手机用户可
保存上方二维码到手机中,在
微信扫一扫中右上角选择“从
相册选取二维码”即可。
	       
1、问答题  VXI总线仪器有何优点?为何得到广泛应用?
                    
 
	
	点击查看答案
 本题答案:VXI总线仪器具有标准开放、结构紧凑、数据吞吐能力强、
本题解析:试题答案VXI总线仪器具有标准开放、结构紧凑、数据吞吐能力强、定时和同步精确、模块可重
复利用、众多仪器厂家支持的特点,得到了广泛应用。
	
	
	        2、问答题  简述电动式功率表的工作原理。
                    
 
	
	点击查看答案
 本题答案:仪表中有两个线圈,一个是固定的,另一个是活动的,两个线圈串联
本题解析:试题答案仪表中有两个线圈,一个是固定的,另一个是活动的,两个线圈串联相接。其中一个线圈通入负载电流,称为电流线圈;另一个线圈通入与负载电压有关的电流,称为电压线圈。其仪表指针的偏转量与通过电流线圈和电压线圈的电流之积成正比关系。为了保证测量的可靠与准确,电流线圈常用粗线绕制,且电感量尽量小,以减小测量时电流线圈上的压降;电压线圈常用细线绕制,且电感量尽量大,以减小测量时电压线圈上的电流损耗。
	
	
	        3、问答题  
	伏—安法测电阻的两种电路示于题2.15图(a)、(b),图中○A为电流表,内阻RA,○V为电压表,内阻Rv,求:
	①两种测量电路中,由于RA、Rv的影响,只。的绝对误差和相对误差各为多少?
	②比较两种测量结果,指出两种电路各自适用的范围。
	 
	
                     
	
	点击查看答案
 本题答案: 试题答案
试题答案
	
	
	        4、问答题  使用扫频仪测量某一网络,当输出粗衰减和细衰减分别置于0dB及3dB时,屏幕上的取下你高度为4格;将扫频输出与检波探头对接,重调粗、细衰减分别为20dB和5dB时,两条水平亮线间的距离为4格。问该被测网络是放大器还是衰减器?其放大倍数或衰减倍数为多少?
                    
 
	
	点击查看答案
 本题答案: 试题答案
试题答案
	
	
	        5、问答题  调谐式高频振荡器主要有哪三种类型?振荡频率如何确定和调节?
                    
 
	
	点击查看答案
 本题答案:调谐信号发生器的振荡器通常为LC振荡器,根据反馈方式,
本题解析:试题答案调谐信号发生器的振荡器通常为LC振荡器,根据反馈方式,又可分为变压器反馈式、电感反馈式(也称电感三点式或哈特莱式)及电容反馈式(也称电容三点式或考毕兹式)三种振荡器形式。
变压器反馈式振荡器的振荡频率:
电感反馈式振荡器的振荡频率:
电容反馈式振荡器的振荡频率:
通常用改变电感L来改变频段,改变电容C进行频段内频率细调。
	
	
	        6、单项选择题  使用直流电流表进行测量,需等指针稳定后方可读书,此时,表头线圈的转矩与反向转矩的关系为()。
                    
	A.转矩>反向转矩
	B.转矩<反向转矩
	C.转矩=反向转矩
	D.转矩反向转矩
 
	
	点击查看答案
 本题答案:C
本题解析:暂无解析
	
	
	        7、填空题  电子测量食品的接地有两类,安全接地的目的是(),技术接地的目的是保证电子测量仪器正常工作。
                    
 
	
	点击查看答案
 本题答案:保障操作者人身安全
本题解析:试题答案保障操作者人身安全
	
	
	        8、单项选择题  以下关于扫频信号的叙述正确的是()
                    
	A、幅度随时间变化
	B、频率随时间变化
	C、调幅波
	D、锯齿波
 
	
	点击查看答案
 本题答案:B
本题解析:暂无解析
	
	
	        9、填空题  测量是人们认识客观事物并获得其量值的实验过程。测量的基本方法是实验方法,测量结果由数值和单位两部组成。测量结果与真值之间的差异称为()。
                    
 
	
	点击查看答案
 本题答案:测量误差
本题解析:试题答案测量误差
	
	
	        10、单项选择题  设示波器水平和垂直偏转灵敏度相同,在X、Y输入端加的电压分别为:VX=Asin(ωt+45°),VY=Asinωt,则荧光屏上显示的X-Y图形是()
                    
	A.圆
	B.椭圆
	C.斜线
	D.水平直线
 
	
	点击查看答案
 本题答案:C
本题解析:暂无解析
	
	
	        11、填空题  电子测量是泛指一切以电子技术为基本手段的测量。即以()为依据、电子测量仪器和设备为手段,对各种电量、电信号以及电子元器件的特性和参数进行的测量。
                    
 
	
	点击查看答案
 本题答案:电子技术理论
本题解析:试题答案电子技术理论
	
	
	        12、填空题  根据测量误差的性质和特点,可将误差分为()、()和粗大误差。
                    
 
	
	点击查看答案
 本题答案:随机误差;系统误差
本题解析:试题答案随机误差;系统误差
	
	
	        13、问答题  时基发生器由几部分组成?各部分电路起什么作用?为什么线性时基信号能展开波形?
                    
 
	
	点击查看答案
 本题答案:时基发生器由闸门电路、扫描发生器和释抑电路组成。  
本题解析:试题答案时基发生器由闸门电路、扫描发生器和释抑电路组成。  
时基闸门电路的作用是控制扫描电压发生器的工作,它是一个双稳态触发电路,当触发脉冲到来时,电路翻转,输出高电平,使扫描电压发生器开始工作。  
扫描发生器扫的作用是产生高线性度的锯齿波电压。  
释抑电路的作用是用来保证每次扫描都开始在同样的起始电平上。  
在水平偏转板上加一线性锯齿波扫描电压ux,该扫描电压将Y方向所加信号电压uy作用的电子束在屏幕上按时间沿水平方向展开。
	
	
	        14、填空题  示波器在使用过程中,若使用的探头置于10:1位置,则结果应该(),若使用了X5倍扩展,结果应该()。
                    
 
	
	点击查看答案
 本题答案:*10;/5
本题解析:试题答案*10;/5
	
	
	        15、问答题  常用电子测量仪器有哪些?
                    
 
	
	点击查看答案
 本题答案:(1)时域测量的仪器:电子电压表、电子计数器、电子示波器、测
本题解析:试题答案(1)时域测量的仪器:电子电压表、电子计数器、电子示波器、测量用信号源等。(2)频域测量的仪器频率特性测试仪、频谱分析仪、网络分析仪等。(3)调制域测量仪器:调值调制度仪、调制域分析仪等。(4)数据域测量仪器:逻辑笔、数字信号发生器、逻辑分析仪、数据通信分析仪等。(5)随机测量仪器:噪声系数分析仪、电磁干扰测试仪等。
	
	
	        16、问答题  交流电压的测量方案有哪些?
                    
 
	
	点击查看答案
 本题答案:交流电压的测量一般可分为两大类,一类是具来源:91考试网 91ExaM.org有一定内阻的交流信号
本题解析:试题答案交流电压的测量一般可分为两大类,一类是具有一定内阻的交流信号源,另一类是电路中任意一点对地的交流电压。交流电压的常用测量方法有电压表法和示波器法。
	
	
	        17、问答题  叙述直接测量、间接测量、组合测量的特点,并各举一两个测量实例。
                    
 
	
	点击查看答案
 本题答案:直接测量:它是指直接从测量仪表的读数获取被测量量值的方法。如
本题解析:试题答案直接测量:它是指直接从测量仪表的读数获取被测量量值的方法。如:用电压表测量电阻两端的电压,用电流表测量电阻中的电流。  
间接测量:利用直接测量的量与被测量之间的函数关系,间接得到被测量量值的测量方法。如:用伏安法测量电阻消耗的直流功率P,可以通过直接测量电压U,电流I,而后根据函数关系P=UI,经过计算,间接获得电阻消耗的功耗P;用伏安法测量电阻。  
组合测量:当某项测量结果需用多个参数表达时,可通过改变测试条件进行多次测量,根据测量量与参数间的函数关系列出方程组并求解,进而得到未知量,这种测量方法称为组合测量。例如,电阻器电阻温度系数的测量。
	
	
	        18、问答题  对电压测量有哪些基本要求?
                    
 
	
	点击查看答案
 本题答案:对电压测量的基本要求:  
(1)频率范围宽;  <
本题解析:试题答案对电压测量的基本要求:  
(1)频率范围宽;  
(2)测量电压范围广;  
(3)输入阻抗高;  
(4)测量精度高度;  
(5)抗干扰能力強。
	
	
	        19、问答题  用计数式频率计测量频率,闸门时间(门控时间)为ls时,计数器读数为5400,这时的量化误差为多大?如将被测信号倍频4倍,又把闸门时间扩大到5倍,此时的量化误差为多大?
                    
 
	
	点击查看答案
 本题答案: 试题答案
试题答案
	
	
	        20、问答题  测量相位差的方法主要有哪些?
                    
 
	
	点击查看答案
 本题答案:测量相位差的方法有示波器测量、相位差转换为时间间隔进行
本题解析:试题答案测量相位差的方法有示波器测量、相位差转换为时间间隔进行测量、相位差转换为电压进行测量、零示法测量。
	
	
	        21、问答题  如何合理选择和正确使用测量用信号源?
                    
 
	
	点击查看答案
 本题答案:由于测量信号源的种类、型号繁多,使用时应根据具体情况进行选择
本题解析:试题答案由于测量信号源的种类、型号繁多,使用时应根据具体情况进行选择。  
(1)根据被测信号的频率进行选择。可根据工作频段选择超低频信号发生器、低频信号发生器、视频信号发生器、高频信号发生器、超高频信号发生器等。  
(2)根据测试功能选择。低频信号发生器主要用于检修、测试或调整各种低频放大器、扬声器、滤波器等频率特性;高频信号发生器主要用于测试各种接收机的灵敏度、选择性等参数,同时也为调试高频电子线路提供射频信号;函数发生器可提供多种信号波形,可用于波形响应研究;脉冲发生器可用于测试器件的振幅特性、过度特性和开关速度等。  
(3)根据被测信号波形选择。  
(4)根据测量准确度的要求进行选择。如在学生实验中,对输出信号的频率、幅度准确度和稳定度以及波型失真等要求不严格时,可采用普通信号发生器;在对仪器校准或测量准确度严格要求的场合中,应选用准确度和稳定度较高的标准信号发生器。
	
	
	        22、问答题  外差式频谱分析仪能进行实时分析吗?为什么?
                    
 
	
	点击查看答案
 本题答案:外差式频 谱分析仪采用扫频技术进行频率调谐,其核心部分如同一台
本题解析:试题答案外差式频谱分析仪采用扫频技术进行频率调谐,其核心部分如同一台外差式接收机。目  
前常用的外差扫频式频谱分析仪有全景式和扫中频式两种。前者可在一次扫频过程中观察信  
号整个频率范围的频谱。而后者一次扫描分析过程只观察某一较窄频段的频谱,因而可实现  
较高分辨力分析。由于进行的是扫描分析,信号中的各频率分量不能同时被测量到,因而不  
能提供相位频谱,不能做实时分析,只适用于周期信号或平稳噪声的分析。
	
	
	        23、问答题  利用弹簧管压力表测压力,在大气中它的指示为p,如果把它移到真空中,指示会不会变?
                    
 
	
	点击查看答案
 本题答案:会改变,因为弹簧管受力情况改变,自由端位置变化。在大气压下测
本题解析:试题答案会改变,因为弹簧管受力情况改变,自由端位置变化。在大气压下测量的是表压,在真空中测量的是绝对压力。
	
	
	        24、问答题  晶体管特性图示仪主要由哪几个部分组成?各部分作用如何?
                    
 
	
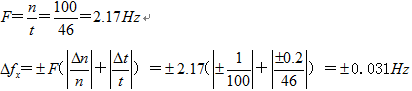
	点击查看答案
 本题答案:晶体管特性图示仪主要组成部及各部分作用:  
(1)
本题解析:试题答案晶体管特性图示仪主要组成部及各部分作用:  
(1)基极阶梯波信号发生器:提供必要的基极注入电流。  
(2)集电极扫描电压发生器:提供从零开始可变的集电极电源电压。  
(3)同步脉冲发生器:用来使基极阶梯信号和集电极扫描电压保持同步,使其正确稳定地显示图形(特性曲线)。  
(4)测试转换开关:当测试不同接法和不同类型的晶体管特性曲线和参数时,用此开关进行转换。  
(5)放大器和显示电路:用以显示被测晶体管的特性曲线,其作用原理和电路形式与普通示波器基本相同,所以也可用普通示波器代替。  
(6)电源:为各部分电路提供电源电压。
	
	
	        25、单项选择题  电流表的内阻()。
                    
	A.数兆欧
	B.数千欧
	C.数欧
	D.越小越好
 
	
	点击查看答案
 本题答案:A
本题解析:暂无解析
	
	
	        26、填空题  频率标志电路产生频标的方法通常是()。
                    
 
	
	点击查看答案
 本题答案:差频法
本题解析:试题答案差频法
	
	
	        27、填空题  已知示波器的扫描控制开关置于0.2ms/div,被测信 号为正弦波,荧光屏上显示8格的两个周期的完整波形。则被测信号的频率为()(0.2*8/2取倒数)
                    
 
	
	点击查看答案
 本题答案:1.25KHz
本题解析:试题答案1.25KHz
	
	
	        28、单项选择题  用计数器测量频率时,测量高频、低频信号分别采用的测量方法是()。
                    
	A.测周、测频
	B.测频、测周
	C.测周、测周
	D.测频、测频
 
	
	点击查看答案
 本题答案:B
本题解析:暂无解析
	
	
	        29、填空题  电子测量按测量的方法分类为()、()和()三种。
                    
 
	
	点击查看答案
 本题答案:直接测量、间接测量、组合测量;
本题解析:试题答案直接测量、间接测量、组合测量;
	
	
	        30、单项选择题  示波器水平通道中,能保证每一次扫描都从同样的电平开始,使屏幕显示出稳定的波形的电路是()
                    
	A、释抑电路
	B、电压比较器
	C、扫描发生器
	D、时基闸门
 
	
	点击查看答案
 本题答案:A
本题解析:暂无解析
	
	
	        31、问答题  简述电子计数器的自校原理。
                    
 
	
	点击查看答案
 本题答案:电子计数器扩大基信号的周期去控制主控门的开启时间,同时把基信
本题解析:试题答案电子计数器扩大基信号的周期去控制主控门的开启时间,同时把基信号经过新信频送入计数器进行计数,根据mT=Nt/n=>N=nm得出理论值与测量值进行比较,就可以检查整机工作正常与否。
	
	
	        32、填空题  采用电子计数器测量频率,当被测频率一定时,延长闸门开启时间可以减小1误差对测频误差的影响;当闸门时间一定时,()可减小由1误差产生的测频误差
                    
 
	
	点击查看答案
 本题答案:测周期
本题解析:试题答案测周期
	
	
	        33、问答题  电阻上消耗的电能W=U2/R•t,已知ru=±1%,rR=±0.5%rt=±1.5%,求rW。
                    
 
	
	点击查看答案
 本题答案: 试题答案
试题答案
	
	
	        34、问答题  
	某文氏桥只C振荡器如题3.4图所示,其中R3、R4是热敏电阻,试确定它们各自应具有什么性质的温度系数。
	
                     
	
	点击查看答案
 本题答案:R3应具有正性质的温度系数,
R4应具有负性
本题解析:试题答案R3应具有正性质的温度系数,
R4应具有负性质的温度系数。
	
	
	        35、问答题  某电桥在ω=104rad/s时平衡并有下列参数:Z1为电容C1=0.2μF,Z2为电阻R2=500Ω,Z4为R4=300Ω与C4=0.25μF相并联,求阻抗Z3(按串联考虑)。
                    
 
	
	点击查看答案
 本题答案: 试题答案
试题答案
	
	
	        36、填空题  测量相位差的主要方法示波器测量、相位差转换为()、相位差转换为电压测量及零示法测量等
                    
 
	
	点击查看答案
 本题答案:时间间隔测量
本题解析:试题答案时间间隔测量
	
	
	        37、填空题  普通示波器一般由示波管、水平通道和()三部分组成。
                    
 
	
	点击查看答案
 本题答案:垂直通道
本题解析:试题答案垂直通道
	
	
	        38、问答题  
	用示波器测量题2.26图所示调幅波的调幅系数 ,已知A、B测量误差±10%,问调幅系数误差为多少?
,已知A、B测量误差±10%,问调幅系数误差为多少?
	
                     
	
	点击查看答案
 本题答案: 试题答案
试题答案
	
	
	        39、问答题  取样示波器的非实时取样过程为什么能将高频信号变为低频信号?取样示波器能否观测单次性高频信号?
                    
 
	
	点击查看答案
 本题答案:非实时取样过程对于输入信号进行跨周期采样,通过若干周期对波形
本题解析:试题答案非实时取样过程对于输入信号进行跨周期采样,通过若干周期对波形的不同点的采样,经过保持延长后就将高频信号变成了低频信号。  
取样示波器不能观测单次性高频信号,因为不能对其进行跨周期采样。
	
	
	        40、单项选择题  通用示波器显示被测信号波形时,时基信号是()
                    
	A、锯齿波
	B、正弦波
	C、方波
	D、阶梯波
 
	
	点击查看答案
 本题答案:A
本题解析:暂无解析
	
	
	        41、问答题  按照表示方法的不同,测量误差分成哪几类?
                    
 
	
	点击查看答案
 本题答案: 试题答案
试题答案
	
	
	        42、单项选择题  在并联谐振时,电路的()
                    
	A、感抗等于容抗,回路电流最大
	B、感抗等于容抗,回路电压最大
	C、感抗大于容抗,回路电流最大
	D、感抗小于容抗,回路电压最大
 
	
	点击查看答案
 本题答案:B
本题解析:暂无解析
	
	
	        43、单项选择题  Q表所依据的测量原理是()
                    
	A、谐振法
	B、交流电桥法
	C、转换法
	D、通用仪器搭配法
 
	
	点击查看答案
 本题答案:A
本题解析:暂无解析
	
	
	        44、问答题  高频电流表的量程扩大可采用什么方法?
                    
 
	
	点击查看答案
 本题答案:高频电流表一般在测量强电流时采用分流器或变流器来减小流过热电
本题解析:试题答案高频电流表一般在测量强电流时采用分流器或变流器来减小流过热电式电流表的电流,从而扩大量程。  
①分流法。从原理讲可分为电阻、电容、电感三种分流法。电阻分流法的功耗大,故不在高频电流表中使用;电感分流法功耗虽小,但易受外界多变磁场的影响,使用的场合较小;电容分流法用的较多。电容分流法的方法是将热电式电流表的输入端并联一只电容,将高频电流分流掉一部分,达到扩大量程的目的。利用电阻、电感分流器的电流表,其压降较大。这个压降还与被测电流的频率有关,因此对被测电路有一定的影响。  
②变流法是利用变流器的变压比来实现电流分流。
	
	
	        45、问答题  什么是相对误差?
                    
 
	
	点击查看答案
 本题答案:相对误差可以说明测量的准确程度,可分为实际相对误差、示值相对
本题解析:试题答案相对误差可以说明测量的准确程度,可分为实际相对误差、示值相对误差、满意度相对误差和分贝相对误差。
	
	
	        46、问答题  简述电场偏转式CRT中波形显示的原理。
                    
 
	
	点击查看答案
 本题答案:典型的示波器利用阴极射线示波管CRT作为显示器,CRT是示波
本题解析:试题答案典型的示波器利用阴极射线示波管CRT作为显示器,CRT是示波器的重要组成部分,其作用就是把电信号转换为光信号而加以显示。其构造与电视机显像管相同,主要由电子枪、偏转系统和荧光屏三大部分组成,三大部分均封装在密闭呈真空的玻璃壳内。CRT显示器在专用显示处理器控制下,对显示VRAM刷新,显示与波形对应的各像素。
	
	
	        47、问答题  数字万用表(DMM)的主要技术指标有那些?他们是如何定义的。
                    
 
	
	点击查看答案
 本题答案: 试题答案
试题答案
	
	
	        48、问答题  简述电桥法、谐振法、f-V转换法测频的原理,它们各适用于什么频率范围?这三种测频方法的测频误差分别决定于什么?
                    
 
	
	点击查看答案
 本题答案:电桥法测频的原理是利用电桥的平衡条件和被测信号频率有关
本题解析:试题答案电桥法测频的原理是利用电桥的平衡条件和被测信号频率有关这一特性来测频。交流电桥能够达到平衡时有:

电桥法测频适用于10kHz以下的音频范围。在高频时,由于寄生参数影响严重,会使测量精确度大大下降。电桥测频的精确度约为±(0.5~1)%。
电桥法测频的精确度取决于电桥中各元件的精确度、判断电桥平衡的准确度(检流计的灵敏度及人眼观察误差)和被测信号的频谱纯度。能达到的测频精确度大约为±(0.5~1)%。
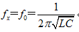
谐振法测频的原理是利用电感、电容、电阻串联、并联谐振回路的谐振特性来实现测频。电路谐振时有:

谐振法测频适用于高频信号的频率,频率较低时谐振回路电感的分布电容引起的测量误差较大,测量的准确度较低。频范围为0.5~1500MHz。
谐振法测频的误差来源为:①谐振频率计算公式是近似计算公式;②回路Q值不太高时,不容易准确找到真正的谐振点;③环境温度、湿度以及可调元件磨损等因数,使电感、电容的实际的元件值发生变化;④读数误差。
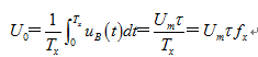
f-V转换法测频的原理是先把频率转换为电压或电流,然后用表盘刻度有频率的电压表或电流表指示来测频率。以测量正弦波频率fx为例,首先把正弦信号转换为频率与之相等的尖脉冲uA,然后加于单稳多谐振荡器,产生频率为fx、宽度为τ、幅度为Um的矩形脉冲列u(t),这一电压的平均值等于:
所以:fx=U0/Um•τ
f-V转换法测频最高测量频率可达几兆赫。
f-V转换法测频的误差主要决定与Um、τ的稳定度以及电压表的误差,一般为百分之几。
	
	
	        49、问答题  拍频法和差频法测频的区别是什么?它们各适用于什么频率范围?为什么?
                    
 
	
	点击查看答案
 本题答案:拍频法测频是将待测频率为fx的正弦信号ux与标准频率为fc的
本题解析:试题答案拍频法测频是将待测频率为fx的正弦信号ux与标准频率为fc的正弦信号uc直接叠加在线性元件上,其合成信号u为近似的正弦波,但其振幅随时间变化,而变化的频率等于两频率之差,称之为拍频F。则:fx=fc±F  
差频法测频是待测频率fx信号与本振频率fl信号加到非线性元件上进行混频,输出信号中除了原有的频率fx、fl分量外,还将有它们的谐波nfx、mfl,及其组合频率nfx±mfl,其中m,n为整数。当调节本振频率fl时,可能有一些n和m值使差频为零,即nfx±mfl=0,则被测频率:fx=m/n•fl  
拍频法测频率在音频范围,因为相同的频率稳定度条件下,高频信号频率的绝对变化大,所以,拍频法测频率在音频范围,通常只用于音频的测量,而不宜用于高频测量。  
差频法测频率适用于高频段的测量,可测高达3000MHz的微弱信号的频率,测频精确度为10-6左右。
	
	
	        50、单项选择题  被测量的真值是()。
                    
	A.可以准确测定的
	B.在甘一时空条件下是客观存在的,但很多情况下不能准确测定
	C.不能准确测定
	D.客观上均不存在,因而无法测量
 
	
	点击查看答案
 本题答案:B
本题解析:暂无解析
	
	
	        51、问答题  记忆示波管是怎样实现记忆波形的功能?记忆示波器能否观测单次性高频信号?
                    
 
	
	点击查看答案
 本题答案:记忆示波器的记忆功能是由记忆示波管完成的。将记忆信号存贮于示
本题解析:试题答案记忆示波器的记忆功能是由记忆示波管完成的。将记忆信号存贮于示波管的栅网上,需要显示时,泛射枪发出的流均匀地近乎垂直地射向存储栅网,将栅网存储的波形在荧光屏上清晰地显示出来。  
记忆示波器能观测单次性高频信号。
	
	
	        52、问答题  何谓虚拟仪器?虚拟仪器是仿真仪器吗?
                    
 
	
	点击查看答案
 本题答案:虚拟仪器(VirtualInstrument,简称VI
本题解析:试题答案虚拟仪器(VirtualInstrument,简称VI)是指以通用计算机作为核心的硬件平台,配以相应测试功能的硬件作为信号输入输出的接口,利用仪器软件开发平台在计算机的屏幕上虚拟出仪器的面板和相应的功能,然后通过鼠标或键盘操作的仪器。虚拟仪器是一种实际仪器。
	
	
	        53、问答题  一示波器荧光屏的水平长度为10cm,要求显示10MHz的正弦信号的两个周期。问示波器的扫描速度和扫描因数分别是多少?
                    
 
	
	点击查看答案
 本题答案:正弦波频率f=10MHz 周期是T=1/f=0.1us
本题解析:试题答案正弦波频率f=10MHz 周期是T=1/f=0.1us 水平长度10cm显示2个周期
 故 每个周期5cm 扫描速度为:5cm/0.1us=cm/s
	
	
	        54、问答题  简述利用变换器测量阻抗的原理。
                    
 
	
	点击查看答案
 本题答案:利用变换器测量阻抗的原理是:将被测元件的参数变换成相应的电压
本题解析:试题答案利用变换器测量阻抗的原理是:将被测元件的参数变换成相应的电压,然后经A/D变换后,进行数字化显示。
	
	
	        55、问答题  存储示波器的功能有哪些?主要技术参数指标有哪些?有几种显示方式?
                    
 
	
	点击查看答案
 本题答案:数字存储示波器采用数字电路,将输入信号先经过A/D变换
本题解析:试题答案数字存储示波器采用数字电路,将输入信号先经过A/D变换器,将模拟波形变换成数字信息,存储于数字存储器中,需要显示时,再从存贮器中读出,通过D/A变换器,将数字信息变换成模拟波形显示在示波管上。
主要技术参数指标:1.分辨力2.采样速度3.存储长度
显示方式:1.基本显示方式2.刷新显示方式3.滚动显示方式4.双踪显示
	
	
	        56、问答题  被测电压8V左右,现有两只电压表,一只量程0~l0V,准确度sl=1.5,另一种量程0~50V,准确度s2=l.0级,问选用哪一只电压表测量结果较为准确?
                    
 
	
	点击查看答案
 本题答案: 试题答案
试题答案
	
	
	        57、单项选择题  在观测正极性微分窄脉冲时,示波器宜采用()方式来进行观测。
                    
	A.外触发“+”HF耦合
	B.内触发“+”HF耦合
	C.内触发“+”触发扫描
	D.内触发“拉YB”触发
 
	
	点击查看答案
 本题答案:C
本题解析:暂无解析
	
	
	        58、问答题  用某分析仪测量功能测量功放的输出信号失真,在频率为20hz﹑400hz和1khz时失真度分析仪指示值分别为26.5%﹑22.5%和19.8%。求各信号的失真度为多少?
                    
 
	
	点击查看答案
 本题答案: 试题答案
试题答案
	
	
	        59、单项选择题  能够输出多种信号波形的信号发生器是()
                    
	A、锁相频率合成信号源
	B、函数发生器
	C、正弦波形发生器
	D、脉冲发生器
 
	
	点击查看答案
 本题答案:B
本题解析:暂无解析
	
	
	        60、问答题  简易电平测试设备有那些?它们有何用途?
                    
 
	
	点击查看答案
 本题答案:简易逻辑电平测试设备常见的有逻辑笔和逻辑夹,它们主要用
本题解析:试题答案简易逻辑电平测试设备常见的有逻辑笔和逻辑夹,它们主要用来判断信号的稳定电平、
单个脉冲或低速脉冲序列。其中逻辑笔用于测试单路信号,逻辑夹则用于多路信号。
	
	
	        61、问答题  
	简述电子记数器累加记数的原理框图和测量原理?
	
                     
	
	点击查看答案
 本题答案:累加计数的测量原理:累加计数是用于直接统计所取时间内的
本题解析:试题答案累加计数的测量原理:累加计数是用于直接统计所取时间内的脉冲数。将被测信号送入A通道,经过放大整形后输入到人工控制的闸门。闸门的开启时间由手动控制,即从“启动”到“停止”的转换所用的时间决定。在闸门开启时间内输出脉冲,再送入计数器,由计数器直接积累出脉冲总数,完成累加计数。
	
	
	        62、单项选择题  
	交流电压的有效值的表达式为()。
	 
                    
	A.
	
	B.
	
	C.
	D.
 
	
	点击查看答案
 本题答案:D
本题解析:暂无解析
	
	
	        63、单项选择题  8.被测电压真值为100V,用电压表测量时,指示值为80V,则示值相对误差为()。
                    
	A.+25%
	B.-25%
	C.+20%
	D.-20%
 
	
	点击查看答案
 本题答案:B
本题解析:暂无解析
	
	
	        64、问答题  解电容的漏电流与所加电压有关系吗?为什么?
                    
 
	
	点击查看答案
 本题答案:当然有关系。电解电容的介质有两种,正极金属片表面上形成的一层
本题解析:试题答案当然有关系。电解电容的介质有两种,正极金属片表面上形成的一层氧化膜;负极为液  
体、半液体或胶状的电解液,因其有正、负极之分,实际上内部形成了电场,故只能工作在  
直流状态下,如果极性用反,即外加电压与内部电场方向相反,漏电流剧增。
	
	
	        65、问答题  试述脉冲信号发生器的工作原理。
                    
 
	
	点击查看答案
 本题答案:脉冲信号发生器的原理图如下
![]() 本题解析:试题答案脉冲信号发生器的原理图如下
本题解析:试题答案脉冲信号发生器的原理图如下

工作原理:脉冲产生的方法很多,上图为一个典型脉冲信号发生器的组成框图。主振级的作用是形成一个频率稳定度高、调节性能良好的周期信号以此作为下一级电路的触发信号。主振级一般由多谐振荡器组成,可工作在内触发状态,也可工作在外触发状态。脉冲信号除了具有主脉冲输出外,一般还要求同步外部设备或仪器的同步脉冲输出,而主脉冲和同步脉冲之间又需要有一定的延迟,延迟级就是为了完成这种延迟作用而设置的。形成级作用是形成脉冲宽度稳定性好、具有良好宽度调节性能的矩形脉冲波,一般采用单稳态触发器和脉冲加、减电路。为了使输出波形更接近于矩形,通常要求脉冲波形的前、后沿要陡峭,而整形级能充分改善矩形脉冲的形状并具有电流放大的作用,达到输出效果。输出级的作用是对输出的脉冲信号进行幅度放大,并通过衰减器输出各种幅度的脉冲波形,通常包括脉冲放大器、倒相器等,输出信号的幅度、极性等都在输出级进行调节。
	
	
	        66、问答题  测量系统由哪些部分组成?
                    
 
	
	点击查看答案
 本题答案:工业测量仪表由传感器、变换器和显示装置三部分组成。  
本题解析:试题答案工业测量仪表由传感器、变换器和显示装置三部分组成。  
在被测对象的作用下,传感器能根据被测量的大小输出一个相应的信号。变换器可以将传感器的输出进行远距离传送,放大、线性化或变成统一信号,对传感器的输出作必要的加工处理。显示器的作用是向观察者显示被测参数值。
	
	
	        67、填空题  通常用()、输出特性和调制特性(俗称三大指标)来评价正弦信号发生器的性能。
                    
 
	
	点击查看答案
 本题答案:频率特性
本题解析:试题答案频率特性
	
	
	        68、问答题  简述超外差频谱分析仪的工作原理。
                    
 
	
	点击查看答案
 本题答案:超外差频谱仪是一种具有扫频和窄带宽滤波功能的超外差接收机,用
本题解析:试题答案超外差频谱仪是一种具有扫频和窄带宽滤波功能的超外差接收机,用扫频振荡器作为本机振荡器,中频电路有频带很窄的滤波器,按外差方式选择所需频率分量。这样,当扫频振荡器的频率在一定范围内扫动时,会与输入信号中的各个频率分量在混频器中产生差频,再对所得的固定频率信号进行测量分析,由此依次获得被测信号不同频率成分的幅度信号。
	
	
	        69、问答题  逻辑分析仪主要应用在哪方面?
                    
 
	
	点击查看答案
 本题答案:逻辑分析仪主要应用在数字系统软件测试、微处理器测试、测
本题解析:试题答案逻辑分析仪主要应用在数字系统软件测试、微处理器测试、测试数字集成电路、数字系
统故障诊断。
	
	
	        70、问答题  虚拟仪器的设计主要包括哪些内容的设计?一般有几个步骤?
                    
 
	
	点击查看答案
 本题答案:仪器驱动器设计和虚拟仪器面板设计。一般的步骤为:(1)
本题解析:试题答案仪器驱动器设计和虚拟仪器面板设计。一般的步骤为:(1)动能分析和描述(2)虚拟仪器的硬件选择(3)仪器驱动器外部接口设计(4)仪器驱动器内部设计包括前面板设计、流程图设计(5)运行调试程序。
	
	
	        71、问答题  测量误差用什么表示较好?
                    
 
	
	点击查看答案
 本题答案:测量误差通常可用绝对误差和相对误差两种方法表示。若要反映测量
本题解析:试题答案测量误差通常可用绝对误差和相对误差两种方法表示。若要反映测量误差的大小和方向,可用绝对误差表示;若要反映测量的准确程度,则用相对误差表示。
	
	
	        72、问答题  简述计量与测量之间的联系与区别。
                    
 
	
	点击查看答案
 本题答案:计量与测量之间的联系:计量是测量发展的客观需要,测量数据的准
本题解析:试题答案计量与测量之间的联系:计量是测量发展的客观需要,测量数据的准确可靠需要计量予以保证,计量是测量的基础与依据,没有计量就没有测量。同时,测量又是计量联系实际应用的重要途径。只有测量与计量相互配合,才能在国民经济中发挥重要作用。  
计量与测量的区别:测量是用被测未知量和同类已知的标准单位量比较,这时认为被测量的真实值是存在的,测量误差是有测量仪器和测量方法引起的。计量是用法定标准的已知量与同类的未知量(如受检仪器)比较,这时标准量是准确的、法定的,而认为测量误差是由受检仪器引起的。
	
	
	        73、问答题  削弱系统误差的主要方法是什么?
                    
 
	
	点击查看答案
 本题答案:削弱系统误差的主要方法有:  
(1)零示法  本题解析:试题答案削弱系统误差的主要方法有:  
(1)零示法  
(2)替代法  
(3)补偿法  
(4)对照法  
(5)微差法  
(6)交换法
	
	
	        74、填空题  取样示波器利用取样技术,把高频信号转换成波形与之相似的低频或中频信号,并在荧光屏上显示出来。实际取样中,若其被测量信号中最高频率分量为5MHz,则其取样频率至少为()。
                    
 
	
	 点击查看答案
 本题答案:10MHz
本题解析:试题答案10MHz
	
	
	        75、单项选择题  以下各电路中,不属于频率特性测试仪内部组成部分的是()
                    
	A、扫描电路
	B、稳幅电路
	C、频率标志电路
	D、检波探头
 
	
	点击查看答案
 本题答案:D
本题解析:暂无解析
	
	
	        76、填空题  影响高频信号发生器频率稳定度的主要原因是外界条件(如温度、电源电压、负载、温度等)的变化,直接影响LC振荡回路参数的变化和电路和元件内部的噪声、()等产生的寄生相移引起的间接的频率变化。
                    
 
	
	点击查看答案
 本题答案:元器件老化
本题解析:试题答案元器件老化
	
	
	        77、填空题  电子示波器的心脏是阴极射线示波管,它主要由()、()和()三部分组成。
                    
 
	
	点击查看答案
 本题答案:电子枪、偏转系统、荧光屏;
本题解析:试题答案电子枪、偏转系统、荧光屏;
	
	
	        78、问答题  一个常规控制系统应用到的仪表有哪些?
                    
 
	
	点击查看答案
 本题答案:一个常规控制系统应用到的一次仪表包括测量变送单元和执行
本题解析:试题答案一个常规控制系统应用到的一次仪表包括测量变送单元和执行单元;二次仪表包括转换单元类、调节单元类、运算单元类、显示单元类和给定单元类等.
	
	
	        79、填空题  电子测量按测量过程分类可分为()、间接测量、和()三种。
                    
 
	
	点击查看答案
 本题答案:直接测量;组合测量
本题解析:试题答案直接测量;组合测量
	
	
	        80、问答题  电子技术器中的时基信号有什么特点?它是如何实现的?
                    
 
	
	点击查看答案
 本题答案:时基信号特点:一是有很高的精度,因为在电子计数器中总是
本题解析:试题答案时基信号特点:一是有很高的精度,因为在电子计数器中总是采用高精度的石英晶体振荡器来产生标准时间信号;二是多值性,即能够产生多种不同的频率。为了满足不同频率和时间的测量需要,通过计数器一般都有多种不同的标准时间,这些不同的标准时间信号都是由石英晶体振荡器通过分频或倍频所得,供时基选择电路选用。如下图所示:

分频电路一般采用与十进制数相同的电路,倍频电路一般采用非线性LC选频放大器。为了保证分频或倍频后时基信号的精度,需采用门控分频或锁相倍频等方法来改进电路。
	
	
	        81、填空题  谐波失真度的测量方法有多种,目前最常用的方法是()法。
                    
 
	
	点击查看答案
 本题答案:基波抑制
本题解析:试题答案基波抑制
	
	
	        82、问答题  使用电阻器时要考虑哪些问题?
                    
 
	
	点击查看答案
 本题答案:电阻在电路中多用来进行限流、分压、分流以及阻抗匹配等。是电路
本题解析:试题答案电阻在电路中多用来进行限流、分压、分流以及阻抗匹配等。是电路中应用最多的元件  
之一。使用电阻器时主要应考虑电阻的标称阻值、额定功率、精度、最高工作温度、最高工  
作电压、噪声系数及高频特性等。
	
	
	        83、填空题  在相同的条件下多次测量同一量值时,测量误差的()和符号保持不变,或测量条件改变时按一定规律变化的误差称为系统误差。
                    
 
	
	点击查看答案
 本题答案:绝对值
本题解析:试题答案绝对值
	
	
	        84、填空题  为保证在测量80V电压时,误差≤±1%,应选用等于或优于()级的100V量程的电压表。
                    
 
	
	点击查看答案
 本题答案:±0.5;
本题解析:试题答案±0.5;
	
	
	        85、单项选择题  弹簧管压力表测的是()。
                    
	A.绝压
	B.表压
	C.大气压
	D.真空度
 
	
	点击查看答案
 本题答案:B
本题解析:暂无解析
	
	
	        86、填空题  合成信号发生器的核心部件是()。
                    
 
	
	点击查看答案
 本题答案:频率合成器
本题解析:试题答案频率合成器
	
	
	        87、单项选择题  在ZC4121A自动失真仪中,桥T型基波抑制器的核心部件是()
                    
	A、基波抑制运算放大器
	B、谐波正反馈跟随器
	C、电容中和电路
	D、无源桥T型网络
 
	
	点击查看答案
 本题答案:D
本题解析:暂无解析
	
	
	        88、问答题  有 两只量程相同的电流表,但内阻不一样,问哪只电流表的性能好?为什么?
                    
 
	
	点击查看答案
 本题答案:电流表测量电流是将表串联在电路中的,内阻越小对电路的影响越小
本题解析:试题答案电流表测量电流是将表串联在电路中的,内阻越小对电路的影响越小,因而测量准确越高。
	
	
	        89、单项选择题  计数器测频时,若所用的时基信号T0=1ms,则计数后的单位为()
                    
	A.Hz
	B.kHz
	C.MHz
	D.GHz
 
	
	点击查看答案
 本题答案:B
本题解析:暂无解析
	
	
	        90、问答题  某交流电桥平衡时有下列参数:Z1为R1=2000Ω与C1=0.5μF相并联,Z2为R2=1000Ω与C2=1μF相串联,Z4为电容C4=0.5μF,信号源角频率ω=103rad/s,求阻抗Z3的元件值。
                    
 
	
	点击查看答案
 本题答案: 试题答案
试题答案
	
	
	        91、问答题  SXl842数字电压表数码显示最大数为19999,最小一档量程为20mV,问该电压表的最高分辨率是多少?
                    
 
	
	点击查看答案
 本题答案:20mV/19999=0.001mV=1μV
本题解析:试题答案20mV/19999=0.001mV=1μV
	
	
	        92、填空题  比对的目的是()。
                    
 
	
	点击查看答案
 本题答案:考核量值统一性
本题解析:试题答案考核量值统一性
	
	
	        93、问答题  电子计数器测量频率的基本原理是什么?
                    
 
	
	点击查看答案
 本题答案:原理框图:
 试题答案原理框图:
试题答案原理框图:

测量原理;
(1)被测信号fx经过放大整形后成为计数脉冲,加在主控们的输入端。
(2)晶体振荡器产生的振荡信号经过分频器分频后去触发门控电路,使其产生宽度为T0的门控信号。
(3)主控门在时间T0内打开,使得计数脉冲通过,其余时间关闭,不让脉冲通过。
(4)通过主控门的计数脉冲列由十进制计数器计数,计数结果N在显示器中显示出来。
	
	
	        94、填空题  数字电压表的最大计数容量为19999,通常称该表为()位数字电压表;若其最小量程为0.2V,则其分辨力为()。
                    
 
	
	点击查看答案
 本题答案:4  (或四位半)  ;      10μV;
本题解析:试题答案4  (或四位半)  ;      10μV;
	
	
	        95、问答题  用计数式频率计测量fx=200Hz的信号频率,采用测频率(选闸门时间为1s)和测周期(选晶振周期Tc=0.1μs)两种测量方法。试比较这两种方法由于“±1误差”所引起的相对误差。
                    
 
	
	点击查看答案
 本题答案: 试题答案
试题答案
	
	
	        96、单项选择题  调节示波器中Y输出差分放大器输入端的直流电位即可调节示波器的()
                    
	A.偏转灵敏度
	B.Y轴位移
	C.倍率
	D.X轴位移
 
	
	点击查看答案
 本题答案:B
本题解析:暂无解析
	
	
	        97、问答题  模拟电压表和数字电压表的分辨率各自与什么因数有关?
                    
 
	
	点击查看答案
 本题答案:模拟电压表的分辨率是指能够响应的信号的最小值,一般用输入信号
本题解析:试题答案模拟电压表的分辨率是指能够响应的信号的最小值,一般用输入信号的最小幅度表示。数字电压表的分辨率是指DVM能够显示的被测电压的最小变化值,即显示器末位跳动一个数字所需的电压值。它们的分辨率主要由工作原理、测试方法、电路参数等决定,数字电压表的分辨率受A/D转换器的影响。
	
	
	        98、问答题  扫频仪中如何产生扫频信号?如何在示波管荧光屏上获得网络的幅频特性?
                    
 
	
	点击查看答案
 本题答案:实现扫频振荡的方法很多,常用的有磁调电感法、变容二极管
本题解析:试题答案实现扫频振荡的方法很多,常用的有磁调电感法、变容二极管法以及微波波段使用的返波管法、YIG谐振法等。
在磁调电感法中L2、C谐振回路的谐振频率f0为:

由电磁学理论可知,带磁芯线圈的电感量与磁芯的导磁系数μ0成正比
L2=μ0L
当扫描电流随时间变化时,使得磁芯的有效导磁系数μ0也随着改变,扫描电流的变化就导致了L2及谐振频率f0的变化,实现了“扫频”。
在测试过程中,使信号源输出信号的频率按特定规律自动连续并且周期性重复,利用检波器将输出包络检出送到示波器上显示,在示波管荧光屏上就得到了被测电路的幅频特性曲线。
	
	
	        99、问答题  
	有一个100V的被测电压,若用0.5级、量程为0-300V和1.0级、量程为0-100V的
	
	两只电压表测量,问哪只电压表测得更准些?为什么?
	
	 
                     
	
	点击查看答案
 本题答案:要判断哪块电压表测得更准确,即判断哪块表的测量准确度更
本题解析:试题答案要判断哪块电压表测得更准确,即判断哪块表的测量准确度更高。
(1)对量程为0-300V、±0.5级电压表,根据公式有
x1xs%x100%m100% xx
3000.5100%1.5% 100
(2)对量程为0-100V、±1.0级电压表,同样根据公式有
x2xs%x100%m100% xx
1001.0100%1.0% 100 
从计算结果可以看出,用量程为0-100V、±1.0级电压表测量所产生的示值相对误差小,所以选用量程为0-100V、±1.0级电压表测量更准确。
	
	
	        100、问答题  电流的测量方案有哪些?
                    
 
	
	点击查看答案
 本题答案:电流测量的方法可分为直接测量法和间接测量法。直流电流的测量可
本题解析:试题答案电流测量的方法可分为直接测量法和间接测量法。直流电流的测量可采用磁电式电流表、数字电压万用表等仪表,通过直接测量法和间接测量法进行测量;交流电流的测量可采用电磁式电流表、热电式电流表和数字电压万用表等仪表,通过直接测量法和间接测量法进行测量。
	
	
	        101、问答题  比较测量和计量的类同和区别
                    
 
	
	点击查看答案
 本题答案:测量是把被测量与标准的同类单位量进行比较,从而确定被测
本题解析:试题答案测量是把被测量与标准的同类单位量进行比较,从而确定被测量与单位量之间的数值关系,最后用数值和单位共同表示测量结果。
计量是利用技术·阳法制手段实现单位统一和量值准确可靠的测量。
计量可看作测量的特殊形式,在计量过程中,认为所使用的量具和仪器是标准的,用它们来校准、检定受检量具和仪器设备,以衡量和保证使用受检量具仪器进行测量时所获得测量结果的可靠性。因此,计量又是测量的基础和依据。
	
	
	        102、问答题  用示波器观测正弦波时,荧光屏上得到如图所示波形,试分析示波器哪个部分工作不正常?
                    
 
	
	点击查看答案
 本题答案:(1)为扫描锯齿波线性度不好;  
(2)Y放大器引
本题解析:试题答案(1)为扫描锯齿波线性度不好;  
(2)Y放大器引入失真,出现削顶,产生截止失真;  
(3)有扫描回线,增辉电路工作不正常。
	
	
	        103、单项选择题  用模拟万用表测量二极管,在正向导通时,红表笔,黑表笔所接极性分别为()
                    
	A、+,-
	B、-,+
	C、+,+
	D、无法判断
 
	
	点击查看答案
 本题答案:A
本题解析:暂无解析
	
	
	        104、问答题  用电压表测量电压,测得值为5.42V,改用标准电压表测量示值为5.60V,求前一只电压测量的绝对误差ΔU,示值相对误差rx和实际相对误差rA。
                    
 
	
	点击查看答案
 本题答案: 试题答案
试题答案
	
	
	        105、填空题  ()、()和功率是集总电路中表征电信号能量的三个基本参数。
                    
 
	
	点击查看答案
 本题答案:电流;电压
本题解析:试题答案电流;电压
	
	
	        106、问答题  什么是连续扫描和触发扫描?如何选择扫描方式?
                    
 
	
	点击查看答案
 本题答案:连续扫描:扫描电压是周期性的锯齿波电压。在扫描电压的作用下,
本题解析:试题答案连续扫描:扫描电压是周期性的锯齿波电压。在扫描电压的作用下,示波管光点将在屏幕上作连续重复周期的扫描,若没有Y通道的信号电压,屏幕上只显示出一条时间基线。  
触发扫描:扫描发生器平时处于等待工作状态,只有送入触发脉冲时才产生一次扫描电压,在屏幕上扫出一个展宽的脉冲波形,而不显示出时间基线。  
被测信号是连续的周期性信号时,选择连续扫描方式。被测信号是短短暂的周期性脉冲信号时,选择触发扫描方式。
	
	
	        107、单项选择题  下列不属于测量误差来源的是()。
                    
	A.仪器误差和(环境)影响误差
	B.满度误差和分贝误差
	C.人身误差和测量对象变化误差
	D.理论误差和方法误差
 
	
	点击查看答案
 本题答案:B
本题解析:暂无解析
	
	
	        108、填空题  阻抗Z的实数部分R为电阻,是交流电路中消耗能量的元器件;虚实部分X为(),是存储能量的元器件。
                    
 
	
	点击查看答案
 本题答案:电抗
本题解析:试题答案电抗
	
	
	        109、填空题  电路频谱特性的测量方法通常有()测量法和()测量法。
                    
 
	
	点击查看答案
 本题答案:点频;扫频
本题解析:试题答案点频;扫频
	
	
	        110、问答题  简述函数信号发生器的基本组成及各组成部分的功能。
                    
 
	
	点击查看答案
 本题答案:(1)高频信号发生器主要由主振级、调制级、内调制振荡器、输出
本题解析:试题答案(1)高频信号发生器主要由主振级、调制级、内调制振荡器、输出级、监视器和电源六部分组成。  
(2)主振级功能:产生高频等幅载波信号。  
调制级功能:主振级产生的高频等幅载波信号和调制信号发生器产生音频调制信号经调制级,输出载有音频信号的已调波。  
内调制振荡器:产生内调制信号。  
输出级:对已调信号进行放大和滤波,然后在比基础上通过衰减器对输出电平进行较大范围的调节和输出阻抗的变换,以适应各种不同的需要。  
监视器:用来测量输出信号载波的电平和调幅系数,显示输出信号的频率、幅度、波形等,对输出信号进行监视。  
电源:供给各部分所需的直流电压,使各部分能正常稳定地工作。
	
	
	        111、名词解释  标称值
                    
 
	
	点击查看答案
 本题答案:测量器具上标定的数值。
本题解析:试题答案测量器具上标定的数值。
	
	
	        112、问答题  某4.5位(最大显示数字为19 999 )数字电压表测电压,该表2V档的工作误差为 ± 0.025%(示值)±1个字,现测得值分别为0.0012V和1.988 8V,问两种情况下的绝对误差和示值相对误差各为多少?
                    
 
	
	点击查看答案
 本题答案: 试题答案
试题答案
	
	
	        113、问答题  简述示波器上用李沙育图形法进行测频、测时间间隔的原理。
                    
 
	
	点击查看答案
 本题答案:用李沙育图形法进行测频的原理是:示波器荧光屏上的李沙育
本题解析:试题答案用李沙育图形法进行测频的原理是:示波器荧光屏上的李沙育图形与水平轴的交点nX以及与垂直轴的交点nY来决定频率比,即:
若已知频率信号接于X轴,待测频率信号接于Y轴,
则:
用示波器测时间间隔的原理是:在波形上找到要测时间间隔所对应的两点,如A点、B点。读出A、B两点间的距离x(cm),由扫描速度v(t/cm)的标称值及扩展倍率k,即可算出被测的时间间隔:
	
	
	        114、问答题  列举电子测量的主要特点.。
                    
 
	
	点击查看答案
 本题答案:(1)测量频率范围宽;(2)测试动态范围广;(3)测量的准确
本题解析:试题答案(1)测量频率范围宽;(2)测试动态范围广;(3)测量的准确度高;(4)测量速度快;(5)易于实现遥测和长期不间断的测量;(6)易于实现测量过程的自动化和测量仪器的智能化;(7)影响因素众多,误差处理复杂。
	
	
	        115、问答题  什么是DCS?
                    
 
	
	点击查看答案
 本题答案:DCS也称分散式控制系统,它是利用计算机技术、控制技术
本题解析:试题答案DCS也称分散式控制系统,它是利用计算机技术、控制技术、通信技术、图形显示技术实现过程控制和过程管理的控制系统。
	
	
	        116、填空题  电子测量食品的功能包括变换功能、信号处理与传输功能、()与显示功能三种基本功能。
                    
 
	
	点击查看答案
 本题答案:测量结果
本题解析:试题答案测量结果
	
	
	        117、问答题  什么叫失真?如何对它进行测量?
                    
 
	
	点击查看答案
 本题答案:所谓失真度就是信号的全部谐波能量与基波能量的平方根值。
本题解析:试题答案所谓失真度就是信号的全部谐波能量与基波能量的平方根值。失真度分析仪是用来测量失真度的专用仪器,目前测量失真度的常用方法是基波抑制法,所谓基波抑制法,就是将被测信号中基波分量滤除,测量出所有谐波分量总的有效值,再确定其与被测信号总有效值相比的百分数即为谐波失真度值。
	
	
	        118、问答题  欲用电子计数器测量一个fx=200Hz的信号频率,采用测频(选闸门时间为1s)和测周(选时标为1s)两种方法。(1)试比较这两种方法由1误差所引起的测量误差;(2)从减小1误差的影响来看,试问fx在什么频率范围内宜采用测量频率的方法,什么范围内宜采用测量周期的方法?
                    
 
	
	点击查看答案
 本题答案: 91EXAm.org.91exam
 91EXAm.org.91exam
本题解析:试题答案
	
	
	        119、单项选择题  用示波器测量交流电压频率时,使用了X5倍扩展,电压一个周期占了时基线上的5格,时基因数为0.5ms/div,则其周期和频率分别为()
                    
	A、0.5ms,2Khz
	B、0.5ms,500KHZ
	C、2.5ms,400HZ
	D、2.5ms,2.5KHZ
 
	
	点击查看答案
 本题答案:A
本题解析:暂无解析
	
	
	        120、填空题  信号发生器的基本结构由振荡器、变换器、输出级、(),以及电源构成。
                    
 
	
	点击查看答案
 本题答案:指示器
本题解析:试题答案指示器
	
	
	        121、填空题  没有信号输入时,仍有水平扫描线,这时示波器工作在()状态,若工作在()状态,则无信号输入时就没有扫描线。
                    
 
	
	点击查看答案
 本题答案:连续扫描    ;    触发扫描;
本题解析:试题答案连续扫描    ;    触发扫描;
	
	
	        122、填空题  电子计数器的测周原理与测频相反,即由()信号控制主门开通,而用()脉冲进行计数。
                    
 
	
	点击查看答案
 本题答案:被测输入信号 ;       晶体震荡器信号;
本题解析:试题答案被测输入信号 ;       晶体震荡器信号;
	
	
	        123、问答题  高频信号发生器中的主振级有什么特点?为什么它总是采用LC振荡器?
                    
 
	
	点击查看答案
 本题答案:主振级用于产生高频振荡信号,它决定高频信号发生器的主要工作特
本题解析:试题答案主振级用于产生高频振荡信号,它决定高频信号发生器的主要工作特性。按产生主振信号的方法不同,高频信号发生器可分为调谐信号发生器、锁相信号发生器和合成信号发生器三大类。由调谐振荡器构成的信号发生器称为调谐信号发生器。常用的调谐振荡器就是晶体管LC振荡电路,LC振荡电路实质上是一个正反馈调谐放大器,主要包括放大器和反馈网络两个部分。这种电路易于在高频段起振和调节。
	
	
	        124、问答题  使用电子计数器测量频率时,如何选择闸门时间?
                    
 
	
	点击查看答案
 本题答案:电子计数器测量频率时,当被测信号频率一定时,主门开启时间越长
本题解析:试题答案电子计数器测量频率时,当被测信号频率一定时,主门开启时间越长,量化的相对误差就越小。所以在不使计数器产生溢出的前提,扩大主门的开启时间Ts,可以减少量化误差的影响。但主门时间越长测量时间就越长,所以两者应该兼顾。
	
	
	        125、问答题  说明系统误差、随机误差和粗差的主要特点。
                    
 
	
	点击查看答案
 本题答案:系统误差的主要特点是:只要测量条件不变,误差即为确切的
本题解析:试题答案系统误差的主要特点是:只要测量条件不变,误差即为确切的数值,用多次测量取平均值的办法不能改变或消除系差,而当条件改变时,误差也随之遵循某种确定的规律而变化,具有可重复性。
随机误差的特点是:①有界性;②对称性;③抵偿性。
粗差的主要特点是:测得值明显地偏离实际。
	
	
	        126、问答题  电流表的基本量程和扩大量程,哪一个量程的测量准确度高?为什么?
                    
 
	
	点击查看答案
 本题答案:电流表的基本量程是指不增加测量线路直接测量电流的量程。如磁电
本题解析:试题答案电流表的基本量程是指不增加测量线路直接测量电流的量程。如磁电式仪表可以直接测量直流,但由于被测电流要通过游丝和可动线圈,被测电流的最大值只能限制在几十μA到几十mA之间,要测量大电流,就需要另外加接分流器。因此扩大量程是通过并联不同的分流电阻实现,这种电流表的内阻随量程的大小而不同,量程越大,测量机构流过的电流越大,分流电阻越小,电流表对外显示的总内阻也越小,而电流表测量电流是串联在电路中的,内阻越小对电路的影响越小,因而测量准确越高。
	
	
	        127、填空题  电子电压表按其电路组成形式可以分为放大—检波式、()和外差式三种类型。
                    
 
	
	点击查看答案
 本题答案:检波-放大式
本题解析:试题答案检波-放大式
	
	
	        128、单项选择题  交流电压的波峰因数Kp定义为()。
                    
	A.峰值与平均值之比
	B.有效值与平均值之比
	C.峰值与有效值之比
	D.平均值与峰值之比
 
	
	点击查看答案
 本题答案:C
本题解析:暂无解析
	
	
	        129、填空题  YD2810B型LCR数字电桥的测试精度与测试速度成(),即测试速度_越慢测试精度(),但效率很低
                    
 
	
	点击查看答案
 本题答案:反比;越高
本题解析:试题答案反比;越高
	
	
	        130、单项选择题  交流电压表都按照正弦波电压()进行定度的。
                    
A.峰值  
B.峰—峰值  
C.有效值  
D.平均值
 
	
	点击查看答案
 本题答案:C
本题解析:暂无解析
	
	
	        131、问答题  高频信号发生器主要由哪些电路组成?各部分的作用是什么?
                    
 
	
	点击查看答案
 本题答案:高频信号发生器组成的基本框图如图7.2所示。主要包括主振级、
本题解析:试题答案高频信号发生器组成的基本框图如图7.2所示。主要包括主振级、缓冲级、调制级、输出级、监测电路和电源等电路。主振级产生高频振荡信号,该信号经缓冲级缓冲后,被送到调制级进行幅度调制和放大,调制后的信号再送给输出级输出,以保证具有一定的输出电平调节范围。监测电路监测输出信号的载波电平和调制系统数,电源用于提供各部分所需的直流电压。
	
	
	        132、问答题  选择测量方法时主要考虑的因素有哪些?
                    
 
	
	点击查看答案
 本题答案:在选择测量方法时,要综合考虑下列主要因素:①被测量本身
本题解析:试题答案在选择测量方法时,要综合考虑下列主要因素:①被测量本身的特性;②所要求的测量准确度;③测量环境;④现有测量设备等。
	
	
	        133、问答题  
	图示交流电桥,试推导电桥平衡时计算Rx和Lx的公式。若要求分别读数,如何选择标准元件?
	
                     
	
	点击查看答案
 本题答案: 试题答案
试题答案
	
	
	        134、单项选择题  电子计数器的测量精度主要由()的精度决定。
                    
	A.闸门
	B.显示电路
	C.输入通道
	D.晶体振荡器
 
	
	点击查看答案
 本题答案:D
本题解析:暂无解析
	
	
	        135、问答题  
	题2.18图为普通万用表电阻档示意图,Ri称为中值电阻,Rx为待测电阻,E为表内电压源(干电池)。试分析,当指针在什么位置时,测量电阻的误差最小?
	 
	
                     
	
	点击查看答案
 本题答案: 试题答案
试题答案
	
	
	        136、问答题  简述直流电桥测量电阻的基本方法。
                    
 
	
	点击查看答案
 本题答案: 试题答案
试题答案
	
	
	        137、问答题  利用拍频法测频,在46s内数得100拍,如果拍频周期数计数的相对误差为±l%,秒表误差为±0.2s,忽略标准频率(本振)的误差,试求两频率之差及测量的绝对误差。
                    
 
	
	点击查看答案
 本题答案: 试题答案
试题答案
	
	
	        138、单项选择题  在通用电子计数器中,施密特电路的主要功能是()。
                    
	A.控制输入信号的幅度
	B.控制主控门的开启与关闭
	C.产生时基信号
	D.将输入信号整形为脉冲信号
 
	
	点击查看答案
 本题答案:D
本题解析:暂无解析
	
	
	        139、填空题  时基信号一般由()产生。为得到各种不同的时标,可对同一时基信号进行和倍频。
                    
 
	
	点击查看答案
 本题答案:石英晶体振荡器;分频
本题解析:试题答案石英晶体振荡器;分频
	
	
	        140、问答题  用计数式频率计测量频率,闸门时间为1s时,计数器读数为5400,这时的量化误差为多大?如将被测信号倍频4倍,又把闸门时间扩大到5倍,此时的量化误差为多大?
                    
 
	
	点击查看答案
 本题答案: 试题答案
试题答案
	
	
	        141、问答题  目前常用的测频方法有哪些,各有何特点?
                    
 
	
	点击查看答案
 本题答案:目前常用的频率测量方法按工作原理可分为直接法和比对法两大类。
本题解析:试题答案目前常用的频率测量方法按工作原理可分为直接法和比对法两大类。  
(1)直接法  
是指直接利用电路的某种频率响应特性来测量频率的方法。电桥法和谐振法是这类测量方法的典型代表。直接法常常通过数学模型先求出频率表达式,然后利用频率与其它已知参数的关系测量频率。如谐振法测频,就是将被测信号加到谐振电路上,然后根椐电路对信号发生谐振时频率与电路的参数关系fx1/2LC,由电路参数L、C的值确定被测频率。  
(2)比对法  
是利用标准频率与被测频率进行比较来测量频率。其测量准确度主要取决于标准频率的准确度。拍频法、外差法及计数器测频法是这类测量方法的典型代表。尤其利用电子计数器测量频率和时间,具有测量精度高、速度快、操作简单、可直接显示数字、便于与计算机结合实现测量过程自动化等优点,是目前最好的测频方法。
	
	
	        142、问答题  某计数式频率计,测频率时闸门时间为1s,测周期时倍乘最大为×10000,晶振最高频率为10MHz,求中界频率。
                    
 
	
	点击查看答案
 本题答案: 试题答案
试题答案
	
	
	        143、单项选择题  在直流功率的测量中,电流表和电压表的连接方式有两种。通常,“先并联后串联”的连接方式适用于负载RL()的情况,“先串联后并联”则适用于负载RL()的情况。
                    
	A.较大、较大
	B.较大、较小
	C.较小、较大
	D.较小、较小
 
	
	点击查看答案
 本题答案:B
本题解析:暂无解析
	
	
	        144、问答题  逻辑分析仪有那些触发方式?
                    
 
	
	点击查看答案
 本题答案:逻辑分析仪一般有基本触发、手动触发、延迟触发、序列触发
本题解析:试题答案逻辑分析仪一般有基本触发、手动触发、延迟触发、序列触发、限定触发、计数触发和
毛刺触发等多种触发方式。
	
	
	        145、问答题  电子计数器输入电路的作用是什么?
                    
 
	
	点击查看答案
 本题答案:输入电路的作用时:阻抗变换、幅度调整和波形调整等,对于
本题解析:试题答案输入电路的作用时:阻抗变换、幅度调整和波形调整等,对于不同的测量功能,被测信号由不用的输入电路送入,且经各自规范化处理后称为符合闸门及控制电路要求的信号。
	
	
	        146、问答题  如何进行示波器的幅度校正和扫描时间校正?
                    
 
	
	点击查看答案
 本题答案:幅度校正的方法是:设校正器输出电压幅度为1V,把它加到Y输入
本题解析:试题答案幅度校正的方法是:设校正器输出电压幅度为1V,把它加到Y输入端,灵敏度开关置于“1”档的校正位置上,调节Y轴灵敏度电位器,使波形在Y轴显示为1cm或1div。  
扫描时间校正的方法是:设校正器输出电压的频率为1KHz,把它加到Y输入端,扫描时间开关置于“1”ms档的校正位置上,调节X轴灵敏度电位器,使标尺的满度范围内正好显示10个周期。
	
	
	        147、问答题  有两个电容器,其中C1=2000±40pF,C2=470pF±5%,问哪个电容器的误差大些?为什么?
                    
 
	
	点击查看答案
 本题答案: 试题答案
试题答案
	
	
	        148、问答题  准确度为0.5级、量程为0-100V的电压表,其最大允许的绝对误差为多少?
                    
 
	
	点击查看答案
 本题答案:最大允许的绝对误差为:xxmɨ
本题解析:试题答案最大允许的绝对误差为:xxms%1000.5%0.5V
	
	
	        149、填空题  计量基准通常分为国家计量基准、()和工作计量基准三类,也分别称作一级、二级、三级基准。
                    
 
	
	点击查看答案
 本题答案:国家副计量基准
本题解析:试题答案国家副计量基准
	
	
	        150、填空题  示波器的“聚焦”旋钮具有调节示波器中()极与()极之间电压的作用。
                    
 
	
	点击查看答案
 本题答案:第一阳(或A1) ;   第二阳(或A2, 或G2);
本题解析:试题答案第一阳(或A1) ;   第二阳(或A2, 或G2);
	
	
	        151、问答题  画出图示仪测试二极管正向特性曲线的简化原理图。
                    
 
	
	点击查看答案
 本题答案:晶体管图示仪可以测量二极管的正向伏安特性曲线。首先将图
本题解析:试题答案晶体管图示仪可以测量二极管的正向伏安特性曲线。首先将图示仪荧光屏上的光点置于坐标左下角,峰值电压范围置0~20V,集电极扫描电压极性置于“+”,功耗电阻置1kΩ,X轴集电极电压置0.1伏/度,Y轴集电极电流置5毫安/度,Y轴倍率置×1,将二极管的正负极分别接在面板上的C和E接线柱上,缓慢调节峰值电压旋扭,即可得到二极管正向伏安特性曲线。从屏幕显示图可以直接读出二极管的导通电压。

	
	
	        152、填空题  用计数器直接测周的误差主要有三项:()、()和触发误差误差。
                    
 
	
	点击查看答案
 本题答案:计数误差;时基误差
本题解析:试题答案计数误差;时基误差
	
	
	        153、问答题  计算下列波形的幅度和频率(经探头接入):
                    (2)V/div位于0.05档,t/div位于50μs档。  ①H=5div,D=6div  ②H=4div,D=4div  ③H=2div,D=5div
                    
 
	
	点击查看答案
 本题答案: 试题答案
试题答案
	
	
	        154、问答题  XD-22A型低频信号发生器的“输出衰减”旋钮置于40dB时,调节“输出细调”旋钮使指示电压表的读数分别为1V、3V、5V,问实际输出电压为多少?若指示电压表指针始终指在5V处,而“输出衰减”旋钮分别置于20dB、40dB、60dB时,问实际输出电压为多少?
                    
 
	
	点击查看答案
 本题答案:U实=U示/衰减倍数输出衰减分贝值是40dB时衰减倍数是10
本题解析:试题答案U实=U示/衰减倍数输出衰减分贝值是40dB时衰减倍数是100:电压表的读数分别为1V、3V、5V,实际输出电压为10mV,30mV,50mV。  
输出衰减分贝值分别为20dB、40dB、60dB时,衰减倍数依次是10、100、1000,则电压表指针为5V时,实际输出电压是500mV,50mV,5mV。
	
	
	        155、问答题  系统误差、随机误差和粗大误差的性质是什么?它们对测量结果有何影响?
                    
 
	
	点击查看答案
 本题答案:(1)系统误差是一个恒定不变的值或是具有确定函数关系的
本题解析:试题答案(1)系统误差是一个恒定不变的值或是具有确定函数关系的值;进行多次重复测量,系统误差不能消除或减少;系统误差具有可控制性或修正性。系统误差使测量的正确度受到影响。
(2)随机误差的性质主要有:在多次测量中,绝对值小的误差出现的次数比绝对值大的误差出现的次数多;在多次测量中,绝对值相等的正误差与负误差出现的概率相同,即具有对称性;测量次数一定时,误差的绝对值不会超过一定的界限,即具有有界性;进行等精度测量时,随机误差的算术平均值的误差随着测量次数的增加而趋近于零,即正负误差具有抵偿性。随机误差影响测量精度。
(3)粗大误差的主要性质是测量结果明显偏离实际值。它使测量结果完全不可信,只有在消除粗大误差后才能进行测量。
	
	
	        156、填空题  用一分贝测量仪表进行测量,其挡位为-20dB,指针指示值为-3dB,则所测dB值为()、V。
                    
 
	
	点击查看答案
 本题答案:-23dB
本题解析:试题答案-23dB
	
	
	        157、问答题  延迟线的作用是什么?延迟线为什么要放置在内触发信号之后引出?
                    
 
	
	点击查看答案
 本题答案:延迟线是一种传输线,起延迟时间的作用。  
在前面讨
本题解析:试题答案延迟线是一种传输线,起延迟时间的作用。  
在前面讨论触发扫描时已经介绍,触发扫描发生器只有当被观察的信号到来时才工作,也就扫描的开始时间总是滞后于被观测脉冲一段时间,这样,脉冲的上升过程就无法被完整地显示出来,因为有一段时间扫描尚未开始。延迟线的作用就是把加到垂直偏转板的脉冲信号延迟一段时间,使信号出现的时间滞后于扫描开始时间,这样就能够保证在屏幕上可以扫出包括上升时间在内的脉冲全过程。
	
	
	        158、单项选择题  在电子测量中,测量精度最高的测量是()。
                    
	A.频率
	B.电压
	C.电流
	D.功率
 
	
	点击查看答案
 本题答案:A
本题解析:暂无解析
	
	
	        159、单项选择题  电子测量仪器按发展通常可分为四个阶段,“软件就是仪器”指的是()。
                    
	A.模拟仪器
	B.数字仪器
	C.智能仪器
	D.虚拟仪器
 
	
	点击查看答案
 本题答案:D
本题解析:暂无解析
	
	
	        160、问答题  测量与计量两者是否是缺一不可?
                    
 
	
	点击查看答案
 本题答案:测量与计量是缺一不可的。计量是测量的一种特殊形式,是测量工作
本题解析:试题答案测量与计量是缺一不可的。计量是测量的一种特殊形式,是测量工作发展的客观需要,而测量是计量联系生产实际的重要途径,没有测量就没有计量,没有计量就会使测量数据的准确性、可靠性得不到保证,测量就会失去价值。因此,测量与计量是相辅相成的。
	
	
	        161、单项选择题  下列各项中不属于国际单位的是()。
                    
	A.坎德拉(cd)
	B.开尔文(K)
	C.摩尔(mol)
	D.千米(km)
 
	
	点击查看答案
 本题答案:D
本题解析:暂无解析
	
	
	        162、问答题  金属导体的电导率可用σ=4L/πd2R公式计算,式中L(cm)、d(cm)、R(Ω)分别为导线的长度、直径和电阻值,试分析在什么条件下σ的误差最小,对哪个参数的测量准确度要求最高。
                    
 
	
	点击查看答案
 本题答案: 试题答案
试题答案
	
	
	        163、问答题  某直流电桥的四个桥臂电阻分别为R1=1000Ω,R2=100Ω,R3=4lΩ和R4=400Ω。电源为1.5V(不计内阻),指示器灵敏度为2mm/A,内阻为50Ω。  (1)断开指示器,求其两端的戴维南等效电路。  (2)计算指示器由电路不平衡引起的偏转。
                    
 
	
	点击查看答案
 本题答案: 试题答案
试题答案
	
	
	        164、问答题  数字存贮示波器是怎样工作的?
                    
 
	
	点击查看答案
 本题答案:数字存贮示波器采用数字电路,将输入信号先经过A/D变换器,将
本题解析:试题答案数字存贮示波器采用数字电路,将输入信号先经过A/D变换器,将模拟波形变换成数字信息,存贮于数字存贮器中,需要显示时,再从存贮器中读出,通过D/A变换器,将数字信息变换成模拟波形显示在示波管上。
	
	
	        165、问答题  按具体测量对象来区分,电子测量包括哪些内容?
                    
 
	
	点击查看答案
 本题答案:电子测量内容包括:(1)电能量的测量如:电压,电流电功率等;
本题解析:试题答案电子测量内容包括:(1)电能量的测量如:电压,电流电功率等;(2)元件和电路参数的测量如:电阻,电容,电感,阻抗,品质因数,电子器件的参数等:(3)电信号的特性的测量如:信号的波形和失真度,频率,相位,调制度等;(4)电子电路性能的测量如:放大倍数,衰减量,灵敏度,噪声指数等:(5)特性曲线显示如:幅频特性,相频特性曲线等。
	
	
	        166、问答题  采用非实时取样示波器能否观察非周期性重复信号?能否观察单次信号?为什么?
                    
 
	
	点击查看答案
 本题答案:不能。由于非实时取样是从被测信号的许多相邻波形上取得样点的方
本题解析:试题答案不能。由于非实时取样是从被测信号的许多相邻波形上取得样点的方法,以间隔10个、100个甚至更多个波形上取一个样点,这样,非周期重复信号和单次信号是不可能观测的。
	
	
	        167、问答题  使用示波器观察波形时,调节哪些旋钮可以做到:
                    
 
	
	点击查看答案
 本题答案:(1)显示波形的位置在示波管屏幕上下移动及左右移动。(答:P
本题解析:试题答案(1)显示波形的位置在示波管屏幕上下移动及左右移动。(答:POSITION旋钮)  
(2)使显示波形清晰,扫描线均匀,亮度适中。(答:FOCUS、INTENSTTY)  
(3)波形的幅度大小适中。(答:LOCTS/DIV)  
(4)显示1~5个完整的小波形。(答:TIME/DIV)
	
	
	        168、问答题  按照舍入法则,对下列数据处理,使其各保留三位有效数字:  86.3724,8.9145,3.1750,0.003125,59450
                    
 
	
	点击查看答案
 本题答案: 试题答案
试题答案
	
	
	        169、填空题  示波器荧光屏的发光原理是将电子束的动能转换成光能,并产生部分()。
                    
 
	
	点击查看答案
 本题答案:亮点
本题解析:试题答案亮点
	
	
	        170、名词解释  脉冲的占空系数ε
                    
 
	
	点击查看答案
 本题答案:脉冲宽度τ与脉冲周期T的比值称为占空系数或空度
本题解析:试题答案脉冲宽度τ与脉冲周期T的比值称为占空系数或空度比。
	
	
	        171、填空题  测量是人们认识客观事物并获得其量值 的实验过程。测量的基本方法是实验方法,测量结果由()和单位两部组成。测量结果与真值之间的差异称为()。
                    
 
	
	点击查看答案
 本题答案:数值;测量误差
本题解析:试题答案数值;测量误差
	
	
	        172、问答题  试述使用XD-22A型低频信号发生器产生一个频率为5khz、电压值为10mV(有效值)正弦信号的调节过程。
                    
 
	
	点击查看答案
 本题答案:(1)打开电源,按下电源开关。  
(2)选择波形,
本题解析:试题答案(1)打开电源,按下电源开关。  
(2)选择波形,将转换开关S弹出由下输出孔输出正弦波信号。  
(3)调频率。调波段开关为10K再调节第三个频率调节旋钮使数码管显示窗口显示5kHz的信号,既三个开关的值调节为5,0,0,同时使kHz指示灯点亮。  
(4)幅度调节。调节输出旋钮,是显示的读数为1000(应配合衰减旋钮,使衰减挡调到40dB)则可以得到实际的电压值为10mV。
	
	
	        173、单项选择题  对于一确定系统,U=100V,I=5A,功率因数cos=0.8,无功功率Q=()。
                    
	A.400W
	B.500W
	C.100W
	D.300W
 
	
	点击查看答案
 本题答案:D
本题解析:暂无解析
	
	
	        174、单项选择题  上肢肌肉分为肩肌、臂肌、前臂肌和()。
                    
	A.手肌
	B.后臂肌
	C.胸肌
	D.背阔肌
 
	
	点击查看答案
 本题答案:A
本题解析:暂无解析
	
	
	        175、填空题  静电偏转型电子射线示波管从结构上看主要由三部分组成,即电子枪、()和荧光屏。其中电子枪又由灯丝、阴极、栅极、第一阳极、第二阳极和前加速级组成。
                    
 
	
	点击查看答案
 本题答案:偏转系统
本题解析:试题答案偏转系统
	
	
	        176、问答题  
	用一只量程为5V,准确度s=1.5级电压表测量题2.20图中a、b点电位分别为和Ua=4.26V,Ub=4.19V,忽略电压表的负载效应,求:
	①Ua、Ub绝对误差、相对误差各为多少?
	②利用Uab=Ua-Ub公式计算,则电压Uab的绝对误差和相对误差各为多少?
	 
	
                     
	
	点击查看答案
 本题答案: 试题答案
试题答案
	
	
	        177、问答题  示波器Y通道内为什么既接入衰减器又接入放大器?它们各起什么作用?
                    
 
	
	点击查看答案
 本题答案:为适应Y通道输入的被测信号的大幅度的变化既接入衰减器又接入放
本题解析:试题答案为适应Y通道输入的被测信号的大幅度的变化既接入衰减器又接入放大器。  
放大器对微弱的信号通过放大器放大后加到示波器的垂直偏转板,使电子束有足够大的偏转能量。  
衰减器对输入的大幅度信号进行衰减。
	
	
	        178、填空题  某模拟电压表的电压灵敏度为“20k/V”,则用100V电压挡时,电压表的内阻为()。
                    
 
	
	点击查看答案
 本题答案:2M
本题解析:试题答案2M
	
	
	        179、名词解释  副基准
                    
 
	
	点击查看答案
 本题答案:通过直接或间接与国家基准比对,确定其量值并经国家鉴定批准的计
本题解析:试题答案通过直接或间接与国家基准比对,确定其量值并经国家鉴定批准的计量器具。其地位仅次于国家基准,平时用来代替国家基准使用或验证国家基准的变化。
	
	
	        180、问答题  示波器测量电压和频率时产生误差的主要原因是什么?
                    
 
	
	点击查看答案
 本题答案:由于测量时是通过示波器屏幕上的刻度来读数的,目前的多数示波器
本题解析:试题答案由于测量时是通过示波器屏幕上的刻度来读数的,目前的多数示波器的最小刻度是1毫米,毫米以下是估测读数,同时,示波器显示的光迹不可能做得很细,因此产生误差的主要原因是读数误差。
	
	
	        181、问答题  如果示波器上的水平和垂直偏转板上加上相位差为180°、同频等幅的正弦信号,请逐点画出荧光屏上的显示图形
                    
 
	
	点击查看答案
 本题答案: 试题答案
试题答案

	
	
	        182、填空题  频谱仪显示出来的0HZ信号由()产生的。
                    
 
	
	点击查看答案
 本题答案:扫频振荡器
本题解析:试题答案扫频振荡器
	
	
	        183、问答题  画出电动单元组合仪表构成的简单控制系统图.
                    
 
	
	点击查看答案
 本题答案: 试题答案
试题答案
	
	
	        184、问答题  有两个周期相同的正弦波,在屏幕上显示一个周期为6个div,两波形间相位间隔为如下值时,求两波形间的相位差。  (1)0.5div(2)2div(3)1div  (4)1.5div(5)1.2div(6)1.8div
                    
 
	
	点击查看答案
 本题答案: 试题答案
试题答案
	
	
	        185、填空题  电压表的基本组成形式为()式。
                    
 
	
	点击查看答案
 本题答案:检波—放大;
本题解析:试题答案检波—放大;
	
	
	        186、问答题  示波器Y通道内为什么既接入衰减器又接入放大器?它们各起什么作用?
                    
 
	
	点击查看答案
 本题答案:为适应Y通道输入的被测信号的大幅度的变化既接入衰减器又接入放
本题解析:试题答案为适应Y通道输入的被测信号的大幅度的变化既接入衰减器又接入放大器。  
放大器对微弱的信号通过放大器放大后加到示波器的垂直偏转板,使电子束有足够大的偏转能量。  
衰减器对输入的大幅度信号进行衰减。
	
	
	        187、填空题  随机误差的特点主要有三个:()、对称性和抵偿性。
                    
 
	
	点击查看答案
 本题答案:有界性
本题解析:试题答案有界性
	
	
	        188、问答题  说明点频法和扫频法测量网络频率特性的原理和各自特点。
                    
 
	
	点击查看答案
 本题答案:点频法测量网络频率特性的原理就是“逐点”测量幅频特性或相频特
本题解析:试题答案点频法测量网络频率特性的原理就是“逐点”测量幅频特性或相频特性。  
其特点是:原理简单,需要的设备也不复杂。但由于要逐点测量,操作繁琐费时,并且由于频率离散而不连续,非常容易遗漏掉某些特性突变点,而这常常是我们在测试和分析电路性能时非常关注的问题。另外当我们试图改变电路的结构或元件参数时,任何改变都必然导致重新逐点测量。  
扫频法测量网络频率特性的原理就是在测试过程中,使信号源输出信号的频率按特定规律自动连续并且周期性重复,利用检波器将输出包络检出送到示波器上显示,就得到了被测电路的幅频特性曲线。  
其特点是:①可实现网络的频率特性的自动或半自动测量;②不会出现由于点频法中的频率点离散而遗漏掉细节的问题;③得到的是被测电路的动态频率特性,更符合被测电路的应用实际。
	
	
	        189、填空题  扫频仪中稳副电路的作用是(),从而使扫频信号的振幅恒定。
                    
 
	
	点击查看答案
 本题答案:减少寄生调幅
本题解析:试题答案减少寄生调幅
	
	
	        190、单项选择题  高频信号发生器的工作频率一般为()
                    
	A、1Hz——1MHz
	B、0.001Hz——1kHz
	C、100KHz——35MHz
	D、300MHz以上
 
	
	点击查看答案
 本题答案:C
本题解析:暂无解析
	
	
	        191、问答题  电子示波器有哪些特点?
                    
 
	
	点击查看答案
 本题答案:电子示波器的基本特点是:
①能显示信号波形,
本题解析:试题答案电子示波器的基本特点是:
①能显示信号波形,可测量瞬时值,具有直观性。
②输入阻抗高,对被测信号影响小。
③工作频带宽,速度快,便于观察高速变化的波形的细节。
④在示波器的荧光屏上可描绘出任意两个电压或电流量的函数关系。
	
	
	        192、填空题  高频信号发生器主要由主振级、()、内调制振荡器、输出级、监视器和电源六部分组成。
                    
 
	
	点击查看答案
 本题答案:调制级
本题解析:试题答案调制级
	
	
	        193、问答题  智能仪器的结构特点是什么?
                    
 
	
	点击查看答案
 本题答案:智能仪器是将人工智能的理论、方法和技术应用于仪器,使其
本题解析:试题答案智能仪器是将人工智能的理论、方法和技术应用于仪器,使其具有类似人智能特性或功能的仪器。目前,人们习惯把内含微型计算机和GPIB接口的仪器称为智能仪器。为了实现智能化的特性或功能,智能仪器中一般都使用嵌入微处理器的系统芯片(SOC)、或数字信号处理器(DSP)及专用电路(ASIC),仪内部带有处理能力很强的智能软件。但通属于专用型计算机,相应的测试软件也相对固定。
	
	
	        194、问答题  
	题3.18图(a所示方案观测网络瞬态响应,如果输入波形是矩形脉冲(b),被观测网络分别为(c)、(d),则示波器上显示的输出波形各为什么?
	 
	
                     
	
	点击查看答案
 本题答案: 试题答案
试题答案
	
	
	        195、填空题  信号发生器按输出波形分为正弦信号发生器、()、函数信号发生器和噪声信号发生器。
                    
 
	
	点击查看答案
 本题答案:脉冲信号发生器
本题解析:试题答案脉冲信号发生器
	
	
	        196、单项选择题  止血药中有小毒的药物是()。
                    
	A.三七
	B.蒲黄
	C.侧柏叶
	D.艾叶
	E.槐花
 
	
	点击查看答案
 本题答案:D
本题解析:暂无解析
	
	
	        197、问答题  两只电阻分别为R1=20Ω±2%,R2=(100±0.4)Ω,求:两电阻串联及并联两种接法时的总电阻和相对误差。
                    
 
	
	点击查看答案
 本题答案: 试题答案
试题答案
	
	
	        198、问答题  4.已知示波器的灵敏度微调处于“校正”位置,垂直偏转因数开关置于1V/div,屏幕上峰与峰之间的垂直距离为5div,试求信号峰-峰值。如果再加上一个10:1的示波器探头,结果又是多少?
                    
 
	
	点击查看答案
 本题答案:信号峰峰值Vp-p=1V/div5div=5v  
本题解析:试题答案信号峰峰值Vp-p=1V/div5div=5v  
加有一个10:1的示波器探头后Vp-p=1V/div5div=5v
	
	
	        199、问答题  简述函数信号发生器由三角波转变为正弦波的二极管网络的工作原理。
                    
 
	
	点击查看答案
 本题答案:正弦波形通常是用三角波经非线性形成网络,用分段折线逼近的方法
本题解析:试题答案正弦波形通常是用三角波经非线性形成网络,用分段折线逼近的方法来产生的。正弦波形成电路的功能是将三角波整形为近似的正弦波输出。电路中使用了6对二极管。+2V、-2V直流电源和电阻R1~R6及R1’~R6’,为二极管提供适当的偏压,以控制三角波逼近正弦波时转折点的位置。随输入三角波信号电压升高或降低的变化,6对二极管将依次导通或截止,并把电阻R8~R12依次接入电路或从电路中断开。电路中每一个二极管可产生一个转折点,每一对二极管就可获得6段折线,因此整个电路可产生26段折线。由这种正弦波形成网络所获得的正弦波信号失真可小于0.25%。
	
	
	        200、单项选择题  矩形脉冲信号与方波信号的区别,在于以下()不同。
                    
	A、周期
	B、上升时间
	C、占空比
	D、幅度
 
	
	点击查看答案
 本题答案:B
本题解析:暂无解析
	
	
	        
		  
      
      题库试看结束后
微信扫下方二维码即可打包下载完整版《★动力与电气工程》题库
手机用户可保存上方二维码到手机中,在微信扫一扫中右上角选择“从相册选取二维码”即可。
题库试看结束后微信扫下方二维码即可打包下载完整版《动力与电气工程:电子测量》题库,分栏、分答案解析排版、小字体方便打印背记!经广大会员朋友实战检验,此方法考试通过率大大提高!绝对是您考试过关的不二利器!
手机用户可保存上方二维码到手机中,在微信扫一扫中右上角选择“从相册选取二维码”即可。
  微信搜索关注"91考试网"公众号,领30元,获取公务员事业编教师考试资料40G