时间:2018-11-12 00:01:09


1、单项选择题 职业活动中,对客人做到()是符合语言规范的具体要求的。
A、言语细致,反复介绍
B、语速要快,不浪费客人时间
C、用尊称,不用忌语
D、语气严肃,维护自尊
2、多项选择题 在容量分析中,指示剂的选择原则是()。
A.指示剂的变色范围应处于或部分处于化学计量点附近的pH突跃范围之内
B.指示剂颜色的变化是否明显
C.突跃范围左侧
D.突跃范围右侧
3、判断题 由亚临界汽包锅炉供汽的汽轮机组,且当混合离子交换器采用H一OH型运行方式时,可不设置备用设备。()
4、问答题 计算题:一台十级离心泵,当入口压力P1=0.21MPa,出口压力P2=6.5MPa,入口水温t=109.32℃,求该泵的总扬程和单级扬程是多少?(已知该温度及入口压力下,饱和水密度ρ=951.2kg/m3,g=9.81m/s2)
5、多项选择题 产品不良项的内容包括()。
A、对产品功能的影响
B、对质量合格率的影响
C、对外观的影响
D、对包装质量的影响
6、问答题 简述电化学腐蚀过程。
7、单项选择题 除盐设备使用的石英砂在投产前常需要()。
A.大量水冲洗;
B.用5%碱浸泡;
C.用除盐水浸泡24小时;
D.用15%的盐酸浸泡。
8、多项选择题 我国在劳动安全卫生管理上实行“()”的体制。
A、企业负责
B、行业管理
C、国家监察
D、群众监督
9、单项选择题 为了便于混合床中阳、阴树脂的分层,其阴、阳树脂的湿真密度差应大于()。
A.5%~10%
B.10%~15%
C.15%~20%
D.20%~30%
10、多项选择题 影响强碱阴树脂除硅因素有()等。
A.pH值
B.Na+含量
C.各种阴离子含量
D.进水硅酸含量
11、单项选择题 “反粒度”过滤是指滤料粒径循水流方向()。
A.逐渐减小
B.不变
C.逐渐增大
D.先逐渐增大后减小
12、单项选择题 随着锅炉压力的提高,锅炉汽包的汽空间的小水滴的数量会()。
A.减少
B.增多
C.不变
D.不确定
13、单项选择题 两台离心泵的流量、扬程分别用Q1、H1和Q2、H2表示,当它们串联工作时,则流量满足Q总=Q1=Q2,扬程应满足()。
A、H总=H1-H2
B、H总=H2-H1
C、H总=H1=H2
D、H总=H1+H2
14、多项选择题 法兰的公称压力并不代表它的允许工作压力,这两个压力之间的差别完全取决于()。
A.法兰材料
B.工作温度
C.法兰形式
D.工作介质
15、单项选择题 对于中压锅炉补给水的处理可采用双级钠型强酸阳离子交换处理,其出水残留硬度可低于()mmol/L。
A.5
B.0.5
C.0.05
D.0.005
16、问答题 简答凝结水体外再生混合床的树脂比例确定的方法。
17、判断题 伯努利方程式只能表达流体流动的基本规律,不能表达流体静止时的基本规律。()
18、问答题 什么是第一方审核?第二方审核?第三方审核?
19、单项选择题 过滤器中,多层滤料的各层比重自上而下()。
A.相同
B.依次增大
C.依次减小
D.中间层小,上下两层大
20、单项选择题 原子间通过()所形成的化学键叫做共价键。
A、静电作用
B、共用电子对
C、原子核作用
D、自由电子流动
21、多项选择题 浮动床水垫层的作用是()等。
A.作为树脂层转型时体积变化的缓冲高度
B.作为树脂层反洗膨胀的缓冲高度
C.使水流分配均匀
D.使再生液分配均匀
22、判断题 V型槽在滤池过滤过程中处丁淹没状态。()
23、填空题 中小氮肥厂软水除氧的方法主要有三种()、()、()。
24、单项选择题 关于锅炉的运行压力对蒸汽的溶解携带硅酸的影响,说法正确的是()。
A、锅炉的运行压力对蒸汽的溶解硅酸无影响
B、锅炉的运行压力越高,蒸汽溶解携带硅化合物的能力越小
C、锅炉水运行压力越低,蒸汽溶解携带硅化合物的能力越小
D、不确定
25、问答题 简述离心泵振动大的原因分析。
26、单项选择题 锅炉连续排污水一般从汽包中引出,其原因是()。
A.汽包内部压力最高
B.锅炉运行时,汽包内水含盐量最大
C.防止锅炉水位过高
D.为了锅炉水取样方便
27、单项选择题 HSE管理体系文件可分为()层。
A、二
B、三
C、四
D、五
28、问答题 简述凝结水系统停工操作。
29、单项选择题 为了便于混合床中阳、阴树脂的分层,其阴、阳树脂的湿真密度差应大于()。
A.5%~10%
B.10%~15%
C.15%~20%
D.20%~30%
30、多项选择题 炉水含盐量过高,造成蒸汽含钠量超标,应该采取的措施是()。
A、开大连排
B、定排一次
C、调整炉水PH
D、改变锅炉运行工况
31、单项选择题 离子交换水处理逆流再生床要求进水的游离氯小于()mg/L。
A.2
B.1
C.0.1
D.0.01
32、单项选择题 反渗透产品水流量下降,盐透过率上升的直接原因是()。
A.氧化损伤
B.膜渗漏
C.有机物污染
D.产生水垢
33、单项选择题 在滾动轴承中,载荷Q从轴传递到内座圈,再通过滚子传递给外座圈和轴承座上。载荷Q由()承受。
A、全部滾子
B、一半滾子
C、1/3滾子
D、2/3滾子
34、判断题 通常,6kV电压等级的电气设备测绝缘选用500V摇表。()
35、多项选择题 设备误差是计量误差的主要来源之一,它可分为()。
A.标准器误差
B.测量装置误差
C.附件误差
D.随机误差
36、多项选择题 下列视图中,属于用假想平面剖开的视图有()。
A、断面图
B、局部视图
C、半剖视图
D、全剖视图
37、单项选择题 职业道德修养的基础是()。
A、确立正确的人生观
B、学习先进人物的优良品质
C、养成自己良好的行为习惯
D、同旧思想、旧意识及不良现象作斗争
38、判断题 理想沉淀池中悬浮杂质总的去除率大于沉淀池的沉淀效率。()
39、单项选择题 “反粒度”过滤是指滤料粒径循水流方向()。
A.逐渐减小
B.不变
C.逐渐增大
D.先逐渐增大后减小
40、判断题 以极性键相结合,分子空间构型是不对称的分子,叫做极性分子。()
41、单项选择题 纠正措施是指()所采取的措施。
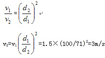
A、返工返修
B、对不合格品
C、防止不合格可能发生
D、对不合格原因
42、多项选择题 下列各种方法中,()可调节离心泵装置的出口流量。
A.泵并联
B.泵串联
C.阀门控制
D.减少多级泵的级数
43、单项选择题 快滤池出现负水头时,不会严生()的影响。
A.降低过滤面积
B.可能破坏出水水质
C.反冲洗时更易将滤料带出滤池
D.降低水头损失
44、单项选择题 均匀流流速
,其中C为系数,R为断面水力半径,J为水力坡度。该经验公式称为()。
A、达西公式
B、满宁公式
C、谢才公式
D、巴甫洛夫斯基公式
45、单项选择题 从某阳床取出一定量的树脂,呈黑色。现置于试管中,加人适量的水,并摇动1min,此时水面有“虹”出现,则说明该树脂被()污染。
A.铁
B.硫酸钙
C.油
D.有机物
46、单项选择题 不能够降低反渗透给水中有机物含量的预处理工艺是()。
A.超滤
B.活性炭吸附
C.混凝过滤
D.加阻垢剂
47、多项选择题 对于除硅要求高的水,在一级复床除盐处理后增设()处理。
A.二级强碱性阴离子交换
B.二级强酸性阳离子交换
C.一级强酸、强碱
D.混合床
48、单项选择题 下面的几种说法,()是正确的解释。
A、水从压力高的地方往压力低的地方流;
B、水从高处往低处流;
C、水从总压头高处往总压头低处流
49、单项选择题 一个人若能在()的情况下不做任何不道德的事,就是“慎独”。
A、有人监督
B、无人监督
C、有纪律约束
D、无法律约束
50、填空题 胶体物质在水中长期保持分散状态而不被破坏的性质叫做();造成这种现象的主要因素是()。
51、多项选择题 单、双流式压力式过滤器滤料表面结泥球时,其处理方法是()。
A.调整冲洗强度
B.缩短工作周期
C.使用漂白粉浸泡滤床
D.更换滤料
52、单项选择题 企业员工在生产经营活动中,不符合平等尊重要求的做法是()。
A、男女有序,尊卑有别
B、互相借鉴,取长补短
C、真诚相待,一视同仁
D、男女平等,友爱亲善
53、单项选择题 按照公文标题的格式,总结的标题一般不应包括()。
A、总结时限
B、单位名称
C、总结种类
D、总结目的
54、单项选择题 相邻水层的水流速度差与它们之间的距离比称为(),通常用G表示。
A.水流梯度
B.速度梯度
C.流量梯度
D.速度比例
55、多项选择题 可以进行分类汇总中汇总方式选项的内容是()。
A、乘积
B、计数
C、最大偏差
D、计数值
56、单项选择题 防止发生反渗透膜浓差极化的有利措施有()。
A、严格控制膜的水通量
B、适度增大回收率
C、提高给水压力
D、实施化学清洗
57、单项选择题 原子间通过()所形成的化学键叫做共价键。
A、静电作用
B、共用电子对
C、原子核作用
D、自由电子流动
58、单项选择题 化工生产中有的过程前后紧密相联,前一设备的出料是后一设备的进料,为保证物料供求协调一致,这时可使用()控制系统进行自动控制。
A、均匀
B、比值
C、串级
D、前馈
59、判断题 滚动轴承基本结构都是由内圈、外圈、滚动体、保持架等四个零件组成。()
60、多项选择题 下列滤池中,基于“反粒度”过滤原理的是()。
A、上向流滤池
B、双层滤池
C、虹吸滤池
D、双向流滤池
61、单项选择题 一般情况下,380V电源的交流电动机绝缘电阻应不低于()MΩ。
A.0.5
B.1.0
C.1.5
D.2.0
62、单项选择题 企业职工具有良好的职业道德,可以使企业()。
A、促进决策科学化
B、增强员工独立意识
C、模糊企业上级与员工关系
D、提高产品和服务质量
63、单项选择题 反渗透装置运行中,脱盐率比标准化后的运行参数下降()时,需要进行化学清洗。
A.1%
B.2%
C.5%
D.l0%
64、单项选择题 石油炼制中,原油脱盐脱水广泛采用()的方法。
A.加热
B.加乳 化剂
C.加破乳剂和高压电场联合作用
D.蒸馏
65、单项选择题 离子交换反应的平衡常数随着已交换树脂量的增加()。
A.减小
B.增大
C.不变
66、单项选择题 在化肥装置中,凝结水中存在大量氨,进行离子交换处理的混合床阴阳树脂体积比为()。
A、2:1
B、1:2
C、1:1
D、1:3
67、单项选择题 活性炭在再生过程中有损耗,通常现场就地再生和集中再生地损耗分别约为()。
A.5%,10%
B.10%,5%
C.1%,5%
D.5%,1%
68、问答题 简述软化与除盐的区别。
69、单项选择题 当前严峻的就业现实要求人们()。
A、尽快跳槽
B、爱岗敬业
C、哪里条件好就去哪里
D、按兵不动
70、单项选择题 下列各有机物中,()与乙醇互为同分异构体。
A.二甲醚
B.乙烷
C.乙烯
D.乙炔
71、多项选择题 质量统计直方图的作用是()。
A、有利于找到问题的症结
B、显示质量波动状态
C、直观地传递过程质量状况信息
D、可以用于因果分析
72、问答题 计算题:强酸树脂的质量全交换容量为4.5mmol/g,含水率为48%,湿视密度为0.8g/mL,求强酸树脂的体积全交换容量是多少?
73、单项选择题 除碳器填料的作用是增加水的()。
A.温度
B.分散度
C.流速
D.阻力
74、判断题 固定式体内再生混合离子交换器再生的废液和对流冲洗的废液是从是下部集水装置排出的。()
75、问答题 当生产返回水渗入硫化物时,锅炉水汽系统中水汽质量将发生怎样变化?
76、单项选择题 关于诚实守信的认识和判断中,正确的选项是()。
A、一贯地诚实守信是不明智的行为
B、诚实守信是维持市场经济秩序的基本法则
C、是否诚实守信要视具体对象而定
D、追求利益最大化原则高于诚实守信
77、判断题 新铺设的滤料在经过冲洗后即可投人使用。()
78、判断题 建立完善的化学监督制度是为了及时发现,制止凝汽器渗漏。()
79、单项选择题 在质量统计控制图中,若某个点超出了控制界限,就说明工序处于()。
A、波动状态
B、异常状态
C、正常状态
D、异常状态的可能性大
80、判断题 汽轮机的凝结水中通常的含铁量一般为10~30μg/L。()
81、单项选择题 下列化合物中,既有离子键又有共价键的是()。
A.NaOH
B.HCl
C.NaCl
D.NH4Cl
82、单项选择题 阴离子交换树脂被有机物和铁污染,复苏时()。
A.先除铁再除有机物
B.先除有机物再除铁
C.铁和有机物同时除
D.无法去除
83、判断题 水中的有机物质主要是指腐殖酸和富里酸的聚羧基酸化合物、生活污水和工业废水的污染物。()
84、单项选择题 盐酸用作反渗透装置的化学清洗剂,以下说法正确的是()。
A.只能溶解碳酸盐水垢
B.只能溶解铁的氧化物
C.能够有效清除细菌
D.既能溶解碳酸盐水垢,也能溶解铁的氧化物
85、判断题 除去水中二氧化碳可减少二氧化碳对给水系统、凝结水系统和锅炉腐蚀。()
86、单项选择题 化工设备图的管口表中各管口的序号用()。
A、大写数字
B、小写数字
C、大写英文字母
D、小写英文字母
87、判断题 绘制平面体的投影图,可以简化为绘制棱线和顶点的投影。()
88、单项选择题 离子交换软化床的树脂产生污堵,正确处理方法为()。
A.更换树脂
B.增加再生剂用量
C.增大反洗强度
D.用硫酸溶液清洗树脂
89、多项选择题 在质量统计排列图分析中,关于“A类因素”说法正确的是()。
A、影响产品质量的主要问题
B、“关键的少数”
C、累积百分数在0%~80%
D、影响产品质量的一般问题
90、单项选择题 职业道德是个人事业成功的()。
A、最终结果
B、重要保证
C、决定条件
D、显著标志
91、单项选择题 提高职业道德修养的前提是()。
A、确立正确的人生观
B、学习先进人物的优良品质
C、培养自己良好的行为习惯
D、同旧思想、旧意识及不良现象作斗争
92、单项选择题 反渗透的脱盐率与进水压力()。
A.无关
B.成正比
C.成反比
D.线性关系
93、单项选择题 锅炉水的含盐量没有超过临界含盐量时,以下说法正确的是()。
A.含盐量对蒸汽带水影响不大
B.含盐量越高蒸汽带水量越小
C.含盐里越高蒸汽带水量越大
D.不确定
94、问答题 计算题:量取密度为1.01g/mL的盐酸溶液5mL,用0.1000mol/L的NaOH滴定,消耗38.53mL,求此溶液盐酸的质量分数。
95、多项选择题 决定澄清器悬浮泥渣层浓度的主要因素有()。
A.生水中的悬浮物含量
B.生水中的含盐量
C.池体的高度
D.水流的上升速度
96、判断题 为了保证出水水质,单、双流式压力式过滤器冲洗时必须开启排气阀。()
97、问答题 简述机械搅拌加速澄清池的运行操作要点。
98、单项选择题 在离子交换处理中,当出现()时,水通过树脂层的压力损失会增大。
A、水流流速增大、水温升高
B、水流流速减小、水温升高
C、水流流速增大、水温降低
D、水流流速减小、水温降低
99、单项选择题 离子交换除盐处理中,H型强酸阳床出水主要控制()的含量。
A、Ca2+
B、Na+
C、Mg2+
D、K+
100、问答题 什么是定量评价?
101、问答题 计算题:何为隔爆型电气设备和增安型电气设备?
102、问答题 简述凝液活性炭过滤器的反洗操作。
103、多项选择题 饱和蒸汽溶解携带的特点是()。
A、有选择性
B、随锅炉压力增大而减小
C、随锅炉压力增大而增大
D、饱和蒸汽不能溶解盐类
104、单项选择题 职业活动中,对客人做到()是符合语言规范的具体要求的。
A、言语细致,反复介绍
B、语速要快,不浪费客人时间
C、用尊称,不用忌语
D、语气严肃,维护自尊
105、问答题 简述鼓风机除碳器效率低的处理。
106、多项选择题 快滤池反冲洗跑砂的原因是()。
A、冲洗强度过大
B、滤料级配不当
C、冲洗水分布不均匀
D、承托层发生扰动
107、多项选择题 强酸性阳离子交换树脂一般可选择()作为再生剂。
A.磷酸
B.硫酸
C.硝酸
D.盐酸
108、多项选择题 下列叙述中,用于表示水质指标的概念是()。
A.溶解固形物
B.硬度
C.碱度
D.耗氧量
109、单项选择题 下列影响因素中,()将可能使阴离子交换器出水碱度高。
A.大反洗进水阀漏人进口水
B.进碱阀漏人再生液
C.阴床深度失效
D.阴床运行流速高
110、单项选择题 汽水集中取样装置正常巡检时,发现流量减小,首先应拆卸检查的阀门是()。
A.手工取样门
B.螺旋减压阀
C.高压针型阀
D.排污阀
111、单项选择题 通常情况下,电渗析膜极化沉淀大多发生在()。
A.淡水室的阴膜
B.浓水室的阳膜
C.浓水室的阴膜
D.淡水室的阳膜
112、单项选择题 把不同材料、不同加工者、不同操作方法、不同设备生产的两批产品混在一起时,质量统计直方图形状为()型。
A、偏向
B、孤岛
C、对称
D、双峰
113、单项选择题 按照公文标题的格式,总结的标题一般不应包括()。
A、总结时限
B、单位名称
C、总结种类
D、总结目的
114、多项选择题 过滤设备滤池滤料的选择原则有()。
A.足够的机械强度
B.足够的化学稳定性
C.能就地取材,价格低廉
D.颗粒均匀,粒度适当
115、单项选择题 在某圆锥体的三视图中,轮廓素线有()条。
A、2
B、4
C、8
D、无数
116、多项选择题 理想沉淀池中,在沉速一定的条件下,以下正确的是()。
A、增加沉淀池表面积可提高去除率
B、沉淀池表面积越大则产水量越多
C、增加沉淀池表面积不能提高去除率
D、沉淀池容积一定时,池身浅则表面积大,去除率则高
117、单项选择题 在()情况下不能对不合格品采取让步或放行。
A、有关的授权人员批准
B、法律不允许
C、顾客批准
D、企业批准
118、单项选择题 覆盖过滤器中,起过滤作用的是()。
A.粉状滤料
B.滤元
C.滤膜
D.水体电解吸附
119、多项选择题 用于凝结水处理的H-OH混合床转化为NH4-OH型的方法有()。
A、氨循环再生法
B、进水加氨法
C、就地氨化法
D、不能确定
120、问答题 计算题:某离子交换器设计产除盐水量为250m3/h,能够连续运行产水20h,失效后立即再生。已知再生时间为2h,每再生一次需要消耗除盐水250m3,那么此离子交换器能够连续保证供水的能力是多少立方米每小时?
121、多项选择题 若阳离子交换器出水漏钠,则阴离子交换器出水会出现()等现象。
A.电导率升高
B.pH值降低
C.钠含量增大
D.碱度降低
122、单项选择题 浮动床水垫层过高,可导致树脂层在成床或落床时发生()现象。
A.压实
B.乱层
C.过快
D.过慢
123、单项选择题 强酸性阳树脂贮存时,需转成()。
A.H型
B.Ca型
C.Na型
D.Mg型
124、单项选择题 反渗透的脱盐率随入口水的温度升高而()。
A.降低
B.升高
C.无关
D.不变
125、多项选择题 石油炼制中,催化裂化装置通常由()等部分组成。
A.反应一再生系统
B.分馏系统
C.吸收稳定系统
D.能量回收系统
126、问答题 使用新树脂前为什么要进行处理?
127、多项选择题 用于凝结水处理的H-OH混合床转化为NH4-OH型的方法有()。
A、氨循环再生法
B、进水加氨法
C、就地氨化法
D、不能确定
128、多项选择题 在快滤池工作中,可采取()措施消除负水头。
A.增加滤层砂面上的水深
B.提高滤池出水位置
C.进行反洗
D.停止进水
129、单项选择题 当物体结构形状复杂,虚线就愈多,为此,对物体上不可见的内部结构形状采用()来表示。
A、旋转视图
B、局部视图
C、全剖视图
D、端面图
130、问答题 班组在企业生产中的地位如何?
131、判断题 轴测投影是采用斜投影的方法,以单面投影的形式得到的一种图示方法。()
132、问答题 计算题:某台阳离子交换器,其树脂全交换容量EQ=2000mmol/L,当充分再生时,测得其再生度为82%,当运行失效时,测得其饱和度为73%,求该阳树脂的工作交换容量EG。
133、单项选择题 职业道德是一种内在的、()的约束机制。
A、强制性
B、非强制性
C、随意性
D、自发性
134、单项选择题 凝结水处理系统中,()可用作混床的前置设备,也可用作混床的后置设备,还可以取代混床作为主除盐设备。
A.电磁过滤器
B.粉末活性炭覆盖过滤器
C.管式微孔过滤器
D.粉末树脂覆盖过滤器
135、单项选择题 在食盐再生系统中,一般通过()来控制再生液浓度。
A.调节吸液阀开度
B.调节喷射器压力水流量
C.调节浓盐水浓度
D.调节喷射器压力水压力
136、单项选择题 新阳离子交换树脂在使用前一般用盐酸溶液预处理,目的是除去新树脂中的()。
A.重金属离子
B.低聚物
C.硅
D.油脂
137、多项选择题 在泵检修完工后,其施工现场的验收标准为()。
A.现场清洁无油污
B.零附件齐全好用
C.连接螺丝齐全、满扣、整齐、坚固
D.旧配件现场摆放整齐
138、多项选择题 离子交换床产生偏流的原因为()等。
A.树脂层过高
B.树脂污堵
C.排水装置损坏
D.树脂粒径大
139、单项选择题 原油在蒸馏前需要进行的预处理是指()。
A、脱硫
B、脱盐脱水
C、脱脂
D、加热
140、单项选择题 两台离心泵的流量、扬程分别用Q1、H1和Q2、H2表示,当它们串联工作时,则流量满足Q总=Q1=Q2,扬程应满足()。
A、H总=H1-H2
B、H总=H2-H1
C、H总=H1=H2
D、H总=H1+H2
141、单项选择题 泵检修通知单内容中不包括()。
A.检修的详细项目
B.检修完成时间
C.泵出现故障项目
D.更换配件清单
142、判断题 静态前馈不仅考虑扰动补偿最终能使被控变量稳定的设定值,而且考虑补偿过程中偏差的大小和变化。()
143、多项选择题 可以在户外使用的电气设备防护等级是()。
A、IP20
B、IP67
C、IP41
D、IP56
144、多项选择题 化工设备装配图中,螺栓连接可简化画图,其中所用的符号可以是()。
A、细实线+
B、细实线
C、粗实线+
D、粗实线
145、判断题 空间两直线互相平行,则其轴测投影可能互相平行。()
146、单项选择题 除碳风机的入口通道被堵塞,风机的出力将()。
A.降低
B.升高
C.不变
D.不能确定
147、单项选择题 关于勤劳节俭的论述中,正确的选项是()。
A、勤劳一定能使人致富
B、勤劳节俭有利于企业持续发展
C、新时代需要创造,不需要节俭
D、新时代需要巧干,不需要勤劳
148、单项选择题 提高生产效率,促进企业发展的重中之重是()。
A、文明礼貌
B、团结互助
C、自学成才
D、勤劳品质
149、单项选择题 污染强碱性阴离子交换树脂的铁盐,主要来源于()。
A.进水
B.反洗水
C.再生液
D.交换器腐蚀产物
150、问答题 计算题:某水泵的吸入管为,出水管为,已知吸水管中水的流速为1.5m/s,求出水管中水流速度。
151、单项选择题 重合在视图内的剖面图称为()剖面图。
A、移出
B、重合
C、局部放大
D、局部
152、单项选择题 确立正确的人生观是加强职业道德修养的()。
A、主 要途径
B、前提
C、基础
D、目的
153、单项选择题 混合床使用未预处理的新树脂,分层较困难,其原因为()。
A.新阳、阴树脂的密度差小
B.新树脂内部有未聚合的有机物
C.新树脂的失效程度低
D.新树脂结块
154、单项选择题 在商业活动中,()不符合待人热情要求。
A、严肃待客,表情冷漠
B、主动服务,细致周到
C、微笑大方,不厌其烦
D、亲切友好,宾至如归
155、单项选择题 强碱性阴树脂被有机物污染的程度,一般根据浸泡树脂食盐溶液的()来判断。
A.pH值
B.电导率
C.色泽
D.化学耗氧量
156、单项选择题 高压锅炉的过热器中,盐类沉积物主要是()。
A.NaSiO3
B.NaSO4
C.NaOH
D.Na3PO4
157、单项选择题 Ⅱ型强碱性阴树脂比Ⅰ型强碱性阴树脂()。
A、碱性强、交换容量大
B、碱性强、交换容量小
C、碱性弱、交换容量大
D、碱性弱、交换容量小
158、多项选择题 下列投影图中,()属于正投影图。
A.透视图
B.斜轴测图
C.正轴测图
D.三视图
159、单项选择题 有机物中,仅由()组成的这类物质总称为烃。
A、碳元素和氢元素
B、碳元素和氧元素
C、碳元素和氮元素
D、氧元素和氢元素
160、多项选择题 凝结水除盐混合床的再生操作时,使阳阴树脂完全分离的方法有()。
A.增加反洗流速
B.分离法
C.增加惰性树脂层,变为三层床
D.改造分离塔
161、多项选择题 新锅炉启动初期系统中杂质含量过多,引起蒸汽SiO2超标准,需要采取的措施是()。
A、开大连排
B、定排一次
C、改善给水水质
D、改变锅炉运行工况
162、判断题 混合床再生后,混合后的树脂层要用除盐水以30m/h的流速进行正洗,直至出水电导率和硅酸含量合格。()
163、判断题 一般情况下,快滤池反冲洗排水浊度在100mg/L以下时,即可停止冲洗。()
164、单项选择题 安全部门每月对安全活动记录本进行()次检查、考核并签字。
A、4
B、1
C、2
D、3
165、单项选择题 锅炉水含盐量过高,会引起蒸汽含钠量()。
A.降低
B.升高
C.不变化
D.不确定
166、单项选择题 凝结水除盐处理通常使用()。
A.H-OH型混合床
B.电磁过滤器
C.NH3-OH型混合床
D.树脂粉覆盖
167、判断题 当原水碱度较高,化学除盐宜采用强酸阳离子一除碳一弱碱阴离子一强碱阴离子系统处理。()
168、多项选择题 阳树脂氧化后()。
A、颜色变淡;
B、含水量减少;
C、体积减小;
D、易碎、体积交换容量降低。
169、单项选择题 市场经济条件下,()的观念不符合爱岗敬业的要求。
A、树立职业理想
B、多转行多受锻炼
C、干一行爱一行
D、强化职业责任
170、单项选择题 反渗透装置运行中,脱盐率比标准化后的运行参数下降()时,需要进行化学清洗。
A.1%
B.2%
C.5%
D.l0%
171、多项选择题 与随机误差比较,系统误差的特点为()。
A、系统误差具有规律性、确定性
B、系统误差具有随机性
C、产生系统误差的因素在测量之前就已存在
D、系统误差具有抵偿性
172、单项选择题 既是道德修养的一种方法,又是一种崇高的境界的是()。
A、“慎独”
B、“事无不可对人言”
C、“吾日三省吾身”
D、不做任何坏事
173、多项选择题 流体在流动时所具有的机械能的形式有()。
A、位能
B、动能
C、内能
D、压能
174、单项选择题 用除盐水为补给水的锅炉,其排污率比较合理的数值是()。
A、1%
B、5%
C、10%
D、20%
175、问答题 弱性树脂有什么特性?
176、单项选择题 ISO9000族标准中,内部质量体系审核的主要目的是确定()的符合性、有效性。
A、产品和服务质量
B、质量管理体系
C、产品要求
D、顾客要求
177、判断题 特殊条件下的测量结果是没有误差的。()
178、单项选择题 在钠离子交换软化处理中,其出水主要控制()的含量。
A、Ca2+、Na+
B、Mg2+、Na+
C、Ca2+、H+
D、Ca2+、Mg2+
179、多项选择题 下列比值控制系统中,比值不变的为()。
A、开环比值控制系统
B、单闭环比值控制系统
C、双闭环比值控制系统
D、串级比值控制系统
180、判断题 树脂表面存在油膜,易造成反洗时流失树脂。()
181、单项选择题 电渗析器每个淡水室实际的脱盐量与理论脱盐量的比值,称为()。
A.电流效率
B.电能效率
C.耗电率
D.水回收率
182、多项选择题 若离子交换树脂受到污染,则其会发生()变化。
A.树脂颜色变深
B.出水水质下降
C.树脂结构遭到破坏
D.换容量降低
183、单项选择题 重力式无阀滤池运行期终水头损失的允许值,一般采用()m。
A、0.5-1
B、1-1.5
C、1.5-2
D、2-2.5
184、单项选择题 属于班组经济核算主要项目的是()。
A、设备完好率
B、安全生产
C、能耗
D、环保中的三废处理
185、多项选择题 气动活塞式执行机构振荡的原因为()。
A、执行机构输出力不够
B、气缸压力不足
C、气源压力不够
D、放大器节流孔堵塞
186、问答题 计算题:某台离子交换器的直径为3.2m,内装树脂层的高度为2.4m,已知该树脂的湿真密度为1.15×103kg/m3,湿视密度为0.75×103kg/m3,求该交换器内装树脂量。
187、单项选择题 与滚动轴承比较,动压轴承具有()的特点。
A、抗振性好
B、成本低
C、适应速度范围大
D、维修方便
188、单项选择题 回收率是反渗透系统设计与运行的重要参数,回收率增加,反渗透的浓水含盐量()。
A.增加;
B.减少;
C.不变化;
D.不稳定。
189、单项选择题 为了清除过热器中的易溶盐沉积物,一般采用的方法是()。
A.酸洗
B.碱洗
C.蒸汽吹扫
D.水冲洗
190、判断题 电渗析通常情况下,极化沉淀大多在淡水室内阴膜面上结垢,通过倒换电极起到减少结垢作用。()
191、单项选择题 若再生剂中含有较大量杂质离子,将会造成()。
A.树脂的再生程度下降
B.再生后出水水质提高
C.树脂全交换容量下降
D.再生水平下降
192、名词解释 Rg
193、判断题 锅炉汽包的内径对蒸汽的水滴携带没有影响。()
194、判断题 当锅炉负荷骤然下降时,锅炉的蒸汽带水量会减小。()
195、多项选择题 下列各种因素中,()会造成阳离子交换器再生不合格。
A.再生剂质量差
B.再生液加温不够
C.再生液分配装置损坏
D.逆流再生中树脂乱层
196、问答题 澄清器悬浮泥渣层的作用有哪些?
197、单项选择题 工业生产中,应用最广泛的安全阀是()。
A.重锤式安全阀
B.杠杆重锤式安全阀
C.弹簧式安全阀
D.脉冲式安全阀
198、单项选择题 市场经济条件下,不违反职业道德规范中关于诚实守信要求的是()。
A、通过诚实合法劳动,实现利益最大化
B、打进对手内部,增强竞争优势
C、根据服务对象来决定是否遵守承诺
D、凡是有利于增大企业利益的行为就做
199、多项选择题 在快滤池工作时,出现()的现象,说明其滤料层的阻力明显增加。
A.出水浊度过高
B.冲洗强度不足
C.冲洗时间不足
D.工作周期延长
200、单项选择题 机械搅拌澄清池中设有导流板的目的是缓和搅拌器提升水流时产生的()现象。
A.旋流;
B.不均匀;
C.流速过高;
D.流速过低。