时间:2018-10-02 00:26:40


1、单项选择题 成本可分为固定成本和可变成本,假设生产规模一定,以下说法中正确的是:()
A.产量增加,但固定成本在单位产品中的成本不变
B.单位产品中固定成本部分随产量增加而减少
C.固定成本低于可变成本时才能盈利
D.固定成本与可变成本相等时利润为零
2、问答题 实物投资100万,预期报酬率为12%,为了要在今后5年内把投资的本利和收回,则每年年末应等额收回多少现金?已知(A/P,12%,5)=0.2774
3、单项选择题 某建设项目年设计生产能力为8万台,年固定成本为1200万元,产品单台售价为1000元,单台产品可变成本为600元,单台产品销售税金及附加为150元,则该项目的盈亏平衡点的产销量为:()
A.48000台
B.12000台
C.30000台
D.21819台
4、单项选择题 采用净现值(NPV)、内部收益率(IRR)和差额内部收益率(△IRR)进行互斥方案比选,它们的评价结论是:()
A.NPV和△IRR总是不一致的
B.IRR和△IRR总是一致的
C.NPV和△IRR总是一致的
D.NPV、IRR和△IRR总是不一致的
5、单项选择题 不同投资方案的使用寿命不同,通常采用()进行比较。()
A.净年值比较法
B.最小费用法
C.最小公倍数法
D.净现值比较法
6、单项选择题 某项目的净年值小于零,则:()
A.该项目是可行的
B.该项目的内部收益率小于基准折现率
C.该项目的动态投资回收期小于寿命期
D.该项目的内部收益率大于基准折现率
7、问答题 某贷款人拟在5年后还清10000元债务,从现在起每年末等额存入银行一笔款项,假设银行年存款利率10%,每年需要存入多少元?已知(A/F,10%,5)=0.1638。
8、单项选择题 下面不属于产品销售收入的是:()
A.材料销售收入
B.工业性劳务收入
C.自制半成品销售收入
D.产成品销售收入
9、单项选择题 下列不属于股票融资特点的是:()
A.股票融资所筹备的资金是项目的股本资金,可作为其他方式筹资的基础
B.股票融资所筹资金没有到期偿还问题
C.普通股票的股利支付,可视融资主体的经营好坏和经营需要而定
D.股票融资的资金成本较低
10、填空题 只适用于财务评价的是()
11、多项选择题 债券在二级市场上的流通转让价格依不同的经济环境决定,但有一个基本的“理论价格”决定公式,它由()因素决定。
A.债券的票面金额
B.债券的发行者
C.票面利率
D.债券发行量
E.实际持有期限
12、单项选择题 某项目初期投资150万元,年运营成本90万元,寿命期5年,寿命期末回收残值20万元,企业基准折现率10%,则该项目的费用现值为:()
A.478.75万元
B.503.59万元
C.511.63万元
D.538.95万元
13、单项选择题 某小区建设一块绿地,需一次性投资20万元,每年维护费用5万元,设基准折现率10%,绿地使用10年,则费用年值为:()
A.4.750万元
B.5万元
C.7.250万元
D.8.255万元
14、多项选择题 下列选项中影响资金等值的三个因素是()。
A.资金的多少
B.资金发生的时间
C.利率或折现率的大小
D.资金换算方法
E.利息
15、单项选择题 已知存款各年的终值系数如下:年23456终值系数1.101.211.3311.4641.6111.772现存入5000元现金,7年后应收到本利和()。
A.5000×1.10×7
B.不能计算
C.5000×1.21×1.464
D.5000×1.331×1.464
16、问答题 某人拟在5年后获得本利和10000元,假设年投资报酬率为10%,他现在应投入多少元?
17、单项选择题 已知甲、乙为两个寿命期相同的互斥项目,其中乙项目投资大于甲项目。通过测算得出甲、乙两项目的内部收益率分别为17%和14%,增量内部收益△IRR(乙-甲)=13%,基准收益率为14%,以下说法中正确的是:()
A.应选择甲项目
B.应选择乙项目
C.应同时选择甲、乙两个项目
D.甲、乙两项目均不应选择
18、单项选择题 价值工程的价值是:()
A.研究对象的使用价值
B.研究对象的交换价值
C.研究对象的使用和交换价值
D.研究对象所具有的功能与获得该功能的全部费用的比值
19、问答题 期初向银行借款100万元,年利率为6%,按年付息,期限3年,到期一次还清借款,资金筹集费为借款额的5%。计算该借款资金成本。
20、单项选择题 (2012)某建设工程建设期为2年。其中第一年向银行贷款总额为1000万元,第二年无贷款,贷款年利率为6%,则该项目建设期利息为:()
A.30万元
B.60万元
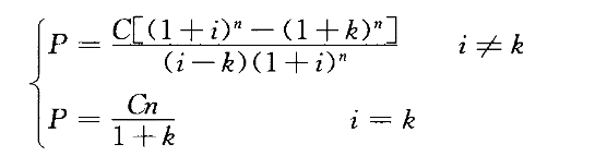
C.61.8万元
D.91.8万元
21、单项选择题 某企业进行设备更新,固定成本200万元,新设备生产的产品的单位可变成本为50元/件,产品售价为100元/件,假设企业生产函数为线性,则盈亏平衡产量为()。
A.2万件
B.4万件
C.3万件
D.0.5万件
22、单项选择题 某产品单位变动成本10元,计划销售1000件,每件15元,问固定成本应控制在()之内才能保本。()
A.5000元
B.10000元
C.15000元
D.150元
23、单项选择题 (2008)某人第1年年初向银行借款10万元,第1年年末又借款10万元,第3年年初再次借10万元,年利率为10%,到第4年末连本带利一次还清,应付的本利和为:()
A.31.00万元
B.76.20万元
C.52.00万元
D.40.05万元
24、单项选择题 某设备的维修成本估计第一年为4000元,以后5年内每年增加500元,设i=8%,则此设备在6年内的维修成本年值为()。
A.A=4000+500(G/A,8%,6)
B.A=4000+500(A/G,8%,6)
C.A=4000+500(p/A,8%,5)
D.A=4000+500(P/F,8%,5)
25、单项选择题 在项目无资金约束、寿命不同、产出不同的条件下,方案经济比选只能()
A.净现值比较法
B.差额投资内部收益率法
C.净年值法
D.费用年值法
26、单项选择题 某公司现贷款1000万元,一年后付息80万元,则年利率为()。
A.5%
B.8%
C.10 %
D.6%
27、单项选择题 某项目第一年年初投资100万元,当年年末开始收益,每年年末净收益25万元,项目计算期5年,设定的折现率为10%,该项目的净现值为:()
A.0
B.-5.23
C.5.23
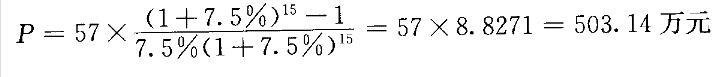
D.25
28、单项选择题 (2011)新设法人融资方式,建设项目所需资金来源于:()
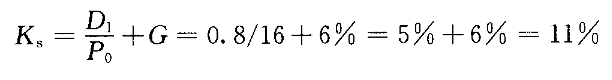
A.资本金和权益资金
B.资本金和注册资本
C.资本金和债务资金
D.建设资金和债务资金
29、单项选择题 某项目总投资13000万元,融资方案为:普通股5000万元,资金成本为16%;银行长期借款8000万元,税后资金成本为8%。该项目的加权平均资金成本为:()
A.10%
B.11%
C.12%
D.13%
30、单项选择题 诊断肺脓肿最有价值的是()
A.畏寒、高热
B.咳大量脓臭痰
C.白细胞总数及中性粒细胞增高
D.痰普通细菌培养阳性
E.大咯血
31、单项选择题 某企业的一台大型机器,其原值为50000元,规定的折旧年限为10年,假定净残值率为4%,若按照平均年限法进行折旧,则其每个月的折旧额为()。
A.400元
B.200元
C.800元
D.600元
32、单项选择题 (2008)下面不属于工程建设其他投资的是:()
A.土地使用费
B.与项目建设有关的其他费用
C.预备费
D.联合试运转费
33、单项选择题 两个初始投资相同、寿命期相同的投资方案,下列说法中正确的是:()
A.NPV1=NPV2,则IRR1=IRR2
B.NPV1>NPV2,则IRR1>IRR2
C.NPV1>NPV2,则IRR12
D.NPV1>NPV2≥0,则方案1较优
34、单项选择题 在单因素敏感分析图中,下列哪一项影响因素说明该因素越敏感?()
A.直线的斜率为负
B.直线的斜率为正
C.直线的斜率绝对值越大
D.直线的绝对值越小
35、单项选择题 构成建设项目总投资的三部分费用是:()
A.工程费用、预备费、流动资金
B.建设投资、建设期利息、流动资金
C.建设投资、建设期利息、预备费
D.建筑安装工程费、工程建设其他费用、预备费
36、单项选择题 为了判断某种因素对财务或经济评价指标的影响,敏感性分析采取的分析方法是:()
A.对不同评价指标进行比较
B.考察不确定性因素的变化导致评价指标的变化幅度
C.考察盈亏平衡点的变化对评价指标的影响
D.计算不确定因素变动的概率分布并分析对方案的影响
37、单项选择题 NPV和基准贴现率iC关系为()。
A.NPV随ic的减小而减小
B.NPV随ic的增大而增大
C.NPV随ic的增大而减小
D.NPV与ic的变化无关
38、单项选择题 某企业原采用甲工艺生产某种产品,现采用新技术乙工艺生产,不仅达到甲工艺相同的质量,而且成本降低了15%。根据价值工程原理,该企业提高产品价值的途径是:()
A.功能不变,成本降低
B.功能和成本都降低,但成本降幅较大
C.功能提高,成本降低
D.功能提高,成本不变
39、单项选择题 某项目建设投资400万元,建设期贷款利息40万元,流动资金60万元。投产后正常运营期每年净利润为60万元,所得税为20万元,利息支出为10万元。则该项目的总投资收益率为:()
A.19.6%
B.18%
C.16%
D.12%
40、单项选择题 某工业企业预计今年销售收入可达8000万元,总成本费用为8200万元,则该企业今年可以不缴纳:()
A.企业所得税
B.营业税金及附加
C.企业自有车辆的车船税
D.企业自有房产的房产税
41、单项选择题 (2013)某企业向银行借款,按季度计息,年名义利率为8%,则年实际利率为:()
A.8%
B.8.16%
C.8.24%
D.8.3%
42、单项选择题 为了正确评价项目对国民经济所作的贡献,在进行国民经济评价时使用的计算价格,原则上采用()。
A.市场价格
B.计划价格
C.标准价格
D.影子价格
43、单项选择题 下列项目方案类型中,适于采用净现值法直接进行方案选优的是:()
A.寿命期相同的独立方案
B.寿命期不同的独立方案
C.寿命期相同的互斥方案
D.寿命期不同的互斥方案
44、单项选择题 某项目总投资为2000万元,投产后正常年份运营期每年利息支出为150万元,若使总投资收益率不低于20%,则年利润总额至少为:()
A.250万元
B.370万元
C.400万元
D.550万元
45、问答题 小王拟投资一商业房地产,假定该商业房地产的许可使用年限为38年,第1年末可以得到租金收入为50万元,年出租税金、维修及管理费用约为租金收入的20%,预计该市商业地产租金价格呈逐年上升趋势,按保守预测租金净收益年递增率2%,设定的资金成本为10%。在不考虑房产空置率情况下,试计算小王拟投资的商业房产的现时价值多少合适?已知(P/C,10%,2%,38)=11.791
46、单项选择题 下列关于现金流量表的表述中,说法不正确的是:()
A.项目资本金现金流量表反映投资者各方权益投资的获利能力
B.项目资本金现金流量表考虑了融资,属于融资后分析
C.通过项目投资现金流量表可计算项目财务内部收益、财务净现值等评价指标
D.项目投资现金流量表以项目所需总投资为计算基础,不考虑融资方案影响
47、单项选择题 关于准股本资金的下列说法中,正确的是:()
A.准股本资金具有资本金性质,不具有债务资金性质
B.准股本资金主要包括优先股股票和可转换债券
C.优先股股票在项目评价中应视为项目债务资金
D.可转换债券在项目评价中应视为项目资本金
48、单项选择题 某企业购置一台设备,固定资产原值为20万元,采用双倍余额递减法折旧,折旧年限为10年,则该设备第2年折旧额为:()
A.2万元
B.2.4万元
C.3.2万元
D.4.0万元
49、多项选择题 下列选项中关于净现值的优缺点的说法,正确的是()。
A.净现值指标没有考虑资金的时间价值
B.经济意义明确直观,能够直接以货币额表示项目的盈利水平;判断直观
C.必须先确定一个符合经济现实的基准收益率,而基准收益率的确定往往是比较困难的
D.在互斥方案评价的时候,净现值必须慎重考虑互斥方案的寿命,如果互斥方案寿命不等,必须构造一个相同的分析期限,才能进行各个方案之间的比选
E.净现值能反映项目投资中单位投资的使用效率,能直接说明在项目运营期间各年的经营成果
50、单项选择题 某扩建项目总投资1000万元,筹集资金的来源为:原有股东增资400万元,资金成本为15%;银行长期借款600万元,年实际利率为6%。该项目年初投资当年获利,所得税税率25%,该项目所得税后加权平均资金成本为:()
A.7.2%
B.8.7%
C.9.6%
D.10.5%
51、单项选择题 固定成本是总成本费用的一部分,它是指其中的:()
A.不随产量变动而变动的费用
B.不随生产规模变动而变动的费用
C.不随人员变动而变动的费用
D.在一定生产规模限度内不随产量变动而变动的费用
52、单 项选择题 某公司从银行贷款,年利率8%,按复利计息,借贷期限5年,每年年末偿还等额本息50万元。到第3年年初,企业已经按期偿还2年本息,现在企业有较充裕资金,与银行协商,计划第3年年初一次偿还贷款,需还款金额为:()
A.89.2万元
B.128.9万元
C.150万元
D.199.6万元
53、单项选择题 (2007)某公司准备建立一项为期10年的奖励基金,用于奖励有突出贡献的员工,每年计划颁发100000元奖金,从第1年开始至第10年正好用完账户中的所有款项,若利率为6%,则第1年初存入的奖励基金应为:()
A.1318079元
B.1243471元
C.780169元
D.736009元
54、单项选择题 全投资财务现金流量表中不包括:()
A.销售收入
B.贷款成本
C.经营成本
D.资产回收
55、单项选择题
(2006)在下面的现金流量图(见题10-1-8图)中,若横轴时间单位为年,则大小为40的现金流量的发生时点为:()

A.第2年年末
B.第3年年初
C.第3年年中
D.第3年年末
56、单项选择题 某吊车生产企业,以产量表示的盈亏平衡点为600台。预计今年的固定成本将增加20%,若其他条件不变,则盈亏平衡点将变为:()
A.720台
B.600台
C.500台
来源:91考试网 91Exam.org D.480台
57、单项选择题 在投资项目盈利能力分析中,若选取的基准年发生变动,则该项目的净现值(NPV)的内部收益率(IRR)的数值将是:()
A.NPV变IRR不变
B.NPV和IRR均变
C.NPV不变IRR变
D.NPV和IRR均不变
58、单项选择题 对项目进行单因素敏感性分析时,以下各项中,可作为敏感性分析因素的是:()
A.净现值
B.年值
C.内部收益率
D.折现率
59、单项选择题 生产性项目总投资包括铺底流动资金和:()
A.设备工器具投资
B.建筑安装工程投资
C.流动资金
D.建设投资
60、单项选择题 融资前分析和融资后分析的关系,下列说法中正确的是:()
A.融资前分析是考虑债务融资条件下进行的财务分析
B.融资后分析应广泛应用于各阶段的财务分析
C.在规划和机会研究阶段,可以只进行融资前分析
D.-个项目财务分析中融资前分析和融资后分析两者必不可少
61、单项选择题 对建设项目进行经济费用效益分析所使用的影子价格的正确含义是:()
A.政府为保证国计民生为项目核定的指导价格
B.使项目产出品具有竞争力的价格
C.项目投入物和产出物的市场最低价格
D.反映项目投入物和产出物真实经济价值的价格
62、单项选择题 属于改扩建项目经济评价中使用的五种数据之一的是:()
A.资产
B.资源
C.效益
D.增量
63、单项选择题 价值工程的核心是:()
A.尽可能降低产品成本
B.降低成本提高产品价格
C.功能分析
D.有组织的活动
64、单项选择题 对某项目进行敏感性分析,采用的评价指标为内部收益,基本方案的内部收益率为15%,当不确定性因素原材料价格增加10%时,内部收益率为13%,则原材料的敏感度系数为:()
A.-1.54
B.-1.33
C.1.33
D.1.54
65、单项选择题 某建设项目固定资产投资1140万元,建设期贷款利息为150万元,折旧年限20年,预计净残值80万元,则该项目按直线折旧的年折旧额为:()
A.48.5万元
B.50.5万元
C.53.0万元
D.60.5万元
66、单项选择题 无形资产是企业资产的重要组成部分,它的特点是会遭受:()
A.有形磨损和无形磨损
B.有形磨损
C.无形磨损
D.物理磨损
67、单项选择题 下面属于偿还借款本金的资金的是()。
A.成本中列支的利息费用
B.折旧和摊销
C.利润
D.利润、折旧和摊销
68、单项选择题 某项目第6年累计净现金流量开始出现正值,第五年末累计净现金流量为-60万元,第6年当年净现金流量为240万元,则该项目的静态投资回收期为:()
A.4.25年
B.4.75年
C.5.25年
D.6.25年
69、单项选择题 在对独立方案的财务评价中,若采用内部收益率评价指标,则项目可行的标准是:()
A.IRR<基准收益率
B.IRR≥基准收益率
C.IRR<0
D.IRR≥0
70、单项选择题 (2012)对于某常规项目(IRR唯一),当设定折现率为12%时,求得的净现值为130万元;当设定折现率为14%时,求得的净现值为-50万元,则该项目的内部收益率应是:()
A.11.56%
B.12.77%
C.13%
D.13.44%
71、单项选择题 在建设项目总投资中,以下应计入固定资产原值的是:()
A.建设期利息
B.外购专利权
C.土地使用权
D.开办费
72、问答题 现有资金100万元,欲在19年末使其增值到原来的3倍,选择投资机会时最低可接受的年报酬率为多少?
73、单项选择题 某项目总投资16000万元,资本金5000万元。预计项目运营期总投资收益率为20%,年利息支出为900万元,所得税率为25%,则该项目的资本金利润率为:()
A.30%
B.32.4%
C.34.5%
D.48%
74、单项选择题 某项目由A、B、C、D四个部分组成,当采用强制确定法进行价值工程对象选择时,它们的价值指数分别如下所示。其中不应作为价值工程分析对象的是:()
A.0.7559
B.1.0000
C.1.2245
D.1.5071
75、单项选择题 下面关于内部收益率,说法错误的是()。
A.内部收益率是考察项目盈利能力的主要动态评价指标
B.内部收益率能反映项目自身的盈利能力,其值越低,方案的经济性越好
C.内部收益率就是使未回收投资余额及其利息恰好在项目计算期未完全收回的一种利率
D.内部收益率是项目为其所占资金所提供的盈利率
76、单项选择题 某房产公司的一个项目,一次性的初始投资为20万元,第一年的净现金流量为2万元,以后每年递增8000元,估计项目的寿命期为10年,则该项目的静态投资回收期为()。
A.5.5年
B.7.14年
C.5.67年
D.5.33年
77、单项选择题 建设投资的全部组成包括:()
A.建筑安装工程费、预备费、流动资金
B.工程费用、建设期利息、预备费
C.工程费用、工程建设其他费用、预备费
D.建筑工程费、设备购置费、安装工程费
78、单项选择题 某公司向银行借款5000万元,期限为5年,年利率为10%,每年年末付息一次,到期一次还本,企业所得税率为25%。若不考虑筹资费用,该项借款的资金成本率是:()
A.7.5%
B.10%
C.12.5%
D.37.5%
79、单项选择题 某人储备养老金,每年年末存入100元,已知银行1年期存款利率为10%,3年后他的养老金总数为()。
A.331
B.330
C.320
D.338
80、多项选择题 关于盈亏平衡分析的说明,下列说法中正确的是()。
A.盈亏平衡点产量越小,抗风险能力就越强
B.盈亏平衡点的含义是指项目盈利与亏损的分界点
C.盈亏平衡点产量越大,抗风险能力就越强
D.当实际产量小于盈亏平衡产量时,企业亏损
E.实际生产能力大于盈亏平衡点,就可盈利
81、问答题 某综合楼拟出租15年,年租金为57万元,每年年末缴款,问15年的租赁价格现值是多少?(年利率为7.5%)
82、单项选择题 某地区为减少水灾损失,拟建水利工程。项目投资预计500万元,计算期按无限年考虑,年维护费20万元。项目建设前每年平均损失300万元。若利率5%,则该项目的费用效益比为:()
A.6.11
B.6.67
C.7.11
D.7.22
83、单项选择题 某项目有一项融资,税后资金成本为6.5%,若通货膨胀率为2%,则考虑通货膨胀的资金成本为:()
A.4.4%
B.5.4%
C.6.4%
D.8.7%
84、问答题 设社会无风险投资收益率为3%(长期国债利率),市场投资组合预期收益率为12%,某项目的投资风险系数为1.2,采用资本资产定价模型计算普通股资金成本。
85、单项选择题 某项目初期(第0年年初)投资额为5000万元,此后从第二年年末开始每年有相同的净收益,收益期为10年。寿命期结束时的净残值为零,若基准收益率为15%,则要使该投资方案的净现值为零,其年净收益应为:[已知:(P/A,15%,10)=5.0188,(P/F,15%,1)=0.8696]()
A.574.98万元
B.866.31万元
C.996.25万元
D.1145.65万元
86、单项选择题 (2013)在下列选项中,应列入项目投资现金流量分析中的经营成本的是:()
A.外购原材料、燃料和动力费
B.设备折旧
C.流动资金投资
D.利息支出
87、单项选择题 某项目从银行贷款500万元,期限5年,年利率5%,采取等额还本利息照付方式还本付息,每年末还本付息一次,第2年应付利息是:()
A.5万元
B.20万元
C.23万元
D.25万元
88、单项选择题 价值工程的"价值V"对于产品来说,可以表示为V=F/C,式中C是指:()
A.产品的寿命周期成本
B.产品的开发成本
C.产品的制造成本
D.产品的销售成本
89、单项选择题 (2005)某投资项目,当基准折现率取15%时,项目的净现值等于零,则该项目的内部收益率:()
A.等于15%
B.大于15%
C.等于0
D.小于15%
90、单项选择题 (2010)某公司拟向银行贷款100万元,贷款期为3年,甲银行的贷款利率为6%(按季计息),乙银行的贷款利率为7%,该公司向哪家银行贷款付出的利息较少:()
A.甲银行
B.乙银行
C.两家银行的利息相等
D.不能确定
91、单项选择题 对于改扩建项目的经济评价,以下表述中正确的是:()
A.仅需要估算"有项目"、"无项目"、"增量"三种状态下的效益和费用
B.只对项目本身进行经济性评价,不考虑对既有企业的影响
C.财务分析一般只按项目一个层次进行财务分析
D.需要合理确定原有资产利用、停产损失和沉没成本
92、多项选择题 属于现金流入的项目有()。
A.产品销售收入
B.回收固定资产余值
C.回收流动资金
D.应收账款
E.折旧
93、单项选择题 某企业去年利润总额300万元,上缴所得税75万元,在成本中列支的利息100万元,折旧和摊销费30万元,还本金额120万元,该企业去年的偿债备付率为:()
A.1.34
B.1.55
C.1.61
D.2.02
94、单项选择题 下列财务评价指标中,反映项目偿债能力的指标是:()
A.投资回收期
B.利息备付率
C.财务净现值
D.总投资收益率
95、单项选择题 某公司购买一台计算机放置一年未用,一年期间又有新型号计算机出现,原购买的计算机的损耗为:()
A.有形损耗
B.物理损耗
C.自然损耗
D.无形损耗
96、单项选择题 资金具有时间价值的根本原因是()。
A.投资和再投资
B.资金能产生利润
C.资金具有增值性
D.市场供求关系的变化
97、单项选择题 判断投资项目在财务上的生存能力所依据的指标是:()
A.内部收益率和净现值
B.利息备付率和偿债备付率
C.投资利润率和资本金利润率
D.各年净现金流量和累计盈余资金
98、单项选择题 与静态投资回收期计算无关的量是:()
A.现金流入
B.现金流出
C.净现金流量
D.基准收益率
99、多项选择题 关于价值工程,下列说法中正确的有()。
A.价值工程以研究产品功能为核心,通过改善功能结构达到降低成本的目标
B.价值工程中的成本是指生产成本
C.价值工程在产品设计阶段效果最显著
D.价值工程中,功能分析的目的是补充不足的功能
E.价值工程中的价值是指单位成本所获得的功能水平
100、单项选择题 开展价值工程活动的目的是:()
A.思想方法的更新和技术管理
B.对功能和成本进行系统分析和不断创新
C.提高功能对成本的比值
D.多领域协作降低产品成本
101、问答题 某综合楼的年租金72万元,每年年末缴款,问如果考虑资金时间价值,至第10年年末房屋产权人共获租金价值多少?(设年利率为8.5%)
102、单项选择题 (2010)可外贸货物的投入或产出的影子价格应根据口岸价格计算,下列公式正确的是:()
A.出口产出的影子价格(出厂价)=离岸价(FOB.×影子汇率+出口费用
B.出口产出的影子价格(出厂价)=到岸价(CIF.×影子汇率-出口费用
C.进口投入的影子价格(到厂价)=到岸价(CIF.×影子汇率+进口费用
D.进口投入的影子价格(到厂价)=离岸价(FOB.×影子汇率-进口费用
103、单项选择题 投资项目的现金流量表可分为项目投资和项目资本金现金流量表,以下说法正确的是:()
A.项目投资现金流量表中包括借款本金偿还
B.项目资本金现金流量表将折旧作为支出列出
C.项目投资现金流量表考察的是项目本身的财务盈利能力
D.项目资本金现金流量表中不包括借款利息支付
104、单项选择题 (2009)经济效益计算的原则是:()
A.增量分析的原则
B.考虑关联效果的原则
C.以全国居民作为分析对象的原则
D.支付意愿原则
105、单项选择题 当社会通货膨胀率趋于上升,其他因素没有变化时,基准折现率应:()
A.降低
B.提高
C.保持不变
D.无法确定
106、单项选择题 在进行互斥方案选优时,若备选方案的收益率基本相同,且难于估计时,比选计算应考虑采用:()
A.内部收益率
B.净现值
C.投资回收期
D.费用现值
107、问答题 某优先股面值100元,发行价格98元,发行成本3%,每年付息一次,固定股息率5%。计算该优先股资金成本
108、单项选择题 设选取的基准收益率为ixc,如果某投资方案在财务上可行,则有:()
A.财务净现值小于零,财务内部收益率大于ixc
B.财务净现值小于零,财务内部收益率小于ixc
C.财务净现值不小于零,财务内部收益率不小于ixc
D.财务净现值不小于零,财务内部收益率小于ixc
109、问答题 某房产公司向银行抵押贷款2000万元,年利率12%,25年内分期偿还,每年年末还本付息多少?
110、单项选择题 下面属于变动成本的是:()
A.折旧费
B.无形资产摊销费
C.管理费
D.包装费
111、单项选择题 (2012)某项目拟发行1年期债券。在年名义利率相同的情况下,使年实际利率较高的复利计息期是:()
A.1年
B.半年
C.1季度
D.1个月
112、多项选择题 财务评价是工程经济分析的核心内容,其目的在于确保决策的正确性和科学性,下列()是财务评价的方法。()
A.确定性评价方法
B.不确定性评价方法
C.静态评价方法
D.动态评价方法
E.定量分析方法
113、单项选择题 财务生存能力分析中,财务生存的必要条件是:()
A.拥有足够的经营净现金流量
B.各年累计盈余资金不出现负值
C.适度的资产负债率
D.项目资本金净利润率高于同行业的净利润率参考值
114、单项选择题 从经济资源配置的角度判断建设项目可以被接受的条件是:()
A.财务净现值等于或大于零
B.经济内部收益率等于或小于社会折现率
C.财务内部收益率等于或大于基准收益率
D.经济净现值等于或大于零
115、单项选择题
(2005)投资项目W的净现金流量如下表:
则项目W的静态投资回收期为:()
A.3.65年
B.3.87年
C.3年
D.3.55年
116、单项选择题 (2011)某企业年初投资5000万元,拟10年内等额回收本利,若基准收益率为8%,则每年年末应回收的资金是:()
A.540.00万元
B.1079.46万元
C.745.15万元
D.345.15万元
117、问答题 某上市公司普通股目前市价为16元,预期年末每股发放股利0.8元,股利年增长率为6%,计算该普通股资金成本。
118、单项选择题 (2010)某项目建设工期为两年,第一年投资200万元,第二年投资300万元,投产后每年净现金流量为150万元,项目计算期为10年,基准收益率10%,则此项目的财务净现值为:()
A.331.97万元
B.188.63万元
C.171.18万元
D.231.60万元
119、问答题 某人有1200元现金,有一投资机会年投资报酬率为8%,经过多少年才可使现有货币增加1倍?
120、单项选择题 某IT公司职工在三湘世纪花城购买了一套三室二厅的住宅。建筑面积150m2,单价6800元/m2,首付20%。余额在光大银行进行按揭贷款,利率为6%,分5年等额偿还。则每年的偿还额为()万元。已知(A/P,6%,5)=0.2374()
A.20.4
B.24.17
C.16.32
D.19.37
121、单项选择题
某投资项目全投资的净现金流量如下表:()

若该项目初始投资中借款比例为50%,贷款年利率为8%,初始投资中自有资金的筹资成本为12%,则当计算该项目自有资金的净现值时,基准折现率至少应取:
A.10%
B.12%
C.8%
D.20%
122、单项选择题 进行经济费用效益分析时,评价指标效益费用比是指在项目计算期内:()
A.经济净现值与财务净现值之比
B.经济内部收益率与社会折现率之比
C.效益流量的现值与费用流量的现值之比
D.效益流量的累计值与费用流量的累计值之比
123、单项选择题 (2009)关于现金流量的下列说法中,正确的是:()
A.同一时间点上现金流入和现金流出之和,称为净现金流量
B.现金流量图表示现金流入、现金流出及其与时间的对应关系
C.现金流量图的零点表示时间序列的起点,同时也是第一个现金流量的时间点
D.垂直线的箭头表示现金流动的方向,箭头向上表示现金流出,即表示费用
124、问答题 土木工程材料的分类?
125、单项选择题 现代主要的权益投资方式不包括:()
A.股权式合资结构
B.契约式合资式结构
C.合资式结构
D.合伙制结构
126、单项选择题 采用净现值指标对某项目进行财务盈利能力分析,设定的折现率为i,该项目财务上可行的条件是:()
A.NPV≤企业可接受的水平
B.NPV<折现率
C.NPV≥0
D.NPV>i
127、单项选择题 两个计算期不等的互斥方案比较,可直接采用的方法是:()
A.净现值法
B.内部收益率法
C.差额内部收益率法
D.年值法
128、单项选择题
某投资项目一次性投资200万元,当年投产并收益,评价该项目的财务盈利能力时,计算财务净现值选取的基准收益率为ixc,若财务内部收益率小于ixc,则有:()
A.ixc低于贷款利率
B.内部收益率低于贷款利率
C.净现值大于零
D.净现值小于零
129、单项选择题
(2006)某现金流量如图所示,如果利率为i,则下面的4个表达式中,正确的是:()

A.P(P/F,i,ι)=A(PlA,i,-n-m)(P/F,i,m)
B.P(F/P,i,m-ι)=A(P/A,i,n-m)
C.P=A(P/A,i,n-m)(P/F,i,m-ι)
D.P(F/P,i,n-ι)=A(F/A,i,n-m+1)
130、单项选择题 某项目从银行借款1000万元,年利率为6%,期限10年,按年度还款,每年年末偿还本金100万元,并偿还相应未还本金的利息。该偿还债务方式为:()
A.等额利息法
B.等额本息法
C.等额本金法
D.偿债基金法
131、单项选择题 销售收入的决定因素不包括:()
A.生产负荷
B.销售价格
C.销售量
D.所得税
132、单项选择题 (2011)建设项目评价中的总投资包括:()
A.建设投资和流动资金
B.建设投资和建设期利息
C.建设投资、建设期利息和流动资金
D.固定资产投资和流动资产投资
133、问答题 李先生参加基金投资,投资总期限为10年,第一年末投资10万元,第二年比第一年增加投资2万元,基金年投资回报率8%,则十年末共可得本利多少?已知(F/A,8%,10)=14.4866,(F/G,8%,10)=56.082
134、单项选择题 下面关于价值工程的论述中正确的是:()
A.价值工程中的价值是指成本与功能的比值
B.价值工程中的价值是指产品消耗的必要劳动时间
C.价值工程中的成本是指寿命周期成本,包括产品在寿命期内发生的全部费用
D.价值工程中的成本就是产品的生产成本,它随着产品功能的增加而提高
135、单项选择题 (2013)以下关于项目经济费用效益分析的说法中正确的是:()
A.经济费用效益分析应考虑沉没成本
B.经济费用和效益的识别不适用"有无对比"原则
C.识别经济费用效益时应剔出项目的转移支付
D.为了反映投入物和产出物真实经济价值,经济费用效益分析不能使用市场价格
136、单项选择题 在对象选择中,通过对每个部件与其他各部件的功能重要程度进行逐一对比打分,相对重要的得1分,不重要的得0分,此方法称为:()
A.经验分析法
B.百分比法
C.ABC分析法
D.强制确定法
137、单项选择题 若两个互斥方案的计算期相同,每年的收益基本相同但无法准确估计,应采用的财务评价指标是:()
A.内部收益率
B.净现值
C.投资回收期
D.费用年值
138、单项选择题 已知a、b、c三方案独立,投资分别为200万元、300万元、450万元,且其净现值分别为100万元、150万元、260万元,寿命相同,若只有可用资金650万元,则选择()项目投资组合。()
A.a、b
B.a、c
C.b、c
D.c
139、单项选择题 (2005)某企业预计明年销售收入将达到6000万元,总成本费用将为5600万元,该企业明年应缴纳:()
A.销售税金
B.所得税
C.固定资产投资方向调节税
D.所得税和销售税金
140、单项选择题 某项目设计生产能力为年产5000台,每台销售价格500元,单位产品可变成本350元,每台产品税金50元,年固定成本265000元,则该项目的盈亏平衡产量为:()
A.2650台
B.3500台
C.4500台
D.5000台
141、单项选择题 (2010)关于总成本费用的计算公式,下列正确的是:()
A.总成本费用=生产成本+期间费用
B.总成本费用=外购原材料、燃料和动力费+工资及福利费+折旧费
C.总成本费用=外购原材料、燃料和动力费+工资及福利费+折旧费+摊销费
D.总成本费用=外购原材料、燃料和动力费+工资及福利费+折旧费+摊销费+修理费
142、单项选择题 为了从项目权益投资者整体角度考察盈利能力,应编制:()
A.项目资本金现金流量表
B.项目投资现金流量表
C.借款还本付息计划表
D.资产负债表
143、单项选择题 (2005)价值工程的"价值(V)"对于产品来说,可以表示为V=F/C,F指产品的功能,而C则是指:()
A.产品的制造成本
B.产品的寿命周期成本
C.产品的使用成本
D.产品的研发成本
144、问答题 某房产公司现在正在建设一幢大楼,预计两年后销售,其利润为1800万元,设年投资报酬率为9.3%,问该利润的现值为多少?
145、单项选择题 (2012)某企业生产一种产品,年固定成本为1000万元,单位产品的可变成本为300元、售价为500元,则其盈亏平衡点的销售收入为:()
A.5万元
B.600万元
C.1500万元
D.2500万元
146、单项选择题 已知某产品的零件甲的功能评分为5,成本为20元,该产品各零件功能积分之和为40,产品成本为100元,则零件甲的价值系数为:()
A.0.2
B.0.625
C.0.8
D.1.6
147、单项选择题 ABC分类法中,部件数量占60%~80%、成本占5%~10%的为:()
A.A类
B.B类
C.C类
D.以上都不对
148、单项选择题 某房地产抵押贷款的条件是每月偿还借款额的1.5%作为利息,则借款者分担的名义利率和实际利率为()。
A.18%18%
B.19.56%18%
C.18%20.56%
D.18%19.56%
149、单项选择题 某学生从银行贷款上学,贷款年利率5%,上学期限3年,与银行约定从毕业工作的第1年年末开始,连续8年以等额本息还款方式还清全部贷款,预计该生每年还款能力为6000元。该学生上学期间每年年初可从银行得到等额贷款:()
A.7848元
B.8240元
C.9508元
D.9539元
150、单项选择题 建设项目经济评价有一整套指标体系,敏感性分析可选定其中一个或几个主要指标进行分析,最基本的分析指标是:()
A.财务净现值
B.内部收益率
C.投资回收期
D.偿债备付率
151、单项选择题 某公司的一个方案,初始投资额为100万元,此后每年年末的净受益为30万元,若基准贴现率为15%,方案的寿命起为20年,则该方案的净现值为()。
A.130
B.200
C.87.8
D.188
152、问答题 某公司欲投资生产一种电子新产品,设计生产能力是每年250万只。该项目拟2005年建设,2006年投产。由于是新产品,需要大量的营销活动拓展市场,根据市场预测及产品营销计划安排,投产当年(计算期第二年)生产负荷可以达到30%,投产后第二年达到60%,第三年和第四年达到90%。预计第五年开始出现竞争对手和或替代产品,以后生产负荷开始下降,投产第七年末寿命周期结束。价格研究预测结果表明,该产品价格(只考虑相对价格变动因素)将先高后低,试编制各年的营业收入估算表。
153、单项选择题 某项贷款年利率12%,每季计息一次,则年实际利率为:()
A.12%
B.12.48%
C.12.55%
D.12.68%
154、单项选择题 关于盈亏平衡点的下列说法中,错误的是:()
A.盈亏平衡点是项目的盈利与亏损的转折点
B.盈亏平衡点上,销售(营业、服务)收入等于总成本费用
C.盈亏平衡点越低,表明项目抗风险能力越弱
D.盈亏平衡分析只用于财务分析
155、单项选择题 经营成本中包括:()
A.工资及福利费
B.固定资产折旧费
C.贷款利息支出
D.无形资产摊销费
156、问答题 本金1000元,投资5年,年利率8%,每季度复利一次,计算第五年末终值F和利息I。
157、单项选择题 下列可以提高产品价值的是:()
A.功能不变,提高成本
B.成本不变,降低功能
C.成本增加一些,功能有很大提高
D.功能很大降低,成本降低一些
158、单项选择题 (2009)某项目建设期3年,共贷款1000万元,第一年贷款200万元,第二年贷款500万元,第三年贷款300万元,贷款在各年内均衡发生,贷款年利率为7%,建设期内不支付利息,建设期利息为:()
A.98.00万元
B.101.22万元
C.138.46万元
D.62.33万元
159、单项选择题 计算经济效益净现值采用的折现率应是:()
A.企业设定的折现率
B.国债平均利率
C.社会折现率
D.银行贷款利率