时间:2018-10-01 23:22:43


1、问答题 计算题:有一台离心泵,额定扬程为70m,额定转速为了1485rpm,现转速降至1200rpm,扬程大概下降到多少?
2、问答题 什么叫多相催化剂作用?多相催化反应?什么状态下能使反应处于接近理想和高效状态?
3、多项选择题 以下四种说法中,正确的是()。
A、反应速度直接取决于反应温度
B、加氢裂化反应器中催化剂床层总温升是转化率的标志
C、原料性质不同,一般反应温度也不相同
D、加氢裂化反应中,温度条件的选择原则是在力求催化剂活性允许的条件下,采用尽可能高的反应温度
4、单项选择题 为防止高速流体直接冲击液体分配盘,所以在反应器人口设置入口()。
A、喷淋器
B、扩散器
C、集液器
D、分配盘
5、多项选择题 催化剂的发展,表现在()几个方面。
A、装填方便
B、品种增加
C、性能改善
D、更适应目的产品的需要
6、多项选择题 加热炉出口温度不稳的原因有()。
A、瓦斯压力不稳
B、瓦斯组成变化或带油带水
C、进料量或循环氢量波动
D、原料油性质变化或带水
7、单项选择题 注水中断后,会出现()
A、循环氢中的氨浓度升高,转化率下降
B、循环氢中的硫化氢浓度上升,转化率增加
C、反应温度下降
D、不利于油、水、气的三相分离
8、单项选择题 污垢篮置于()。
A、每个催化剂床层的顶部
B、反应器催化剂床层的顶部
C、每个催化剂床层的底部
D、反应器催化剂床层的底部
9、单项选择题 循环水中断时间较长时,主要处理对策为()。
A、反应加热炉和分馏再沸炉熄火
B、停运氢气增压压缩机和补充氢压缩机
C、停原料油泵
D、启动0.7MPa/min进行泄压
10、问答题 机泵等机械设备为什么要进行润滑?
11、单项选择题 在催化剂钝化过程中,应根据需要注入()以维持循环氢中的硫化氢浓度。
A、适量硫化剂
B、适量钝化剂
C、阻垢剂
D、缓蚀剂
12、问答题 迷宫密封的原理是什么?
13、单项选择题 加热炉中瓦斯量小而空气量大时:()
A、火焰发红
B、火焰发白
C、火焰正常
D、火焰发软
14、单项选择题 以下哪项不为设置热高分的好处是()
A、提高装置热利用效率
B、防止油中稠环芳烃析出污染冷换设备
C、降低和冷高分的负荷
D、提高油气分离效果
15、单项选择题 关于Na对催化剂的影响,下列描述正确的是()。
A、中和酸中心,降低催化剂裂化功能。
B、降低催化剂机械强度。
C、促进载体烧结,降低表面积和促进金属聚集。
D、三者均正确。
16、单项选择题 关于不同类型加氢裂化催化剂的叙述,下列哪项不正确?()
A、分子筛含量高的轻油型加氢裂化催化剂酸性高于加氢性能,以生产石脑油为主
B、中油型加氢裂化催化剂的加氢性能较酸性强
C、无定型催化剂的优势在于多产柴油,但反应温度高,运行周期短
D、使用无定型催化剂时循环油中的多环芳烃的积聚要比使用含沸石分子筛的催化剂多
17、单项选择题 冷油泵和热油泵在温度上的界限是:()
A.250℃
B.200℃
C.300℃
D.350℃
18、多项选择题 加氢裂化催化剂卸出时,为避免其中的硫化亚铁自燃,可以采取的措施为()。
A、加干冰
B、加水
C、加蒸汽
D、加氮气
19、多项选择题 加热炉验收时有关技术资料必须齐全准确,其中有()等。
A、设计变更及材料代用通知书
B、炉管质量检验报告
C、炉管胀接及水压试验记录
D、检修记录、隐蔽工程记录、实际烘炉曲线等
20、单项选择题 重质馏分油加氢裂化催化剂失活的主要原因是()。
A、重金属硫化物沉积和结焦
B、结焦、金属聚集、活性中心数减少
C、硫、氮杂质和重金属有机化学吸附
D、金属迁移和聚集以及结焦
21、填空题 加氢精制反应是指杂原子烃中()的脱除反应以及不饱和烃的加氢饱和反应。
22、单项选择题 油品的结晶点()凝固点。
A、大于
B、小于
C、等于
D、都不是
23、多项选择题 关于装置火灾报警的内容有()。
A、讲清楚火灾部门所属的装置名称和报警人姓名
B、讲清楚火灾事故的地点及位置
C、讲清楚燃烧的介质
D、清楚有无人员伤亡
24、单项选择题 我国安全生产的方针是“()第一,预防为主,综合治理”。
A、管理
B、效益
C、安全
D、质量
25、单项选择题 水影响的是催化剂的()
A、活性
B、稳定性
C、机械性能
26、多项选择题 加氢裂化装置所用水的种类有()。
A、锅炉水
B、工业水
C、循环冷却水
D、蒸汽凝液
27、填空题 对烷烃异构化反应的热力学研究表明,烷烃异构化是()(填弱或强)放热反应,反应热随温度变化很小。
28、单项选择题 循环氢压缩机在()转速下进行低速暖机。
A、50转/分
B、500转/分
C、2000转/分
D、8000转/分
29、多项选择题 集散控制系统的上位管理计算机用于()。
A、信息管理
B、优化控制
C、联锁管理
D、高层决策
30、多项选择题 塔顶回流物料中带水,下列现象说法错误的是()。
A、塔顶压力上升
B、塔顶温度下降
C、塔顶压力下降
D、塔顶温度上升
31、单项选择题 循环氢压缩机低速暖机的目的是()。
A、防止轴弯曲变形
B、防止轴咬死
C、防止轴发热
D、防止轴振动
32、填空题 对石油馏分中多环杂环含氮化合物的加氢活性的研究表明,杂环(五员环、六员环)如三环、双环、单环,三种杂环含氮化合物加氢活性从高到低的顺序是:()。
33、单项选择题 单段工艺过程最适合用于最大量地生产()
A、石脑油的产品目标
B、中间馏分油的产品目标
C、催化裂化原料
D、蒸汽裂解制乙烯原料
34、单项选择题 加热炉烟道气露点腐蚀也称为电化学腐蚀,这种电化学腐蚀的速度与化学腐蚀的速度相比较()。
A、要慢
B、要快
C、一样
D、无法确定快慢
35、单项选择题 压力容器上安装的超压防护装置是指()
A、压力表和爆破片
B、安全阀和爆破片
C、压力表和温度计
D、压力表和安全阀
36、单项选择题 关于限制加热炉炉管表面热强度提高的因素,下列说法错误的是()
A、过程空气量的大小
B、炉管外壁温度和炉管材质
C、炉膛传热的均匀性
D、炉管内油品的性质、温度、压力、流速等
37、多项选择题 加氢裂化在降低操作负荷的情况下,关于加热炉的操作,下列说法正确的是()。
A、现场关小或部分关闭燃料气火嘴阀门
B、现场观察燃料气压力
C、观察炉膛燃烧情况,长明灯是否熄灭
D、及时与内操联系,加强现场检查
38、多项选择题 达到哪些要求方可点火:()。
A、加热炉炉膛爆炸气分析合格。
B、加热炉炉膛负压必须建立。
C、加热炉炉管内介质在最小量以上流动。
D、加热炉各热偶测温点必须完全好用。
39、多项选择题 螺纹锁紧式换热器有如下几个突出优点()。
A、密封可靠
B、拆装方便
C、金属用量少
D、结构紧凑.占地面积小
40、问答题 请简述Cr-Mo钢中Mo元素的作用。
41、单项选择题 以下提高压缩机排气量正确的有()。
A、降低吸入气体温度;
B、提高吸入气体温度;
C、保持吸入气体常温;
D、降低排出气体温度。
42、多项选择题 在发生事故中,因“三违”造成的事故占很大比重,“三违”是指()。
A、违章作业
B、违章指挥
C、违反劳动纪律
D、违反工艺纪律
43、单项选择题 因为水的汽化热比油大,水蒸汽的体积与油品的体积相比(),因此,进料带水易造成塔的操作波动。
A、大
B、小
C、无法确定
D、相等
44、多项选择题 分馏塔开车过程中,如果不控制一定的升温速度,会使()。
A、调节时间延长
B、塔板液面忽高忽低
C、再沸炉出口温度忽高忽低
D、精馏塔的工艺参数波动
45、单项选择题 分馏塔塔身要求垂直,倾斜度不得超过千分之一,否则,会在塔板上造成(),使塔的精馏效果降低。
A、溢流
B、雾沫夹带
C、漏液
D、死区
46、单项选择题 化验常用的 馏程分析数据,都是采用()的数据。
A、实沸点蒸馏
B、平衡气化
C、恩氏蒸馏
D、都不是
47、多项选择题 针对石油化工生产()的特点,对生产过程控制自动化提出了更高要求。
A、大型化
B、复杂化
C、连续化
D、危险性大
48、单项选择题 关于反应器床层平均温度的计算,下列表述不正确的是()。
A、加氢裂化反应器的每个床层有一个温度监测点
B、加氢裂化反应器的平均温度等于各床层平均温度的加权温度
C、在装置运转初期,反应温度可以选择低一些
D、如果原料油含硫含氮量高,所需反应温度也高一些
49、多项选择题 液化气泄漏应()。
A、加热炉熄火
B、现场拉好警戒线
C、紧急停车
D、用雾状水喷淋稀释
50、单项选择题 关于不同族烃类的BMCI值,下述说法不对的是()
A、直链烷烃或分子结构接近直链烷烃的BMCI值接近于0;
B、异构烷烃的BMCI值高于直链烷烃;
C、对于带侧链的单环芳烃,侧链烷烃越大,BMCI值越小
D、单环芳烃侧链烷基的大小不影响BMCI值。
51、单项选择题 分馏系统()过程中,是设备暴露问题最多的时候,应加强检查,并在规定温度下进行恒温热紧。
A、收油
B、升温
C、脱水
D、升压
52、单项选择题 汽油产品的主要性能指标是()
A、干点和辛烷值
B、凝点和烟点
C、闪点和干点
D、十六烷值和闪点
53、单项选择题 由于反应器入口积垢导致压力降增大,需要撇头卸出催化剂时,采用的方法是()
A、烧焦再生后卸出
B、注碱液后卸出
C、氮气保护真空抽吸卸出
D、热氢气提后卸出
54、单项选择题 关于石油化工企业的“三耗”,下列说法错误的是()。
A、物耗
B、原油途耗
C、能耗
D、公用工程介质消耗
55、多项选择题 开工过程中加强脱水的目的是()。
A、防止升温时安全阀起跳
B、防止塔升温时发生冲塔
C、防止容器升温时发生冒顶
D、防止降温时发生冻凝
56、问答题 请简述分馏系统瞬时停电的处理方法?
57、单项选择题 关于停车网络计划应标明的内容,下列说法不正确的是()。
A、参加检修的人员和施工单位名称
B、停车开始的准确时间
C、停车的范围
D、需要检测、检查、检修和清扫的设备
58、单项选择题 加氢精制是()反应。
A、强吸热
B、放热
C、强放热
D、吸热
59、单项选择题 采用炉前混氢的优点是()。
A、操作方便
B、油气混合均匀,有利于加氢反应
C、对炉管材质要求低
D、投资费用低
60、单项选择题 循环氢压缩机密封油蒸汽透平手动解扣试验前,()应正常运转。
A、密封油电动泵
B、密封油蒸汽透平
C、循环氢压缩机
D、循环氢蒸汽透平
61、单项选择题 关于加氢裂化液体产品按馏分范围的不同划分,下列说法错误的是()。
A、轻馏分油
B、中间馏分油
C、重馏分油
D、尾油
62、多项选择题 加氢裂化产物中气体有()三部分组成。
A、低分子烃类
B、非烃化合物
C、氮气
D、原料氢中带入的其它组分
63、单项选择题 单位质量的物质在一定温度下由液态转化为气态所需的热量称为()。
A、焓值
B、冷凝潜热
C、气化潜热
D、熵值
64、单项选择题 关于集散型控制系统运用的技术,下列描述不正确的是()。
A、计算机技术
B、通讯技术
C、机械制造技术
D、控制技术
65、多项选择题 影响回火脆性的主要因素是()。
A、温度和压力
B、化学成份
C、热处理
D、应力
66、问答题 什么叫做马达法辛烷值?
67、单项选择题 关于加氢裂化开车方案的审核要点,下列说法错误的是()。
A、开车顺序及步骤
B、开车危险性分析
C、开车安全注意要点
D、质量验收工作
68、多项选择题 加热炉主要由()、供风排烟系统五部分组成。
A、辐射室
B、对流室
C、余热回收系统
D、燃 烧系统
69、单项选择题 两段加氢裂化工艺流程中的第二段反应器的主要任务是()
A、原料油的预处理
B、将重质馏分油转化为轻质馏分
C、产品精制处理
70、单项选 择题 柴油产品的主要性能指标是()
A、冰点
B、凝点
C、十六烷值+闪点+凝点
D、烟点
71、单项选择题 关于开车方案,下列说法错误的是()。
A、开车方案应向班组公布
B、开车方案力求周密细致
C、开车方案需经技术总负责人批准方可执行
D、开车方案可由班组长编写并在实际开车中进行修改
72、多项选择题 压力表的连接管应定期()。
A、烘干
B、加热
C、吹扫
D、清洗
73、问答题 请简述设备大检修的特点和危险性。
74、多项选择题 加氢裂化()是节能的有效途径。
A、采用变频电机
B、投用液力透平
C、烟道气余热回收
D、保持较高的操作负荷
75、单项选择题 影响催化剂裂解选择性的因素有()
A、催化剂的形状和大小
B、催化剂的金属和活性相
C、催化剂的酸性
D、催化剂的金属搭配、酸性和孔结构
76、多项选择题 进入设备作业前,应分析()
A.可燃气体浓度
B.有毒物质浓度
C.有害物质浓度
D.氧含量
77、问答题 压缩机入口吸气阀倒气现象?
78、单项选择题 关于能够引起循环氢压缩机联锁的条件,下列描述不正确的是()。
A、高压分离器液位过高
B、润滑油高位槽液位过低
C、密封油高位槽液位过低
D、透平背压过高
79、填空题 对双环以上芳烃的加氢反应的热力学分析表明,对于多环芳烃的加氢反应提高操作压力十分必要,而为了能在热力学更为有利的低温下反应,必须开发()活性更高的新催化剂。
80、单项选择题 炉管表面热强度是管式加热炉的一个重要工艺指标,其最大允许值取决于炉管表面最大()。
A、平均温度
B、允许温度
C、操作温度
D、测量温度
81、单项选择题 单吸式离心油泵的表示符号是()。
A、R
B、W
C、S
D、Y
82、单项选择题 职业性氨中毒是在生产环境中短时间接触高浓度氨所致的()疾病。
A、以中枢神经系统病变为主的
B、以心、脑血管病变为主的
C、以皮肤损害为主的
D、以急性呼吸系统损害为主的全身性
83、单项选择题 提高反应温度能加快反应速度的根本原因是()。
A、活化分子增多
B、降低活化能
C、吸热反应
D、放热反应
84、多项选择题 仪表自动控制过程中,报警的方式有()
A.音响报警
B.灯光报警音响和灯光同时进行报警
C.自动打印报警
85、多项选择题 影响硫化效果的主要因素有()。
A、硫化温度
B、硫化时间
C、氢分压
D、硫化氢分压
86、单项选择题 电气设施发生火灾,首先应()。
A、扑救
B、切断电源
C、人员撤离
D、报警
87、单项选择题 加氢裂化生产石脑油的一个特点是()。
A、辛烷值较低
B、硫、氮含量不稳定
C、硫、氮含量较高
D、硫、氮含量极低
88、多项选择题 现场临时用电,配电箱要有()。
A、盖板
B、外壳
C、支架
D、防雨措施
89、问答题 请简述催化剂硫化结束需达到的条件。
90、单项选择题 关于氢/碳原子比的叙述中不对的是()。
A、链烷烃高于芳烃;
B、轻馏分的氢碳比高于重馏分;
C、烃类进行加氢反应时氢碳比提高;
D、前面三个选项中至少有一个是错的
91、问答题 请简述冷氢箱的作用。
92、单项选择题 常用做开工油的是()
A、直馏汽油馏分
B、直馏煤油馏分
C、直馏柴油馏分
93、问答题
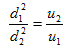
计算题:某液体在一变径管道中流动,已知其在细管中的流速u1=2m/s,在粗管中的流速u2=1.5m/s,细管内径d1=3.81cm,流动中的阻力损失忽略不计,求粗管的内径d2。
94、问答题 氢气在加氢反应中有何作用?
95、多项选择题 加氢裂化高压换热器在()条件下操作和运转。
A、高温高压
B、氢气
C、硫化氢介质的腐蚀
D、处于连多硫酸的腐蚀
96、单项选择题 正碳离子在()位最稳定,其它位的正碳离子易发生氢转移生成这种正碳离子,这种正碳离子是生成异构烷烃的中间体。
A、伯碳
B、仲碳
C、叔碳
C、季碳
97、单项选择题 精制反应深度增大,反映出的是精制油中氮含量()。
A、增加
B、减小
C、不变
D、无法确定
98、问答题 简述循环氢压缩机入口流量不足的原因分析?
99、问答题 为什么加氢裂化装置设有紧急泄压系统?
100、问答题 请简述循环氢压缩机透平暖管步骤。
101、多项选择题 换热器泄漏的判断方法有()。
A、外部观察
B、从低压侧采样分析
C、根据物料平衡分析
D、根据换热温度分析
102、多项选择题 加氢裂化低压蒸汽中断对()产生影响。
A、设备和管线伴热
B、仪表伴热
C、原料过滤器的冲洗
D、润滑油油箱加热
103、填空题 试油在测定条件下冷却至出现结晶之后,再使其温度上升至所形成的结晶消失的最低温度,称为油品的()。
104、单项选择题 催化剂器内再生过程的温度,是通过严格控制反应器入口温度和反应器入口循环气中的()来实现的。
A、冷氢流量
B、氮气流量
C、氧含量
D、硫化氢含量
105、单项选择题 通过对()的改变,可以大幅度地改变产品的产率和性质
A.反应温度
B.反应压力
C.氢分压
D.催化剂
106、多项选择题 影响加氢裂化的操作参数主要有()。
A、反应压力
B、反应温度
C、氢油比
D、空速
107、单项选择题 高压换热器的水压试验压力按操作压力的()进行试压。
A、1倍
B、1.2倍
C、1.5倍
D、1.8倍
108、问答题 请简述引起循环氢压缩机停车的联锁条件。
109、多项选择题 造成凝汽式循环氢蒸汽透平真空抽不上的原因有()。
A、中压蒸汽压力下降
B、管道泄漏
C、喷射泵设计缺陷
D、环境温度高
110、单项选择题 加氢裂化装置使用的高温高压换热器大多采用管壳式结构,通常为()。
A、套管式
B、浮头式
C、U型管式
D、直管式
111、单项选择题 UOP公司采用硅铝载体催化剂装在一个反应器中进行加氢裂化,主要目的在于生产(),其单段流程称为单段HCUnibon,以后也采用分子筛载体加氢裂化催化剂,原料油进入裂化催化剂反应器前仍须先进行加氢处理。
A、石脑油
B、中间馏分油
C、润滑油料
D、乙烯原料
112、问答题 油品的商品牌号是如何划分的?
113、单项选择题 关于石油馏分中芳烃分布正确的是()
A、多环芳烃主要存在于高沸点馏分中,单环至三环芳烃主要存在于中间馏分。
B、多环芳烃主要存在于中间馏分中,单环至三环芳烃主要存在于高沸点馏分。
C、直馏瓦斯油含芳烃较高,催化轻循环油含芳烃较低。
D、以上表述均不正确。
114、单项选择题 在循环氢压缩机润滑油系统联锁试验过程中,调节(),使润滑油泵透平转速超过红线,并能自动解扣停机。
A、主汽阀
B、蒸汽进口阀
C、蒸汽截止阀
D、针形阀
115、多项选择题 蒸汽透平的轴承包括()。
A、止推轴承
B、滑动轴承
C、径向轴承
D、高速轴承
116、单项选择题 关于催化剂钝化过程中,应使用低氮油的原因,下列说法正确的是()。
A、因为开工初期催化剂活性很高,如原料油中含氮量过高,则反应剧烈,反应温度不易控制
B、因为开工初期低氮油储存量多,所以开车过程中应使用低氮油
C、使用低氮油进行催化剂钝化可以减少分析采样次数
D、使用低氮油进行催化剂钝化可以缩短开车时间
117、单项选择题 两段工艺过程,物料在进裂化反应器前应()
A、尽量脱除水份
B、尽量脱除C3、C4,防过度裂解
C、尽量脱除硫化氢及氨
D、尽量脱除轻油
118、多项选择题 往复式压缩机带液时会产生什么现象()
A、机体及气缸等出现异常振动
B、电流大幅波动
C、流量、压力波动
D、管线振动
119、单项选择题 关于汽轮机运行中常见的故障,下列说法不正确的是()。
A、泄漏
B、断叶片、水冲击
C、超速飞车
D、振动
120、单项选择题 被输送介质粘度升高,它的()。
A、流量下降,扬程下降
B、流量升高,扬程下降
C、流量升高,扬程升高
D、流量下降,扬程升高
121、填空题 来自不同文献的研究结果均表明,温度对加氢裂化反应转换率的影响关系是:在一定的转化率范围内,温度与转化率呈()关系。
122、多项选择题 加氢裂化装置容易着火的部位有()。
A、原料油泵
B、高温、高压法兰
C、塔底泵
D、产品泵
123、单项选择题 含硫化合物加氢脱硫反应活性与分子结构及大小有关,下列表述正确的是()
A、碳原子数相同时硫醇<硫醚<噻吩;类型相同时分子量大<分子量小。
B、噻吩类:噻吩>苯并噻吩;噻吩类衍生物:取代基距硫原子位置远<取代基距硫原子位置近。
C、二苯并噻吩<苯并噻吩;噻吩类衍生物:二个取代基<无取代基。
D、碳原子数相同时硫醇>硫醚>噻吩;二苯并噻吩>苯并噻吩。
124、单项选择题 一端管板固定在壳体与管箱之间,另一端管板可以在壳体内自由移动的是()换热器。
A、固定管板式
B、U形管式
C、浮头式
D、板翘式
125、单项选择题 烷烃的热稳定性随分子量增大而()。
A、降低
B、不变
C、增大
D、无法判断
126、单项选择题 化剂钝化后换进原料油阶段,应严格控制精制油的()含量
A、铁
B、氮
C、硫
D、硫化氢
127、单项选择题 增压压缩机气阀性能最好的为()。
A、条状阀
B、网状阀
C、环状阀
D、球状阀
128、单项选择题 引起裂化催化剂永久性中毒的氮化物是()
A、无机氮
B、碱性氮化物
C、NH3
129、填空题 试油在规定的条件下冷却,在油品达到浊点之后若继续冷却,则可用肉眼观察到的结晶,此时的最高温度称为油品的()。
130、多项选择题 关于加氢裂化催化剂助剂的功能,下列说法不正确的是()。
A、提供加氢活性
B、提高比表面积
C、提供酸性和稳定性
D、改善加氢活性,改善表面结构和提高酸性
131、多项选择题 加热炉正常燃烧的现象有()。
A、燃料燃烧完全,炉膛明亮并且干净无烟
B、各火嘴火焰大小一致,互不干扰,做到多火嘴、齐火苗
C、火焰应直扑炉管
D、烟囱冒无色的烟,冬季为白色水汽
132、单项选择题 放热反应的速度随温度的升高而()
A、不变
B、升高
C、降低
D、先大后小
133、单项选择题 关于催化剂的下列叙述,不正确的是:()
A、催化剂不能改变反应的化学平衡
B、催化剂能使反应的活化能降低。
C、热力学上不能发生的反应催化剂也不能使其发生。
D、催化剂既能使反应的活化能降低,也能使热力学上能发生的反应使其不发生
134、单项选择题 当循环氢压缩机出现故障停运时,()。
A、降低原料油量
B、0.7MPa/min紧急泄压系统自启动
C、2.1MPa/min紧急泄压系统自启动
D、打开2.1MPa/min副线
135、单项选择题 对于同一种催化剂而言,反应速率取决于催化剂的()
A.寿命
B.组分
C.载体
D.活性
136、多项选择题 加氢裂化装置的核心设备是反应器,其主要特征是()。
A、设计和制造要求高
B、占地面积庞大
C、操作条件荷刻
D、停车检修时防止堆焊层开裂的要求高
137、多项选择题 容器出厂时的质量证明文件有()。
A、产品合格证
B、容器说明书
C、质量证明书
D、外包装标签
138、多项选择题 循环氢压缩机透平在启动前,由于蒸汽管道和阀门、法兰等处于冷状态,所以,应进行暖管,使()。
A、管路缓慢地受热
B、减少水击现象
C、均匀膨胀
D、减少热应力
139、单项选择题 人员进入反应器内部装填催化剂作业,应()分析一次氧含量和可燃气体含量。
A、2小时
B、4小时
C、6小时
D、8小时
140、多项选择题 关于加热炉的基本结构,下列说法正确的是()。
A、管式加热炉的核心部分是燃烧器
B、管式加热炉的核心部分是炉膛
C、对流室的温度越低,加热炉辐射传热效率越高
D、烟囱越高,炉膛抽力越大,通常炉膛负压控制在2~3mm水柱
141、多项选择题 加氢反应器内构件之一的汽液分配盘安装后,验收的内容有()。
A、检测分配盘水平度
B、检测连接螺栓是否牢固和钢性
C、进行漏液试验
D、检查汽、液分配盘的硬度和耐腐蚀能力
142、单项选择题 关于催化剂的发展类型,下列说法不正确的是()。
A、以无定形SiO2-Al2O3为载体的贵金属和非贵金属催化剂
B、以沸石分子筛为载体的贵金属和非贵金属催化剂
C、以硅酸分子筛为载体的贵金属和非贵金属催化剂
D、以无定形SiO2-Al2O3加少部分沸石分子筛为载体的贵金属和非贵金属催化剂
143、单项选择题 关于正碳离子的稳定性,有下述排列顺序,哪一种排列是正确的()
A、甲基>伯碳>仲碳>叔碳
B、叔碳>仲碳>伯碳>甲基
C、仲碳>伯碳>甲基>叔碳
D、伯碳>仲碳>甲基>叔碳
144、多项选择题 高压换热器系统的主要温度控制回路有()。
A、循环氢换热温度控制
B、原料油换热温度控制
C、低分出料换热温度控制
D、反应流出物冷却温度控制
145、单项选择题 催化剂硫化时要在150℃开始注二硫化碳,其原因是()。
A、防止硫化剂分解
B、防止催化剂被还原
C、防止有甲烷生成
D、以上答案都不对
146、单项选择题 加氢裂化加工损失是()。
A、指物料平衡
B、指热量平衡中的差额部分
C、指物料平衡中进料减去出料的差额
D、指排入污油系统的物料重量
147、多项选择题 关于加氢裂化烟道气余热回收系统的引风机现场巡检内容,下列说法正确的是()。
A、对引风机的轴承温度进行检查
B、对引风机的冷却水情况进行检查
C、检查引风机入口风压,发现风压过高,及时检查引风机运行情况
D、检查引风机的电机是否正常
148、单项选择题 关于芳烃加氢反应的热力学,下述叙述不正确的是:()
A、芳烃加氢反应是物质量减少的不可逆放热反应。
B、提高反应温度加氢反应的平衡常数下降。
C、从热力学的角度看,提高温度不利于芳烃加氢反应。
D、提高反应压力有利于芳烃加氢反应。
149、单项选择题 循环氢压缩机润滑油箱进行氮封的目的是()。
A、增加润滑油泵的进口压力
B、防止润滑油氧化
C、防止可燃气体积聚
D、对润滑油进行冷却
150、单项选择题 反应加热炉炉管壁温超高的原因有()。
A、炉管内结焦堵塞
B、炉内介质流量大
C、炉内含氧量高
D、耐火衬里损坏
151、多项选择题 机械密封有许多种类型,其中有()。
A、平衡型
B、单端面式
C、外装式
D、多弹簧式
152、单项选择题 加氢裂化循环水中断,分馏系统应尽量使用(),这可使停车处理时间更充余一些。
A、空冷
B、回流泵
C、熄火再沸炉
D、空冷和回流泵
153、单项选择题 循环氢压缩机密封油系统联锁试验应由()为主进行此项试验。
A、仪表人员
B、电气人员
C、工艺操作人员
D、设备管理人员
154、多项选择题 使换热管线产生裂纹、穿孔的主要原因为()
A.腐蚀
B.冲蚀
C.沉积腐蚀
D.温度、分压的波动
155、单项选择题 油品蒸发与()有关。
A、温度
B、凝点
C、闪点
D、沸点
156、单项选择题 关于加氢裂化装置工业水的用途,下列说法不正确的是()。
A、采样冷却
B、排放及渗漏
C、泵体冷却
D、检修时使用
157、填空题 对于不同的油品,使用不同的指标来评定其低温流动性。这些指标有浊点、()、()、凝点、()。
158、问答题 油中的微量金属元素的存在形态有哪些?
159、问答题 请简述无水氨储罐充装前的准备工作。
160、多项选择题 加氢裂化装置加工高硫原料以后,应()。
A、现场设置洗眼,喷淋设施
B、摸清硫化氢的分布情况
C、绘制硫化氢平面分布图
D、在硫化氢散发区域设置警示牌
161、问答题 请简述加氢裂化开车方案的主要内容。
162、多项选择题 循环氢压缩机的密封油系统的密封油具有()的作用。
A、密封
B、润滑密封室内的浮环
C、带走热量
D、冷却轴承
163、填空题 关联指数BMCI值又称芳烃指数,是依据油品最基本的两性质,即()和密度建立起的关联指标。
164、单项选择题 污垢篮的平面排列形状呈()。
A、三角形
B、四方形
C、圆形
D、无序形
165、多项选择题 关于加氢裂化的催化剂硫化,目前国内常用的方式()。
A、为器内硫化
B、为器外硫化
C、器外部分硫化法
D、为器内、器外混合法
166、问答题 什么是油品的露点和露点压力?
167、问答题 为什么泵的入口加过滤器?出口要加止逆阀?
168、填空题 研究结果表明,中间馏分油的产率随转化率的增加而(),但增幅()石脑油,并且愈重的部分增加愈少,甚至会下降。
169、填空题 氮化物HDN反应过程所涉及的三类反应是杂环的加氢饱和、芳环加氢饱和以及()反应。当然不是所有的氮化物都涉及这三类反应,因分子结构不同,可能分别涉及其中之一、二或全部。
170、多项选择题 对加热炉瓦斯燃料线上阻火器的作用描述不正确是()。
A、过滤燃料气中的杂质
B、防止火焰倒串回燃料气管网
C、防止脱火
D、使瓦斯充分燃烧且燃烧温度均匀
171、单项选择题 原料油中()含量高会导致系统压力上升且波动
A、硫
B、氮
C、水
D、重金属
172、单项选择题 在一个运行周期中,加氢裂化催化剂床层的温度是()。
A、稳定的
B、缓慢上升的
C、缓慢下降的
D、无法确定的
173、单项选择题 关于分程调节,下列说法不正确的是()。
A、分程调节就是一个调节器的输出信号送往两个或两个以上的调节阀
B、每个调节阀在调节器输出信号的某段范围内工作
C、分程调节就是二个调节器的输出信号送往两个或两个以上的调节阀
D、分程调节系统属于单回路的定值调节系统,其调节过程与简单调节系统一样
174、问答题 高分循环氢带油有何现象?
175、单项选择题 在加氢裂化反应中一般都采用较高的氢油比,以下哪项不是采用高氢油比的原因()
A、降低催化剂失活速度
B、床层取热
C、增加中间馏分油产率
D、提高氢分压
176、多项选择题 关于反应系统开车检查内容,下列说法正确的是()。
A、冷氢阀前截止阀是否打开
B、保温是否恢复
C、安全阀按规定定好压,并应有铅封标志
D、原料油泵入口阀打开
177、多项选择题 在使用相同的催化剂及加工工艺时,产品性质与下列因素()密切相关。
A、原料的族组成
B、转化率
C、氢分压
D、产品馏分切割点
178、单项选择题 催化剂硫化时,当反应器加热到290℃以上时,反应器出口H2S含量应保持在()。
A、0.1%~0.3%
B、0.1%~0.5%
C、0.5%~1.0%
D、1.0%~2.0%
179、单项选择题 认为利率纯粹是一种货币现象,利率水平由货币供给与人们对货币需求的均衡点决定的理论是()。
A、马克思的利率决定理论
B、实际利率理论
C、可贷资金论
D、凯恩斯的利率决定理论
180、单项选择题 在加氢精制反应中,最难进行的反应是()
A、脱硫
B、脱氧
C、脱氮
D、脱金属
181、单项选择题 航空煤油的主要性能指标是()
A、冰点+闪点+烟点
B、凝点+烟点
C、辛烷值+烟点
D、冰点+烟点
182、问答题 请简述进汽温度过高或过低对汽轮机运行的影响。
183、单项选择题 催化剂外润湿分率()
A、随着液相质量速率的增加,床层外润温分率减少。
B、随着液相质量速率的增加,床层外润温分率增加。
C、随着气相质量速率的增加,床层外润温分率增加。
184、多项选择题 高压换热器泄漏属()泄漏。
A、高压介质
B、高温介质
C、有毒有害介质
D、易燃易爆
185、单项选择题 填料塔打开人孔作业,应依次()进行。
A、从下而上
B、从上而下
C、从中间开始
D、从两端开始
186、单项选择题 人员进入反应器内部装填催化剂作业,应()h分析一次氧含量和可燃气体含量
A.2
B.4
C.6
D.8
187、单项选择题 硫化亚铁自燃的形式一般为()。
A、阴燃
B、出现火焰的燃烧
C、闪爆
D、猛烈燃烧
188、单项选择题 关于加氢裂化开车方案应包含的主要内容,下列叙述错误的是()。
A、设备吹扫及贯通试压工作
B、单机试运转工作
C、组织对装置的检修质量进行全面的验收工作
D、系统置换驱赶空气
189、单项选择题 加热炉进行系统水压时,应采用5℃以上洁净水,()含量不大于25PPm。
A、Cl-
B、S-
C、C-
D、P-
190、单项选择题 以下关于加氢裂化催化剂硫化的表述错误的是()
A、湿法硫化方式的硫化温度相对较高
B、催化剂湿法硫化的馏分油以直馏煤油馏分应用最多
C、含分子筛的加氢裂化催化剂,多采用湿法硫化
D、催化剂的干燥脱水,对于催化剂湿法硫化是十分必要和至关重要的
191、填空题 从未转化油的烃类组成分析,未转化油中富含烷烃和()烃。
192、多项选择题 加氢裂化催化剂活性衰退的主要原因有()。
A、毒化作用
B、碳沉积
C、结焦
D、温度过低
193、问答题 请简述设备“特级维护”的含义。
194、单项选择题 原料油的性质影响加氢裂化反应的()大小。
A、吸热量
B、深度
C、汽化量
D、速度
195、单项选择题 关于催化剂的布袋装填法(又称普通装填填法)与密实装填(或称密相装填)法,下列叙述正确的是()
A、采用布袋装填法时,反应器中心部位的密度偏大,周边偏小
B、密实装填法可使催化剂每个粒子均匀地分散在床层截面的恰当位置。
C、采用密实装填可改善反应器内流体分布。
D、采用密实装填时会增大床层的压降。
196、问答题 加氢反应器筒体材质是什么,为什么要内堆焊?
197、多项选择题 关于循环水中断对循环氢压缩机的影响,下列说法正确的是()。
A、润滑油透平轴承温度上升
B、密封油透平轴承温度上升
C、润滑油冷后温度,轴承回油温度及轴瓦温度上升
D、密封油冷后温度上升
198、多项选择题 绘制带控制点的工艺流程图前,应()。
A、熟悉工艺流程
B、了解仪表控制回路的情况
C、了解主要设备的作用
D、准备好绘图工具
199、单项选择题 备用泵每次盘车转()度
A、90
B、180
C、360
200、单项选择题 发生初起火灾时,应在()到来之前迅速有效地组织扑救,控制火情。
A、车间管理人员
B、装置领导
C、安全管理人员
D、消防人员