题解析:暂无解析
109、单项选择题 航速为14~23kn的航行船,AIS船舶报告的频度为();当其改向时,报告的频度为()。
A、每12s,每6s
B、每3s,每2s
C、每6s,每2s
D、每12s,每4s
点击查看答案
本题答案:C
本题解析:暂无解析
110、填空题 溢流坝段的横缝有两种布置方式。其中,横缝布置在()时,相邻坝段产生的不均匀沉陷不影响闸门启闭,但闸墩厚度()。另一种形式,横缝布置在(),闸墩比较薄,但受地基不均匀沉陷的影响大。
点击查看答案
本题答案:闸墩中间;较大;溢流孔跨中
本题解析:试题答案闸墩中间;较大;溢流孔跨中
111、填空题 土石坝挡水后,在坝体内形成由上游向下游的渗流。坝体内渗流的水面线叫做()。其下的土料承受着(),并使土的内磨擦角和粘结力减小,对坝坡稳定()。
点击查看答案
本题答案:浸润线;渗透动水压力;不利
本题解析:试题答案浸润线;渗透动水压力;不利
112、填空题 采用概率极限状态设计时,对重力坝应分别按()极限状态和()极限状态进行强度验算。
点击查看答案
本题答案:承载能力;正常使用
本题解析:试题答案承载能力;正常使用
113、填空题 有压泄水孔的工作闸门布置在()处,检修闸门布置在()。无压泄水孔的工作闸门布置在深孔的进口处,检修闸门布置在进口。
点击查看答案
本题答案:出口;进口
本题解析:试题答案出口;进口
114、问答题 拦水坝按形式可分为几种?
点击查看答案
本题答案:主要有土石坝、重力坝、拱坝、支墩坝和橡胶坝等。
本题解析:试题答案主要有土石坝、重力坝、拱坝、支墩坝和橡胶坝等。
其中土石坝又可分为心墙坝、斜墙坝、堆石坝、均质坝等。
115、单项选择题 根据IMO的“VTS指南”,VTS特别适合于港口的进出航道及具有()特征的水域。
A、船舶速度差异大
B、航道交叉
C、公共转向点
D、通航船舶载有毒的或危险货物
点击查看答案
本题答案:D
本题解析:暂无解析
116、问答题 如何计算作用在水工建筑物上的地震惯性力?
点击查看答案
本题答案:一般情况下,水工建筑物抗震设计只考虑水平向地震作用。水
本题解析:试题答案一般情况下,水工建筑物抗震设计只考虑水平向地震作用。水工建筑物抗震设计计算中采用拟静力法时,沿建筑物高度作用于质点i的水平向地震惯性力代表值可统一用下式计算:

该式中αi为质点的动态分布系数。对不同的建筑物,或在建筑物不同高度处,有不同的取值规定。
117、填空题 结构的极限状态有()极限状态、()极限状态、()极限状态。
点击查看答案
本题答案:承载能力;正常使用;疲劳
本题解析:试题答案承载能力;正常使用;疲劳
118、单项选择题 月夜下,它船灯光受海面反光的影响,感觉距离与实际距离相比()。
A、要远些
B、要近些
C、一样
D、与灯光亮度有关
点击查看答案
本题答案:A
本题解析:暂无解析
119、问答题 压力管道一般采用哪些材料制造?
点击查看答案
本题答案:压力管道一般采用钢管、混凝土(预制、现场浇筑)、木制三
本题解析:试题答案压力管道一般采用钢管、混凝土(预制、现场浇筑)、木制三种材料。
120、问答题 若桥梁的计算荷载为汽-10级,其具体含义是什么?其验算荷载用什么?
点击查看答案
本题答案:这是标准公路桥,汽-10级表示汽车型号,该车载重为10
本题解析:试题答案这是标准公路桥,汽-10级表示汽车型号,该车载重为100kN,计算时可用汽-10级,也可用汽车-10级的一辆车。其验算荷载及横向和车队纵向排列。
121、填空题 隧洞进口建筑物的型式有()、()、()、()。其中()受风浪、冰、地震的影响大,稳定性相对较差,需要较长的工作桥。
点击查看答案
本题答案:竖井式;塔式;岸塔式;斜坡式;塔式
本题解析:试题答案竖井式;塔式;岸塔式;斜坡式;塔式
122、名词解释 弹性抗力
点击查看答案
本题答案:当衬砌承受荷载向围岩方向变形时,会受到围岩的抵抗,这个
本题解析:试题答案当衬砌承受荷载向围岩方向变形时,会受到围岩的抵抗,这个抵抗力称之为弹性抗力。
123、判断题 重力坝坝基面倾向上游时,对坝体的抗滑稳定不利。()
点击查看答案
本题答案:错
本题解析:暂无解析
124、填空题 重力坝的应力状态与(),(),(),(),(),()等因素有关。
点击查看答案
本题答案:坝体轮廓尺寸;静力荷载;地基性质;施工过程;温度变化;地震特
本题解析:试题答案坝体轮廓尺寸;静力荷载;地基性质;施工过程;温度变化;地震特性
125、问答题 水工建筑物分级的依据是什么?共分为几级?
点击查看答案
本题答案:依据:工程等别、作用、重要性;
共分五级。
本题解析:试题答案依据:工程等别、作用、重要性;
共分五级。
126、问答题 坝基软弱夹层有何害处?一般采用什么方法处理?
点击查看答案
本题答案:软弱夹层的影响:
软弱夹层较薄,遇水易泥化、软化
本题解析:试题答案软弱夹层的影响:
软弱夹层较薄,遇水易泥化、软化,使坝基抗剪强度降低,影响坝体抗滑稳定性。
处理方法:
①对于浅埋夹层采用明挖换基,即挖去夹层回填砼的方法;
②对于埋深较浅的深埋夹层可采用坝踵做砼深齿墙以切断夹层的方法;
③对于埋深较深的深埋夹层可采用于夹层做砼塞、坝趾后设深齿墙、坝趾下游岩体埋设预应力锚索等措施。
127、问答题 侧向和反向导承的作用是什么?
点击查看答案
本题答案:侧向导承的作用:
防止闸门主轮脱轨,防止闸门起吊
本题解析:试题答案侧向导承的作用:
防止闸门主轮脱轨,防止闸门起吊不均被门槽卡住。
反向导承的作用:
布置在闸门上游侧,防止闸门前后歪斜、碰撞。
128、填空题 水闸由()段()段和()段组成。
点击查看答案
本题答案:上游联接;闸室段;下游联接
本题解析:试题答案上游联接;闸室段;下游联接
129、判断题 围岩地质条件比较均一的洞身段不设施工缝。()
点击查看答案
本题答案:错
本题解析:暂无解析
130、单项选择题 当船舶减速航行于狭窄水域时,船舶领域(ShipSafetyDomain)(避碰领域)的()。
A、长轴可为8L,短轴为3、2L
B、长轴可为4L,短轴为1、6L
C、长轴可为6L,短轴为1、6L
D、以上都对
点击查看答案
本题答案:C
本题解析:暂无解析
131、问答题 提高重力坝抗滑稳定的工程措施有哪些?
点击查看答案
本题答案:①利用水重来增加坝体自重
②采用有利的开挖轮廓线
本题解析:试题答案①利用水重来增加坝体自重
②采用有利的开挖轮廓线
③设置齿墙
④抽水措施
⑤加固地基
⑥横缝灌浆
132、问答题 试根据不同分类方法说明闸底板有哪些类型?
点击查看答案
本题答案:按水流条件分类:闸底板有有宽顶堰型、实用堰型。
本题解析:试题答案按水流条件分类:闸底板有有宽顶堰型、实用堰型。
按结构受力条件分类:有分离式闸底板、整体式闸底板和反拱式闸底板。
133、单项选择题 堆石棱体排水()。
A.能降低坝体浸润线;
B.不能降低坝体浸润线;
C.对坝体浸润线不影响;
D.提高了坝体浸润线。
点击查看答案
本题答案:A
本题解析:暂无解析
134、单项选择题 “中华人民共和国船舶交通管理系统安全监督管理规则”规定,在VTS水域内应该履行报告的船舶、设施必须按《VTS用户指南》所明确的报告程序和内容,通过()向VTS中心进行船舶动态报告。
A、甚高频无线电话
B、无线电报
C、甚高频无线电话或其他有效手段
D、无线电报或其他手段
点击查看答案
本题答案:C
本题解析:暂无解析
135、名词解释 固结灌浆
点击查看答案
本题答案:当基础在较大范围内节理裂隙发育或破碎而挖除不经济时,可
本题解析:试题答案当基础在较大范围内节理裂隙发育或破碎而挖除不经济时,可对坝基进行低压浅层灌水泥浆,加固以提高坝基整体性,这种灌浆称为固结灌浆。
136、问答题 水闸有哪些辅助消能工?它们各自的形式和作用是什么?
点击查看答案
本题答案:辅助消能工的作用为,加强扰动,增加消能效果,以减少池深、池长
本题解析:试题答案辅助消能工的作用为,加强扰动,增加消能效果,以减少池深、池长。
辅助消能工的形式有:
①在闸室下游接一水平段,并在其后设一道小坎,以防止波状水跃。
②在消力池的前部或后部设消力墩,形成对水流的反力作用。
③尾坎在消力池末端设尾坎,调整出池流速分布。
137、单项选择题 船舶交通实态观测法有()。Ⅰ、模拟器模拟试验;Ⅱ、目视观测法;Ⅲ、雷达观测法;Ⅳ、航空观测法;Ⅴ、VTS中心观测。
A、Ⅰ~Ⅴ
B、Ⅱ~Ⅴ
C、Ⅲ~Ⅴ
D、Ⅱ~Ⅳ
点击查看答案
本题答案:B
本题解析:暂无解析
138、填空题 单宽流量的大小是溢流坝设计中一个很重要的控制指标。如果单宽流量越大,对消能防冲不利,但对枢纽布置()。
点击查看答案
本题答案:有利
本题解析:试题答案有利
139、填空题 溢流堰常见的型式有()和()两大类的堰型有()、抛物线堰(带胸墙的情况)、驼峰堰等。
点击查看答案
本题答案:宽顶堰;实用堰;WES堰
本题解析:试题答案宽顶堰;实用堰;WES堰
140、问答题 溢流坝常用的消能方式有哪几种?消能机理、使用条件如何?
点击查看答案
本题答案:坝重力坝泄水方式有:
①坝顶开敞溢流式
本题解析:试题答案坝重力坝泄水方式有:
①坝顶开敞溢流式
②孔口溢流式
开敞溢流式泄方式有设闸门和不设闸门之分,两者都具有结构简单,超泄能力大的特点。不设闸门时,又可自动泄洪,管理方便,适用于洪水流量小,淹没损失不大的中小型水库。
孔口溢流式泄水方式有固定胸墙和活动胸墙之分,胸墙可以挡水,又可减少闸门高度,降低堰顶高程,孔口溢流式可以根据洪水预报提前放水,腾出较大的防洪库容,提高水库的调洪能力。
141、问答题 断层破碎带,软弱夹层和溶洞是怎样处理的?
点击查看答案
本题答案:开挖回填,封堵。
本题解析:试题答案开挖回填,封堵。
142、单项选择题 用雷达进行船舶交通观测,并用透明纸法录取回波点,在完成一张透明纸的回波记录后,必须()。
A、记录雷达所在的位臵,给透明纸编号,标上时间
B、将回波点编号,记录雷达所在的位臵
C、记录雷达所在的位臵,给透明纸编号,标上时间
D、将回波点编号,给透明纸编号,标上时间
点击查看答案
本题答案:D
本题解析:暂无解析
143、单项选择题 动界(Superdomain)的基本模型是()船舶领域的平滑圆。
A、Goodwin
B、藤井弥平
C、荷兰学者VanderTak
D、英国学者Davis
点击查看答案
本题答案:A
本题解析:暂无解析
144、问答题 详述闸门的分类方式和类型。
点击查看答案
本题答案:㈠按工作性质分类:
①工作闸门:承担各项设计任务
本题解析:试题答案㈠按工作性质分类:
①工作闸门:承担各项设计任务,动水中启闭。
②事故闸门:设备和建筑物出事故时用,动水关闭,静水开启。有快速闸门。
③检修闸门:短期挡水以检修,静水中启闭。
㈡按门叶材料分类:
①钢闸门:最常用。
②钢筋混凝土闸门:低水头用,或施工导流的一次性用。
③钢丝网水泥闸门。
④木闸门:基本不用。
⑤铸铁闸门。
㈢按结构形式和动作特征分类:
①叠梁门:只用于小型涵闸上的检修闸门,或隧道出口挡水闸门。
②平面闸门:应用最广,形式多样。
③转动式门:包括舌瓣闸门、翻板闸门和盖板门(拍门,图片)。
④浮箱闸门:在水中可浮动的空箱,靠充放水启闭,常作检修闸门。
⑤弧形闸门:闸门启闭绕铰座转动,广泛用于工作门。
⑥扇形闸门:外形似弧形门,但有封闭的顶板,铰支在底板上。靠门下空腔冲泄水来启闭闸门,顶板为溢流面,当铰支座位于上游时称鼓形闸门。
⑦圆辊闸门:横卧圆辊,沿门槽轨道滚到底则关闭挡水。
⑧圆筒闸门:直立圆筒,用以封堵竖井环列的一圈孔口,合力为零,启闭力小。
⑨人字闸门:多用于船闸,不能承受双向压力。
㈣按门顶出露水面分类:
①露顶式闸门:溢流坝等闸门顶高于设计水位,出露水面。
②潜孔闸门:具胸墙的溢流坝、深式泄水孔等闸门顶部低于水面。
③阀门:用以封堵管道内部。
145、单项选择题 封闭式溢洪道()。
A.没有超泄能力;
B.有超泄能力;
C.超泄能力大;
D.随着水位增加,有超泄能力。
点击查看答案
本题答案:A
本题解析:暂无解析
146、问答题 提高水闸抗滑稳定的措施有哪些?
点击查看答案
本题答案:①将闸门位置移向低水位一侧,或将水闸底板向高水位一侧加
本题解析:试题答案①将闸门位置移向低水位一侧,或将水闸底板向高水位一侧加长
②适当加大结构尺寸
③增加闸室地板的齿墙深度
④增加铺盖长度或在不影响防渗安全的条件下将排水设施向水闸底板靠近
⑤利用钢筋混凝土铺盖作为阻滑板,但闸室自身抗滑稳定系数应小于1.0,阻滑板应满足限裂要求
147、单项选择题 船舶交通密度是指一个水域中的(),一般用()表示。
A、某个时段内存在的船舶数,单位时段内的量
B、某个单位时段内的船舶数,单位水域内的量
C、某个时段内通过的船舶数,单位时段内的量
D、某个瞬时存在的船舶数,单位水域内的量
点击查看答案
本题答案:D
本题解析:暂无解析
148、名词解释 无坝引水枢纽
点击查看答案
本题答案:无坝引水枢纽是在河道上选择适宜地点开渠修建必要的建筑物引水,
本题解析:试题答案无坝引水枢纽是在河道上选择适宜地点开渠修建必要的建筑物引水,是一种最简单的引水方式。
149、判断题 反滤层中各层滤料的粒径顺渗流方向布置应由粗到细。()
点击查看答案
本题答案:错
本题解析:暂无解析
150、单项选择题 水利水电工程包括哪些方面?()
(A)水利水电工程包括防洪治河、水力发电、农田水利、给水排水、航运等方面;
(B)水利水电工程包括防洪治河、农田水利、给水排水、节水灌溉、航运等方面;
(C)水利水电工程包括防洪治河、水力发电、农田水利、泄洪隧洞、航运等方面;
(D)水利水电工程包括防洪治河、水力发电、给水排水、护岸工程、航运等方面。
点击查看答案
本题答案:A
本题解析:暂无解析
151、单项选择题 某观测者测得某水域的航行船舶数据如下:长度为90~110m的船舶有300艘、140~160m的有80艘、190~210m的有20艘、40~60m的有70艘。该水域的混合交通量为()。
A、470艘
B、578艘
C、535艘
D、495艘
点击查看答案
本题答案:A
本题解析:暂无解析
152、单项选择题 船舶事故的等级可按()确定。
A、人员伤亡及船货损失程度
B、《水上交通事故分级标准表》规定的分级标准
C、特大水上交通事故按照国务院有关规定
D、折合经济损失
点击查看答案
本题答案:C
本题解析:暂无解析
153、判断题 无压隧洞断面尺寸的确定,主要是满足泄流能力和洞内水面线的要求。()
点击查看答案
本题答案:对
本题解析:暂无解析
154、单项选择题 根据IMO的文件,船舶交通管理系统是由()构成的。Ⅰ、VTS机构;Ⅱ、使用VTS的船舶;Ⅲ、通信;Ⅳ、雷达;Ⅴ、工作人员。
A、Ⅰ~Ⅲ
B、Ⅰ~Ⅴ
C、Ⅰ,Ⅳ,Ⅴ
D、Ⅰ~Ⅳ
点击查看答案
本题答案:A
本题解析:暂无解析
155、问答题 整体式平底板应力计算有倒置梁和弹性地基梁法,试述其适用情况。
点击查看答案
本题答案:弹性地基梁在计算闸底板内力时,考虑了地基变形与底板基础
本题解析:试题答案弹性地基梁在计算闸底板内力时,考虑了地基变形与底板基础变形的协调一致,底板下的地基反力呈曲线分布。弹性地基梁是水闸设计规范推荐的计算公式。
倒置梁将闸室底板作为固支在闸墩上的梁来计算闸底板内力,没有考虑地基变形与底板基础变形的协调一致,假定底板下的地基反力呈直线分布。适用于底板上分缝的双悬臂梁式结构。
156、判断题 铺盖具有较好的防渗效果,所以越长越好。()
点击查看答案
本题答案:错
本题解析:暂无解析
157、单项选择题 若把船舶交通管理的发展分为四个历史阶段(四代),则第一代的主要功能和目的是()。Ⅰ、航行安全;Ⅱ、提高交通效率;Ⅲ、建立第一个港口雷达站;Ⅳ、使用全球船载自动识别系统AIS;Ⅴ、减少对海洋环境造成的污染;Ⅵ、遇难与救助。
A、Ⅰ
B、Ⅱ
C、Ⅰ~Ⅳ
D、Ⅲ
点击查看答案
本题答案:B
本题解析:暂无解析
158、问答题 土石坝的特点是什么?试与重力坝作比较?
点击查看答案
本题答案:1.可以就地取材,减小了工程造价
2.对各种不同
本题解析:试题答案1.可以就地取材,减小了工程造价
2.对各种不同的地形、地质和气候条件适应性较强
3.上下游坝坡平缓,坝体体积大,土石方量大,与重力坝相比较来说:
①填筑体为松散体,抗剪强度低;
②抗侵蚀能力较重力坝差;
③散粒体结构,抗冲能力很低;
④土石料存在很大孔隙,易产生相对移动,在自重和水压力作用下,有较大的沉陷。
159、判断题 重力坝主要依靠坝体自身重量产生的抗滑力来满足坝体的稳定要求。()
点击查看答案
本题答案:对
本题解析:暂无解析
160、问答题 简述拱坝消能的形式和防冲措施。
点击查看答案
本题答案:拱坝消能主要有:
跌流消能、挑流消能、底流消能。
本题解析:试题答案拱坝消能主要有:
跌流消能、挑流消能、底流消能。跌流消能水流从表孔直接跌落下游,利用下游水垫消能,落点距坝太近,需采取防冲措。鼻坎挑流、滑雪道、坝身泄水孔等多采用各种型式的鼻坎挑流消能,泄流具有向心集中的特点,可利用泄流对冲消能。对于重力拱坝,泄水孔下弯,可采用底流消能。
防冲措施:
一般在下游需设护坦、护坡、二道坝等防冲措施。
161、问答题 水闸由哪些部件组成?各组成部分的作用有哪些?
点击查看答案
本题答案:水闸一般由闸室、上游连接段和下游连接段三部分组成。本题解析:试题答案水闸一般由闸室、上游连接段和下游连接段三部分组成。
闸室:
是水闸的主体,起着控制水流和连接两岸的作用,包括闸门、闸墩、底板、工作桥、交通桥等几部分。
上游连接段:
作用是引导水流平稳地进入闸室,保护上游河床及岸坡免于冲刷,并有防渗作用,包括有上游防冲槽、铺盖、上游翼墙及两岸护坡等。
下游连接段:
主要作用是消能、防冲和安全排出经闸基及两岸的渗流,包括有:护坦、海漫、下游防冲槽、下游翼墙及两岸护坡等。
162、填空题 闸墩的外形轮廓应满足过闸水流()、()小和()大的要求。
点击查看答案
本题答案:平顺;侧向收缩;过流能力
本题解析:试题答案平顺;侧向收缩;过流能力
163、名词解释 渡槽
点击查看答案
本题答案:输送水流跨越渠道、河流、道路、山冲、谷口等的架空输水建
本题解析:试题答案输送水流跨越渠道、河流、道路、山冲、谷口等的架空输水建筑物。
164、问答题 重力坝的主要荷载有哪些?
点击查看答案
本题答案: www.91eXam.org自重,静水压力,扬压力,动水压力,波浪压力,泥沙压力,
本题解析:试题答案自重,静水压力,扬压力,动水压力,波浪压力,泥沙压力,冰压力,土压力,温度作用,风作用,地震作用
165、多项选择题 重力坝双斜面深层抗滑稳定计算的方法有:()。
A.剩余推力法
B.被动抗力法
C.等安全系数法
D.圆弧法
点击查看答案
本题答案:A, B, C
本题解析:暂无解析
166、判断题 孔隙水压力在土体滑动时能产生摩擦力,增大粘性土体的抗剪强度。()
点击查看答案
本题答案:错
本题解析:暂无解析
167、问答题 浪压力的分布规律是什么?怎样简化的?静水面处的浪压力强度是怎样确定的?
点击查看答案
本题答案:静水位以下为双曲正割函数分布。
简化为线性分
本题解析:试题答案静水位以下为双曲正割函数分布。
简化为线性分布。
按相似性推求。
168、判断题 对于有压洞而言,当考虑弹性抗力时,围岩厚度应不小于3倍洞径。()
点击查看答案
本题答案:对
本题解析:暂无解析
169、问答题 河岸溢洪道如何进行位置的选择?
点击查看答案
本题答案:应选择有利的地形条件,布置在垭口或岸边,尽量避免深挖而形成边
本题解析:试题答案应选择有利的地形条件,布置在垭口或岸边,尽量避免深挖而形成边坡。
1.应布置在稳定的地基上,并考虑岩层及地质构造的性状,充分注意地质条件的变化
2.溢洪道进出口的布置应使水流顺畅,不影响枢纽中其他建筑物的正常运行,进出口不宜距土石坝太近,以免冲刷坝体
3.从施工条件考虑,应便于出渣路线及堆渣场所的布置
170、名词解释 回填灌浆
点击查看答案
本题答案:用浆液填充混凝土与围岩或与钢板之间的空隙和孔洞,以增强
本题解析:试题答案用浆液填充混凝土与围岩或与钢板之间的空隙和孔洞,以增强围岩或结构的密实性的灌浆。这种空隙和孔洞是由于混凝土浇筑施工的缺陷或技术能力的限制所造成的。
171、问答题 渠系建筑物的主要类型有哪些?其作用是什么?
点击查看答案
本题答案:1.控制建筑物:用以调节水位和分配流量。
2.交
本题解析:试题答案1.控制建筑物:用以调节水位和分配流量。
2.交叉建筑物:使渠道与山谷、河流、道路相交所修。
3.落差建筑物:避免渠道落差过于集中。
4.泄水建筑物:保护渠道及建筑物的安全或进行维修,用于放空渠水。
5.冲沙和沉沙建筑物:防止和减小淤积。
6.量水建筑物:用以计量输配水量。
172、问答题 什么是荷载组合?如何进行荷载组合?
点击查看答案
本题答案:将可能作用在建筑物上的所有荷载按其出现的时间是否相同(
本题解析:试题答案将可能作用在建筑物上的所有荷载按其出现的时间是否相同(或相遇概率大小)进行分组,这种分组的方法即为荷载组合;
按照实际情况,考虑不同的荷载组合,按其出现的几率,给予不同的安全系数。即将各组荷载分别作用在所设计的建筑物上,研究建筑物的稳定、强度、裂缝、振动等,并给予相应的安全系数。
173、填空题 溢流坝大孔口溢流式泄水是在闸墩上部设置胸墙,即可利用胸墙挡水,也可()和()。
点击查看答案
本题答案:减少闸门高度;降低堰顶高程
本题解析:试题答案 减少闸门高度;降低堰顶高程
174、多项选择题 按挡水面板的形式支墩坝可分为:()。
A、平板坝
B、连拱坝
C、大头坝
D、浆砌石坝
点击查看答案
本题答案:A, B, C
本题解析:暂无解析
175、单项选择题 AIS和所有仪器一样,对其不能太过信赖,其局限性大致有()。①所接收到的信息未必能完全反映周围船舶的情况;②所接收到的信息可能有错误;③和雷达一样不能获得遮挡物后面船的AIS信息;④所接收到的信息可能不完整。
A、①~④
B、①、②、④
C、①、②
D、②~④
点击查看答案
本题答案:B
本题解析:暂无解析
176、单项选择题 典型的船舶领域(ShipSafetyDomain)(避碰领域)有()。
A、矩形
B、椭圆形
C、圆形
D、以上都对
点击查看答案
本题答案:D
本题解析:暂无解析
177、单项选择题 ()应力分析方法假定坝体由若干层独立工作的水平拱圈叠合而成,每层拱圈可作为弹性固端拱进行计算。
A、有限元法。
B、拱梁分载法。
C、纯拱法。
D、壳体理论计算方法。
点击查看答案
本题答案:C
本题解析:暂无解析
178、问答题 压力前池的作用是什么?
点击查看答案
本题答案:压力前池是引水渠道或无压引水隧洞与压力管道之间的连接建筑物。
本题解析:试题答案压力前池是引水渠道或无压引水隧洞与压力管道之间的连接建筑物。
它的作用是:将引水渠道或无压引水隧洞中的流量均匀地分配给各压力管道,并加以必要的控制,再次清除水中的污物、泥沙、浮冰等;宣泄多余的水量,当水轮机引用流量迅速改变时,压力前池的容积可以起一定的调节作用。
179、问答题 按型立场用于主承钢管,钢管直径范围是多少?
点击查看答案
本题答案:鞍型支墩一般用于管道直径小于1m的压力管道。
本题解析:试题答案鞍型支墩一般用于管道直径小于1m的压力管道。
180、问答题 简述水泵中常用滚动轴承的分类方法。
点击查看答案
本题答案:1)水泵常用滚动轴抽,有能承受径向载荷的向心轴承,能同
本题解析:试题答案1)水泵常用滚动轴抽,有能承受径向载荷的向心轴承,能同时承受径向和轴向载荷的向心推力轴承,以及只能承受轴向载荷的推力轴承
2)若以载荷的大小可分为滚动轴承(球轴承)和滚柱轴承(滚子轴承)两种系列。
181、问答题 一般混流式小型水轮发电机组正常关机的操作步骤有哪些?
点击查看答案
本题答案:(1)记录好停机前各仪表的读数,发电机卸负荷空转。本题解析:试题答案(1)记录好停机前各仪表的读数,发电机卸负荷空转。
(2)缓慢关闭导水叶,待转速降至35%额定转速时进行刹车。
(3)撤下水阻起动按钮,使剩余电能消耗在水阻中。
(4)拉下空气开关和刀型开关把手,挂上“严禁合闸”警告牌。
(5)如长期停机,应放尽管道积水。
182、判断题 我国的水资源分布情况大体是南涝北旱的局面。()
点击查看答案
本题答案:对
本题解析:暂无解析
183、单项选择题 (),船舶交通管理系统引入了计算机系统。
A、19世纪中后期
B、1948年前后
C、1972年左右
D、20世纪90年代
点击查看答案
本题答案:C
本题解析:暂无解析
184、单项选择题 内陆港位于江河的内陆区域,其航道的特点一般是航道长,()。
A、水流复杂,但助航设施较完善
B、支流多,但越往上游助航设施越完善
C、支流多,越往上游助航设施越不完善
D、助航设施完善,可利用水流航行
点击查看答案
本题答案:C
本题解析:暂无解析
185、问答题 拱坝坝身泄流方式有哪几种?各自的优缺点是什么?
点击查看答案
本题答案:自由跌流式:单宽泄量小,落水点距坝趾较近。
本题解析:试题答案自由跌流式:单宽泄量小,落水点距坝趾较近。
鼻坎挑流式:落水点距坝趾较远,泄流量大,但结构复杂,施工困难。
滑雪道式:落水点距坝趾较远,落差大,挑距远,泄量大,拱坝较薄。结构复杂,施工困难。
坝身泄水孔式:压力流,流速大,挑距远,结构复杂,施工困难。
186、单项选择题 当物标(如来船的桅灯)在垂直方向移动而接近本船时,其与本船的实际距离()驾驶员的视觉(估计)距离。
A、大于
B、等于
C、小于
D、有时大于,有时小于
点击查看答案
本题答案:C
本题解析:暂无解析
187、问答题 简述水泵并联运行的条件。
点击查看答案
本题答案:1)水泵并联的条件是:并联的几台水泵的扬程基本相等,至
本题解析:试题答案1)水泵并联的条件是:并联的几台水泵的扬程基本相等,至少是关闭点(即Q=0)的扬程基本相等,并且扬程曲线是下降的。
2)否则低扬程的水泵有可能不发挥作用,甚至水从低扬程的那台水泵倒流,并联就失去了意义。
188、单项选择题 在结构设计中就存在着作用效应的组合问题。所谓作用效应组合是指:()
(A)结构上一两种同时出现的作用分别产生的作用效应的随机叠加;
(B)结构上几种不可能同时出现的作用分别产生的作用效应的随机叠加;
(C)结构上几种可能同时出现的作用分别产生的作用效应的随机叠加;
(D)结构上几种可能同时出现的作用的随机叠加。
点击查看答案
本题答案:C
本题解析:暂无解析
189、单项选择题 当航进中的船舶遇到浅滩的突出部分或以小角度接近浅滩时,由于压垫效应,()。
A、船尾会先偏离浅滩,造成偏航
B、船首和船尾会同时偏离浅滩,不会造成偏航
C、船首和船尾会同时靠向浅滩,造成搁浅的危险
D、船首会先偏离浅滩,造成偏航
点 击查看答案
本题答案:D
本题解析:暂无解析
190、单项选择题 开敞式溢洪道的泄流能力与水头H的()成正比。
A、1/2次方
B、5/2次方
C、3/2次方
D、2/3次方
点击查看答案
本题答案:C
本题解析:暂无解析
191、问答题 陡、缓倾角顺流方向断层通常采用什么措施处理?横流方向断层又如何?
点击查看答案
本题答案:缓倾角顺流走向断层:
浅者清除,深者形成顶赛
本题解析:试题答案缓倾角顺流走向断层:
浅者清除,深者形成顶赛、斜塞、水平塞骨架。
陡倾角顺流走向断层:
顶部设砼塞。
缓倾角横流走向断层:
选址应避免。
陡倾角横流走向断层:
选址应避免,无法避免则加大砼塞。
192、问答题 简述交流接触器动、静触头的检查保养内容。
点击查看答案
本题答案:1)检查动静头是否对准,三相应同时闭合。
2
本题解析:试题答案1)检查动静头是否对准,三相应同时闭合。
2)用摇表测量三相绝缘电阻不低于10m欧。
3)当触头磨损厚度超过1mm时应更换,若触头烧毁可用砂纸打平。
193、问答题 为什么要在挑流鼻坎内设置通气孔?
点击查看答案
本题答案:在挑流鼻坎内设置通气孔主要是为了避免挑流时高水流带走水舌下面
本题解析:试题答案在挑流鼻坎内设置通气孔主要是为了避免挑流时高水流带走水舌下面的空气而形成真空,影响挑射距离。
194、问答题 为什么要进行荷载组合?什么是基本荷载和基本荷载组合,什么是特殊荷载和特殊荷载组合?
点击查看答案
本题答案:荷载组合:将具有合理的同时出现机率的荷载进行最不利组合,作为
本题解析:试题答案荷载组合:将具有合理的同时出现机率的荷载进行最不利组合,作为建筑物上的设计荷载。
基本荷载:
①坝体及其上永久性设备重;
②正常蓄水位或设计洪水位时的静水压力(选择一种控制情况);
③相应于正常蓄水位或设计洪水位时的扬压力;
④泥砂压力;
⑤相应于正常蓄水位或设计洪水位时的浪压力;
⑥冰压力;
⑦土压力;
⑧相应于设计洪水位时的动水压力;
⑨其他出现机会较多的荷载。
特殊荷载:
①校核洪水位时的静水压力;
②相应于校核洪水位时的扬压力;
③相应于校核洪水位时的浪压力;
④相应于校核洪水位时的动水压力;
⑤地震荷载;
⑥其他出现机会较少的荷载。
基本组合:由基本荷载组合。
特殊组合:由基本荷载和一种或几种特殊荷载组合。
195、问答题 发电机机场的作用是什么?
点击查看答案
本题答案:发电机机墩的作用是将发电视支承在预定的位置上,并组的运
本题解析:试题答案发电机机墩的作用是将发电视支承在预定的位置上,并组的运行、维护、安装、检修创造有利的条件。机墩必须具有足强度和刚度,振动的振幅要小,保证弹性稳定。
196、单项选择题 航速为0~14kn的航行船,AIS船舶报告的频度为();当其改向时,报告的频度为()。
A、每12s,每6s
B、每3s,每2s
C、每6s,每2s
D、每12s,每4s
点击查看答案
本题答案:D
本题解析:暂无解析
197、单项选择题 在计算土石材料的自重时,一般应根据其所在位置与浸润线和水位的关系,采用不同的容重。()
A.浸润线之上采用土体的自然容重,浸润线之下采用土体的饱和容重
B.浸润线之上采用土体的干容重,浸润线之下采用土体的浮容重
C.浸润线之上采用土体的干容重,浸润线之下采用土体的饱和容重
D.浸润线之上采用土体的自然容重,浸润线之下采用土体的浮容重
点击查看答案
本题答案:D
本题解析:暂无解析
198、单项选择题 水工建筑物上的作用主要有()。
A.自重作用、温度作用、渗流作用、流体作用、地震作用
B.自重作用、温升作用、渗流作用、流体作用、地震作用
C.自重作用、温度作用、渗流作用、波浪作用、地震作用
D.自重作用、温度作用、渗压作用、流体作用、地震作用
点击查看答案
本题答案:A
本题解析:暂无解析
199、填空题 枢纽布置的一般原则和要求是:①(),干扰小。②(),一物多用,废物再用。③(),工期短,干扰小。④()。
点击查看答案
本题答案:运行管理方便;经济合理;施工方便;环境影响小
本题解析:试题答案运行管理方便;经济合理;施工方便;环境影响小
200、单项选择题 根据IMO的《SHIPS′ROUTEING》文件,船舶定线的目的之一是增进()的航行安全。
A、环境敏感区
B、船舶汇聚区域
C、船舶速度差异大的区域
D、公共转向点
点击查看答案
本题答案:B
本题解析:暂无解析
题库试看结束后
微信扫下方二维码即可打包下载完整版《★水利工程》题库
手机用户可保存上方二维码到手机中,在微信扫一扫中右上角选择“从相册选取二维码”即可。
题库试看结束后微信扫下方二维码即可打包下载完整版《水利工程:水工建筑物》题库,分栏、分答案解析排版、小字体方便打印背记!经广大会员朋友实战检验,此方法考试通过率大大提高!绝对是您考试过关的不二利器!
手机用户可保存上方二维码到手机中,在微信扫一扫中右上角选择“从相册选取二维码”即可。
微信搜索关注"91考试网"公众号,领30元,获取公务员事业编教师考试资料40G