时间:2018-11-09 00:13:30


1、单项选择题 吊车梁不直线度允许偏差在()范围以内。
A、-5㎜
B、3㎜
C、6㎜
D、10㎜
2、单项选择题 “吊钩下降”的通用手势信号是:右手臂伸向侧前下方,与身体夹角约为()五指自然伸开,以腕部为轴摆动。
A、30°
B、40°
C、50°
3、单项选择题 桅杆式起重机的各个机构在启动或制动时所产生的力是()。
A、重力
B、惯性力
C、外力
D、内力
4、单项选择题 走线滑车设置时其承重索绕度应为跨度的()为宜。
A.1/20~1/15
B.1/30~1/25
C.1/40~1/30
D.1/10~1/8
5、单项选择题 如果与钢丝绳配用的滑轮直径()钢丝绳容易损坏。
A、过大
B、过小
C、没有要求
6、单项选择题 对缆索起重机当起重小车承重后行近支柱时,会产生()现象。
A、滑动
B、爬坡
C、抖动
7、单项选择题 相同直径的钢丝,每股绳内钢丝数越多,钢丝直径越细则钢丝绳子的挠性就()。
A、越好
B、越差
C、不受影响
8、单项选择题 轮轴工作时受到扭转力,要保证扭转情况下正常工作,应校验()。
A.强度条件及稳定性条件
B.弯曲变形及扭转变形条件
C.强度条件及刚度条件
D.剪切弯形及扭转变形条件
9、单项选择题 安全带应定期进行静负荷试验,试验荷重()㎏。
A、180
B、200
C、225
D、240C
10、单项选择题 建筑物和工程构筑物是按比例缩小绘制在图纸上的,对于有些建筑细部以及所有建筑材料和构件的形状等,往往不能如实画出,则画上()的图例和代号。
A.设计规定
B.习惯
C.统一规定
D.按实物形状
11、单项选择题 为避免牵引索承受过大的力,起重小车与支柱之间要有一定距离,一般为施工工范围总长度的()倍。
A、0.1
B、0.2
C、0.3
12、单项选择题 考虑到起升机构起动或制动时产生的速度变化,将使设备和吊具产生惯性力,所以在计算载荷时要考虑()。
A.稳定系数
B.机械效益系数
C.动载系数
D.不均衡系数
13、单项选择题 起重机在沟边或坡边作业时,应与坑坡边沿保持必要的安全距离,一般要求为坑深的()倍。
A.0.5~0.7
B.0.8~1
C.1.1~1.2
D.1.3~1.4
14、单项选择题 牵引绳进入滑轮偏角不能超过()。
A.4°
B.5°
C.6°
D.8°
15、单项选择题 钢丝绳的钢丝破断拉力在公称抗拉强度为1700Mpa时,其近似估算方法为()。
A、Sb=428d2
B、Sb=474d2
C、Sb=520d2
D、Sb=566d2
16、单项选择题 在吊装薄壁重物时,应对它进行()处理。
A.捆绑
B.加固
C.重心计算
D.吊点设计
17、单项选择题 自行式起重机,起重特性曲线包括起重量一幅度变化曲线和()变化曲线等。
A.幅度一高度
B.起重量一高度
C.起重量一臂长
D.幅度一臂长
18、单项选择题 电动卷扬机检查制动闸与制动轮的接触面积应不少于()。
A、50%
B、60%
C、70%
D、80%
19、单项选择题 高空作业指离地面的高度为()。
A.3m以上
B.1m以上
C.2m以上
D.10m以上
20、单项选择题 简支梁受力点使主应力最大的截面位置是()。
A.梁的左端部
B.梁的1/4处
C.梁的中点
D.梁的右端部
21、单项选择题 吊机()在吊重时伸缩臂。
A.不允许
B.特殊情况下可以
C.大多数情况下可以
D.可以
22、单项选择题 钢丝绳在直径相同时,粗钢丝捻制的绳比细钢丝捻制的绳()。
A、耐压
B、耐拉
C、耐磨损
D、耐弯曲
23、单项选择题 滚杠在运输中,每两根滚杠中心距离,应保持在()mm。
A.100~200
B.200~300
C.300~500
D.400~500
24、单项选择题 质量的“三检”制度是指()。
A.质量检查、数量检查、规格检查
B.自检、互检、专项检
C.自检、互检、专检
D.自检、互检、交接检
25、单项选择题 钢丝绳用作载人的提升机构时,其安全系数K值取()。
A、3.5
B、5.5
C、8.0
D、14
26、单项选择题 气压试验检查泄漏,应用()。
A、肥皂水
B、蒸馏水
C、正常水
27、单项选择题 管式桅杆顶部夹角一般为()。
A.15°~20°
B.25°~30°
C.30°~45°
D.45°~60°
28、单项选择题 长细比小,说明稳定性()。
A、大
B、好
C、差
D、强
29、单项选择题 平衡梁一般采用钢管、工字钢或钢板制作。在制作过程中要计算平衡受力时的强度,钢板制作的平衡梁应计算()。
A.主拉应力
B.侧向失稳
C.剪力
D.弯矩
30、单项选择题 用起重机竖立桅杆时,吊点一般选在桅杆的()以内。
A、重心
B、2/3高度
C、顶端
D、任意
31、单项选择题 材料的许用应力是()确定的。
A、由经过计算;
B、由使用者试验;
C、经科学实验研究;
D、由生产厂家提供;
32、单项选择题 缆风绳跨越公路时,架空高度不得低于()。
A、3m
B、5m
C、6m
D、10m
33、单项选择题 吊运熔化或赤热金属、酸溶液、爆炸物、易燃物及有毒品的钢丝绳,其报废的数量应减少()。
A、50%
B、40%
C、30%
34、单项选择题 施工现场照明的安全电压为()。
A.200V
B.110V
C.12~36V
D.60~100V
35、单项选择题 地面灰尘和纸张吹起,小树枝摇动,表示的风是()。
A、无风
B、轻风
C、微风
D、和风
36、单项选择题 起重滑轮组中的钢丝绳一般采用型号为()。
A、6×19+1
B、6×37+1
C、6×61+1
37、单项选择题 作用力与反作用力是作用在()相互作用的物体上。
A、同一个
B、两个
C、三个
38、单项选择题 钢丝绳吊索两端插接连接索眼之间最小净长度不应小于该吊索钢丝绳直径的()。
A、20倍
B、40倍
C、30倍
39、单项选择题 桅杆起重机吊装大型设备时用多卷扬机作业其设置一般()。
A.按桅杆的两侧设置
B.设备前面设置
C.分散设置
D.集中在一侧设置
40、单项选择题 6m长、50kN以内吊车梁的校正法采用()。
A、线坠
B、靠尺
C、经纬仪放线法
D、拉钢线
41、单项选择题 起重机在作业时必须远离高压线,一般35kV以下的高压线与起重机的最小垂直距离为()。
A.3m
B.4m
C.5m
D.6m
42、单项选择题 缆索起重机的承载索下挠度一般为跨度的()。
A、1/30
B、1/20
C、1/15
D、1/15~1/20
43、单项选择题 管式桅杆的约束方式可视作()铰支。
A、一端
B、两端
C、中间
D、底部
44、单项选择题 用于安装精度和加工精度都较高的部件的清洗的方法是()。
A、粗洗
B、细洗
C、精洗
45、单项选择题 吊装时用平衡梁的目的是()。
A.吊装方便
B.便于捆绑
C.受力均匀
D.承受纵向水平分力
46、单项选择题 钢丝绳做绑扎绳时的安全系数为()。
A.3倍
B.4倍
C.5倍
D.7-8倍
47、单项选择题 按施工图的要求,以正投影的原理,把零件划在放样台上的方法是()。
A、下料
B、放样
C、划线
48、单项选择题 有些机床由于结构上的原因,没有起吊设施,起吊时应依照()挂绳。
A、说明书的吊挂图
B、实物
C、其它机床
49、单项选择题 “吊钩微微上升”通用手势信号是:小臂伸向侧前上方,手心朝上高于肩部,以腕部为轴,重复()手掌。
A、摆动
B、转动
C、晃动
50、单项选择题 桥式吊车安装时可采用桅杆吊装、双桅杆吊装、单机吊装、双机台吊及()进行吊装。
A.放走线滑车
B.滑移法
C.利用厂房结构
D.顶升法
51、单项选择题 用多台同规格千斤顶同时作业,每台千斤顶的额定起重量不得小于其计算载荷的()。
A、0.8倍
B、1.2倍
C、1.5倍
52、单项选择题 当设备达到最大负荷和最高转速时,各部位的温度应适当()其最高上限值。
A、低于
B、高于
C、等于
53、单项选择题 在放样台上划出零件的现状的方法是()。
A、下料
B、放样
C、划线
54、单项选择题&n 91ExaM.orgbsp; 桅杆在使用时,严禁在()级以上的风速下进行吊装。
A、4
B、5
C、6
D、7
55、单项选择题 为使钢丝绳在卷扬机卷筒上能顺利排列,卷扬机前第一个导向滑轮与卷筒轴线间距应大于卷筒长度的()。
A、5倍
B、10倍
C、15倍
D、20倍
56、单项选择题 利用样板直接在板料上划出零件形状的加工界限的方法是()。
A、下料
B、放样
C、划线
57、单项选择题 采用多门滑车组时,钢丝绳的穿绕方法,对起吊的()有很大影响。
A、安全和就位;
B、受力和吊装;
C、速度和质量;
D、阻力和平稳
58、单项选择题 计算电动卷扬机牵引力的公式是()。
A.P=(Q+q)K
B.S=1020N/n·η
C.S=P/K
D.Q=P·2πL/t·η
59、单项选择题 “牛顿”(N)与“千克力”(kgf)的换算关系是()。
A.1kgf=9.8N≈ION
B.1tf=9.8N
C.1tf=9.8×103N
D.1kgf=0.098N
60、单项选择题 平衡梁的计算主要指对梁的()进行校核。
A、刚度
B、长细比
C、强度
D、柔度
61、单项选择题 在锯削工件时,一次往复的距离不小于锯条全长的()。
A、1/2
B、3/5
C、3/4
D、2/3
62、单项选择题 PDCA循环法分为一个过程、四个阶段和()。
A.5个步骤
B.6个步骤
C.7个步骤
D.8个步骤
63、单项选择题 起重索用来()吊重物。
A、移动
B、升降
C、固定
64、单项选择题 全面质量管理循环法中PDCA的D是指()。
A.计划
B.实施
C.检查
D.处理
65、单项选择题 代号为H5×4D型的滑轮表示此型号的额定起重量为()。
A、40kN
B、50kN
C、90kN
D、200kN
66、单项选择题 链环之间以及链环与端部配件连接接触部位磨损减少到原公称直径的()时应报废。
A、60%
B、80%
C、85%
D、90%
67、单项选择题 为确保杆体安全,在构件横截面上的最大应力必须小于()。
A.构件材料强度
B.构件材料屈服点
C.构件材料的许用应力
D.材料的剪切力
68、单项选择题 起重施工方案图的内容包括起重吊装区域的平面布置图、起重吊装立面图和()图。
A.设备堆放
B.重要节点
C.运输道路
D.临时设施
69、单项选择题 小型设备的吊装起重量在()kN以下。
A、200
B、150
C、100
D、50
70、单项选择题 系缆式桅杆的工作范围大,且机动灵活,能回转()。
A、180°
B、210°
C、270°
D、360°
71、单项选择题 音响信号共有()种。
A、3
B、4
C、5
72、单项选择题 一根6×37+1--¢32、5㎜的钢丝绳在使用绳卡固定时,绳上数为()个。
A、3
B、4
C、6
73、单项选择题 在钢丝绳许用拉力计算公式P许=Sb/K中,K表示()。
A、夹角的函数值
B、风力系数
C、安全系数
74、单项选择题 吊装前基础中间交接验收时,土建应交付安装的资料有()。
A.基础实测中心、标高及几何尺寸,基础竣工记录
B.施工图纸、基础几何尺寸实测记录
C.自检记录、混凝土强度等级明细
D.混凝土强度试验数据及尺寸记录
75、问答题 试述电动卷扬机载荷运转试验的步骤及要求。
76、单项选择题 由一个定滑轮和一个动滑轮组成的滑轮组吊装一个物体由定滑车引出端的拉力为重物的()。
A.1/2
B.1/4
C.2/3
D.相等
77、单项选择题 用钢排子运输设备时钢管滚杠与道木的摩擦系数是()。
A.0.005
B.0.07
C.0.1
D.0.5
78、单项选择题 高空平台作业的围护栏杆高度()。
A.不低于1
B.不低于1.2m
C.不低于1.5m
D.不低于1.6m
79、单项选择题 缆索起重机的起重小车在接近两端支柱时,行走速度()过快。
A、可以
B、不得
C、变
80、单项选择题 用拖车拖运物件时,物件的重心应放在拖板()位置。
A、中心
B、前方
C、后方
81、单项选择题 “起重机后退”的专用手势信号是:双手臂向上曲起,五指并拢,手心朝向(),做前后运动。
A、自己
B、起机
C、地面
82、单项选择题 缆索起重机在起重能力为()以下,可供少层住宅建筑采用。
A、40kN
B、50kN
C、60kN
D、70kN
83、单项选择题 使用两台流动式起重机同时起吊同一重物时,其重物的重量不得超过两车所允许的起重量总和的()%。
A、75
B、80
C、100
84、单项选择题 风速的单位是()。
A、㎜
B、Pa
C、min
D、m/s
85、问答题 简述触电急救的步骤及方法。
86、单项选择题 汽车起重机在不用支腿时,其稳定性系数K2要取()。
A、≥1.1
B、≥1.2
C、≥1.3
D、≥1.5
87、单项选择题 跨步式液压提升装置是利用()原理,通过提升装置和塔底的回转铰链使塔类设备旋转竖立的起重工艺,它与无锚点安装工艺一样,是近年来使用的新工艺。
A.摩擦
B.机械转动
C.杠杆
D.液压传动
88、单项选择题 将部件、组件、零件连接在一起组合成整台机器的操作过程称为()。
A.总装配
B.组件装配
C.部件装配
D.整体装配
89、单项选择题 无垫铁安装法的设备底座与基础之间没有垫铁,设备重量完全由()承担,并传给基础。
A.调节螺钉
B.临时垫铁
C.临时支架
D.来源:www.91exam.org二次灌浆层
90、问答题 计算题:有一直径为28mm,6×37+1钢丝绳,钢丝绳的抗拉强度σ=1700MPa,用经验公式求钢丝绳破断拉力Sb是多少?
91、单项选择题 力偶的三要素是力的()。
A.大小、方向、作用点
B.力偶矩、作用点、平面移动
C.大小、转向、作用面方位
D.力偶相等、作用力、平面汇交
92、单项选择题 独脚桅杆()弯矩最大。
A、底部
B、顶部
C、中间
D、两端
93、单项选择题 吊钩螺纹在吊装载荷作用下,螺纹接触面上产生()应力。
A、挤压
B、许用
C、极限
D、弯曲
94、单项选择题 指挥人员()载荷的重量计算和索具吊具的正确选择。
A、应负责
B、不负责
C、两者皆可
95、单项选择题 滑车使用中,轮轴的倾斜对滑车效率的影响()。
A.提高
B.降低
C.基本不变
D.没有
96、单项选择题 工作性质属中级类型的动载系数K值为()。
A、1.1
B、1.2
C、1.3
D、1.5
97、单项选择题 滑轮组的轴与轮饼间用青铜套时阻力系数为()。
A.1.03
B.1.04
C.1.06
D.1.10
98、单项选择题 在起吊作业中,一般都采用麻芯钢丝绳,这时因为它()。
A、柔软易弯曲及抗冲击
B、重量轻
C、不容易松散
99、单项选择题 在任意一个已知系上加上或者减去任意的平衡力系()改变原力系对刚体的作用效应。
A、不会
B、会
C、不一定
100、单项选择题 采用桁架吊装水冷壁,桁架的作用是增加了水冷壁()。
A、重量
B、应力
C、抗弯模量
101、单项选择题 一般塔类设备的垂直度允许偏差为1/1000,但塔顶外倾的最大偏差不得超过()㎜。
A、10
B、15
C、20
D、30
102、单项选择题 “微微转臂”的旗语信号是:红旗拢起,横在腹前,指向应转臂的方向,绿旗拢起,竖直在红旗前,互相()。
A、垂直
B、倾斜
C、平行
103、单项选择题 大型设备的吊装起重量在()t以上。
A、20
B、30
C、40
D、50
104、单项选择题 一个网络图中()的说法是正确的。
A.只有一条关键线路
B.至少有一条关键线路
C.一定有多条关键线路
D.可能没有关键线路
105、单项选择题 缆索起重机承载索产生的弯曲应力应比拉应力()。
A、大
B、小
C、相同
D、无法确定
106、单项选择题 履带起重机在吊物行驶时,被吊物离地面不得超过()㎜。
A、200
B、400
C、500
D、600
107、单项选择题 起重机吊具的最高工作位置与起重机水准地面之间的垂直距离称为起升()。
A、起升范围
B、起升高度
C、限度
108、单项选择题 起吊庞大物件时,一定要在吊物上系结溜绳,以防止吊物在空间发生()。
A、倾斜
B、翻转
C、旋转
109、单项选择题 扳吊塔设备时,塔设备的中心线、桅杆中心线、基础中心线和主板及制动滑车组的合力作用线都应处在()。
A.同一直线上
B.均应与地面垂直
C.垂直于地面的同一平面内
D.相互平行
110、单项选择题 安装中小型设备群宜采用()吊装方法。
A、双桅杆抬吊法
B、龙门桅杆吊装
C、双人字桅杆抬吊法
D、双桅杆递夺法
111、单项选择题 起重机在超负荷吊装时,要进行()验算。
来源:www.91exam.org
A、强度
B、刚度
C、屈服
D、稳定性
112、单项选择 题 起升机构、变幅机构的制动器应是()式的。
A、常闭
B、常开
C、综合
113、单项选择题 桅杆的工作类型多属于轻级,故动载系数K1值常取()。
A、1.0
B、1.1
C、1.3
D、1.5
114、单项选择题 钢丝绕捻不均匀引起的受载不均匀系数在钢丝绳为6×61+1时取()。
A、0.85
B、0.82
C、0.80
D、0.79
115、单项选择题 多机协吊设备时,各台起重机的最大载荷不宜超过其额定起重量的()。
A、20%
B、30%
C、80%
D、90%
116、单项选择题 绞磨推力的大小是根据()原理计算的。
A.力的合成
B.力的分解
C.杠杆
D.作用力与反作用力
117、单项选择题 起重机的额定起重量是指在()时允许吊装的重量。
A.主臂杆长度最短和工作半径最小
B.最大起重
C.臂杆最短
D.工作半径最大
118、单项选择题 旗语信号共有()种。
A、19
B、21
C、23
119、单项选择题 设备在运转中,应注意()的声音。
A、运转
B、杂音
C、静音
120、单项选择题 为保证物件安全工作,对每一种材料必须规定它所允许承受的最大应力,称为()。
A、许用应力
B、屈服应力
C、极限应力
121、单项选择题 拧紧地脚螺栓应在混凝土强度达到规定强度的()以后进行。
A、10%
B、30%
C、50%
D、75%
122、单项选择题 两物体间的作用力与反作用力,大小相等,方向相反,因此()将作用力与反作用力看成一个平衡力系。
A、不能
B、可以
C、一定
123、单项选择题 构件受弯时计算构件正应力的公式是()。
A.σ=M/W
B.& sigma;=M/F
C.σ=M/E
D.σ=M/I
124、单项选择题 同一纵轴线上的各梁中线在一条直线上叫()。
A、同轴度
B、直线度
C、跨度
D、水平度
125、单项选择题 卷扬机在使用时,卷筒上的钢丝绳不能全部放出,至少保留()圈。
A.半圈
B.1圈
C.1.5圈
D.3圈
126、单项选择题 滚运时用滚杠的数量、直径、间距由重物的()来决定。
A、尺寸
B、特殊要求
C、重量
127、单项选择题 起重机在吊装过程中,钢丝绳有时会发生抖索现象,这时因为()。
A、起重量过大
B、滑轮组中有的滑轮不转
C、起吊速度不均匀
128、单项选择题 在选择用钢丝绳的安全系数时,应按()的原则来选择。
A、重物的重量
B、安全性和经济性
C、安全性或经济性
D、钢丝绳的型号
129、单项选择题 在起重机构中,长细比一般小于()。
A、90
B、100
C、120
D、150
130、单项选择题 把毛坯按规定的轮廓处理成弯曲形状的方法是()。
A、矫正
B、弯曲
C、试压
131、单项选择题 粗加工面上的漆层的清洗可用()清除。
A、铲子
B、软金属
C、溶剂
132、单项选择题 桅杆单面受力,桅杆中心线与地面夹角不小于80°,缆风绳与地面夹角为30°~45°状况下,φ273×8高度为18m的管式桅杆吊重约为()。
A.7t
B.12t
C.15t
D.16t
133、单项选择题 一般载人升降机用的钢丝绳的安全系数取()。
A、3.5
B、5~6
C、8~10
D、14
134、单项选择题 使用绳卡时,一般绳卡的间距为钢丝绳直径的()倍左右。
A、2
B、8
C、20
135、单项选择题 卷扬机至桅杆底座处导向滑轮的距离应大于桅杆高度,如受场地限制时,其距离也不能小于()。
A、4m
B、8m
C、20m
D、25m
136、单项选择题 起重作业需()才会收到事半功倍的效果。
A、体力劳动
B、实践经验
C、科学分折方法
137、单项选择题 履带式起重机吊物行驶时,起吊重量应控制在不超过额定起重量的()倍为宜。
A、2/3
B、1.0
C、1.1
D、1.2
138、单项选择题 截断钢丝绳用()。
A、錾子
B、锤子
C、扁铲
139、单项选择题 起重作业是维系生产各个环节的()。
A、桥梁和纽带
B、最重要环节
C、基础
140、问答题
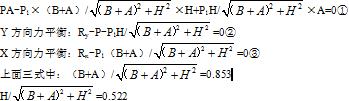
计算题:如下图所示:一独脚桅杆起重机,它的长度为36m,桅杆与地面夹角α为80°。试求:(1)桅杆的垂直高度H和水平距离A及缆风绳长度L;(2)缆风绳受力;(3)支座受力及桅杆承受的轴向压力。(sin80°=0.985;cos80°=0.174)

141、单项选择题 起重施工方案的编制原则是应使工程成本为最低,应使施工周期为最短和()。
A.技术可靠性
B.质量第一
C.安全有保障
D.节省材料、人工
142、单项选择题 由于过流、短路等原因引发电气火灾时,要迅速切断电源,然后组织灭火。电气灭火应该用()。
A.水
B.泡沫灭火器
C.湿棉被
D.二氧化碳、四氯化碳和干粉或黄沙
143、问答题 什么是塔式起重机的载重稳定性与自重稳定性?塔式起重机的安全装置有哪些?
144、单项选择题 去掉设备上的旧油、污泥、漆片和锈层,是()。
A、粗洗
B、细洗
C、精洗
145、单项选择题 在质量管理中要坚持“四不放过”原则,即质量事故原因找不出来不放过,当事人和群众没有受到教育不放过,()不放过,责任人未受到处罚不放过。
A.责任不清
B.损失不查清
C.领导责任不查清
D.没有防患措施或未落实
146、单项选择题 旧油和污泥的清洗一般用()等制的刮具刮掉。
A、铲子
B、软金属
C、溶剂
147、单项选择题 双机抬吊在起重机臂杆上加横梁,适用于设备基础低于(),作业面比较狭窄的情况下吊装较重设备。
A、2m
B、3m
C、4m
D、5m
148、单项选择题 指挥人员所佩戴的手套手心和()要易于辨别。
A、手背
B、手指
C、拇指
149、单项选择题 定滑车在起重作业中()省力作用。
A、有
B、没有
C、不一定
150、单项选择题 使用钢丝绳绳卡时,应将U形环部分卡在()一边。
A、主绳
B、绳头
C、主要受力绳
151、单项选择题 某实际尺寸减去它的标准尺寸的代数差称为()。
A.尺寸偏差
B.极限尺寸
C.实际尺寸
D.尺寸公差
152、单项选择题 液压千斤顶工作时,一般只允许在()方向使用。
A、水平
B、斜面
C、竖直
153、单项选择题 在同一斜坡上,运输同一设备,采用滑运法的牵引力P1,采用滚运法的牵引力为P2,两牵引力的关系是()。
A、P1=P2
B、P1>P2
C、P1
154、单项选择题 绞磨是利用()原理工作的。
A.杠杆
B.力平衡
C.力合成
D.力分解
155、单项选择题 10kV高压,人与带电体之间的安全距离为()。
A、≥500㎜
B、≥700㎜
C、≥800㎜
D、≥1000㎜
156、单项选择题 桥式起重机的静载荷试验负荷是额定载荷的()。
A.1.1倍
B.1.25倍
C.1.3倍
D.1.4倍
157、单项选择题 钢丝绳的主要缺点是:刚性()不易弯曲。
A、较大
B、较小
C、太差
158、单项选择题 钢丝绳吊索一般由整根绳索制成,中间()有接头。
A、不允许
B、可以
C、一定
159、单项选择题 安全带应定期进行静负荷试验,试验荷重225㎏,试验时间()min。
A、3
B、5
C、10
D、20
160、单项选择题 缆索起重机的斜缆索与地面的夹角应大于(),以减少行走返回时间。
A、20°
B、30°
C、40°
D、50°
161、单项选择题 两台起重机吊运同一重物时,各起重机所承受的载荷均不得超过各自起重量的()。
A、80%
B、90%
C、70%
162、单项选择题 在力学中,把具有大小和()的量称为矢量。
A、方向
B、单位
C、数量
163、单项选择题 起重施工方案受力计算中采用不均衡系数的目的是()。
A.增加安全可靠性
B.将不均衡受力变为均衡受力
C.抵消不可预见因素
D.化动载荷为静载荷
164、单项选择题 起重机在地面,吊装作业在高处作业的条件下,必须专门设置(),以确保司机清晰准确地看到和听到指挥信号。
A.信号传递人员
B.指挥人员
C.安装起重工
D.现场监理员
165、单项选择题 电动卷扬机空运转试验不少于()min。
A、10
B、15
C、20
D、25
166、单项选择题 如果起重量不变,当工作幅度越大时,起重力矩就()。
A、越小
B、越大
C、不变
167、单项选择题 地脚螺栓种类分()种。
A、一
B、两
C、三
D、四
168、单项选择题 物体重心越(),支撑面越大,物体所处的状态越稳定。
A、低
B、高
C、高低都行
169、单项选择题 起重机应尽量避免在倾斜的场地上吊起重物旋转,起重机停妥后,其支腿应垫实,允许斜度不得大于()。
A、20
B、30
C、40
D、50
170、单项选择题 计算缆索起重机的缆索弯曲应力时,缆索弯曲应力与拉应力之比应符合()。
A、σ弯/σ拉>1
B、σ弯/σ拉=1
C、σ弯/σ拉<1
D、以上均不对
171、单项选择题 梁的支承情况,常见的有简支梁、外伸梁和()三种形式。
A.直杆梁
B.承重梁
C.悬臂梁
D.起重梁
172、单项选择题 设备试运转的步骤正确的是()。
A、先联动,后单机
B、先单机,后主机
C、先附属部分,后主机部分
173、单项选择题 垫铁组的总高度一般在()㎜之间,过高会影响设备的稳定性,过低则不便于二次灌浆。
A、30~100
B、120
C、20
D、16
174、单项选择题 胀管是将管端插入管孔内,用胀管器使管端扩大,产生()。
A、刚性变形
B、柔性变形
C、永久变形
D、固定变形
175、单项选择题 两吊车梁跨间内任一截面的跨距最大允许偏差为()。
A、±5㎜
B、±8㎜
C、±10㎜
D、±15㎜
176、单项选择题 工程图样中,中断线采用()。
A、细实线
B、双点划线
C、虚线
D、点划线
177、单项选择题 两体间的作用力与反作用力是沿()作用线,分别作用在两个物体上。
A、同一条
B、不同
C、两条
178、单项选择题 双机抬吊时,吊钩上升较慢的起重机负荷()。
A、较轻
B、较重
C、不变
D、不能确定
179、单项选择题 双机抬吊时,吊钩上升较快的起重机负荷()。
A、较轻
B、不变
C、较重
D、不能确定
180、问答题 请简述设备起重作业的安全技术七个方面包括的内容。
181、单项选择题 设备安装平面图是把各种设备表达在建筑物内(外)的平面布置和()的施工图。
A.标高尺寸
B.设备尺寸
C.设备形状
D.安装具体位置
182、单项选择题 汽车式、轮胎式和履带起重机使用中,要注意被吊物的重量,在接近额定负荷工况时,与实际重量的出入不得大于()。
A.3%
B.5%
C.8%
D.10%
183、单项选择题 多机选择起重机应优先考虑()较为接近的机种组合。
A、幅度
B、宽度
C、起升速度
D、起升高度
184、单项选择题 树枝折毁,人向前行感觉阻力很大,表示的风是()。
A、疾风
B、轻风
C、狂风
D、大风
185、单项选择题 全树摇动,迎风步行感觉不便,表示的风是()。
A、疾风
B、轻风
C、微风
D、和风
186、单项选择题 在两个或两个以上力系的作用下,物体保持()或做匀速直线运动状态,这种情况叫做力的平衡。
A、静止
B、加速运动
C、减速运动
187、单项选择题 PDCA循环法是提高产品质量的一种科学管理方法,其中C表示()。
A、计划阶段
B、检查阶段
C、处理阶段
D、执行阶段
188、单项选择题 梁弯曲时,横截面上的正应力与到中性轴的距离成()。
A.反比
B.无关
C.正比
D.平方关系
189、问答题 吊装施工方案的主要内容由几部分组成?每部分主要内容各是什么?
190、单项选择题 汽车、轮胎式起重机稳定性包括()。
A.纵向稳定性、横向稳定性
B.静稳定性、动稳定性
C.变幅和旋转时的稳定性
D.行驶状态稳定性、作业状态载重稳定性及非 工作状态自动稳定性
191、单项选择题 材料矫正方法一般有()种。
A、两
B、三
C、四
192、单项选择题 钢丝绳穿过滑轮时,滑轮槽的直径过大,绳会被()。
A、压扁
B、磨损
C、破损
193、单项选择题 牵引索用来()吊重物。
A、来回移动
B、升降
C、固定
194、单项选择题 钢丝绳的钢丝破断拉力在公称抗拉强度为1850Mpa时,其近似估算方法为()。
A、Sb=428d2
B、Sb=474d2
C、Sb=520d2
D、Sb=566d2
195、单项选择题 起重作业指挥人员使用的通用手势信号“吊钩下降”的正确手势是()。
A.手臂伸向侧前下方,与身体夹角约为30°,五指自然伸开,以腕部为轴转动
B.小臂伸向侧前上方,手心朝上,高于肩部,以腕部为轴,重复向上摆动手掌
C.手臂伸向侧前下方,与身体夹角约为30°,五指自然伸开,以腕部为轴转动
D.手臂伸向侧前下方,与身体夹角约为30°,手心朝下,以腕部为轴,重复向下摆动手掌
196、单项选择题 布置缆风绳时,应尽量使受力缆风绳与缆风绳总数比例较大为好,一般为()。
A.20%
B.30%
C.40%
D.50%
197、单项选择题 对细长的梁,影响其强度的主要因素是()。
A、拉应力
B、压应力
C、剪应力
D、弯曲正应力
198、单项选择题 汽车起重机在放下支腿时,其稳定性系数K1要取()。
A、≥1.1
B、≥1.2
C、≥1.33
D、≥1.5
199、单项选择题 起重吊装中的不均衡系数K2一般取()。
A、0.8
B、1.0
C、1.2
D、1.5
200、单项选择题 攻螺纹时,对铸件要加()。
A、煤油
B、机油
C、汽油
D、洗油