时间:2018-09-26 01:20:40


1、单项选择题 当企业的整体价值低于企业单项资产评估值之和时,通常的情况是()。
A.企业的资产收益率低于社会平均资金收益率
B.企业的资产收益率高于社会平均资金收益率
C.企业的资产收益率等于社会平均资金收益率
D.企业的资产收益率趋于社会平均资金收益率
2、单项选择题 当企业收益额选取净利润,而资本化率选择净资产净利润率时,其资本化结果应为企业的()。
A.投资资本价值
B.企业整体价值
C.股东全部权益价值
D.实收资本价值
3、问答题 某企业距其企业章程规定的经营期限只剩5年,到期后不再继续经营。预计未来5年的预期收益额为10万元、11万元、12万元、12万元和13万元,5年后,该企业的资产变现预计可收回100万元。假定折现率为10%。要求:试估测该企业价值。
4、单项选择题 待估企业预计未来5年的预期收益为100万元、120万元、150万元、160万元和200万元,从未来第6年起,企业的年预期收益将维持在200万元水平上。假定折现率与资本化率均为10%,采用分段法估测的企业价值最有可能是()万元。
A.2536
B.5360
C.1778
D.1636
5、问答题 某企业预计未来5年的预期收益额为10万元、11万元、12万元、12万元和13万元,并从第6年开始,企业的年收益额将维持在15万元水平上。假定折现率与资本化率均为10%。要求:试估测该企业持续经营条件下的企业价值
6、单项选择题 在一般情况下,用加权平均资本成本模型测算出来的折现率,适用于()口径的企业收益额的评估。
A.股权自由现金流量
B.企业自由现金流量
C.净现金流量
D.净利润
7、多项选择题 波特五力模型中的五力包括()。
A.购买者的议价能力
B.潜在竞争者进入的能力
C.行业内竞争者现有竞争能力
D.替代品的竞争能力
E.企业的生产能力
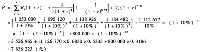
8、问答题 甲公司拟进行资产重组,委托资产评估机构对企业股东全部权益价值进行评估。评估基准日为2009年12月31日。评估人员经调查分析,得到以下相关信息:(1)甲公司经过审计后的有形资产账面净值为920万元,评估值为1000万元,负债为400万元。(2)企业原账面无形资产仅有土地使用权一项,经审计后的账面价值为100万元。评估人员采用市场法评估后的市场价值为300万元。(3)甲公司刚开发完成一套产品质量控制系统应用软件,在同行业中居领先地位,已经通过专家鉴定并投入生产使用。该软件投入使用后将有利于提高产品质量,增强企业竞争力,目前市场上尚未出现同类型软件。该套软件的实际开发成本为50万元,维护成本很低,目前如果重新开发此软件所需的开发成本基本保持不变。(4)甲公司长期以来具有良好的社会形象,产品在同行业中具有较强的竞争力。评估基准日后未来5年的企业净现金流量分别为100万元、130万元、120万元、140万元和145万元;从第6年起,企业净现金流量将保持在前5年各年净现金流量计算的年金水平上。(5)评估人员通过对资本市场的深入调查分析,初步测算证券市场平均期望报酬率为12%,被评估企业所在行业对于风险分散的市场投资组合的系统风险水平β值为0.7,无风险报酬率为4%。由于被评估企业是一家非上市公司,股权的流动性不强,且企业规模不大,估计该企业特定风险调整系数α为所在行业系统风险水平的1.08倍。(6)企业所得税税率为25%,甲公司能够持续经营。要求:
(1)根据所给条件,分别用资产加和法和收益法评估甲公司股东全部权益价值;
(2)对上述两种评估方法所得评估结果进行比较,分析其差异可能存在的原因;
(3)如果评估机构最终以上述两种评估方法所得结果的算术平均数作为评估结论,你认为是否妥当?应如何处理?
(4)给出甲公司股东全部权益价值的最终评估结果,并简单说明理由。(折现率取整数,其他计算小数点后保留两位)
9、多项选择题 从最直接的角度,运用收益法评估企业股东全部权益价值,其中收益额应选择()。
A.利润总额
B.净利润
C.利税总额
D.营业利润
E.股权自由现金流量
10、单项选择题 某待评估企业未来3年的预期收益分别为100万元、120万元和130 万元,根据企业实际情况推断,从第4年开始,企业的年预期收益额将在第3年的水平上以2%的增长率保持增长。假定折现率为8%,则该企业的评估值最接近于()万元。
A.2053
B.1614
C.1986
D.1600
11、单项选择题 被评估企业未来前5年预期收益现值之和为1500万元,折现率及资本化率同为10%,企业将一直持续经营下去。按年金法计算企业的整体价值最有可能的是()万元。
A.4000
B.3957
C.3950
D.3967
12、单项选择题 关于企业价值评估的成本法,以下说法不当的是()。
A.成本法应该称作"资产基础途径"中的"资产加和法"
B.成本法一般不应当作为唯一使用的评估方法
C.运用成本法评估企业价值存在两个障碍
D.在持续经营假设前提下,一般不宜单独运用成本法对企业价值进行评估
13、单项选择题 碘()
A.在核酸代谢、蛋白质代谢合成中发挥作用,出生前后,生长旺盛期
B.是合成甲状腺素的关键原料,直接参与糖、脂肪、蛋白质代谢
C.促进胰岛素激活,通过参与糖、蛋白质代谢,加速生长发育
D.是骨骼和牙齿的组成成分,调节体内水电平衡
E.与心血管结构关系密切以下各元素与人体哪一生理现象有关
14、单项选择题 被评估企业未来前5年收益现值之和为1500万元,折现率及资本化率同为10%,第6年企业预期收益为400万元,并一直持续下去。按分段法估算企业的价值最有可能的是()万元。
A.3980
B.3986
C.3984
D.3982
15、单项选择题 在企业价值评估中,估算股权投资折现率最为常用的模型是()。
A.模糊数学模型
B.加权平均资本成本模型
C.数理统计模型
D.资本资产定价模型
16、单项选择题 假设被评估企业所在的行业平均资金收益率为5%,净资产收益率为10%,而被评估企业预期年金收益为300万元,企业的股东全部权益价值(净资产现值)最有可能是()万元。
A.3000
B.6000
C.30
D.15
17、多项选择题 下列属于企业价值评估对象的有()。
A.企业整体价值
B.长期投资价值
C.长期负债价值
D.股东全部权益价值
E.股东部分权益价值
18、多项选择题 用于表达行业生命周期不同发展阶段的表述有()。
A.幼稚阶段
B.低谷阶段
C.成长阶段
D.衰退阶段
E.顶峰阶段
19、问答题 某企业预计未来5年的预期收益额为10万元、11万元、12万元、12万元和13万元,并从第6年开始,企业的年收益额将在第5年的水平上以1%的增长率增长。假定折现率与资本化率均为10%。要求:试估测该企业持续经营条件下的企业价值。
20、单项选择题 企业价值评估中选择折现率的基本原则之一是()。
A.行业基准收益率可以直接作为折现率
B.贴现率就是折现率
C.折现率不低于投资的机会成本
D.折现率不高于投资的机会成本
21、单项选择题 以下有关企业价值评估中的价值类型,表述不当的是()。
A.市场价值的公允合理性是面向整个市场的,而不是针对某个特殊投资者的
B.企业的投资价值可能高于、低于或正好等于企业的市场价值
C.企业的持续经营价值可能正好等于企业的市场价值
D.企业在清算前提下的清算价值必然小于企业在持续经营前提下的价值
22、单项选择题 假定市场平均收益率为10%,企业所在行业基准收益率为12%,无风险报酬率为4%。待评估企业的投资资本由所有者权益和长期负债两部分构成,其中所有者权益占投资资本的比重为60%,长期负债占40%,利息率为6%,待评估企业的风险系数(β)为1.2。该待评估企业投资资本的折现率最接近于()。
A.7.2%
B.8.2%
C.8.52%
D.11.2%
23、单项选择题 在企业价值评估中,投资资本是指()。
A.所有者权益+负债
B.所有者权益+流动负债
C.所有者权益+长期负债
D.长期投资
24、单项选择题 用于企业价值评估的收益额,一般不使用()。
A.利润总额
B.净利润
C.净现金流量
D.无负债净利润
25、问答题 某企业2008年被评估时,基本情况如下:(1)该企业未来5年预期净利润分别为100万元、110万元、120万元、120万元和130万元:(2)该企业适用的所得税税率为25%;(3)据查,评估基准日市场平均收益率为9%,无风险报酬率为4%,被评估企业所在行业的基准收益率为9%,企业的风险系数(β)为1.2;(4)该企业长期负债占投资资本的50%,平均长期负债利率为6%,未来5年中年平均长期负债利息额为20万元,年流动负债利息额为10万元;(5)被评估企业生产经营比较平稳,将长期经营下去。要求:试用年金法评估该企业的投资资本价值。根据题意:
26、多项选择题 按行业发展与经济周期变化的关系划分,行业通常被划分为()。
A.幼稚型行业
B.增长型行业
C.衰退行业
D.周期性行业
E.低俗行业
27、多项选择题 企业价值评估时,需要剥离并单独处理的资产通常有()。
A.非生产性资产
B.局部功能与整体企业功能不协调资产
C.能耗、料耗大的资产
D.闲置资产
E.融资租赁资产
28、多项选择题 运用市场法评估企业价值时,可选择的价值比率的种类包括()。
A.劳动类价值比率
B.资产类价值比率
C.效率类价值比率
D.其他特殊类价值比率
E.盈利类价值比率
29、单项选择题 企业价值评估与其他种类资产评估相比,()是其明显的特点之一。
A.采用多种评估方法评估
B.采用一种评估方法评估
C.整体性评估
D.单项资产评估值加总
30、多项选择题 运用收益法评估企业价值与运用资产基础法评估企业价值之间的差额可能是企业的()。
A.功能性贬值
B.实体性贬值
C.买卖溢价
D.商誉
E.经济性贬值
31、单项选择题 以下关于企业价值评估的特点,说法不正确的是()。
A.企业价值评估是一种整体性评估
B.决定企业价值高低的因素是企业的净资产
C.评估对象可以是由多个单项资产组成的资产综合体
D.评估对象可以是由多种单项资产组成的资产综合体
32、多项选择题 企业的收益有两种基本表现形式()。
A.企业净利润
B.企业利润总额
C.企业营业利润
D.企业净现金流量
E.企业息前净现金流量
33、单项选择题 用收益法评估企业股东全部权益价值时,为了保证折现率与收益额口径的匹配和协调,如果折现率采用加权平均资本成本模型,则收益额就应当选择()。
A.全投资自由现金流量
B.息前利润总额
C.股权自由现金流量
D.净利润
34、单项选择题 在下列收益率中,可作为企业价值评估折现率中的无风险报酬率的最好选择是()。
A.行业销售利润率
B.行业平均成本利润率
C.企业债券利率
D.国库券利率
35、多项选择题 测算风险报酬率的风险因素累加法,通常考虑的因素有()。
A.市场权益风险
B.公司规模风险
C.财务风险
D.市场经营风险
E.无风险报酬率
36、问答题 假定市场平均收益率为7%,无风险报酬率为4%,被评估企业的风险系数β为1.2。要求:试求被评估企业适用的折现率。
37、单项选择题 当企业收益额选取净利润,而资本化率选择总资产净利润率时,其资本化结果应为企业的()。
A.投资资本现值
B.总资产价值
C.所有者权益现值
D.净资产现值
38、单项选择题 企业价值评估范围是从企业()的角度界定的。
A.资金
B.规模
C.技术
D.产权
39、问答题
被评估企业是一个以生产出口矿产品为主业的矿山企业,2008年的收益情况见企业的利润表,其中表中补贴收入30万元中包括了企业增值税出口退税20万元和因水灾政府专项补贴10万元;表中营业外支出20万元为企业遭受水灾的损失支出。
经评估人员调查分析,预计2009~2012年企业的净利润将在2008年正常净利润水平上每年递增4%,2013~2020年企业净利润将保持在2009~2012年各年净利润按现值计算的平均水平上(年金)。根据最优原则,企业将在2020年年底停止生产实施企业整体变现,预计变现值约为80万元,假设折现率 为10%,现行的税收政策保持不变,试评估2008年12月31日该企业的价值。
要求:评估该企业2008年12月31日的价值(最终结果计算保留到个位)。
40、多项选择题 评估人员在评估企业股东部分权益价值时,在适当及切实可行的情况下应当考虑()。
A.控股权因素
B.固定股权因素
C.总股本因素
D.股权流动性因素
E.少数股权因素
41、单项选择题 假定社会平均资金收益率为10%,无风险报酬率为5%,被评估企业的β系数为1.2,则用于企业评估的折现率最接近于()。
A.12%
B.11%
C.10%
D.13.5%
42、单项选择题 运用收益法评估企业价值时,在正常情况下,收益预测的基础是()。
A.企业实际收益
B.企业净利润
C.企业净现金流量
D.企业客观收益
43、单项选择题 运用市场法评估企业价值,在选择参照物的过程中应遵循()。
A.替代原则
B.贡献原则
C.企业价值最大化原则
D.配比原则
44、多项选择题 运用资产加和法评估企业价值时,需要纳入评估范围的单项资产包括()。
A.现金
B.应付账款和预收账款
C.产品销售收入
D.无形资产
E.长期投资
45、多项选择题 在企业价值评估中,敏感性分析通常的步骤有()。
A.选取不确定因素
B.选取可比公司
C.确定敏感性分析对象
D.测算不确定因素变动时对企业价值的影响程度
E.财务数据监测
46、多项选择题 企业投资资本收益体现的权益有()。
A.所有者的权益
B.投资者的权益
C.债权人的权益
D.行业的权益
E.使用人权益
47、单项选择题 企业价值评估的参考企业比较法和并购案例比较法,二者的核心问题是()。
A.选择适宜的参考对象
B.确定适当的价值比率
C.测算准确的折现率
D.确定合理的可比指标
48、单项选择题 当运用收益法评估企业价值的结果高于运用资产基础法评估该企业价值的结果时,其中的差异可能是企业()的价值表现。
A.管理人员年金
B.商誉
C.规模
D.可辨认无形资产
49、问答题 假定市场平均收益率为8%,无风险报酬率为4%,被评估企业的风险系数β为1.5,被评估企业长期负债占全部投资资本的40%,平均利率为6%,所有者权益占投资资本的60%,所得税税率为25%。要求:试求用于评估该企业投资资本价值的资本化率。
50、单项选择题 目前较为常用的企业收益预测方法不包括()。
A.综合调整法
B.直接法
C.产品周期法
D.实践趋势法
51、问答题 某企业预计未来5年的预期收益额为10万元、11万元、12万元、12万元和13万元。假定折现率与资本化率均为10%。要求:试用适当的技术方法估测该企业持续经营条件下的企业价值。
52、单项选择题 以下有关折现率的说法,正确的是()。
A.折现率和资本化率在本质上是相同的,都属于投资报酬率
B.现实生活中,国库券和银行储蓄利率就相当于风险投资报酬率
C.行业基准收益率可作为确定折现率的重要参考指标,或直接作为折现率
D.现实生活中,银行贴现率可以看作企业评估的折现率
53、单项选择题 在企业价值评估中,针对被评估企业客户聚集度过高的情况,通常需要在评估中考虑()。
A.公司正常溢价
B.公司规模风险
C.公司经营溢价
D.公司特别风险
54、单项选择题 运用收益法进行企业价值评估,其前提条件是()。
A.企业具有生产能力
B.企业各项资产完好
C.企业能够持续经营
D.企业具有商誉
55、单项选择题 运用直接法评估企业价值,选择什么口径的收益额作为评估参数是与()相匹配的。
A.企业价值评估的方法
B.企业价值评估的折现率
C.企业价值评估的假设条件
D.企业价值评估的价值标准
56、单项选择题 从本质上讲,企业价值评估的对象是()。
A.企业的生产能力
B.企业的全部资产
C.企业整体价值
D.企业有形资产
57、单项选择题 某企业距其企业章程规定的经营期限只剩5年,到期后不再继续经营。预计未来5年的预期收益额为100万元、110万元、120万元、120万元和130万元。5年后,该企业变现预计可收回1000万元。假定折现率为10%,则该企业价值最有可能为()万元。
A.1065
B.1100
C.1000
D.1056
58、问答题 某企业2008年被评估时,基本情况如下:(1)该企业未来5年预期利润总额分别为100万元、110万元、120万元、120万元和130万元,从第6年开始,利润总额将在第5年的基础上,每年比前一年度增长2%;(2)该企业适用的所得税税率为25%;(3)据查,评估基准日市场平均收益率为9%,无风险报酬率为4%,被评估企业所在行业的基准收益率为9%,企业的风险系数(β)为1.2;(4)被评估企业生产经营比较平稳,将长期经营下去。要求:试评估该企业的股东全部权益价值。
59、单项选择题 待估企业预计未来5年的预期收益为100万元、120万元、150万元、160万元和200万元。假定折现率与资本化率均为10%,企业的评估价值最有可能是()万元。
A.1414
B.5360
C.141
D.20319
60、单项选择题 企业价值评估的一般范围通常是指()。
A.企业产权涉及的具体资产范围
B.企业股权涉及的具体资产范围
C.企业净资产涉及 的具体资产范围
D.企业注册资本涉及的具体资产范围
61、多项选择题 企业价值评估的一般范围包括,被评估企业()。
A.本部拥有的资产
B.全资子公司资产
C.产业链上的企业
D.控股子公司中拥有的资产
E.拥有的非控股子公司的股份