时间:2018-09-26 00:35:41


1、单项选择题 六氟化硫介质,具有优越的()性能。
A.绝缘;
B.灭弧;
C.绝缘和灭弧;
D.冷却。
2、问答题 并联电容器的补偿方式有几种?
3、单项选择题 在计算复杂电路的各种方法中,最基本的方法是()法。
A.支路电流;
B.回路电流;
C.叠加原理;
D.戴维南原理。
4、问答题
如图所示的电路,利用戴维南定理求支路电流I3。已知E1=140V,E2=90V,R1=20Ω,R2=5Ω,R3=6Ω。

5、单项选择题 三相异步电动机接通电源后启动困难,转子左右摆动,有强烈的“嗡嗡”声这是由于()。
A.电源一相断开;
B.电源电压过低;
C.定子绕组有短路;
D.原因不定。
6、判断题 变压器不对称运行,对变压器本身危害极大。()
7、单项选择题
如图所示三极管电路,试指出其电路的连接方式为()。

A.共基极电路;
B.共射极电路;
C.共集电极电路;
D.其他形式。
8、名词解释 回路
9、判断题 为防止厂用工作母线失去电源,备用电源应在工作电源的断路器事故跳闸前自动投入。()
10、单项选择题 启动多台异步电动机时,可以()。
A.一起启动;
B.由小容量到大容量;逐台启动;
C.由大容量到小容量逐个启动;
D.一齐启动。
11、单项选择题 共射极放大电路中,输入信号加在三极管的()。
A.基极与发射极之间;
B.基极与集电极之间;
C.发射极与集电极之间;
D.其他连接方式。
12、单项选择题 对称三相电路的有功功率P为()。
A. ULILcosθph;
B. ULILcosθL;
C. UphIphsinQL;
D. UphIphsinθph。
13、单项选择题 电压互感器的二次绕组严禁()。
A.开路运行;
B.短路运行;
C.负载是容性;
D.负载是感性。
14、问答题 制图题:一个螺管线圈,其电流由左端流进,右端流出。按电流方向画出螺管线圈的磁力线方向。
15、判断题 一个线圈的电感与外加电压无关。()
16、判断题 要使两电源间同期并列,若同期表指针均匀 转动一周的时间为5s,断路器合闸时间为0.4s,则同期表指针应提前24.5°角合闸。()
17、判断题 当系统振荡或发生两相短路时,会有零序电压和零序电流出现。()
18、问答题 简述少油断路器的作用原理是什么?
19、问答题 有额定值分别为220V100W,和100V、60W的白炽灯各一盏,并联后接到48V电源上,问哪灯泡亮些?
20、单项选择题 变压器二次电压相量的标志方法和电动势相量的标志方法()。
A.相反;
B.相同;
C.相似;
D.无关系。
21、单项选择题 通过人体电流的大小主要决定于施加于人体的电压和人体电阻。一般情况下成年人体的电阻是:()。
A.100~200Ω;
B.1000~2000Ω;
C.10000~20000Ω;
D.20000以上。
22、问答题 氢冷发电机为什么可用二氧化碳作为置换的中间介质,而不能在充二氧化碳的情况下长期运行?
23、问答题 制图题:一个载流直导体,按截面电流的方向(流出纸面),画出周围磁力方向。
24、判断题 发电机转子回路发生一点接地故障时,其励磁绕组的电压降低。()
25、问答题
如图所示发电机的内阻是0.1Ω,每个输电线的电阻rL=0.1Ω,负载电阻R=22Ω,电路中电流强度是I=10A。求负载两端电压UR是多少?发电机的电动势E是多少?端电压U是多少?整个外电路上消耗的功率P外是多少?负载获得的功率PR是多少?输电线损失功率PL是多少?发电机内P发热损失功率P内是多少?发电机发出的有功功率P是多少?

26、单项选择题
三极管放大器电路如图所示,Ui-输入电压,Uc-输出电压,Rb-基极电阻,Rc-集电极电阻,RL-负载电阻,Ec-电源电动势,C1、C2-电容。当接上负载电阻RL后,放大器的电压放大倍数()。

A.大;
B.减少;
C.不变;
D.无法定。
27、单项选择题 选择一台异步电动机连续工作时的保险丝的额定电流按()。
A.该台电机的额定电流
B.启动电流
C.是额定电流的2.3~3.2倍
28、问答题
三相电动机两定子绕组为星形连接,(相电压Uph为220V),功率因数是0.8,输入功率为3kW,求线路上的电流IL是多少?
29、问答题 什么是电击伤?
30、问答题
在图所示电路中,已知电阻R1=R4=30Ω,R2=15Ω,R3=10Ω,R5=60Ω,通过电阻R4支路的电流I4=0.2A,试根据以上条件求电路中的总电压U和总电流I的值各是多少?

31、单项选择题 对称三相交流电路,中性点电压等于()。
A.0;
B.1;
C.
;
D.
。
32、单项选择题
如图所示三极管,用试验方法测得三极各端电压分别为1端对地-6.2V,2端对地-6V,3端对地-9V,则发射极为()。

A.1端;
B.2端;
C.3端;
D.不能定。
33、判断题 可以用三相三柱式电压互感器测量相对地电压。()
34、问答题 从事电业工作中造成触电的原因主要有哪些?
35、单项选择题 两个电阻并联,R1=2Ω,通过的电流为5A,R2=4Ω,通过的电流应是()。
A.8A;
B.3.5A;
C.10A;
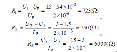
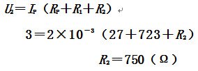
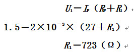
D.2.5A。
36、填空题 一般油脂的加工方法有:()、熬炼法、()、机械分离法。
37、判断题 电容器充电时的电流,由小逐渐增大。()
38、单项选择题 蓄电池充电结束后,连续通风()小时以上,室内方可进行明火工作。
A.2;
B.1;
C.半;
D.1.5。
39、判断题 变压器的三相连接方式,最常用的就是星形和三角形连接。()
40、判断题 叠加原理,可用于所有电路。()
41、单项选择题 三极管集电极的作用是()。
A.发射载流子;
B.输送和控制载流子;
C.收集载流子;
D.不一定。
42、单项选择题 电流互感器的二次绕组严禁()。
A.开路运行;
B.短路运行;
C.负载是容性;
D.负载是感性。
43、判断题 异步电动机相间突然短路,当发生在定子绕组端部附近时,故障最严重。()
44、问答题
如图所示利用节点电压方法求电动势分别为E1、E2的电源1、电源2各发出功率,以及负载R上消耗功率PR。
电源2各发出功率,以及负载R上消耗功率PR。

45、单项选择题 在一个电阻上加电压10V时,电阻中流过2A的电流,若在此电阻上加电压20V时,电阻中流过的电流是()。
A.1A;
B.1.5A;
C.3A;
D.4A。
46、问答题 一个负载为星形接线,每相电阻R为5Ω,感抗XL为4Ω,接到线电压UL为380V的对称三相电源上,求负载电流。
47、问答题
有一△形接线的对称负载,接到380V对称三相电源上,每相负载电阻R=16Ω,感抗XL=12(Ω),试求负载的相电流Iph和线电流IL各是多少?
48、问答题
已知电路中电压
,电流i=ImsinwtA,电路频率为50Hz。试求电压与电流的相位差,并说明两者相位是超前还是滞后的关系?两者时间差是多少?
49、单项选择题 在电阻串联电路中,每个电阻上的电压大小()
A.与电阻大小成正比;
B.相同;
C.与电阻大小成反比;
D.无法确定。
50、单项选择题 电力系统在(运行)中,受到大的干扰时,同步发电机仍能维持稳定运行,称为()。
A.动态稳定;
B.静态稳定;
C.系统抗干扰能力;
D.暂稳态。
51、判断题 采用(V-V型)接线的电压互感器,只能测量相电压。()
52、判断题 在由零序电压滤过器组成的距离保护的电压断线闭锁装置中,有一个零序电流继电器是起反闭锁作用的。
53、问答题 制图题:画出变压器过电流保护(单相)原理接线图。
54、问答题 变压器运行中应作哪些检查?
55、判断题 电力系统电压过高会使并列运行的发电机定子铁芯温度升高。()
56、问答题 制图题:画出(全阻抗)继电器特性图(Z′=Z″)。
57、单项选择题 要求酿造大麦水分含量在()以下,否则来源:91考试网 91EXAm.org难以贮存。
A、25%
B、20%
C、15%
D、13%
58、判断题 距离保护是反应故障点到保护安装处的电气距离,并根据此距离的大小确定动作时间的一种保护。
59、单项选择题 电压表应()在被测电路中。
A.串联;
B.并联;
C.串、并均可;
D.混联。
60、单项选择题 对称三相交流电路总功率等于相功率的()倍。
A.
;
B.3;
C.
;
D.
61、判断题 把电容器串联在供电线路上叫串联补偿。()
62、判断题 电路中两个或两个以上元件的连接点叫做节点。()
63、判断题 把电容器与负载或用电设备并联叫并联补偿。()
64、判断题 (电磁式)测量仪表,既能测量交流量,又能测量直流量。()
65、问答题 晶体管有哪些主要参数?
66、问答题 两台变压器并联的条件是什么?
67、单项选择题 变压器温度计所反映的温度是变压器的()
A.上部温度;
B.中部温度;
C.下部温度;
D.匝间温度。
68、单项选择题 蓄电池是一种储能设备,它能把电能转变为()能。
A.热;
B.化学;
C.机械;
D.光。
69、单项选择题 电功率的计算公式P=UI,式中的U表示用电器两端的电压,I为通过用电器的电流,此公式适用于()。
A.计算电风扇的电功率;
B.计算电灯泡的电功率;
C.计算蓄电池充电的电功率;
D.计算电风扇、电灯泡、蓄电池的充电的电功率。
70、单项选择题 发电机正常运行时既发有功,也发无功,我们称为功率迟相(又称滞后)。此时发电机送出的是()无功功率。
A.感性的;
B.容性的;
C.感性和容性的。
D.都不是
71、问答题 有一平板电容器,极板的有效面积S为10cm2,用云母作为介质,其厚度d为0.3mm,云母的相对介电系数ε1为7,求此电容器电容量是多少?
72、问答题 一单相电动机由220V的电源供电,电路中的电流为11A,cosφ=0.83。试求电动机的视在功率S,有功功率P、无功功率Q。
73、判断题 一切物体的负电荷的总量,永远多于正电荷的总量,否则就不会有多余的电子流动以形成电流。()
74、判断题 金属导体的电阻与外加电压无关。()
75、判断题 改善异步电动机的启动特性,主要指降低启动时的功率因数(降低启动电压),增加启动转矩。()
76、判断题 在串联电路中,总电阻等于各电阻的倒数之和。
77、问答题 功率放大器有哪几类工作状态?
78、问答题 线电压UL为220V的三相交流电源与星形连接的三相平衡负载相接,线电流为10A,负载消耗的有功功率为3kW,试求负载等效星形电路各相的电阻和电抗各是多少?
79、判断题 异步电动机定子电流为空载电流与负载电流的和。()
80、单项选择题 单位时间内,电流所做的功称为()。
A.电功率;
B.无功率;
C.视在功率;
D.有功率加无功率。
81、判断题 发电机转子回路两点接地保护投入后,应将横差保护退出运行。()
82、判断题 异步电动机的三相绕组,其中有一相绕组反接时,从电路来看,三相负载仍是对称(还对个屁称)的。()
83、问答题 电力电容器的型号都代表什么?
84、问答题 自动电源自投入装置(BZT)是由哪几部分组成的?各部分的作用是什么?
85、问答题 变压器温度计所指温度是哪一部位的温度?
86、判断题 发生接地故障时,特有的电气量是零序电压和零序电流。()
87、判断题 电势和电压的方向一样,都是由高电位指向低电位。()
88、判断题 复杂电路与简单电路的根本区别,在于电路中元件数量的多少。()
89、单项选择题 整流式电流表能测出()是它的特长
A.畸变交流电流;
B.交流毫安级至安培级电流;
C.直流微安级电流;
D.直流大电流。
90、问答题 制图题:画出升压变压器低阻抗保护原理图。
91、名词解释 网孔
92、判断题 同步发电机失磁时,无功功率表指示在零位。()
93、名词解释 支路
94、判断题 叠加原理也适用于电路功率计算。()
95、单项选择题 发电机带部分有功负荷运行,转子磁极轴线与定子磁极轴线的相互位置是()。
A.限制负载电流;
B.限制激磁电流;
C.限制调压环流;
D.不限电流。
96、单项选择题 在有关电机绕组的图纸上,标出电流流出导线的符号是()。
A.
;
B.○;
C.⊙;
D.。
97、单项选择题 对称三相电源星形连接时,线电流等于()。
A.相电流;
B.相电流的倍
;
C.额定容量除以额定电压;
D.2倍相电流。
98、单项选择题 多台电动机的公用保险丝的额定电流,是按()。
A.其中最大额定电流的3倍;
B.各台额定电流之和;
C.功率最大的一台电动机额定电流的1.5~2.5倍,加上其他同时工作的电动机额定电流之和来确定;
D.最大电流的1.5~2.5倍。
99、单项选择题 自耦变压器公共线圈中的电流,等于一次电流和二次电流的()。
A.代数和;
B.相量和;
C.相量差;
D.无关。
100、判断题 电容量的大小,反映了电容器储存电荷的能力。()
101、判断题 在同样的绝缘水平下,变压器采用星形接线比三角形接线可获取较高的电压。()
102、单项选择题 发电机并列过程中,当发电机电压与系统电压相位不一致时,将产生冲击电流,此冲击电流最大值发生在两个电压相差为()时。
A.0°;
B.90°;
C.180°;
D.100°。
103、问答题
图为三量程电压表的电路图,电流计P的动圈电阻为27Ω,最大允许电流为2mA,求相对于量程U1为1.5V,U2为3V,U3为15V的三挡的电阻R1、R2、R3的数值。
104、单项选择题 一般交流电压表和电流表的表盘刻度都是前密后疏,这是由于使指针偏转的力矩与所测量的电压或电流的()成比例的缘故。
A.平均值;
B.有效值;
C.平方值;
D.瞬时值。
105、判断题 电网电压过低会使并列运行中的发电机定子绕组温度升高。()
106、判断题 整流型距离保护的负序电流元件,是测量元件的闭锁元件。
107、问答题 电容器的放电电阻应符合哪些要求?
108、问答题 发电机运行时,内部有哪些损耗?
109、判断题 输电线路本身的零序阻抗大于正序阻抗。()
110、问答题 制图题:画出电阻、电感并联单相交流电路图及电流相量图。
111、问答题 变压器在什么情况下要进行特殊检查?
112、填空题 变压器正常过负荷的必要条件是,不损害()。
113、判断题 变压器的寿命是由线圈绝缘材料的老化程度决定的。()
114、单项选择题
三极管反向饱和电流Icbo与发射极穿透电流Iceo之间的关系为(),β为电流放大倍数。
A.Iceo=Icbo;
B.Iceo=(β+1)Icbo;
C.Iceo=βIcbo;
D.Iceo=(β-1)Icbo。
115、判断题 雷电流由零值上升到最大值所用的时间叫波头。()
116、单项选择题 在电阻、电感、电容组成电路中,不消耗电能的元件是()。
A.电感、电容;
B.电阻与电感;
C.电容与电阻;
D.电阻。
117、判断题 导线越长,电阻越大,它的电导也就越大。
118、单项选择题 变压器的油枕容积应保证变压器在环境温度()停用时,油枕中要经常有油存在。
A.-10℃;
B.-20℃;
C.-30℃;
D.0℃。
119、单项选择题 对称三相电源星形连接,线电压等于()。
A.相电压;
B.
倍的相电压;
C.3倍相电压;
D.2倍的相电压。
120、问答题
图所示电路,已知E1=100∠26°V,E2=60∠0°,Z1=j1Ω,Z2=-j5Ω,Z3=20Ω。求试用弥尔曼定理求各支路电流I2、I3、各是多少?

121、判断题 距离保护在多电源的复杂网络中,有很高的工作可靠性。()
122、 单项选择题 对称三相电源三角形连接,线电流是()。
A.相电流;
B.3倍的相电流;
C.2倍的相电流;
D.
倍的相电流。
123、问答题 制图题:画出电流相位()比较式继电器接线图。
124、单项选择题 交流电动机静子、转子间空气间隙的最大值或最小值与平均值之间误差;规定不大于()。
A.5%;
B.10%;
C.15%;
D.20%。
125、单项选择题 在没有专用验电器的特殊情况下,允许使用绝缘棒(绝缘拉杆),对()的电气设备进行验电。
A.10kV以下;
B.35kV及以上;
C.35kV及以下;
D.66kV。
126、问答题 制图题:画出电阻、电感串联后再与电容并联的交流电路及相量图。
127、单项选择题 黄色试温腊片,在常温下()时开始熔化。
A.40℃;
B.50℃;
C.60℃;
D.70℃。
128、问答题 变压器投入运行前应做哪些检查?
129、单项选择题 电阻的单位是()。
A.焦耳;
B.欧姆;
C.西门子;
D.电抗。
130、问答题
制电路如图所示,其各相电阻分别为Ra=Rb=20Ω,Rc=10Ω。已知的线电压UL=380V,求(相电流)、线电流和中性线电流各是多少?

131、单项选择题 在电阻、电感、电容和电抗组成的电路中,消耗电能的元件是()。
A.电阻;
B.电感;
C.电抗;
D.电容。
132、单项选择题 电阻的单位是欧姆用()字母表示。
A.Ω;
B.U;
C.ρ;
D.Q。
133、单项选择题 红色试温腊片,在常温下()时开始熔化。
A.80℃;
B.90℃;
C.100℃;
D.105℃。
134、判断题 稳压管的作用是在电源电压上,可起到稳压和均压作用。()
135、问答题
如图所示电路。求各支路电流I1、I2、I3是多少?

136、问答题 制图题:画出两个条形磁铁,同性磁极(同N极)相互接近时磁力线方向。
137、单项选择题 对称三相电源三角形连接时,线电压是()。
A.相电压;
B.2倍的相电压;
C.3倍的相电压;
D.
倍的相电压。
138、判断题 当发生单相接地故障时,零序功率的方向可以看做以变压器中性点为电源向短路点扩散。()
139、单项选择题 绿色试温腊片,在常温下()时开始熔化。
A.60℃;
B.70℃;
C.80℃;
D.90℃。
140、单项选择题 用一直流电压表和一直流电流表测量一分流器的电阻时,常用两种接线方式:甲分流器与电流表串联后再与电压表并联;乙分流器与电压表并联后再与电流表串联,比较两种接线的测量误差,()。(这就是高中物理里电路中电流表的内接和外接)
A.甲比乙小;
B.乙比甲小;
C.甲乙一样;
D.无规律性。
141、问答题 制图题:画出油泵电机()三相交流回路图。
142、判断题 在相同工作电压下的电阻元件,电阻值越大的功率越大(小)。()
143、判断题 电路中的任一闭合路径叫做回路。()
144、问答题 变压器的温度与温升有什么区别?
145、单项选择题
在星形连接的对称电路中,线电压UL等于()倍相电压Uph。
A.
;
B.3;
C.
;
D.
。
146、问答题 制图题:画出电阻、电容串联单相交流电路图及电压相量图。
147、问答题 制图题:画出发电机动态稳定曲线。
148、问答题 制图题:画出电阻、电感串联(单相)交流电路图及电压相量图。
149、单项选择题 电动机在运行时,其操作盘上的()指示灯亮。
A.绿色;
B.黄色;
C.白色;
D.红色。
150、判断题 变压器空载合闸时,由于励磁涌流存在的时间很短,所以一般对变压器无危害。()
151、单项选择题 一台降压变压器,如果一、二次绕组使用同一种材料和相同截面积的导线制成,在投入运行时,将产生()的现象
A.两个绕组发热量一样;
B.二次绕组发热量较大;
C.一次绕组发热量较大;
D.无规律变化。
152、判断题 流过电阻的电流与电阻成正比,与电压成反比。()
153、问答题 制图题:画出中性点非直接接地电力网绝缘监察装置接线图。
154、判断题 在复杂的电网中,方向电流保护往往不能有选择地切除故障。()
155、判断题 晶体三极管最基本的作用是“放大”。()
156、单项选择题 如图所示电路用电流表和电压表测量电阻阻值的两种电路,当电阻R的阻值较小时,较准确的测量电阻的阻值,应 选择()电路。
A.
B.
C.
D.
157、问答题 测量某电动机的电压为380V,电流是20A。试求电压、电流的最大值,已知电压超前电流60°,试写出电压电流的瞬时值表达式。
158、问答题
电路如图所示,图中E=12V,Rab=4Ω,Rac=8Ω,Rab=4Ω,Rbd=2Ω,Rbc=4Ω参数用三角、星形变换求支路电流I1是多少?

159、判断题 超高压系统产生的电晕是一种无功功率损耗。()
160、问答题 什么是电灼伤?
161、判断题 蓄电池的自放电是一种现象,而不会引起损耗。()
162、判断题 在一个串联电阻的电路中,它的总电流也就是流过某一个电阻的电流。()
163、判断题 变压器输出无功功率,也会引起有功损耗。()
164、问答题 某正弦电流的初相角为30°,在t=T/2时,瞬时值为-0.4A,求这个正弦电流的有效值。
165、填空题 电阻的英文是()。
166、判断题 按正弦规律变化的交流电的三个要素是有效值(幅值)、频率和电位差(相位)。()
167、问答题 如图所示,已知E1=18V,r1=1Ω,r2=1Ω,E4=10V各电阻R1=4Ω,R2=2Ω,R3=6Ω,电压表的读数U1是28V,试求电源电压E2是多少A、B、C、D各点的电位。
168、问答题 一台三相的变压器的低压侧线电压为6000V电流为10A,功率因数cosφ=0.866,求有功功率P,视在来源:91 考试网功率S,无功功率Q。
169、问答题 触电时电流通过人体的路径有哪几种?
170、单项选择题 电气设备对地电压在()及以上为高压。
A.220V;
B.250V;
C.380V;
D.450V
171、多项选择题 导体对电流的阻力是()。
A.电纳;
B.电阻;
C.导纳;
D.阻抗。
172、单项选择题 男孩,4岁。因发热、呕吐2天,抽搐1次来院急诊。体检:神萎,颈抵抗,心、肺检查无异常,腹软,肝、脾无肿大,布氏征阳性,双侧巴氏征阳性,背部发现一疖肿,周围发红。脑脊液外观混浊,白细胞数2500×10/L,中性粒细胞0.90,糖1.68mmol/L,蛋白1.2g/L,氯化物118mmol/L。诊断首先考虑()
A.病毒性脑膜炎
B.化脓性脑膜炎
C.结核性脑膜炎
D.隐球菌脑膜炎
E.淋巴细胞脉络丛脑膜炎
173、判断题 在电阻并联的电路中,总电流、总电压都分别等于各分电阻上电流、分电压之和。()
174、问答题 制图题:画出一个条形磁铁的磁力线方向。