手机用户可
保存上方二维码到手机中,在
微信扫一扫中右上角选择“从
相册选取二维码”即可。
	       
1、单项选择题  下列说法正确的是()
                    
	A、采用频率合成技术可以把信号发生器的频率稳定度和准确度提高到与基准频率相同的水平
	B、高频信号发生器只能输出等幅高频正弦波
	C、低频信号发生器的指示电压表的示值就是它输出电压的实际值
	D、脉冲信号的上升时间是指脉冲幅度从零上升到满幅度值所需的时间
 
	
	点击查看答案
 本题答案:A
本题解析:暂无解析
	
	
	        2、问答题  标称值为1.2kΩ,容许误差±5%的电阻,其实际值范围是多少?
                    
 
	
	点击查看答案
 本题答案: 试题答案
试题答案
	
	
	        3、问答题  晶体管特性图示仪主要由哪几个部分组成?各部分作用如何?
                    
 
	
	点击查看答案
 本题答案:晶体管特性图示仪主要组成部及各部分作用:  
(1)
本题解析:试题答案晶体管特性图示仪主要组成部及各部分作用:  
(1)基极阶梯波信号发生器:提供必要的基极注入电流。  
(2)集电极扫描电压发生器:提供从零开始可变的集电极电源电压。  
(3)同步脉冲发生器:用来使基极阶梯信号和集电极扫描电压保持同步,使其正确稳定地显示图形(特性曲线)。  
(4)测试转换开关:当测试不同接法和不同类型的晶体管特性曲线和参数时,用此开关进行转换。  
(5)放大器和显示电路:用以显示被测晶体管的特性曲线,其作用原理和电路形式与普通示波器基本相同,所以也可用普通示波器代替。  
(6)电源:为各部分电路提供电源电压。
	
	
	        4、填空题  YD2810B型LCR数字电桥的测试精度与测试速度成(),即测试速度 _越慢测试精度(),但效率很低
                    
 
	
	点击查看答案
 本题答案:反比;越高
本题解析:试题答案反比;越高
	
	
	        5、填空题  频率标志电路产生频标的方法通常是()。
                    
 
	
	点击查看答案
 本题答案:差频法
本题解析:试题答案差频法
	
	
	        6、问答题  示波器Y通道内为什么既接入衰减器又接入放大器?它们各起什么作用?
                    
 
	
	点击查看答案
 本题答案:为适应Y通道输入的被测信号的大幅度的变化既接入衰减器又接入放
本题解析:试题答案为适应Y通道输入的被测信号的大幅度的变化既接入衰减器又接入放大器。  
放大器对微弱的信号通过放大器放大后加到示波器的垂直偏转板,使电子束有足够大的偏转能量。  
衰减器对输入的大幅度信号进行衰减。
	
	
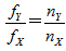
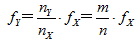
	        7、填空题  采用电子计数器测量频率,当被测频率一定时,延长闸门开启时间可以减小1误差对测频误差的影响;当闸门时间一定时,()可减小由1误差产生的测频误差
                    
 
	
	点击查看答案
 本题答案:测周期
本题解析:试题答案测周期
	
	
	        8、填空题  某测试人员在进行石英晶体振荡器输出频率试验中,测得其平均值为10000Hz,则此次测量的绝对误差△X=2Hz,相对误差A=()。
                    
 
	
	点击查看答案
 本题答案:2/10000
本题解析:试题答案2/10000
	
	
	        9、问答题  什么是时域测量?什么是频域测量?两者测试的对象是什么?
                    
 
	
	点击查看答案
 本题答案:以时间为自变量,以被观测信号(电压、电流、功率)为变量进行的
本题解析:试题答案以时间为自变量,以被观测信号(电压、电流、功率)为变量进行的分析和测试,就是时域测量。通过时域测试可发现信号通过电路后放大、衰减或畸变的现象;可测定电路工作在线性或非线性区;可判断电路设计是否符合要求。  
以频率为自变量,以各频率分量的信号值为因变量进行分析和测量就是频域测量。任何一个过程或信号,既可在时域进行分析来获取其各种特性,也可以在频域进行分析获取各种特性。
	
	
	        10、问答题  电桥测一个50mH左右的电感,由于随机误差的影响,使电感的测量值在LO±0.8mH的范围内变化。若希望测量值的不确定度范围减小到0.3mH以内,仍使用该电桥,问可采用什么办法。
                    
 
	
	点击查看答案
 本题答案: 试题答案
试题答案
	
	
	        11、问答题  外差式频谱分析仪能进行实时分析吗?为什么?
                    
 
	
	点击查看答案
 本题答案:外差式频谱分析仪采用扫频技术进行频率调谐,其核心部分如同一台
本题解析:试题答案外差式频谱分析仪采用扫频技术进行频率调谐,其核心部分如同一台外差式接收机。目  
前常用的外差扫频式频谱分析仪有全景式和扫中频式两种。前者可在一次扫频过程中观察信  
号整个频率范围的频谱。而后者一次扫描分析过程只观察某一较窄频段的频谱,因而可实现  
较高分辨力分析。由于进行的是扫描分析,信号中的各频率分量不能同时被测量到,因而不  
能提供相位频谱,不能做实时分析,只适用于周期信号或平稳噪声的分析。
	
	
	        12、单项选择题  在实用电桥中,若相对两臂采用纯电阻,则另外两臂的阻抗特性分别是()
                    
	A、纯电阻
	B、电阻性电容性
	C、电阻性电感性
	D、电容性电感性
 
	
	点击查看答案
 本题答案:D
本题解析:暂无解析
	
	
	        13、问答题  虚拟仪器的设计主要包括哪些内容的设计?一般有几个步骤?
                    
 
	
	点击查看答案
 本题答案:仪器驱动器设计和虚拟仪器面板设计。一般的步骤为:(1)
本题解析:试题答案仪器驱动器设计和虚拟仪器面板设计。一般的步骤为:(1)动能分析和描述(2)虚拟仪器的硬件选择(3)仪器驱动器外部接口设计(4)仪器驱动器内部设计包括前面板设计、流程图设计(5)运行调试程序。
	
	
	        14、问答题  延迟线的作用是什么?内触发信号可否在延迟线后引出,去触发时基电路?为什么?
                    
 
	
	点击查看答案
 本题答案:当示波器工作在内触发状态时,利用垂直通道输入的被测信号
本题解析:试题答案当示波器工作在内触发状态时,利用垂直通道输入的被测信号去触发水平偏转系统产生扫描电压波,从接受触发到开始扫描需要一小段时间,这样就会出现被测信号到达Y偏转板而扫描信号尚未到达X偏转板的情况,为了正确显示波形,必须将接入Y通道的被测信号进行一定的延迟,以便与水平系统的扫描电压在时间上相匹配。
内触发信号不能在延迟线后引出,去触发时基电路。如果在延迟线后引出,水平系统的扫描电压在时间上相对于垂直通道输入的被测信号就没有延迟了。
	
	
	        15、问答题  量值传递的准则是什么?
                    
 
	
	点击查看答案
 本题答案:量值的传递是按照主基准、副基准、工作基准、各级标准逐级向下传
本题解析:试题答案量值的传递是按照主基准、副基准、工作基准、各级标准逐级向下传递,一直传递到不同精度的量具和仪器。检定是量值的传递的具体形式。量值传递的准则是:高一级计量器具检定低一级计量器具的精确度,同级计量器具的精确度只能通过比对来鉴别。
	
	
	        16、问答题  
	简述电子记数器累加记数的原理框图和测量原理?
	
                     
	
	点击查看答案
 本题答案:累加计数的测量原理:累加计数是用于直接统计所取时间内的
本题解析:试题答案累加计数的测量原理:累加计数是用于直接统计所取时间内的脉冲数。将被测信号送入A通道,经过放大整形后输入到人工控制的闸门。闸门的开启时间由手动控制,即从“启动”到“停止”的转换所用的时间决定。在闸门开启时间内输出脉冲,再送入计数器,由计数器直接积累出脉冲总数,完成累加计数。
	
	
	        17、问答题  简述函数信号发生器由三角波转变为正弦波的二极管网络的工作原理。
                    
 
	
	点击查看答案
 本题答案:正弦波形通常是用三角波经非线性形成网络,用分段折线逼近的方法
本题解析:试题答案正弦波形通常是用三角波经非线性形成网络,用分段折线逼近的方法来产生的。正弦波形成电路的功能是将三角波整形为近似的正弦波输出。电路中使用了6对二极管。+2V、-2V直流电源和电阻R1~R6及R1’~R6’,为二极管提供适当的偏压,以控制三角波逼近正弦波时转折点的位置。随输入三角波信号电压升高或降低的变化,6对二极管将依次导通或截止,并把电阻R8~R12依次接入电路或从电路中断开。电路中每一个二极管可产生一个转折点,每一对二极管就可获得6段折线,因此整个电路可产生26段折线。由这种正弦波形成网络所获得的正弦波信号失真可小于0.25%。
	
	
	        18、填空题  相对误差定义为()与()的比值,通常用百分数表示。
                    
 
	
	点击查看答案
 本题答案:绝对误差  ;  真值;
本题解析:试题答案绝对误差  ;  真值;
	
	
	        19、问答题  电子示波器有哪些特点?
                    
 
	
	点击查看答案
 本题答案:电子示波器的基本特点是:
①能显示信号波形,
本题解析:试题答案电子示波器的基本特点是:
①能显示信号波形,可测量瞬时值,具有直观性。
②输入阻抗高,对被测信号影响小。
③工作频带宽,速度快,便于观察高速变化的波形的细节。
④在示波器的荧光屏上可描绘出任意两个电压或电流量的函数关系。
	
	
	        20、填空题  电子测量按测量的方法分类为()、()和()三种。
                    
 
	
	点击查看答案
 本题答案:直接测量、间接测量、组合测量;
本题解析:试题答案直接测量、间接测量、组合测量;
	
	
	        21、问答题  按照有效数字的运算法则,计算下列各结果:
                    
 
	
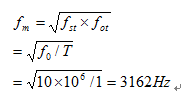
	点击查看答案
 本题答案:①1.0713×3.2=3.42  
②1.0713
本题解析:试题答案①1.0713×3.2=3.42  
②1.0713×3.20=3.43  
⑧40.313×4.52=182.2  
④51.4×3.7=190  
⑤56.09+4.6532=60.74  
⑥70.4-0.453=70.0
	
	
	        22、填空题  电子测量的内容包括()、()、()、()和()五个方面。
                    
 
	
	点击查看答案
 本题答案:电能量的测量、电子元器件参数的测量、电信号的特性和质量的测量
本题解析:试题答案电能量的测量、电子元器件参数的测量、电信号的特性和质量的测量、电路性能的测量、特性曲线的测量;
	
	
	        23、问答题  与其他物理量的测量相比,时频测量具有哪些特点?
                    
 
	
	点击查看答案
 本题答案:(1)测量的精度高;(2)测量范围广  
(3)频率
本题解析:试题答案(1)测量的精度高;(2)测量范围广  
(3)频率的信息传输和处理比较容易并且精确度也很高。
	
	
	        24、问答题  试述使用XD-22A型低频信号发生器产生一个频率为5khz、电压值为10mV(有效值)正弦信号的调节过程。
                    
 
	
	点击查看答案
 本题答案:(1)打开电源,按下电源开关。  
(2)选择波形,
本题解析:试题答案(1)打开电源,按下电源开关。  
(2)选择波形,将转换开关S弹出由下输出孔输出正弦波信号。  
(3)调频率。调波段开关为10K再调节第三个频率调节旋钮使数码管显示窗口显示5kHz的信号,既三个开关的值调节为5,0,0,同时使kHz指示灯点亮。  
(4)幅度调节。调节输出旋钮,是显示的读数为1000(应配合衰减旋钮,使衰减挡调到40dB)则可以得到实际的电压值为10mV。
	
	
	        25、问答题  某交流电桥平衡时有下列参数:Z1为R1=2000Ω与C1=0.5μF相并联,Z2为R2=1000Ω与C2=1μF相串联,Z4为电容C4=0.5μF,信号源角频率ω=103rad/s,求阻抗Z3的元件值。
                    
 
	
	点击查看答案
 本题答案: 试题答案
试题答案
	
	
	        26、问答题  交流电压的测量方案有哪些?
                    
 
	
	点击查看答案
 本题答案:交流电压的测量一般可分为两大类,一类是具有一定内阻的交流信号
本题解析:试题答案交流电压的测量一般可分为两大类,一类是具有一定内阻的交流信号源,另一类是电路中任意一点对地的交流电压。交流电压的常用测量方法有电压表法和示波器法。
	
	
	        27、填空题  电压表的基本组成形式为()式。
                    
 
	
	点击查看答案
 本题答案:检波—放大;
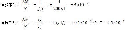
本题解析:试题答案检波—放大;
	
	
	        28、问答题  
	有一个100V的被测电压,若用0.5级、量程为0-300V和1.0级、量程为0-100V的
	
	两只电压表测量,问哪只电压表测得更准些?为什么?
	
	 
                     
	
	点击查看答案
 本题答案:要判断哪块电压表测得更准确,即判断哪块表的测量准确度更
本题解析:试题答案要判断哪块电压表测得更准确,即判断哪块表的测量准确度更高。
(1)对量程为0-300V、±0.5级电压表,根据公式有
x1xs%x100%m100% xx
3000.5100%1.5% 100
(2)对量程为0-100V、±1.0级电压表,同样根据公式有
x2xs%x100%m100% xx
1001.0100%1.0% 100 
从计算结果可以看出,用量程为0-100V、±1.0级电压表测量所产生的示值相对误差小,所以选用量程为0-100V、±1.0级电压表测量更准确。
	
	
	        29、名词解释  非线性失真系数(失真度)
                    
 
	
	点击查看答案
 本题答案:用信号频谱纯度来说明输出信号波形接近正弦波的程度,并用
本题解析:试题答案用信号频谱纯度来说明输出信号波形接近正弦波的程度,并用非线性失真系数r表示:
式中U1为输出信号基波有效值,U2、U3……Un为各次谐波有效值。

	
	
	        30、填空题  在相同的条件下多次测量同一量值时,测量误差的()和符号保持不变,或测量条件改变时按一定规律变化的误差称为系统误差。
                    
 
	
	点击查看答案
 本题答案:绝对值
本题解析:试题答案绝对值
	
	
	        31、问答题  简述利用变换器测量阻抗的原理。
                    
 
	
	点击查看答案
 本题答案:利用变换器测量阻抗的原理是:将被测元件的参数变换成相应的电压
本题解析:试题答案利用变换器测量阻抗的原理是:将被测元件的参数变换成相应的电压,然后经A/D变换后,进行数字化显示。
	
	
	        32、名词解释  主基准
                    
 
	
	点击查看答案
 本题答案:主基准也称作原始基准,是用来复现和保存计量单位,具有现代科学
本题解析:试题答案主基准也称作原始基准,是用来复现和保存计量单位,具有现代科学技术所能达到的最高准确度的计量器具,经国家鉴定批准,作为统一全国计量单位量值的最高依据。因此,主基准也叫国家基准。
	
	
	        33、单项选择题  下列几种误差中,属于粗大误差的是()。
                    
	A.仪表未校零所引起的误差
	B.测频时的量化误差
	C.测频时的标准频率误差
	D.读数错误
 
	
	点击查看答案
 本题答案:D
本题解析:暂无解析
	
	
	        34、问答题  扫频仪中如何产生扫频信号?如何在示波管荧光屏上获得网络的幅频特性?
                    
 
	
	点击查看答案
 本题答案:实现扫频振荡的方法很多,常用的有磁调电感法、变容二极管
本题解析:试题答案实现扫频振荡的方法很多,常用的有磁调电感法、变容二极管法以及微波波段使用的返波管法、YIG谐振法等。
在磁调电感法中L2、C谐振回路的谐振频率f0为:

由电磁学理论可知,带磁芯线圈的电感量与磁芯的导磁系数μ0成正比
L2=μ0L
当扫描电流随时间变化时,使得磁芯的有效导磁系数μ0也随着改变,扫描电流的变化就导致了L2及谐振频率f0的变化,实现了“扫频”。
在测试过程中,使信号源输出信号的频率按特定规律自动连续并且周期性重复,利用检波器将输出包络检出送到示波器上显示,在示波管荧光屏上就得到了被测电路的幅频特性曲线。
	
	
	        35、问答题  基本锁相环有哪几个基本组成部分?各起什么作用?为什么可以把锁相环看成是一个输入频率为中心的窄带滤波器?
                    
 
	
	点击查看答案
 本题答案:(1)基本锁相环由监相器(PD)、环路低通滤波器(LPF)和
本题解析:试题答案(1)基本锁相环由监相器(PD)、环路低通滤波器(LPF)和电压控制振荡器(VCO)三部分组成。  
(2)PD的作用:将输出信号中的一部分反馈回来与输入信号通过监相器进行相位比较。  
LPF的作用:过滤掉误差电压中的误差。VCO的作用:使其振荡频率向其输入频率逐渐靠拢、直至锁定。  
(3)由基本锁相环的组成及其各部分的作用可知锁相环具有滤波作用,其通频带很窄,且其中心频率锁定在输入频率,所以锁相环可以看成以输入频率为中心频率的窄带滤波器。
	
	
	        36、问答题  
	题2.25图中,用50V量程交流电压表通过测量U1、U2获得U值,现U1=U2=40V,若允许U的误差±2%,问电压表的准确度应为几级?
	 
	
                     
	
	点击查看答案
 本题答案: 试题答案
试题答案
	
	
	        37、名词解释  脉冲下降时间tf
                    
 
	
	点击查看答案
 本题答案:脉冲波从0.9Um下降到0.1Um所经历的时间。
本题解析:试题答案脉冲波从0.9Um下降到0.1Um所经历的时间。
	
	
	        38、问答题  计算下列波形的幅度和频率(经探头接入):
                    (1)V/div位于0.2档,t/div位于2μs档。  ①H=2div,D=3div  ②H=5div,D=2div.  ③H=3div,D=5div
                    
 
	
	点击查看答案
 本题答案: 试题答案
试题答案
	
	
	        39、单项选择题  电视信号发生器所提供的棋盘信号主要用于检查彩色电视机的()。
                    
	A、色纯度
	B、图像的几何中心位置
	C、清晰度
	D、图像的高度比及黑白“跃阶效应”
 
	
	点击查看答案
 本题答案:D
本题解析:暂无解析
	
	
	        40、问答题  简述双斜积分式A/D转换器的工作原理。
                    
 
	
	点击查看答案
 本题答案:双积分式A/D转换器是利用积分器对被测电压进行正向和反向两次
本题解析:试题答案双积分式A/D转换器是利用积分器对被测电压进行正向和反向两次积分,从而得到与输入电压平均值成比例的时间间隔T,并在时间间隔T内对时钟脉冲进行计数,最后用数字来显示被测量电压值。
	
	
	        41、问答题  简述示波器上用李沙育图形法进行测频、测时间间隔的原理。
                    
 
	
	点击查看答案
 本题答案:用李沙育图形法进行测频的原理是:示波器荧光屏上的李沙育
本题解析:试题答案用李沙育图形法进行测频的原理是:示波器荧光屏上的李沙育图形与水平轴的交点nX以及与垂直轴的交点nY来决定频率比,即:
若已知频率信号接于X轴,待测频率信号接于Y轴,
则:
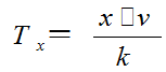
用示波器测时间间隔的原理是:在波形上找到要测时间间隔所对应的两点,如A点、B点。读出A、B两点间的距离x(cm),由扫描速度v(t/cm)的标称值及扩展倍率k,即可算出被测的时间间隔:
	
	
	        42、填空题  电子测量食品的功能包括变换功能、信号处理与传输功能、()与显示功能三种基本功能。
                    
 
	
	点击查看答案
 本题答案:测量结果
本题解析:试题答案测量结果
	
	
	        43、问答题  减小随机误差的主要方法是什么?
                    
 
	
	点击查看答案
 本题答案:理论上当测量次数n趋于无限大时,随机误差趋于零。而实际中不可
本题解析:试题答案理论上当测量次数n趋于无限大时,随机误差趋于零。而实际中不可能做到无限多次的测量,多次测量值的算术平均值很接近被测量真值,因此只要我们选择合适的测量次数,使测量精度满足要求,就可将算术平均值作为最后的测量结果。
	
	
	        44、填空题  电子示波器由Y通道、X通道、Z通道、示波管、()、扫描时间校正器及电源等部分组成。
                    
 
	
	点击查看答案
 本题答案:幅度校正器
本题解析:试题答案幅度校正器
	
	
	        45、单项选择题  荧光屏的余辉按其时间长短不同可以分为多种类型,其中中余辉的持续时间为()
                    
	A、小于10us
	B、10us—1ms
	C、1ms–0.1s
	D、大于0.1s
 
	
	点击查看答案
 本题答案:C
本题解析:暂无解析
	
	
	        46、问答题  SXl842数字电压表数码显示最大数为19999,最小一档量程为20mV,问该电压表的最高分辨率是多少?
                    
 
	
	点击查看答案
 本题答案:20mV/19999=0.001mV=1μV
本题解析:试题答案20mV/19999=0.001mV=1μV
	
	
	        47、填空题  为保证在测量80V电压时,误差≤±1%,应选用等于或优于()级的100V量程的电压表。
                    
 
	
	点击查看答案
 本题答案:±0.5;
本题解析:试题答案±0.5;
	
	
	        48、填空题  信号发生器的基本结构由振荡器、变换器、输出级、(),以及电源构成。
                    
 
	
	点击查看答案
 本题答案:指示器
本题解析:试题答案指示器
	
	
	        49、问答题  现检定一只2.5级量程100V电压表,在50V刻度上标准电压表读数为48V,问在这一点上电压表是否合格?
                    
 
	
	点击查看答案
 本题答案: 试题答案
试题答案
	
	
	        50、单项选择题  在通用电子计数器中,施密特电路的主要功能是()。
                    
	A.控制输入信号的幅度
	B.控制主控门的开启与关闭
	C.产生时基信号
	D.将输入信号整形为脉冲信号
 
	
	点击查看答案
 本题答案:D
本题解析:暂无解析
	
	
	        51、问答题  VXI总线仪器有何优点?为何得到广泛应用?
                    
 
	
	点击查看答案
 本题答案:VXI总线仪器具有标准开放、结构紧凑、数据吞吐能力强、
本题解析:试题答案VXI总线仪器具有标准开放、结构紧凑、数据吞吐能力强、定时和同步精确、模块可重
复利用、众多仪器厂家支持的特点,得到了广泛应用。
	
	
	        52、单项选择题  弹簧管压力表测的是()。
                    
	A.绝压
	B.表压
	C.大气压
	D.真空度
 
	
	点击查看答案
 本题答案:B
本题解析:暂无解析
	
	
	        53、名词解释  相干式频率合成器
                    
 
	
	点击查看答案
 本题答案:只用一个石英晶体产生基准频率,然后通过分频、倍频等,加入混频
本题解析:试题答案只用一个石英晶体产生基准频率,然后通过分频、倍频等,加入混频器的频率之间是相关的。
	
	
	        54、填空题  阻抗Z的实数部分R为电阻,是交流电路中消耗能量的元器件;虚实部分X为(),是存储能量的元器件。
                    
 
	
	点击查看答案
 本题答案:电抗
本题解析:试题答案电抗
	
	
	        55、问答题  画出电动单元组合仪表构成的简单控制系统图.
                    
 
	
	点击查看答案
 本题答案: 试题答案
试题答案
	
	
	        56、名词解释  要组建一个由计算机、DMM和打印机构成的自动测试系统,需要进行哪些步骤?
                    
 
	
	点击查看答案
 本题答案:通常按以下步骤进行:
(1)给器件设定地址。
本题解析:试题答案通常按以下步骤进行:
(1)给器件设定地址。能进行编程和程序控制。
(2)连接GPIB电缆。
GPIB系统对电缆长度和连接器件有一定限制,电缆总长度不得超过20米,母线上最多可挂15个器件(包括系统的中央控制器在内)。如果需要快速传递数据时,可选用0.5米长的电缆。另外还要注意GPIB连线器的选择。
(3)画出测试流程图,编写测试程序。根据测试总要求,画出流程图以便分析,并为编写测试程序提供方便。
(4)按使用要求接通各仪器电源。
(5)将被测器件接入自动测试系统,同时连接好被测模拟信号的输入电路。
(6)输入并启动测试程序,系统测试工作自动开始。
	
	
	        57、问答题  自动测试系统的结构特点是什么?它对计算机的要求如何?
                    
 
	
	点击查看答案
 本题答案:自动测试系统结构上采取组合式或积木式的组建概念,即不同
本题解析:试题答案自动测试系统结构上采取组合式或积木式的组建概念,即不同厂家生产的各种型号的通用仪器,加上一台现成的计算机,用一条统一的无源标准总线连接起来。这种积木概念简化了自动测试系统的组建工作,无需在接口硬件方面再做任何工作,大大方便了自动测试系统的组建,它标志着测量仪器从独立的手工操作单台仪器走向程控多台仪器的自动测试系统。
	
	
	        58、填空题  YD2810B型LCR数字电桥的量程键处于锁定状态时测试速度为(),仪器不进行量程选择,这样可以提高_测试速度及机内继电器的使用寿命。量程锁定通常在同规格元件批量测试时使用。
                    
 
	
	点击查看答案
 本题答案:8次\秒
本题解析:试题答案8次\秒
	
	
	        59、问答题  使用扫频仪是,什么情况下要用检波探头?什么情况下不用检波探头?
                    
 
	
	点击查看答案
 本题答案:使用扫频仪时,需要使用检波探头的情况有:基本检查阶段时需将检
本题解析:试题答案使用扫频仪时,需要使用检波探头的情况有:基本检查阶段时需将检波探头接“RF输出口”,再将检波探头输出与“Y输入”端口相连;在电路幅频测量时要用到以及电路参数增益的测量时;  
不需要的情况有:频率检查,输出功率检查,带宽的测量,以及回路Q值的测量
	
	
	        60、问答题  如何进行示波器的幅度校正和扫描时间校正?
                    
 
	
	点击查看答案
 本题答案:幅度校正的方法是:设校正器输出电压幅度为1V,把它加到Y输入
本题解析:试题答案幅度校正的方法是:设校正器输出电压幅度为1V,把它加到Y输入端,灵敏度开关置于“1”档的校正位置上,调节Y轴灵敏度电位器,使波形在Y轴显示为1cm或1div。  
扫描时间校正的方法是:设校正器输出电压的频率为1KHz,把它加到Y输入端,扫描时间开关置于“1”ms档的校正位置上,调节X轴灵敏度电位器,使标尺的满度范围内正好显示10个周期。
	
	
	        61、填空题  通常用()、输出特性和调制特性(俗称三大指标)来评价正弦信号发生器的性能。
                    
 
	
	点击查看答案
 本题答案:频率特性
本题解析:试题答案频率特性
	
	
	        62、问答题  电阻上消耗的电能W=U2/R•t,已知ru=±1%,rR=±0.5%rt=±1.5%,求rW。
                    
 
	
	点击查看答案
 本题答案: 试题答案
试题答案
	
	
	        63、填空题  高频信号发生器主要由主振级、()、内调制振荡器、输出级、监视器和电源六部分组成。
                    
 
	
	点击查看答案
 本题答案:调制级
本题解析:试题答案调制级
	
	
	        64、单项选择题  2.为了保证公众安全、国民经济以及社会发展,根据法制、技术和行政管理的需要,由政府或官方授权进行的、强制性管理的计量是()。
                    
	A.科学计量
	B.工程计量
	C.法制计量
	D.计量监督
 
	
	点击查看答案
 本题答案:C
本题解析:暂无解析
	
	
	        65、单项选择题  用模拟万用表测量二极管,在正向导通时,红表笔,黑表笔所接极性分别为()
                    
	A、+,-
	B、-,+
	C、+,+
	D、无法判断
 
	
	点击查看答案
 本题答案:A
本题解析:暂无解析
	
	
	        66、问答题  电流的直接测量与间接测量原理有何区别?两种测量方法的测量准确度各取决于什么因数?
                    
 
	
	点击查看答案
 本题答案:电流的直接测量就是把电流表串入电路,从电流表直接测出电
本题解析:试题答案电流的直接测量就是把电流表串入电路,从电流表直接测出电流值。间接测量法就是先测量负载两端电压,然后换算出电流值。直接测量法的测量准确度主要取决于串入的电流表的精度和内阻,内阻越小越好;间接测量法则与电压表精度和内阻有关,内阻越大越好。
	
	
	        67、单项选择题  以下关于扫频信号的叙述正确的是()
                    
	A、幅度随时间变化
	B、频率随时间变化
	C、调幅波
	D、锯齿波
 
	
	点击查看答案
 本题答案:B
本题解析:暂无解析
	
	
	        68、问答题  列举电子测量的主要特点.。
                    
 
	
	点击查看答案
 本题答案:(1)测量频率范围宽;(2)测试动态范围广;(3)测量的准确
本题解析:试题答案(1)测量频率范围宽;(2)测试动态范围广;(3)测量的准确度高;(4)测量速度快;(5)易于实现遥测和长期不间断的测量;(6)易于实现测量过程的自动化和测量仪器的智能化;(7)影响因素众多,误差处理复杂。
	
	
	        69、单项选择题  8.被测电压真值为100V,用电压表测量时,指示值为80V,则示值相对误差为()。
                    
	A.+25%
	B.-25%
	C.+20%
	D.-20%
 
	
	点击查看答案
 本题答案:B
本题解析:暂无解析
	
	
	        70、问答题  与示波器A配套使用的阻容式无源探头,是否可与另一台示波器髟配套使用?为什么?
                    
 
	
	点击查看答案
 本题答案:探头里的微调电容是对示波器A调定的,个台示波器的Ci值一般是
本题解析:试题答案探头里的微调电容是对示波器A调定的,个台示波器的Ci值一般是不同的,所以探头不能互换,否则会引入明显的畸变。
	
	
	        71、问答题  选择测量方法时主要考虑的因素有哪些?
                    
 
	
	点击查看答案
 本题答案:在选择测量方法时,要综合考虑下列主要因素:①被测量本身
本题解析:试题答案在选择测量方法时,要综合考虑下列主要因素:①被测量本身的特性;②所要求的测量准确度;③测量环境;④现有测量设备等。
	
	
	        72、问答题  频率特性的测量有哪些方法?各有何特点?
                    
 
	
	点击查看答案
 本题答案:(1)点频法。点频法的优点是测量时不需要特殊仪器,测量准确度
本题解析:试题答案(1)点频法。点频法的优点是测量时不需要特殊仪器,测量准确度比较高,能反映出被测网络的静态特性,这种方法的缺点是操作繁琐、工作量大、容易漏测某些细节,不能反映出被测网络的动态特性。  
(2)扫频法。扫频测量法的测量过程简单,速度快,也不会产生测漏现象,还能边测量边调试,大大提高了调试工作效率。扫频法反映的是被测网络的动态特性,测量结果与被测网络实际工作情况基本吻合,这一点对于某些网络的测量尤为重要,如滤波器的动态滤波特性的测量等。扫频法的不足之外是测量的准确度比点频法低。
	
	
	        73、问答题  对测量信号源的基本要求是什么?
                    
 
	
	点击查看答案
 本题答案:对测试信号源的基本要求是:能满足被测信号对频率、幅度、波形种
本题解析:试题答案对测试信号源的基本要求是:能满足被测信号对频率、幅度、波形种类、准确度和稳定度失真度等指标要求,能进行测试功能选择。
	
	
	        74、名词解释  修正值
                    
 
	
	点击查看答案
 本题答案:修正值是为消除系统误差,用代数法加到测量结果上的值。<
本题解析:试题答案修正值是为消除系统误差,用代数法加到测量结果上的值。
	
	
	        75、问答题  电子技术器中的时基信号有什么特点?它是如何实现的?
                    
 
	
	点击查看答案
 本题答案:时基信号特点:一是有很高的精度,因为在电子计数器中总是
本题解析:试题答案时基信号特点:一是有很高的精度,因为在电子计数器中总是采用高精度的石英晶体振荡器来产生标准时间信号;二是多值性,即能够产生多种不同的频率。为了满足不同频率和时间的测量需要,通过计数器一般都有多种不同的标准时间,这些不同的标准时间信号都是由石英晶体振荡器通过分频或倍频所得,供时基选择电路选用。如下图所示:

分频电路一般采用与十进制数相同的电路,倍频电路一般采用非线性LC选频放大器。为了保证分频或倍频后时基信号的精度,需采用门控分频或锁相倍频等方法来改进电路。
	
	
	        76、单项选择题  用示波器观察波形,线条太粗时英调节()
                    
	A.标尺亮度
	B.聚焦扭
	C.辉度钮
	D.XY灵敏度钮
 
	
	点击查看答案
 本题答案:B
本题解析:暂无解析
	
	
	        77、名词解释  输出电平
                    
 
	
	点击查看答案
 本题答案:输出电平指的是输出信号幅度的有效范围。
本题解析:试题答案输出电平指的是输出信号幅度的有效范围。
	
	
	        78、问答题  简述电子计数器的自校原理。
                    
 
	
	点击查看答案
 本题答案:电子计数器扩大基信号的周期去控制主控门的开启时间,同时把基信
本题解析:试题答案电子计数器扩大基信号的周期去控制主控门的开启时间,同时把基信号经过新信频送入计数器进行计数,根据mT=Nt/n=>N=nm得出理论值与测量值进行比较,就可以检查整机工作正常与否。
	
	
	        79、单项选择题  下列不属于测量误差来源的是()。
                    
	A.仪器误差和(环境)影响误差
	B.满度误差和分贝误差
	C.人身误差和测量对象变化误差
	D.理论误差和方法误差
 
	
	点击查看答案
 本题答案:B
本题解析:暂无解析
	
	
	        80、问答题  逐次逼近比较式DVM和双积分式DVM各有哪些特点?各适用于哪些场合?
                    
 
	
	点击查看答案
 本题答案:逐次逼近比较式DVM的特点:  
(1)测量速度快(
本题解析:试题答案逐次逼近比较式DVM的特点:  
(1)测量速度快(2)测量精度取决于标准电阻和基准电压源的精度以及D/A转换器的位数(3)由于测量值对应于瞬时值,而不是平均值,抗干扰能力较差。逐次逼近比较式DVM多用于多点快速检测系统中  
双积分式DVM的特点:  
(1)它通过两次积分将电压转换成与之成正比的时间间隔,抵消了电路参数的影响。(2)积分器时间可选为工频的整数倍,抑制了工频干扰,具有较强的抗干扰能力。(3)积分过程是个缓慢的过程,降低了测量速度,特别是为了常选积分周期,因而测量速度低。双积分式DVM适用于灵敏度要求高,测量速度要求不高,有干扰的场合
	
	
	        81、填空题  数字存储示波器的采样方式为实时采样和非实时采样,后者又分为()和随机采样两种。
                    
 
	
	点击查看答案
 本题答案:顺序采样
本题解析:试题答案顺序采样
	
	
	        82、问答题  欲测量失真的正弦波,若手头无有效值电压表,只有峰值电压表和均值电压表可选用,问选哪种表更合适些?为什么?
                    
 
	
	点击查看答案
 本题答案:利用峰值电压表测失真的正弦波时可能产生非常大的误差。因为峰值
本题解析:试题答案利用峰值电压表测失真的正弦波时可能产生非常大的误差。因为峰值检波器对波形响应十分敏感,读数刻度不均匀,它是在小信号时进行检波的,波形误差可达30%左右。若用均值电压表测量波形误差相对不大,它是对大信号进行检波,读数刻度均匀。所以,选用均值电压表更合适。
	
	
	        83、问答题  
	题2.18图为普通万用表电阻档示意图,Ri称为中值电阻,Rx为待测电阻,E为表内电压源(干电池)。试分析,当指针在什么位置时,测量电阻的误差最小?
	 
	
                     
	
	点击查看答案
 本题答案: 试题答案
试题答案
	
	
	        84、填空题  示波器的示波管一般由电子枪、()和荧光屏三部分组成。
                    
 
	
	点击查看答案
 本题答案:偏转系统
本题解析:试题答案偏转系统
	
	
	        85、问答题  测量大电流的电流表,一般都是在基本量程上扩大,为什么不直接制造大电流的电流表?
                    
 
	
	点击查看答案
 本题答案:在实际应用中,测量电流通常使用磁电式电流表、电磁式电流
本题解析:试题答案在实际应用中,测量电流通常使用磁电式电流表、电磁式电流表、模拟式万用表和数字多用表直接测量电流,而大多数用磁电式电流表。从磁电式仪表的工作原理可以看出,不增加测量线路,磁电式是可以直接测量直流电流的,但由于被测电流要通过游丝和可动线圈,被测电路的最大值只能限制在几十微安到几十毫安之间,要测量大电流,就需要另外加接分流器,即在基本量程上扩大。如果直接制造大电流的电流表,由于电流表的阻抗不能做到太小,而电流表的线圈很细,因此当大电流流过时,会产生很大的热量,很可能会烧坏表,因此不直接制造大电流的电流表。
	
	
	        86、名词解释  脉冲上升时间tr
                    
 
	
	点击查看答案
 本题答案:脉冲波从0.1Um上升到0.9Um所经历的时间。
本题解析:
试题答案脉冲波从0.1Um上升到0.9Um所经历的时间。
	
	
	        
87、问答题 &n bsp;辑分析仪与逻辑定时分析仪的主要差别是什么?
                    
 
	
	点击查看答案
 本题答案:逻辑分析仪按其工作特点,可分为逻辑状态分析仪和逻辑定时
本题解析:试题答案逻辑分析仪按其工作特点,可分为逻辑状态分析仪和逻辑定时分析仪两大类。这两类分
析仪的基本结构是相同的,二者的主要区别在于显示方式和定时方式不同。
	
	
	        88、问答题  Pt100在112Ω所对应的温度值是多少?Pt100在100℃所对应的电阻值是多少?
                    
 
	
	点击查看答案
 本题答案:112Ω对应32℃,100℃对应138.5
本题解析:试题答案112Ω对应32℃,100℃对应138.5Ω
	
	
	        89、问答题  为什么“瞬时”式数字相位差计只适用于测量固定频率的相位差?如何扩展测量的频率范围?
                    
 
	
	点击查看答案
 本题答案:因为用“瞬时”式数字相位差计测
本题解析:试题答案因为用“瞬时”式数字相位差计测量两信号的相位差时,晶振标准频率
,所以,“瞬时”式数字相位差计只适用于测量固定频率的相位差。
可以采用外差法把被测信号转换为某一固定的低频信号,然后再进行测量。
	
	
	        90、问答题  对电子示波器的扫描电压有什么要求?
                    
 
	
	点击查看答案
 本题答案:由于扫描电压与被测信号同步是信号稳定显示的基础,首先扫
本题解析:试题答案由于扫描电压与被测信号同步是信号稳定显示的基础,首先扫描电压的时基应准确;其次扫描发生器产生的锯齿波,是信号在X轴展开的条件,要使波形完美再现,扫描电压的线性应良好。
	
	
	        91、问答题  使用电子计数器测量频率时,如何选择闸门时间?
                    
 
	
	点击查看答案
 本题答案:电子计数器测量频率时,当被测信号频率一定时,主门开启时间越长
本题解析:试题答案电子计数器测量频率时,当被测信号频率一定时,主门开启时间越长,量化的相对误差就越小。所以在不使计数器产生溢出的前提,扩大主门的开启时间Ts,可以减少量化误差的影响。但主门时间越长测量时间就越长,所以两者应该兼顾。
	
	
	        92、问答题  说明点频法和扫频法测量网络频率特性的原理和各自特点。
                    
 
	
	点击查看答案
 本题答案:点频法测量网络频率特性的原理就是“逐点”测量幅频特性或相频特
本题解析:试题答案点频法测量网络频率特性的原理就是“逐点”测量幅频特性或相频特性。  
其特点是:原理简单,需要的设备也不复杂。但由于要逐点测量,操作繁琐费时,并且由于频率离散而不连续,非常容易遗漏掉某些特性突变点,而这常常是我们在测试和分析电路性能时非常关注的问题。另外当我们试图改变电路的结构或元件参数时,任何改变都必然导致重新逐点测量。  
扫频法测量网络频率特性的原理就是在测试过程中,使信号源输出信号的频率按特定规律自动连续并且周期性重复,利用检波器将输出包络检出送到示波器上显示,就得到了被测电路的幅频特性曲线。  
其特点是:①可实现网络的频率特性的自动或半自动测量;②不会出现由于点频法中的频率点离散而遗漏掉细节的问题;③得到的是被测电路的动态频率特性,更符合被测电路的应用实际。
	
	
	        93、填空题  电路频谱特性的测量方法通常有()测量法和()测量法。
                    
 
	
	点击查看答案
 本题答案:点频;扫频
本题解析:试题答案点频;扫频
	
	
	        94、问答题  双踪示波器的“交替”转换方式是如何工作的?
                    
 
	
	点击查看答案
 本题答案:将A、B两通道信号轮流加于Y偏转板,荧光屏上显示两个通
本题解析:试题答案将A、B两通道信号轮流加于Y偏转板,荧光屏上显示两个通道的信号波形。具体实现时,以时基发生器的回扫脉冲控制电子开关的触发电路,每次扫描后,改变所接通道,使得每两次扫描分别显示一次A通道波形和一次B通道波形。
	
	
	        95、问答题  一逐次逼近比较式A/D转换器采用的是12位二进制,其内部的A/D转换最高位为2048mV,最低位输出为1mV,设输入电压为1893mV。其转换结果为多少?试说明其逐次逼近比较的过程。
                    
 
	
	点击查看答案
 本题答案:12位二进制 最高位2048mV 最低位1mV
本题解析:试题答案12位二进制 最高位2048mV 最低位1mV
1893=1024+512+256+64+32+4+1
UR=UR1=1024<1893 记为1
UR=UR1+UR2=1024+512=1536<1893 记为1
UR=UR1+UR2+UR3=1536+256=1792<1893 记为1
UR=UR1+UR2+UR3+UR4=1792+128=1920>1893舍去UR4记为0
UR=UR1+UR2+UR3+UR5=17 92+64=1856<1893 记为1
UR=UR1+UR2+UR3+UR5+UR6
 =1856+32=1888<1893 记为1
UR=UR1+UR2+UR3+UR5+UR6+UR7
 =1888+16=1904>1893 舍去UR7 记为0
UR=UR1+UR2+UR3+UR5+UR6+UR8
 =1888+8=1896>1893 舍去UR8 记为0
UR=UR1+UR2+UR3+UR5+UR6+UR9
 =1888+4=1892<1893 记为1
UR=UR1+UR2+UR3+UR5+UR6+UR9+UR10
 =1892+2=1894>1893 舍去UR10 记为0
UR=UR1+UR2+UR3+UR5+UR6+UR9+UR11
 =1892+1=1893=1893 记为1
二进制结果为1110 1100 1010
	
	
	        96、单项选择题  在并联谐振时,电路的()
                    
	A、感抗等于容抗,回路电流最大
	B、感抗等于容抗,回路电压最大
	C、感抗大于容抗,回路电流最大
	D、感抗小于容抗,回路电压最大
 
	
	点击查看答案
 本题答案:B
本题解析:暂无解析
	
	
	        97、问答题  某直流电桥的四个桥臂电阻分别为R1=1000Ω,R2=100Ω,R3=4lΩ和R4=400Ω。电源为1.5V(不计内阻),指示器灵敏度为2mm/A,内阻为50Ω。  (1)断开指示器,求其两端的戴维南等效电路。  (2)计算指示器由电路不平衡引起的偏转。
                    
 
	
	点击查看答案
 本题答案: 试题答案
试题答案
	
	
	        98、问答题  何谓虚拟仪器?虚拟仪器是仿真仪器吗?
                    
 
	
	点击查看答案
 本题答案:虚拟仪器(VirtualInstrument,简称VI
本题解析:试题答案虚拟仪器(VirtualInstrument,简称VI)是指以通用计算机作为核心的硬件平台,配以相应测试功能的硬件作为信号输入输出的接口,利用仪器软件开发平台在计算机的屏幕上虚拟出仪器的面板和相应的功能,然后通过鼠标或键盘操作的仪器。虚拟仪器是一种实际仪器。
	
	
	        99、单项选择题  矩形脉冲信号与方波信号的区别,在于以下()不同。
                    
	A、周期
	B、上升时间
	C、占空比
	D、幅度
 
	
	点击查看答案
 本题答案:B
本题解析:暂无解析
	
	
	        100、问答题  某直流电桥测量电阻Rx,当电桥平衡时,三个桥臂电阻分别为R1=100Ω,R2=50Ω,R3=25Ω。求电阻只雾等于多大?
                    
 
	
	点击查看答案
 本题答案: 试题答案
试题答案
	
	
	        101、问答题  直流电压的测量方案有哪些?
                    
 
	
	点击查看答案
 本题答案:直流电压的测量一般可采用直接测量法和间接测量法两种。可用数字
本题解析:试题答案直流电压的测量一般可采用直接测量法和间接测量法两种。可用数字式万用表、模拟式万用表、电子电压表、示波器等设备运用零示法、微安法等测量直流电压。
	
	
	        102、问答题  什么是内同步?什么是外同步?
                    
 
	
	点击查看答案
 本题答案:同步信号采自于Y通道的(即被观察信号)被称为内同步;同
本题解析:试题答案同步信号采自于Y通道的(即被观察信号)被称为内同步;同步信号采自于来自仪器外部的同步信号的方式被称为外同步。
	
	
	        103、单项选择题  交流电压的波峰因数Kp定义为()。
                    
	A.峰值与平均值之比
	B.有效值与平均值之比
	C.峰值与有效值之比
	D.平均值与峰值 之比
 
	
	点击查看答案
 本题答案:C
本题解析:暂无解析
	
	
	        104、问答题  什么是DCS?
                    
 
	
	点击查看答案
 本题答案:DCS也称分散式控制系统,它是利用计算机技术、控制技术
本题解析:试题答案DCS也称分散式控制系统,它是利用计算机技术、控制技术、通信技术、图形显示技术实现过程控制和过程管理的控制系统。
	
	
	        105、问答题  削弱系统误差的主要方法是什么?
                    
 
	
	点击查看答案
 本题答案:削弱系统误差的主要方法有:  
(1)零示法  本题解析:试题答案削弱系统误差的主要方法有:  
(1)零示法  
(2)替代法  
(3)补偿法  
(4)对照法  
(5)微差法  
(6)交换法
	
	
	        106、问答题  测量误差的表示方法?测量误差的来源?
                    
 
	
	点击查看答案
 本题答案:测量误差的来源有仪器误差、使用误差、人身误差、影响误差、和方
本题解析:试题答案测量误差的来源有仪器误差、使用误差、人身误差、影响误差、和方法误差。
	
	
	        107、单项选择题  调节示波器中Y输出差分放大器输入端的直流电位即可调节示波器的()
                    
	A.偏转灵敏度
	B.Y轴位移
	C.倍率
	D.X轴位移
 
	
	点击查看答案
 本题答案:B
本题解析:暂无解析
	
	
	        108、单项选择题  
	交流电压的有效值的表达式为()。
	 
                    
	A.
	
	B.
	
	C.
	D.
 
	
	点击查看答案
 本题答案:D
本题解析:暂无解析
	
	
	        109、问答题  使用电子计数器测量周期时,如何选择周期倍乘?
                    
 
	
	点击查看答案
 本题答案:电子计数器测量周期时,“周期倍乘”后再进行周期测量,其测量精
本题解析:试题答案电子计数器测量周期时,“周期倍乘”后再进行周期测量,其测量精确度大为提高。需要注意的是所乘倍数k要受到仪器显示位数等的限制。
	
	
	        110、问答题  时基发生器由几部分组成?各部分电路起什么作用?为什么线性时基信号能展开波形?
                    
 
	
	点击查看答案
 本题答案:时基发生器由闸门电路、扫描发生器和释抑电路组成。  
本题解析:试题答案时基发生器由闸门电路、扫描发生器和释抑电路组成。  
时基闸门电路的作用是控制扫描电压发生器的工作,它是一个双稳态触发电路,当触发脉冲到来时,电路翻转,输出高电平,使扫描电压发生器开始工作。  
扫描发生器扫的作用是产生高线性度的锯齿波电压。  
释抑电路的作用是用来保证每次扫描都开始在同样的起始电平上。  
在水平偏转板上加一线性锯齿波扫描电压ux,该扫描电压将Y方向所加信号电压uy作用的电子束在屏幕上按时间沿水平方向展开。
	
	
	        111、问答题  
	题3.18图(a所示方案观测网络瞬态响应,如果输入波形是矩形脉冲(b),被观测网络分别为(c)、(d),则示波器上显示的输出波形各为什么?
	 
	
                     
	
	点击查看答案
 本题答案: 试题答案
试题答案
	
	
	        112、填空题  电子测量食品的接地有两类,安全接地的目的是(),技术接地的目的是保证电子测量仪器正常工作。
                    
 
	
	点击查看答案
 本题答案:保障操作者人身安全
本题解析:试题答案保障操作者人身安全
	
	
	        113、问答题  测量周期误差由哪几部分组成?什么叫触发误差?测量周期时,如何减小触发误差的影响?
                    
 
	
	点击查看答案
 本题答案:电子计数器测量周期也是采用间接测量方式进行的,与测频误差的分
本题解析:试题答案电子计数器测量周期也是采用间接测量方式进行的,与测频误差的分析类似,测周误差也由两项组成,一是量化误差,二是时标信号相对误差。测周时输入信号受到噪声干扰,也会产生噪声干扰误差,这是一种随机误差,也称为触发误差。触发误差是指在测量周期时,由于输入信号中的干扰噪声影响,使输入信号经触发器整形后,所形成的门控脉冲时间间隔与信号的周期产生了差异而产生的误差,触发误差与被测信号的信噪比有关,信噪比越高,触发误差就越小,测量越准确。
	
	
	        114、问答题  某计数式频率计,测频率时闸门时间为1s,测周期时倍乘最大为×10000,晶振最高频率为10MHz,求中界频率。
                    
 
	
	点击查看答案
 本题答案: 试题答案
试题答案
	
	
	        115、问答题  高频电流表的量程扩大可采用什么方法?
                    
 
	
	点击查看答案
 本题答案:高频电流表一般在测量强电流时采用分流器或变流器来减小流过热电
本题解析:试题答案高频电流表一般在测量强电流时采用分流器或变流器来减小流过热电式电流表的电流,从而扩大量程。  
①分流法。从原理讲可分为电阻、电容、电感三种分流法。电阻分流法的功耗大,故不在高频电流表中使用;电感分流法功耗虽小,但易受外界多变磁场的影响,使用的场合较小;电容分流法用的较多。电容分流法的方法是将热电式电流表的输入端并联一只电容,将高频电流分流掉一部分,达到扩大量程的目的。利用电阻、电感分流器的电流表,其压降较大。这个压降还与被测电流的频率有关,因此对被测电路有一定的影响。  
②变流法是利用变流器的变压比来实现电流分流。
	
	
	        116、填空题  扫频仪中稳副电路的作用是(),从而使扫频信号的振幅恒定。
                    
 
	
	点击查看答案
 本题答案:减少寄生调幅
本题解析:试题答案减少寄生调幅
	
	
	        117、填空题  已知示波器的扫描控制开关置于0.2ms/div,被测信号为正弦波,荧光屏上显示8格的两个周期的完整波形。则被测信号的频率为()(0.2*8/2取倒数)
                    
 
	
	点击查看答案
 本题答案:1.25KHz
本题解析:试题答案1.25KHz
	
	
	        118、问答题  什么是等精度测量?什么是不等精度测量?
                    
 
	
	点击查看答案
 本题答案:在保持测量条件不变的情况下对同一被测量进行的多次测量过
本题解析:试题答案在保持测量条件不变的情况下对同一被测量进行的多次测量过程称作等精度测量。如果在同一被测量的多次重复测量中,不是所有测量条件都维持不变,这样的测量称为非等精度测量或不等精度测量
	
	
	        119、问答题  通用示波器应包括哪些单元?各有何功能?
                    
 
	
	点击查看答案
 本题答案:通用示波器主要包括X偏转系统、Y轴偏转系统和示波管三大部分。
本题解析:试题答案通用示波器主要包括X偏转系统、Y轴偏转系统和示波管三大部分。如图8.1所示。Y轴偏转系统将输入的被测交流信号放大;X轴偏转系统提供一个与时间成线性关系的锯齿波电压;两组电压同时加到示波管的偏转板上,示波管中的电子束在偏转电压的作用下运动,在屏幕上形成与被测信号一致的波形。阴极射线示波管主要由电子枪、偏转系统和荧光屏三部分组成,它们都被密封在真空的玻璃壳内,电子枪产生的高速电子束打在荧光屏上,偏转板控制电子束的偏转方向,使其按要求在荧光屏相应的部位产生荧光。
	
	
	        120、单项选择题  电子测量仪器的性能指标中,用于描述“在规定时间区间内,其他外界条件不变的情况下,仪器示值变化的大小”的指标是()。
                    
	A.不确定度
	B.稳定度
	C.灵敏度
	D.纯属度
 
	
	点击查看答案
 本题答案:B
本题解析:暂无解析
	
	
	        121、填空题  时基信号一般由()产生。为得到各种不同的时标,可对同一时基信号进行和倍频。
                    
 
	
	点击查看答案
 本题答案:石英晶体振荡器;分频
本题解析:试题答案石英晶体振荡器;分频
	
	
	        122、名词解释  副基准
                    
 
	
	点击查看答案
 本题答案:通过直接或间接与国家基准比对,确定其量值并经国家鉴定批准的计
本题解析:试题答案通过直接或间接与国家基准比对,确定其量值并经国家鉴定批准的计量器具。其地位仅次于国家基准,平时用来代替国家基准使用或验证国家基准的变化。
	
	
	        123、单项选择题  交流电压表都按照正弦波电压()进行定度的。
                    
A.峰值  
B.峰—峰值  
C.有效值  
D.平均值
 
	
	点击查看答案
 本题答案:C
本题解析:暂无解析
	
	
	        124、问答题  用全波整流均值电压表分别测量正弦波、三角波和方波,若电压表示值均为10V,那么被测电压的有效值各为多少?
                    
 
	
	点击查看答案
 本题答案:对于正弦波,由于电压表本来就是按其有效值定度的,即电压
本题解析:试题答案对于正弦波,由于电压表本来就是按其有效值定度的,即电压表的示值就是正弦波的有效值,因此正弦波的有效值为
U=Ua=10V
对于三角波,其波形系数KF=1.15,所以有效值为
U=0.9KFUa=0.9×1.15×10=10.35V
对于方波,其波形系数KF=1,所以有效值为
U=0.9KFUa=0.9×1×10=9V
	
	
	        125、填空题  示波器荧光屏的发光原理是将电子束的动能转换成光能,并产生部分()。
                    
 
	
	点击查看答案
 本题答案:亮点
本题解析:试题答案亮点
	
	
	        126、填空题  通用电子计数器主要有测频、()、和()三个功能。
                    
 
	
	点击查看答案
 本题答案:测周;测频率比
本题解析:试题答案测周;测频率比
	
	
	        127、单项选择题  扫描信号发生器产生故障而无扫描信号时,在Y轴加入正弦信号,示波器将显示()
                    
	A、一条水平亮线
	B、一条垂直亮线
	C、只有一个亮点
	D、正弦波
 
	
	点击查看答案
 本题答案:B
本题解析:暂无解析
	
	
	        128、问答题  什么是软测量技术?它与常规仪表检测的本质区别是什么?
                    
 
	
	点击查看答案
 本题答案:软软测量技术也称为软仪表技术,它是利用易测过程变量(常称为辅
本题解析:试题答案软软测量技术也称为软仪表技术,它是利用易测过程变量(常称为辅助变量或二次变量,如工业过程中容易获取的压力温度等过程参数),依据这些测过程变量与难以直接测量的待测过程变量(常称主导变量,如精馏塔中各种组分浓度等)之间的数学关系(软测量模型),通过各种计算和估计方法,实现对待测过程变量的测量.  
常规仪表检测沿袭传统的检测技术思路,通过过程检测仪表,以硬件形式实现过程参数的直接在线测量,软测量技术利用易于获取的其他测量信息,通过计算来实现被检测量的估计.
	
	
	        129、填空题  电子示波器的心脏是阴极射线示波管,它主要由()、()和()三部分组成。
                    
 
	
	点击查看答案
 本题答案:电子枪、偏转系统、荧光屏;
本题解析:试题答案电子枪、偏转系统、荧光屏;
	
	
	        130、问答题  被测电压8V左右,现有两只电压表,一只量程0~l0V,准确度sl=1.5,另一种量程0~50V,准确度s2=l.0级,问选用哪一只电压表测量结果较为准确?
                    
 
	
	点击查看答案
 本题答案: 试题答案
试题答案
	
	
	        131、问答题  频谱分析仪的静态和动态分辨率有何区别和联系?
                    
 
	
	点击查看答案
 本题答案:分辨率是指频谱分析仪能把靠得很近的、相邻的二个频谱分量分辨出
本题解析:试题答案分辨率是指频谱分析仪能把靠得很近的、相邻的二个频谱分量分辨出来的能力。其中静  
态分辨率决定扫频的宽度;动态分辨率则对扫速有大的影响。一般静态分辨率Bq在仪器技  
术说明书中给出的,而动态分辨率Bd则与我们使用条件有关,很明显,Bd总是大于Bq,而  
且扫频速度越快,Bd越宽。一般说来,动态分辨率Bd决定于静态分辨率Bq。
	
	
	        132、问答题  设某待测量的真值为土0.00,用不同的方法和仪器得到下列三组测量数据。试用精密度、正确度和准确度说明三组测量结果的特点:  ①10.10,l0.07,10.l2,l0.06,l0.07,l0.12,10.11,10.08,l0.09,10.11;  ②9.59,9.7l,10.68,l0.42,10.33,9.60,9.80,l0.21.,9.98,l0.38;  ③10.05,l0.04,9.98,9.99,l0.00,10.02,10.0l,999,9.97,9.99。
                    
 
	
	点击查看答案
 本题答案:①精密欠正确;②准确度低;③准确度高。
本题解析:试题答案①精密欠正确;②准确度低;③准确度高。
	
	
	        133、名词解释  非相干式直接合成器
                    
 
	
	点击查看答案
 本题答案:用多个石英晶体产生基准频率,产生混频的两个基准频率之间相互独
本题解析:试题答案用多个石英晶体产生基准频率,产生混频的两个基准频率之间相互独立。
	
	
	        134、问答题  用计数式频率计测信号的周期,晶振频率为10MHz,其相对误差Δfc/fc=±5×10-8,周期倍乘开关置×100,求测量被测信号周期Tx=10μs时的测量误差.。
                    
 
	
	点击查看答案
 本题答案: 试题答案
试题答案
	
	
	        135、问答题  如果要达到稳定显示重复波形的目的,扫描锯齿波与被测信号间应具有怎样的时序和时间关系?
                    
 
	
	点击查看答案
 本题答案:Tx=nTy
本题解析:试题答案Tx=nTy
	
	
	        136、问答题  高、低频正弦信号发生器输出阻抗一般为多少?使用时,如果阻抗不匹配,会有什么影响?
                    
 
	
	点击查看答案
 本题答案:低频信号发生器中一般有50、600、5k等各种不同输出阻抗;
本题解析:试题答案低频信号发生器中一般有50、600、5k等各种不同输出阻抗;  
高频信号发生器一般只有50(或75)一种输出阻抗。  
匹配阻抗主要为了减少失真。
	
	
	        137、单项选择题  被测量的真值是()。
                    
	A.可以准确测定的
	B.在甘一时空条件下是客观存在的,但很多情况下不能准确测定
	C.不能准确测定
	D.客观上均不存在,因而无法测量
 
	
	点击查看答案
 本题答案:B
本题解析:暂无解析
	
	
	        138、问答题  什么是一次仪表?什么是二次仪表?
                    
 
	
	点击查看答案
 本题答案:一次仪表就是现场安装仪表,主要为测量变送单元和执行单元两类。
本题解析:试题答案一次仪表就是现场安装仪表,主要为测量变送单元和执行单元两类。一次仪表传输信号为4~20mA直流电流,由24V直流电源箱统一供电。  
包括:①变送单元类②执行单元类  
二次仪表就是控制室内安装仪表,主要为转换单元类、调节单元类、运算单元类、显示单元类、给定单元类和辅助单元类。二次仪表之间运输信号为1~5V直流电压,由24V直流电源箱统一供电。  
包括:①转换单元类②调节单元类  
③运算单元类④显示单元类  
⑤给定单元类⑥辅助单元类
	
	
	        139、问答题  简述误差的来源、分类及其常用表示方法。
                    
 
	
	点击查看答案
 本题答案:测量误差是由于电子测量仪器的及测量辅助设备、测量方法、外界环
本题解析:试题答案测量误差是由于电子测量仪器的及测量辅助设备、测量方法、外界环境、操作技术水平等多种因素共同作用的结果,从总体上讲,来源有六个方面,即仪器误差、方法误差、理论误差、影响误差、人身误差、测量对象变化误差。  
测量误差的分类:按照性质和特点,可分为:随机误差、系统误差、粗大误差。  
测量误差的表示方法:  
(1)绝对误差:ΔX=X-A。其中A。为被测量的真值,测量结果为X  
(2)相对误差:根据约定值不同,可将相对误差分为四类:  
真值误差:r=ΔX/A。×100%  
实际相对误差:r=ΔX/A×100%,其中A为实际值  
示值相对误差:r=ΔX/X×100%,其中X为测量值  
④满度相对误差:r=ΔX/Xm×100%,其中Xm为满刻度
	
	
	        140、填空题  测量是人们认识客观事物并获得其量值的实验过程。测量的基本方法是实验方法,测量结果由()和单位两部组成。测量结果与真值之间的差异称为()。
                    
 
	
	点击查看答案
 本题答案:数值;测量误差
本题解析:试题答案数值;测量误差
	
	
	        141、问答题  现有下列三种示波器,测量上升时间‘,,为80ns的脉冲波形,选用哪一种好?为什么?  (1)SBT5同步示波器fh=10MHz,tr≤40ns。  (2)SBMl0通用示波器fh=30MHz,tr≤12ns。  (3)SR—8双踪示波器fh=15MHz,tr≤2,1ns。
                    
 
	
	点击查看答案
 本题答案: 试题答案
试题答案
	
	
	        142、填空题  直流电流的测量方法有()、()。
                    
 
	
	点击查看答案
 本题答案:直接测量法;间接测量法
本题解析:试题答案直接测量法;间接测量法
	
	
	        143、填空题  示波器的“聚焦”旋钮具有调节示波器中()极与()极之间电压的作用。
                    
 
	
	点击查看答案
 本题答案:第一阳(或A1) ;   第二阳(或A2, 或G2);
本题解析:试题答案第一阳(或A1) ;   第二阳(或A2, 或G2);
	
	
	        144、问答题  某电压放大器,测得输入端电压Ui=1.0mV,输出端电压Uo=1200mV,两者相对误差均为±2%,求放大器增益的分贝误差。
                    
 
	
	点击查看答案
 本题答案: 试题答案
试题答案
	
	
	        145、填空题  电子电压表按其电路组成形式可以分为放大—检波式、()和外差式三种类型。
                    
 
	
	点击查看答案
 本题答案:检波-放大式
本题解析:试题答案检波-放大式
	
	
	        146、问答题  简述消除或削弱系统误差的典型测量技术有哪几种?
                    
 
	
	点击查看答案
 本题答案:(1)零示法,(2)替代法,(3)补偿法,(4)对照法,(5
本题解析:试题答案(1)零示法,(2)替代法,(3)补偿法,(4)对照法,(5)微差法,(6)交叉读数法
	
	
	        147、问答题  使用电阻器时要考虑哪些问题?
                    
 
	
	点击查看答案
 本题答案:电阻在电路中多用来进行限流、分压、分流以及阻抗匹配等。是电路
本题解析:试题答案电阻在电路中多用来进行限流、分压、分流以及阻抗匹配等。是电路中应用最多的元件  
之一。使用电阻器时主要应考虑电阻的标称阻值、额定功率、精度、最高工作温度、最高工  
作电压、噪声系数及高频特性等。
	
	
	        148、问答题  模拟电压表和数字电压表的分辨率各自与什么因数有关?
                    
 
	
	点击查看答案
 本题答案:模拟电压表的分辨率是指能够响应的信号的最小值,一般用输入信号
本题解析:试题答案模拟电压表的分辨率是指能够响应的信号的最小值,一般用输入信号的最小幅度表示。数字电压表的分辨率是指DVM能够显示的被测电压的最小变化值,即显示器末位跳动一个数字所需的电压值。它们的分辨率主要由工作原理、测试方法、电路参数等决定,数字电压表的分辨率受A/D转换器的影响。
	
	
	        149、单项选择题  以下各电路中,不属于频率特性测试仪内部组成部分的是()
                    
	A、扫描电路
	B、稳幅电路
 
	C、频率标志电路
	D、检波探头
 
	
	点击查看答案
 本题答案:D
本题解析:暂无解析
	
	
	        150、问答题  有两个周期相同的正弦波,在屏幕上显示一个周期为6个div,两波形间相位间隔为如下值时,求两波形间的相位差。  (1)0.5div(2)2div(3)1div  (4)1.5div(5)1.2div(6)1.8div
                    
 
	
	点击查看答案
 本题答案: 试题答案
试题答案
	
	
	        151、名词解释  脉冲过冲
                    
 
	
	点击查看答案
 本题答案:包括上冲和下冲。上冲指上升边超过顶值Um以上所呈现的突出部分
本题解析:试题答案包括上冲和下冲。上冲指上升边超过顶值Um以上所呈现的突出部分,下冲是指下降边超过底值以下所呈现的向下突出部分.
	
	
	        152、问答题  用计数式频率计测量fx=200Hz的信号频率,采用测频率(选闸门时间为1s)和测周期(选晶振周期Tc=0.1μs)两种测量方法。试比较这两种方法由于“±1误差”所引起的相对误差。
                    
 
	
	点击查看答案
 本题答案: 试题答案
试题答案
	
	
	        153、问答题  低频信号源中的主振器常用哪些电路?为什么不用LC正弦振荡器直接产生低频正弦振荡?
                    
 
	
	点击查看答案
 本题答案:低频信号源中的主振器一般由RC振荡电路或差频式振荡电路组成。
本题解析:试题答案低频信号源中的主振器一般由RC振荡电路或差频式振荡电路组成。相对来说采用RC振荡电路或差频式振荡电路比LC振荡电路简单,调节方便。
	
	
	        154、单项选择题  通用示波器显示被测信号波形时,时基信号是()
                    
	A、锯齿波
	B、正弦波
	C、方波
	D、阶梯波
 
	
	点击查看答案
 本题答案:A
本题解析:暂无解析
	
	
	        155、单项选择题  一下方法中,不能提高荧屏亮度的是()
                    
	A、降低阴极电压
	B、升高栅极电压
	C、降低聚焦电压
	D、升高加速极电压
 
	
	点击查看答案
 本题答案:A
本题解析:暂无解析
	
	
	        156、问答题  
	若电子计数器内晶振频率 ,闸门时间为1s,试求中界频率。
,闸门时间为1s,试求中界频率。
                     
	
	点击查看答案
 本题答案: 试题答案
试题答案
	
	
	        157、单项选择题  计数器测频时,若所用的时基信号T0=1ms,则计数后的单位为()
                    
	A.Hz
	B.kHz
	C.MHz
	D.GHz
 
	
	点击查看答案
 本题答案:B
本题解析:暂无解析
	
	
	        158、问答题  记忆示波管是怎样实现记忆波形的功能?记忆示波器能否观测单次性高频信号?
                    
 
	
	点击查看答案
 本题答案:记忆示波器的记忆功能是由记忆示波管完成的。将记忆信号存贮于示
本题解析:试题答案记忆示波器的记忆功能是由记忆示波管完成的。将记忆信号存贮于示波管的栅网上,需要显示时,泛射枪发出的流均匀地近乎垂直地射向存储栅网,将栅网存储的波形在荧光屏上清晰地显示出来。  
记忆示波器能观测单次性高频信号。
	
	
	        159、问答题  什么是相对误差?
                    
 
	
	点击查看答案
 本题答案:相对误差可以说明测量的准确程度,可分为实际相对误差、示值相对
本题解析:试题答案相对误差可以说明测量的准确程度,可分为实际相对误差、示值相对误差、满意度相对误差和分贝相对误差。
	
	
	        160、问答题  智能仪器的结构特点是什么?
                    
 
	
	点击查看答案
 本题答案:智能仪器是将人工智能的理论、方法和技术应用于仪器,使其
本题解析:试题答案智能仪器是将人工智能的理论、方法和技术应用于仪器,使其具有类似人智能特性或功能的仪器。目前,人们习惯把内含微型计算机和GPIB接口的仪器称为智能仪器。为了实现智能化的特性或功能,智能仪器中一般都使用嵌入微处理器的系统芯片(SOC)、或数字信号处理器(DSP)及专用电路(ASIC),仪内部带有处理能力很强的智能软件。但通属于专用型计算机,相应的测试软件也相对固定。
	
	
	        161、问答题  
	用某直流电桥测量电阻Rx,当电桥平衡是,三个桥臂电阻分别为R1=100Ω,R2=50Ω,RN=25Ω。电路如图所示。求电阻Rx。
	
                     
	
	点击查看答案
 本题答案: 试题答案
试题答案
	
	
	        162、单项选择题  用电桥法测量电阻,电桥平衡的表现为()
                    
	A、相对两臂为电阻
	B、相邻两臂为电阻
	C、检流计指示为零
	D、无法确定
 
	
	点击查看答案
 本题答案:C
本题解析:暂无解析
	
	
	        163、填空题  计量基准通常分为国家计量基准、()和工作计量基准三类,也分别称作一级、二级、三级基准。
                    
 
	
	点击查看答案
 本题答案:国家副计量基准
本题解析:试题答案国家副计量基准
	
	
	        164、问答题  
	用示波器测量题2.26图所示调幅波的调幅系数 ,已知A、B测量误差±10%,问调幅系数误差为多少?
,已知A、B测量误差±10%,问调幅系数误差为多少?
	
                     
	
	点击查看答案
 本题答案: 试题答案
试题答案
	
	
	        165、填空题  ()、()和功率是集总电路中表征电信号能量的三个基本参数。
                    
 
	
	点击查看答案
 本题答案:电流;电压
本题解析:试题答案电流;电压
	
	
	        166、单项选择题  在ZC4121A自动失真仪中,桥T型基波抑制器的核心部件是()
                    
	A、基波抑制运算放大器
	B、谐波正反馈跟随器
	C、电容中和电路
	D、无源桥T型网络
 
	
	点击查看答案
 本题答案:D
本题解析:暂无解析
	
	
	        167、问答题  用示波器观测正弦波时,荧光屏上得到如图所示波形,试分析示波器哪个部分工作不正常?
                    
 
	
	点击查看答案
 本题答案:(1)为扫描锯齿波线性度不好;  
(2)Y放大器引
本题解析:试题答案(1)为扫描锯齿波线性度不好;  
(2)Y放大器引入失真,出现削顶,产生截止失真;  
(3)有扫描回线,增辉电路工作不正常。
	
	
	        168、问答题  试说明触发电平、触发极性调节的意义。
                    
 
	
	点击查看答案
 本题答案:在电路中设置触发电平和触发极性调节两种控制方式,通过这
本题解析:试题答案在电路中设置触发电平和触发极性调节两种控制方式,通过这两种方式可任意选择被显示信号的起始点,便于对波形的观测和比较。触发极性是指触发点位于触发源信号的上升沿还是下降沿。触发点位于触发源信号的上升沿为“+”极性;触发点位于触发源信号的下降沿则为“-”极性;触发电平是指触发脉冲到来时所对应的触发放大器输出电压的瞬时值,触发极性和触发电平决定触发脉冲产生的时刻,并决定扫描的起点。
	
	
	        169、单项选择题  交流电压的波形因数KF定义为()。
                    
	A.平均值与有效值之比
	B.有效值与平均值之比
	C.峰值与平均值之比
	D.峰值与有效值之比
 
	
	点击查看答案
 本题答案:B
本题解析:暂无解析
	
	
	        170、问答题  简述直流电桥测量电阻的基本方法。
                    
 
	
	点击查看答案
 本题答案: 试题答案
试题答案
	
	
	        171、问答题  举例说明测量相位差的重要意义。
                    
 
	
	点击查看答案
 本题答案:测量输出与输入信号间相位差在图像信号传输与处理、多元信号的相
本题解析:试题答案测量输出与输入信号间相位差在图像信号传输与处理、多元信号的相干接收等学科领域,都有重要意义。
	
	
	        172、填空题  根据测量误差的性质和特点,可将误差分为()、()和粗大误差。
                    
 
	
	点击查看答案
 本题答案:随机误差;系统误差
本题解析:试题答案随机误差;系统误差
	
	
	        173、填空题  计量的三个主要特征是统一性、()和法制性。
                    
 
	
	点击查看答案
 本题答案:准确性
本题解析:试题答案准确性
	
	
	        174、问答题  怎样控制扫描电压的幅度?
                    
 
	
	点击查看答案
 本题答案:在示波器电路中比较和释抑电路可用于控制扫描电压的幅度。比较电
本题解析:试题答案在示波器电路中比较和释抑电路可用于控制扫描电压的幅度。比较电路利用比较、识别电平的功能来控制锯齿波的幅度,在比较电路中,输入电压与预置的参考电平进行比较,当输入电压等于预置的参考电平时,输出端电位产生跳变,并把它作为控制信号输出。它决定扫描的终止时刻,从而确定锯齿波的幅度,使电路产生等幅扫描。
	
	
	        175、填空题  4342A型Q表整机主要包含三大部分:()、谐振电路与Q—电压表电路。
                    
 
	
	点击查看答案
 本题答案:振荡电路
本题解析:试题答案振荡电路
	
	
	        176、填空题  用四位半的DVM测量15V的稳压电源电压为15.125V,取四位有效数字时,其值为()。
                    
 
	
	点击查看答案
 本题答案:15.13V;
本题解析:试题答案15.13V;
	
	
	        177、填空题  基本锁相环包括三个组成部分,它们是鉴相器、()、压控振荡器。
                    
 
	
	点击查看答案
 本题答案:环路滤波器
本题解析:试题答案环路滤波器
	
	
	        178、问答题  
	利用微差法测量一个l0V电源,使用9V标称相对误差±0.1%的稳压源和一只准确度为s的电压表,如题2.17图所示。要求测量误差ΔU/U≤±0.5%,问s=?
	 
	
                     
	
	点击查看答案
 本题答案: 试题答案
试题答案
	
	
	        179、填空题  函数信号发生器产生信号的方法有先产生正弦波再得到方波和正弦波、利用(),经变换得到三角波和正弦波、先产生三角波再产生方波和正弦波三种。
                    
 
	
	点击查看答案
 本题答案:施密特电路产生方波
本题解析:试题答案施密特电路产生方波
	
	
	        180、问答题  数字存贮示波器是怎样工作的?
                    
 
	
	点击查看答案
 本题答案:数字存贮示波器采用数字电路,将输入信号先经过A/D变换器,将
本题解析:试题答案数字存贮示波器采用数字电路,将输入信号先经过A/D变换器,将模拟波形变换成数字信息,存贮于数字存贮器中,需要显示时,再从存贮器中读出,通过D/A变换器,将数字信息变换成模拟波形显示在示波管上。
	
	
	        181、问答题  简易电平测试设备有那些?它们有何用途?
                    
 
	
	点击查看答案
 本题答案:简易逻辑电平测试设备常见的有逻辑笔和逻辑夹,它们主要用
本题解析:试题答案简易逻辑电平测试设备常见的有逻辑笔和逻辑夹,它们主要用来判断信号的稳定电平、
单个脉冲或低速脉冲序列。其中逻辑笔用于测试单路信号,逻辑夹则用于多路信号。
	
	
	        182、问答题  某直流电桥的比率臂由(×0.1)可调到(×104),标准臂电阻只3能按0.1Ω的级差从0Ω调到lkΩ,求该电桥测量的阻值范围。
                    
 
	
	点击查看答案
 本题答案: 试题答案
试题答案
	
	
	        183、填空题  静电偏转型电子射线示波管从结构上看主要由三部分组成,即电子枪、()和荧光屏。其中电子枪又由灯丝、阴极、栅极、第一阳极、第二阳极和前加速级组成。
                    
 
	
	点击查看答案
 本题答案:偏转系统
本题解析:试题答案偏转系统
	
	
	        184、问答题  假设用正弦有效值刻度的平均值电压表来测量正弦波、方波和三角波,读数都为10V,三种信号的有效值为多少?
                    
 
	
	点击查看答案
 本题答案: 试题答案
试题答案
	
	
	        185、问答题  利用弹簧管压力表测压力,在大气中它的指示为p,如果把它移到真空中,指示会不会变?
                    
 
	
	点击查看答案
 本题答案:会改变,因为弹簧管受力情况改变,自由端位置变化。在大气压下测
本题解析:试题答案会改变,因为弹簧管受力情况改变,自由端位置变化。在大气压下测量的是表压,在真空中测量的是绝对压力。
	
	
	        186、填空题  XD-22A型低频信号发生器的主振级采用RC振荡器电路,由热敏电阻Rt组成的负反馈支路的作用是稳幅,该热敏电阻的类型是()。
                    
 
	
	点击查看答案
 本题答案:负温度系数
本题解析:试题答案负温度系数
	
	
	        187、填空题  数字电压表的最大计数容量为19999,通常称该表为()位数字电压表;若其最小量程为0.2V,则其分辨力为()。
                    
 
	
	点击查看答案
 本题答案:4  (或四位半)  ;      10μV;
本题解析:试题答案4  (或四位半)  ;      10μV;
	
	
	        188、单项选择题  上肢肌肉分为肩肌、臂肌、前臂肌和()。
                    
	A.手肌
	B.后臂肌
	C.胸肌
	D.背阔肌
 
	
	点击查看答案
 本题答案:A
本题解析:暂无解析
	
	
	        189、问答题  某示波管的Y偏转因数为Df=8V/div,用其构成一示波器。要求该示波器的最小偏转因数Dymin=50mv/div,试计算Y通道放大器的放大倍数。假如荧光屏的有效高度为5div,则Y通道末级放大器的输出电压幅度为多少?
                    
 
	
	点击查看答案
 本题答案: 试题答案
试题答案
	
	
	        190、问答题  热电式电流表是如何测量电流的?
                    
 
	
	点击查看答案
 本题答案:热电式电流表的基本原理利用热电偶组成闭合回路,将热电偶的工作
本题解析:试题答案热电式电流表的基本原理利用热电偶组成闭合回路,将热电偶的工作端与流过电流的金属导线焊接在一起,当金属导线中流过电流时,热电偶工作端温度发生变化,而热电偶是由二个不同金属元素构成,在热电偶的另两端有电动势出现,其大小正比于两焊接点的温度差,且与组成热电偶的材料有关,这样就反映出被测高频电流的量值。
	
	
	        191、问答题  什么是频域测量?它常包括哪些应用类型?
                    
 
	
	点击查看答案
 本题答案:频域测量:信号的频域测量是研究电路网络或电信号中各频率分量的
本题解析:试题答案频域测量:信号的频域测量是研究电路网络或电信号中各频率分量的幅度u与频率f之间的关系,即在频域内观察和分析电路网络或电信号。它包括以下几种应用类型:(1)频率特性测量;(2)选频测量;(3)频谱分析;(4)调制度分析测量;(5)谐波失真度测量。
	
	
	        192、问答题  测量电阻、电容、电感的主要方法有哪些?它们各有什么特点?
                    
 
	
	点击查看答案
 本题答案:测量电阻的方法:(1)、直接法,用万用表直接读数当电阻阻值为
本题解析:试题答案测量电阻的方法:(1)、直接法,用万用表直接读数当电阻阻值为欧姆量程的1/3到2/3时误差小  
(2)、伏安法,测量多组电压和电流值画出图表算出R值(3)、桥式电阻测量法  
电容测量的方法:(1)、直接测量法,用万用表测量电容的容值,但受外界的影响较大  
(2)、谐振测量法(3)、电子仪表测量,电容--电压转换电路  
电感测量法:(1)用通用仪器测量可用万用表或交流毫安表要进行两次测量,此时电感损耗忽略  
(2)、用交流电桥法测量(3)、用谐振电路测量(4)、用电子仪表测量
	
	
	        193、问答题  电流的测量方案有哪些?
                    
 
	
	点击查看答案
 本题答案:电流测量的方法可分为直接测量法和间接测量法。直流电流的测量可
本题解析:试题答案电流测量的方法可分为直接测量法和间接测量法。直流电流的测量可采用磁电式电流表、数字电压万用表等仪表,通过直接测量法和间接测量法进行测量;交流电流的测量可采用电磁式电流表、热电式电流表和数字电压万用表等仪表,通过直接测量法和间接测量法进行测量。
	
	
	        194、问答题  一个电解电容器,它的“+”、“-”极标志已脱落,如何用万用表去判定它的“+”、“-”极?
                    
 
	
	点击查看答案
 本题答案:测量电容器漏电的方法,可以用来鉴别电容器的正、负极。对失掉正
本题解析:试题答案测量电容器漏电的方法,可以用来鉴别电容器的正、负极。对失掉正、负极标志的电解电容量,可先假定某极为“+”极,让其与万用表的黑表笔相接,另一个电极与万用表的红笔相接,同时观察并记录表针向右摆动的幅度;将电容放电后,两只表笔对调,重新进行测量。哪一次测量中,表针最后停留的摆动幅度小,说明该次测量中对电容的正、负假设是对的。
	
	
	        195、填空题  在串联谐振时,电感线圈和电容器两端的电压相等,且等于外加电压的()倍。此时Q值电表上的读数乘以其倍率即为待测线圈的Q值。
                    
 
	
	点击查看答案
 本题答案:Q
本题解析:试题答案Q
	
	
	        196、填空题  某数字电压表的最大计数容量为19999,通常称该表为4.5位数字电压表;若其最小量程为0.2V,则其分辨力为()。
                    
 
	
	点击查看答案
 本题答案:0.01mV
本题解析:试题答案0.01mV
	
	
	        197、填空题  扫频仪的主要功能是(),而频谱仪的主要功能是测量信号频率响应。
       来源:91 考试网             
 
	
	点击查看答案
 本题答案:测量幅频特性
本题解析:试题答案测量幅频特性
	
	
	        198、问答题  什么叫失真?如何对它进行测量?
                    
 
	
	点击查看答案
 本题答案:所谓失真度就是信号的全部谐波能量与基波能量的平方根值。
本题解析:试题答案所谓失真度就是信号的全部谐波能量与基波能量的平方根值。失真度分析仪是用来测量失真度的专用仪器,目前测量失真度的常用方法是基波抑制法,所谓基波抑制法,就是将被测信号中基波分量滤除,测量出所有谐波分量总的有效值,再确定其与被测信号总有效值相比的百分数即为谐波失真度值。
	
	
	        199、问答题  
	图示交流电桥,试推导电桥平衡时计算Rx和Lx的公式。若要求分别读数,如何选择标准元件?
	
                     
	
	点击查看答案
 本题答案: 试题答案
试题答案
	
	
	        200、问答题  测量误差用什么表示较好?
                    
 
	
	点击查看答案
 本题答案:测量误差通常可用绝对误差和相对误差两种方法表示。若要反映测量
本题解析:试题答案测量误差通常可用绝对误差和相对误差两种方法表示。若要反 映测量误差的大小和方向,可用绝对误差表示;若要反映测量的准确程度,则用相对误差表示。
	
	
	        
		  
      
      题库试看结束后
微信扫下方二维码即可打包下载完整版《★动力与电气工程》题库
手机用户可保存上方二维码到手机中,在微信扫一扫中右上角选择“从相册选取二维码”即可。
题库试看结束后微信扫下方二维码即可打包下载完整版《动力与电气工程:电子测量》题库,分栏、分答案解析排版、小字体方便打印背记!经广大会员朋友实战检验,此方法考试通过率大大提高!绝对是您考试过关的不二利器!
手机用户可保存上方二维码到手机中,在微信扫一扫中右上角选择“从相册选取二维码”即可。
  微信搜索关注"91考试网"公众号,领30元,获取公务员事业编教师考试资料40G