时间:2018-11-06 03:22:25


1、单项选择题 建筑物和工程构筑物是按比例缩小绘制在图纸上的,对于有些建筑细部以及所有建筑材料和构件的形状等,往往不能如实画出,则画上()的图例和代号。
A.设计规定
B.习惯
C.统一规定
D.按实物形状
2、单项选择题 滑车使用中,轮轴的倾斜对滑车效率的影响()。
A.提高
B.降低
C.基本不变
D.没有
3、单项选择题 吊装前基础中间交接验收时,土建应交付安装的资料有()。
A.基础实测中心、标高及几何尺寸,基础竣工记录
B.施工图纸、基础几何尺寸实测记录
C.自检记录、混凝土强度等级明细
D.混凝土强度试验数据及尺寸记录
4、单项选择题 凡倾斜使用的桅杆(除系缆式桅杆外),其倾角最大不大于()。
A.15°
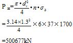
B.20°
C.30°
D.45°
5、单项选择题 电动单梁起重机起重量在()以内,可采用地锚。
A、40kN
B、50kN
C、60kN
D、70kN
6、单项选择题 工程图样中,引出线采用()。
A、粗实线
B、细实线
C、虚线
D、波浪线
7、问答题 计算题:有一跨度L=90m,起重能力р=30kN的钢索起重机,已知其行走机构及滑轮组的重量Q=5kN,试求当满负荷作业时,p和Q对钢丝绳产生的拉力是多少?设承索挠度f=1/15L。
8、单项选择题 如果起重力矩不变,工作幅度增加,起重量可()。
A、增加
B、减少
C、变化
9、单项选择题 龙门桅杆的门架可以以其底为回转中心向两边摆动一小角度,摆动的角度一般不大于()。
A、100
B、200
C、300
D、400
10、单项选择题 “起重机后退”的专用手势信号是:双手臂向上曲起,五指并拢,手心朝向(),做前后运动。
A、自己
B、起机
C、地面
11、单项选择题 设备试运转的步骤正确的是()。
A、先联动,后单机
B、先单机,后主机
C、先附属部分,后主机部分
12、单项选择题 作用在同一直线上各力的合力,其大小等于各力的()。
A、代数和
B、代数差
C、绝对值
13、单项选择题 采用滚杠运输设备,为了便于放入滚杠,设备的重心应放在托排中心的()位置。
A、稍前一点
B、稍后一点
C、正中
D、任意
14、单项选择题 白棕绳在使用中的极限工作载荷应比试验时的破断拉力()。
A、小
B、大
C、相等
15、单项选择题 牵引索用来()吊重物。
A、来回移动
B、升降
C、固定
16、单项选择题 电动卷扬牵引力的大小除与电动机功率和总效率有关外,还与()有关。
A.卷扬结构
B.起重量
C.钢丝绳速度
D.钢丝绳直径
17、单项选择题 力是物体间相互的机械作用,这种作用会使物体的机械运动状态发生变化,称为力的()。
A、外效应
B、内效应
C、间接
18、问答题 计算题:试求6×37钢丝绳,当直径d=28mm,钢丝直径di=1.3mm,抗拉强度σb=1700kN/mm2时的实际破坏拉力为多少?用此钢丝绳作为缆风绳、跑绳、吊索时其许用拉力为多少?
19、单项选择题 气压试验当达到规定试验压力的()以后,压力应以10%左右的试验压力,逐级增加至试验压力。
A、40%
B、50%
C、60%
20、单项选择题 “注意安全”标志在安全标志中属于()。
A、提示标志
B、指令标志
C、警告标志
21、单项选择题 &nb sp;利用厂房结构进行吊装需进行(),并征集设计或业主同意。
A.结构总体测量
B.构件尺寸测量
C.结构受力核算
D.车间人员同意
22、单项选择题 在力学中,把具有大小和()的量称为矢量。
A、方向
B、单位
C、数量
23、单项选择题 风速的单位是()。
A、㎜
B、Pa
C、min
D、m/s
24、单项选择题 绞磨是利用()原理工作的。
A.杠杆
B.力平衡
C.力合成
D.力分解
25、单项选择题 PDCA循环法是提高产品质量的一种科学管理方法,其中C表示()。
A、计划阶段
B、检查阶段
C、处理阶段
D、执行阶段
26、单项选择题 使用梯子登高时,梯子的靠放斜度不应小于()。
A、20°
B、30°
C、45°
27、单项选择题 履带式起重机吊物行驶时,起吊重量应控制在不超过额定起重量的()倍为宜。
A、2/3
B、1.0
C、1.1
D、1.2
28、单项选择题 经脱脂的设备、管路及其附件进行压力试验时,试验介质应()。
A、清洁无油
B、水
C、油
29、单项选择题 凡是作用线都在同一平面内的力系称为()。
A、空间力系
B、平面力系
C、一般力系
30、单项选择题 管式桅杆顶部夹角一般为()。
A.15°~20°
B.25°~30°
C.30°~45°
D.45°~60°
31、单项选择题 活动地锚的压重比拉力大()倍,比较合理。
A.4~5
B.3~4
C.2~3
D.2~2.5
32、单项选择题 起重作业现场环境对确定起重作业()和吊装作业安全有直接影响。
A、方案
B、顺序
C、方法
33、单项选择题 起重机在作业时必须远离高压线,一般35kV以下的高压线与起重机的最小垂直距离为()。
A.3m
B.4m
C.5m
D.6m
34、单项选择题 利用作图法求合力时,不仅要注意按统一比例绘制,同时还应注意线段的()。
A.方向
B.角度
C.位置
D.粗细
35、单项选择题 多机协吊设备时,各台起重机的最大载荷不宜超过其额定起重量的()。
A、20%
B、30%
C、80%
D、90%
36、填空题 当指挥人员不能同时看见起重机司机和负载时,应站在能看见()的一侧,并增设中间指挥人员传递信号。
37、单项选择题 安全带应定期进行静负荷试验,试验荷重()㎏。
A、180
B、200
C、225
D、240C
38、单项选择题 管式桅杆起重量一般小于()kN。
A、200
B、300
C、400
D、500
39、单项选择题 钢丝绕捻不均匀引起的受载不均匀系数在钢丝绳为6×19+1时取()。
A、0.85
B、0.82
C、0.80
D、0.79
40、单项选择题 现有一捆钢丝绳,绳圈直径平均为1.8米,共189圈,这捆钢丝绳的长度为()米。
A、378
B、567
C、1068
41、单项选择题 滚运时用滚杠的数量、直径、间距由重物的()来决定。
A、尺寸
B、特殊要求
C、重量
42、单项选择题 一般塔体就位后,要进行垂直度的检查,这种检查方法有两种,即铅垂线法和()法。
A.尺寸丈量
B.目测
C.经纬仪测量
D.垫铁找正
43、单项选择题 钢丝绳用作载人的提升机构时,其安全系数K值取()。
A、3.5
B、5.5
C、8.0
D、14
44、单项选择题 用一对6米吊索吊一物体,两吊点相距6米,吊索与吊钩垂线夹角()。
A、15°
B、30°
C、45°
45、单项选择题 多机选择起重机应优先考虑()较为接近的机种组合。
A、幅度
B、宽度
C、起升速度
D、起升高度
46、问答题 试述电动卷扬机载荷运转试验的步骤及要求。
47、单项选择题 由于设备绑扎不合理吊装过程中会出现()。
A.设备相对较稳定
B.倾倒翻转
C.扭转
D.标高不一
48、单项选择题 起重机在地面,吊装作业在高处作业的条件下,必须专门设置(),以确保司机清晰准确地看到和听到指挥信号。
A.信号传递人员
B.指挥人员
C.安装起重工
D.现场监理员
49、单项选择题 利用板牙在圆杆上切削出()。
A、内螺纹
B、外螺纹
C、网螺纹
D、细螺纹
50、单项选择题 梯子的底宽不得小于()CM。
A、30
B、40
C、50
51、单项选择题 地锚抗拔力由两部分组成,一部分是锚碇上部的埋土重量,一部分为作用于锚碇上的()。
A、土壤磨擦力
B、压力
C、重力
52、单项选择题 桅杆与起重机吊装都是通过提升钢丝绳与重物上的吊耳或千斤绳进行的,但吊装中不允许提升绳偏离铅垂线的是()。
A.起重机
B.桅杆
C.起重机及桅杆
D.被吊重物
53、单项选择题 试压一般在()下进行。
A、常温
B、低温
C、高温
54、单项选择题 吊机()在吊重时伸缩臂。
A.不允许
B.特殊情况下可以
C.大多数情况下可以
D.可以
55、单项选择题 简支梁受力点使主应力最大的截面位置是()。
A.梁的左端部
B.梁的1/4处
C.梁的中点
D.梁的右端部
56、单项选择题 缆索起重机的起重索装置形式有()种。
A、一
B、两
C、三
D、四
57、单项选择题 有些机床由于结构上的原因,没有起吊设施,起吊时应依照()挂绳。
A、说明书的吊挂图
B、实物
C、其它机床
58、填空题 对缆索起重机,重物的起升和水平移动,这两个动作()同时进行。
59、单项选择题 “微微转臂”的旗语信号是:红旗拢起,横在腹前,指向应转臂的方向,绿旗拢起,竖直在红旗前,互相()。
A、垂直
B、倾斜
C、平行
60、单项选择题 滑轮组的滑轮槽壁磨损量达到原厚度的()应更换。
A、5%
B、10%
C、15%
61、单项选择题 高空平台作业的围护栏杆高度()。
A.不低于1
B.不低于1.2m
C.不低于1.5m
D.不低于1.6m
62、单项选择题 钢丝绳做缆风绳用时,其安全系数K取()。
A、3.5
B、5.5
C、8
D、12
63、单项选择题 吊车的最大起重量,例如80t吊车是在()时的起重能力为80t。
A.吊车在侧面工作时
B.吊车在前面工作时
C.最短杆长最小允许工作半径
D.吊车在后面侧后方作业时
64、单项选择题 在质量管理中要坚持“四不放过”原则,即质量事故原因找不出来不放过,当事人和群众没有受到教育不放过,()不放过,责任人未受到处罚不放过。
A.责任不清
B.损失不查清
C.领导责任不查清
D.没有防患措施或未落实
65、单项选择题 施工方案中的安全技术措施和()措施组成方案中的安全措施。
A.安全防护
B.安全组织
C.安全检查
D.安全管理
66、单项选择题 指挥人员()载荷的重量计算和索具吊具的正确选择。
A、应负责
B、不负责
C、两者皆可
67、单项选择题 跨步式液压提升装置是利用()原理,通过提升装置和塔底的回转铰链使塔类设备旋转竖立的起重工艺,它与无锚点安装工艺一样,是近年来使用的新工艺。
A.摩擦
B.机械转动
C.杠杆
D.液压传动
68、问答题 计算题:某安装工地起吊一中型设备,需设置一套滑轮组,工作绳为6根,滑轮直径为350mm,行程为22000mm,定滑轮到卷扬机距15000mm,求所需钢丝绳长度?
69、单项选择题 钢丝绳直径磨损不超过(),允许降低拉力继续使用。
A、20%
B、30%
C、40%
D、50%
70、单项选择题 对起重量不明或新安装的缆索起重机,要经过超负荷()的动载运行方可使用。
A.5%
B.10%
C.15%
D.20%
71、单项选择题 起重机吊具的最高工作位置与起重机水准地面之间的垂直距离称为起升()。
A、起升范围
B、起升高度
C、限度
72、单项选择题 钢丝绳用编结法连接时,编结长度不小于()㎜。
A、300
B、400
C、500
73、问答题 什么是塔式起重机的载重稳定性与自重稳定性?塔式起重机的安全装置有哪些?
74、单项选择题 起重吊装中的不均衡系数K2一般取()。
A、0.8
B、1.0
C、1.2
D、1.5
75、单项选择题 阿魏酸的结构为()
A.4-羟基桂皮酸
B.3,4-二羟基桂皮酸
C.3-甲氧基-4-羟基桂皮酸
D.β-(3,4-二羟基苯基)与3,4-二羟基桂皮酸缩合
E.硝基菲羧酸
76、单项选择题 胀管是将管端插入管孔内,用胀管器使管端扩大,产生()。
A、刚性变形
B、柔性变形
C、永久变形
D、固定变形
77、单项选择题 抗弯截面模量常用单位是()。
A.cm4
B.cm2
C.cm3
D.cm
78、单项选择题 起重机在吊装过程中,钢丝绳有时会发生抖索现象,这时因为()。
A、起重量过大
B、滑轮组中有的滑轮不转
C、起吊速度不均匀
79、单项选择题 缆索起重机承载索产生的弯曲应力一般为拉应力的()倍。
A、0.8
B、1.2
C、1.3
D、1.5
80、单项选择题 轮轴工作时受到扭转力,要保证扭转情况下正常工作,应校验()。
A.强度条件及稳定性条件
B.弯曲变形及扭转变形条件
C.强度条件及刚度条件
D.剪切弯形及扭转变形条件
81、单项选择题 桅杆用的缆风绳与地面的夹角应不超过45°,因夹角太大会造成()。
A.拉力过大
B.钢丝绳直径加大
C.设置困难
D.桅杆轴向力加大
82、单项选择题 超载作业会破坏臂架起重机的()性。
A、稳定
B、牢固
C、安全
83、单项选择题 结构施工图中DL6-2Z表示()。
A.6m跨联系梁,荷载等级为2级,用于跨中
B.6m跨吊车梁,荷载等级为2级,用于伸缩缝跨中
C.6m跨吊车梁,荷载等级为2级,用于跨中
D.6m跨的柱距,荷载等级为2级,用于屋架
84、单项选择题 去掉设备上的旧油、污泥、漆片和锈层,是()。
A、粗洗
B、细洗
C、精洗
85、单项选择题 全树摇动,迎风步行感觉不便,表示的风是()。
A、疾风
B、轻风
C、微风
D、和风
86、单项选择题 在起重及运输作业中,可使用的材料,一般都是()材料。
A.刚性
B.塑性
C.脆性
D.韧性
87、单项选择题 柱轴线对行、列定位轴线的允许偏差Δ()㎜。
A、≤5.0
B、>5.0
C、>10.0
D、>15.0
88、单项选择题 在起重机构中,长细比一般小于()。
A、90
B、100
C、120
D、150
89、单项选择题&nbs p; 如果起重量不变,当工作幅度越大时,起重力矩就()。
A、越小
B、越大
C、不变
90、单项选择题 为避免牵引索承受过大的力,起重小车与支柱之间要有一定距离,一般为施工工范围总长度的()倍。
A、0.1
B、0.2
C、0.3
91、单项选择题 采用桁架吊装水冷壁,桁架的作用是增加了水冷壁()。
A、重量
B、应力
C、抗弯模量
92、单项选择题 计算电动卷扬机牵引力的公式是()。
A.P=(Q+q)K
B.S=1020N/n·η
C.S=P/K
D.Q=P·2πL/t·η
93、单项选择题 用热油清洗设备时,油温不得接近(),以防燃烧。
A、100℃
B、40℃
C、闪点
D、30℃
94、单项选择题 快速卷扬机在满载试验合格后,应再作超载提升试验()次。
A、1
B、2~3
C、4
D、5
95、单项选择题 大型设备的吊装起重量在()t以上。
A、20
B、30
C、40
D、50
96、单项选择题 在潮湿空气及有酸性气体侵蚀的环境中工作的起重机,应选用镀锌钢丝绳,并应将钢丝绳的抗拉强度()。
A、提高10%
B、降低5%
C、降低10%
D、保持不变
97、单项选择题 使用绳卡时,一般绳卡的间距为钢丝绳直径的()倍左右。
A、2
B、8
C、20
98、单项选择题 起重机在沟边或坡边作业时,应与坑坡边沿保持必要的安全距离,一般要求为坑深的()倍。
A.0.5~0.7
B.0.8~1
C.1.1~1.2
D.1.3~1.4
99、单项选择题 为确保杆体安全,在构件横截面上的最大应力必须小于()。
A.构件材料强度
B.构件材料屈服点
C.构件材料的许用应力
D.材料的剪切力
100、单项选择题 相同直径的钢丝,每股绳内钢丝数越多,钢丝直径越细则钢丝绳子的挠性就()。
A、越好
B、越差
C、不受影响
101、问答题 双机抬吊时移动式起重机如何选用?抬吊过程中应注意的关键问题是什么?
102、单项选择题 对缆索起重机当起重小车承重后行近支柱时,会产生()现象。
A、滑动
B、爬坡
C、抖动
103、单项选择题 在压杆的稳定性计算中,对中柔度杆(50~60<λ<100时)应进行()计算。
A.稳定性
B.强度
C.A和B
D.动载荷
104、单项选择题 吊钩螺纹在吊装载荷作用下,螺纹接触面上产生()应力。
A、挤压
B、许用
C、极限
D、弯曲
105、单项选择题 音响信号是一种辅助信号,一般配合手势信号或旗语信号使用。“微动”的音响组成是()。
A.断续短声
B.两长声
C.三短声
D.断续长声
106、单项选择题 汽车起重机严禁采用()物体吊装。
A.斜拉
B.垂直重量大的
C.体积大的
D.形状复杂的
107、单项选择题 力偶的三要素是力的()。
A.大小、方向、作用点
B.力偶矩、作用点、平面移动
C.大小、转向、作用面方位
D.力偶相等、作用力、平面汇交
108、单项选择题 关于三相交流电的说法正确的是()。
A、相位相差为2π/3的三个交流电
B、峰值相等、频率相同的三个交流电
C、峰值不等的三个交流电
D、峰值相等、频率相同、相位彼此相差为2π/3的三个交流电
109、单项选择题 钢丝绳的钢丝破断拉力在公称抗拉强度为1850Mpa时,其近似估算方法为()。
A、Sb=428d2
B、Sb=474d2
C、Sb=520d2
D、Sb=566d2
110、单项选择题 力是矢量,故力具备的必要条件是()。
A、大小
B、方向
C、大小和方向
D、大小和作用点
111、单项选择题 走线滑车设置时其承重索绕度应为跨度的()为宜。
A.1/20~1/15
B.1/30~1/25
C.1/40~1/30
D.1/10~1/8
112、单项选择题 双机抬吊时,吊钩上升较慢的起重机负荷()。
A、较轻
B、较重
C、不变
D、不能确定
113、单项选择题 缆索起重机的斜缆索与地面的夹角应大于(),以减少行走返回时间。
A、20°
B、30°
C、40°
D、50°
114、单项选择题 钢丝绳绳卡有三种形式,其中()卡头连接拉力最强,应用最广。
A、压板式
B、拳握式
C、骑马式
115、单项选择题 垫铁组的总高度一般在()㎜之间,过高会影响设备的稳定性,过低则不便于二次灌浆。
A、30~100
B、120
C、20
D、16
116、单项选择题 双机抬吊时,吊钩上升较快的起重机负荷()。
A、较轻
B、不变
C、较重
D、不能确定
117、单项选择题 物体(刚体)在两个力的作用下保持平衡的条件是:这两个力的大小相等,方向(),且作用在同一条直线上。
A、相同
B、相反
C、相交
118、单项选择题 缆索起重机在起重能力为()以上,可用来安装大型车间的结构物。
A、40kN
B、50kN
C、60kN
D、70kN
119、单项选择题 地脚螺栓种类分()种。
A、一
B、两
C、三
D、四
120、单项选择题 同一纵轴线上的各梁中线在一条直线上叫()。
A、同轴度
B、直线度
C、跨度
D、水平度
121、单项选择题 两物体间的作用力与反作用力,大小相等,方向相反,因此()将作用力与反作用力看成一个平衡力系。
A、不能
B、可以
C、一定
122、单项选择题 起重机在超负荷吊装时,要进行()验算。
A、强度
B、刚度
C、屈服
D、稳定性
123、单项选择题 顺绕钢丝绳使用中易打结松散,交绕钢丝绳()产生这种现象。
A、不易
B、也会
C、一定
124、单项选择题 “牛顿”(N)与“千克力”(kgf)的换算关系是()。
A.1kgf=9.8N≈ION
B.1tf=9.8N
C.1tf=9.8×103N
D.1kgf=0.098N
125、单项选择题 全面质量管理循环法中PDCA的D是指()。
A.计划
B.实施
C.检查
D.处理
126、单项选择题 间歇移动桅杆时,桅杆前后倾斜角度应控制在()以内。
A、150
B、300
C、450
D、600
127、单项选择题 设备在运转中,应注意()的声音。
A、运转
B、杂音
C、静音
128、单项选择题 钢丝绕捻不均匀引起的受载不均匀系数在钢丝绳为6×61+1时取()。
A、0.85
B、0.82
C、0.80
D、0.79
129、单项选择题 格构式桅杆采用型钢或钢管制成桁架,截面一般呈()形。
A、圆
B、椭圆
C、扁
D、方
130、单项选择题 把毛坯按规定的轮廓处理成弯曲形状的方法是()。
A、矫正
B、弯曲
C、试压
131、单项选择题 用于安装精度和加工精度都较高的部件的清洗的方法是()。
A、粗洗
B、细洗
C、精洗
132、单项选择题 在起重施工方案和技术措施中,()的确定是主要的。
A.吊装方法
B.所需机具
C.所需劳力
D.技术力量
133、单项选择题 安全带应定期进行静负荷试验,试验荷重225㎏,试验时间()min。
A、3
B、5
C、10
D、20
134、单项选择题 缆风绳跨越公路时,架空高度不得低于()。
A、3m
B、5m
C、6m
D、10m
135、单项选择题 独脚扒杆一般顶部绑扎固定()根缆风绳及滑车组。
A、4~6
B、3~5
C、6~9
136、单项选择题 一块长5米,宽3米,厚50毫米的钢板重量为()(钢板的比重为7.8吨/立方米)。
A、4.78吨
B、4.98吨
C、5.85吨
137、单项选择题 当两个分力的大小一定时,其合力的大小()。
A、一定
B、与分力的夹角有关
C、与两个分力的作用点有关;为两分力之代数和
138、单项选择题 桅杆在使用时,严禁在()级以上的风速下进行吊装。
A、4
B、5
C、6
D、7
139、单项选择题 使用钢丝绳绳卡时,应将U形环部分卡在()一边。
A、主绳
B、绳头
C、主要受力绳
140、单项选择题 电动单梁起重机在跨度小于(),可用工字梁作为主梁。
A、8m
B、10m
C、12m
D、14m
141、单项选择题 为提高起重机的安全性能,各种类型起重机根据其使用性能要求和使用场地条件都应当装设必要的()装置。
A、防风
B、安全保护
C、缓冲
142、单项选择题 起重机施工中发生吊车倾倒事故的原因,一般是()。
A.超负荷,吊车支腿不稳
B.幅度不当
C.伸杆过长
D.报警失灵
143、单项选择题 用扳倒法竖立桅杆时,待桅杆与地面夹角大于()时,即可利用桅杆上的缆风绳将桅杆竖直。
A、15°
B、30°
C、45°
D、60°
144、单项选择题 快速卷扬机在满载试验合格后,超载量为()。
A、5%
B、10%
C、15%
D、20%
145、单项选择题 管式桅杆的起重高度一般在()m以内。
A、20
B、25
C、30
D、35
146、单项选择题 起重作业指挥人员使用的旗语信号“臂杆抬起”的正确操作是()。
A.红旗下垂腹前上下微摆
B.红旗举起肩上左右微摆
C.绿旗下垂腹下大幅度摆动
D.绿旗举起胸前红旗横挡上方
147、单项选择题 起重施工方案的编制原则是应使工程成本为最低,应使施工周期为最短和()。
A.技术可靠性
B.质量第一
C.安全有保障
D.节省材料、人工
148、单项选择题 吊车梁垂直度的偏差,应在规范规定的()以内。
A、5㎜
B、10㎜
C、15㎜
D、20㎜
149、单项选择题 指挥人员所佩戴的手套手心和()要易于辨别。
A、手背
B、手指
C、拇指
150、单项选择题 各种吊装工具使用前应进行()计算。
A、安全
B、强度
C、高度
D、刚度
151、单项选择题&nb sp; 下面()为典型的二力杆件。
A.只能承受拉力
B.既承受拉、压力,又承受弯矩
C.只承受轴向力(拉、压)
D.只承受弯矩
152、单项选择题 一根6×37+1--¢21㎜的钢丝绳在使用绳卡固定时,每相临两绳卡的间距()mm。
A、200
B、150
C、130
153、单项选择题 任何起重施工方案编制程序都由三个阶段构成,即准备阶段、编写阶段和()。
A.实施阶段
B.打印装订阶段
C.审批阶段
D.检查阶段
154、单项选择题 独脚桅杆()弯矩最大。
A、底部
B、顶部
C、中间
D、两端
155、单项选择题 运输超重、超宽设备时,应()以及时检查设备垫点有无移动,捆绑有无松弛。
A.派人跟车监视
B.要司机注意
C.上下坡时注意
D.转弯曲检查
156、单项选择题 人字桅杆的稳定性计算不仅包括纵向稳定性计算,还包括()稳定性计算。
A、竖
B、横
C、水平
D、垂直
157、单项选择题 力作用在物体上所产生的效果,不但与力的大小和方向有关,而且与力的()有关。
A、作用点
B、作用方式
C、作用面
158、单项选择题 独立桅杆的竖立,采用辅助桅杆竖立主桅杆常用滑移法、旋转法和扳倒法三种,此三种方法比较,用()最安全。
A.滑移法
B.扳倒法
C.旋转法
D.都一样
159、单项选择题 二吊机抬吊一重物,抬吊力的变化与重物重心、吊点相对位置是()。
A.无关
B.有关
C.仅与重物重心有关
D.仅与用点相对位置
160、单项选择题 钢丝绳吊索一般由整根绳索制成,中间()有接头。
A、不允许
B、可以
C、一定
161、问答题 计算题:在坡度为20°的钢轨上滑运一设备,设备与钢轨间的摩擦系数为0.25,设备重0.2t,问需多大的牵引力才能使设备沿钢轨移动?
162、单项选择题 计算缆索起重机的缆索弯曲应力时,缆索弯曲应力与拉应力之比应符合()。
A、σ弯/σ拉>1
B、σ弯/σ拉=1
C、σ弯/σ拉<1
D、以上均不对
163、单项选择题 起重索用来()吊重物。
A、移动
B、升降
C、固定
164、问答题 吊装施工方案的主要内容由几部分组成?每部分主要内容各是什么?
165、单项选择题 当设备达到最大负荷和最高转速时,各部位的温度应适当()其最高上限值。
A、低于
B、高于
C、等于
166、单项选择题 质量的“三检”制度是指()。
A.质量检查、数量检查、规格检查
B.自检、互检、专项检
C.自检、互检、专检
D.自检、互检、交接检
167、单项选择题 用排子拖运重物,当重物在400~500kN时,一般选用合适的滚杠直径为()。
A.φ76×10
B.φ108×12
C.φ159×12
D.φ219×12
168、单项选择题 任何类型的起重机,只要它们的()符合特定吊装条件,都可以组合在一起共同进行吊装作业。
A、起重量
B、性能
C、幅度
D、速度
169、单项选择题 小型设备的吊装起重量在()kN以下。
A、200
B、150
C、100
D、50
170、单项选择题 旧油和污泥的清洗一般用()等制的刮具刮掉。
A、铲子
B、软金属
C、溶剂
171、单项选择题 用钢排子运输设备时钢管滚杠与道木的摩擦系数是()。
A.0.005
B.0.07
C.0.1
D.0.5
172、单项选择题 吊运熔化或赤热金属、酸溶液、爆炸物、易燃物及有毒品的钢丝绳,其报废的数量应减少()。
A、50%
B、40%
C、30%
173、单项选择题 机械制图的标准中,详图常用的比例为()。
A.1:50,1:100
B.1:150,1:200
C.1:500,1:1000
D.1:2,1:5
174、单项选择题 卷扬机开式齿轮的轮齿啮合面积沿齿宽应不少于()。
A、40%
B、50%
C、60%
D、70%
175、单项选择题 在钢丝绳许用拉力计算公式P许=Sb/K中,K表示()。
A、夹角的函数值
B、风力系数
C、安全系数
176、单项选择题 钢丝绳穿过滑轮时,滑轮槽的直径过大,绳会被()。
A、压扁
B、磨损
C、破损
177、单项选择题 对木桅杆使用时要检查木材是否开裂、腐烂、多节现象,严重时()使用。
A、不得
B、可以
C、降低标准
D、替代
178、单项选择题 两体间的作用力与反作用力是沿()作用线,分别作用在两个物体上。
A、同一条
B、不同
C、两条
179、单项选择题 起重机应尽量避免在倾斜的场地上吊起重物旋转,起重机停妥后,其支腿应垫实,允许斜度不得大于()。
A、20
B、30
C、40
D、50
180、单项选择题 在两个或两个以上力系的作用下,物体保持()或做匀速直线运动状态,这种情况叫做力的平衡。
A、静止
B、加速运动
C、减速运动
181、单项选择题 塔类设备安装,塔顶外倾的最大偏差不得超过()。
A、10㎜
B、15㎜
C、20㎜
D、25㎜
182、单项选择题 Q235A钢制成的管式桅杆,使用欧拉公式计算临界压力时,其长细比λ()。
A、≥100
B、≤50
C、≤80
D、≤100
183、单项选择题 地面灰尘和纸张吹起,小树枝摇动,表示的风是()。
A、无风
B、轻风
C、微风
D、和风
184、单项选择题 缆索起重机的承载索须经常涂(),以减少摩擦力,并延长绳索的使用寿命。
A、黄油
B、机油
C、植物油
D、沥青
185、单项选择题 设备安装平面图是把各种设备表达在建筑物内(外)的平面布置和()的施工图。
A.标高尺寸
B.设备尺寸
C.设备形状
D.安装具体位置
186、单项选择题 两吊车梁跨间的同一截面内,吊车梁顶面高差Δ为()。
A、≥10㎜
B、≤5㎜
C、≤10㎜
D、≤15㎜
187、单项选择题 钢丝绳直径磨损超过(),应报废处理。
A、20%
B、30%
C、40%
D、50%
188、单项选择题 绳索打“活结”主要用于白棕绳绑扎需要迅速()时的场合。
A、打结
B、解开
C、捆绑
189、单项选择题 缆索起重机的承载索下挠度一般为跨度的()。
A、1/30
B、1/20
C、1/15
D、1/15~1/20
190、单项选择题 吊环在使用时必须注意其受力方向,严禁()受力。
A、纵向
B、横向
C、外向
191、单项选择题 PDCA循环法是提高产品质量的一种科学管理方法,包括()阶段。
A、3个
B、4个
C、5个
192、单项选择题 定滑车在起重作业中()省力作用。
A、有
B、没有
C、不一定
193、单项选择题 工程质量等级分为()个级别。
A.合格、优良二个
B.合格、良、优三个
C.不合格、合格两个
D.不合格、合格、优、良四个
194、单项选择题 在放样台上划出零件的现状的方法是()。
A、下料
B、放样
C、划线
195、单项选择题 双桅杆滑移法抬吊塔设备,塔体脱排前,按()点受力看待。
A.一点
B.二点
C.三点
D.多点
196、单项选择题 “吊钩微微下降”的旗语信号是:绿旗拢起下指,红旗横在(),互相垂直。
A、绿旗上
B、绿旗下
C、绿旗前
197、单项选择题 人字桅杆的起重量比独脚桅杆的()。
A、小
B、大
C、相同
D、无法比
198、单项选择题 代号为H5×4D型的滑轮表示此型号的额定起重量为()。
A、40kN
B、50kN
C、90kN
D、200kN
199、单项选择题 动臂式起重机均应安装限制器,其综合误差不应大于()。
A、10%
B、20%
C、30%
200、单项选择题 对起重施工方案内的施工方法,关键是施工工艺的确定和()。
A.大型机具的选择
B.劳动力的组织
C.施工材料的消耗量
D.施工流水段的划分