时间:2018-09-04 01:37:18


1、问答题 已知:重整一、二、三、四反应器催化剂装填比为8.5:13.5:28:50,重整一、二、三、四反入口温度分别为490℃、493℃、495℃、498℃,出口温度分别为419℃、449℃、469℃、486℃,求重整反应加权平均床层温度WABT。
2、多项选择题 物质从液态直接变为气态叫汽化,汽化的方式有()
A.蒸发
B.升华
C.沸腾
D.吸热
3、单项选择题 有一支螺栓,其规格是M20×100,表示其长度是()。
A.20mm
B.100mm
C.2000mm
4、判断题 压力对溶剂的溶解度影响大,所以要保持压力平稳。
5、多项选择题 预分馏塔回流比小会产生()影响。
A.增大塔底重沸炉负荷;
B.使回流罐温度升高;
C.使塔压力增大;
D.会将C6组分从塔顶带走;
E.引起冲塔现象;
F.使塔压力减小。
6、问答题 重整氢纯度下降,原因有哪些?
7、判断题 压力容器组焊时,横缝和纵缝可以采用十字焊缝。
8、问答题 溶剂比对抽提过程有什么影响?(重整装置)
9、判断题 操作变化时,温差控制能达到提前发现、提前调节和消除大气压变化的影响。
10、判断题 苯塔塔底重沸器停工时应等温度小于100℃后,再关闭热载体阀门。
11、单项选择题 四乙二醇醚可与()互溶。
A.水
B.非芳烃
C.甲苯
D.二甲苯
12、判断题 防毒面具可分为过滤式和隔离式两大类。
13、单项选择题 调节阀的上。下游切断阀一般选用()。
A.截止阀
B.闸阀
C.减压阀
14、单项选择题 下列哪些组是CB-6重整催化剂的Pt/Re金属比()。
A.0.30/0.26
B.0.20/0.42
C.0.16/0.31
D.0.28/0.25
15、单项选择题 对于CB-6,CB-7催化剂将气中水含量控制在()较适宜。
A.20~30ppm
B.20~35ppm
C.25~40ppm
D.25~35ppm
16、多项选择题 在催化重整催化剂上发生的基本反应是()
A.烷基化反应
B.直链烷烃异构化反应;
C.烷烃的脱氢环化反应;
D.烷烃的加氢裂化反应;
E.六员环烷的脱氢反应;
F.五员环烷的脱氢异构反应;
G.歧化反应。
17、单项选择题 脱戊烷油的初馏点过低{<58℃会导致抽提塔()。
A.产生汽化负荷增大
B.利于溶剂的溶解
C.较好的传质过程
18、判断题 选用压力表时,只要量程大于实际压力,就可以使用。
19、判断题 泵采用变频技术主要是为了调节更灵敏。
20、单项选择题 当发现容器的安全阀跳时应()。
A.立即关安全阀上、下游阀
B.调整操作,待无超压时,关上,下游阀
C.不用关上、下游阀
21、判断题 重整原料中,对催化剂有害的最难除掉的毒物是硫。
22、判断题 泵的基本性能可由泵的基本性能参数来表明。
23、问答题 说明重整催化剂烧焦为什么不用蒸汽而是用氮气作载体?
24、判断题 回流罐带水,只降低精馏塔顶温度,对塔平衡操作影响不大。
25、单项选择题 四乙二醇醚具有()的优点。
A.粘度小
B.分解温度低
C.凝固点高
26、判断题 对于重整各可逆反应来说,升高温度既提高了正反应速度也提高了逆反应速度,因此在实际生产中对提高重整转化率帮助不大。
27、判断题 风压一半时,塔302顶蝶阀开度最大。
28、判断题 芳烃抽提在有溶剂存在时,可简化为三元体系。
29、多项选择题 下列关于分解温度说法正确的是()
A.四乙二醇醚的分解温度是237℃
B.三乙二醇醚的分解温度是206℃
C.四乙二醇醚的分解温度是206℃
D.三乙二醇醚的分解温度是237℃
30、判断题 由于结焦而失活及被金属或非金属中毒的重整催化剂都可以烧焦的方法再生。
31、单项选择题 瞬时停电精馏岗位如何办?()
A.迅速启动各停运的机泵,调整操作至正常
B.按紧急停工处理
C.不用处理
32、单项选择题 催化剂再生烧焦是从()开始。
A.低温、高氧
B.高温、高氧
C.低温、低氧
33、多项选择题 汽提塔吹氢的作用是()
A.保证塔的操作压力稳定
B.降低塔内油气分压
C.提高塔压
D.解析生成油中混有的有害气体如H2S、NH3、H2O、HCL等
34、判断题 加氢精制的目的是脱硫和脱氮的催化剂为钼酸钴催化剂。
35、单项选择题 抽提塔的塔盘形式是()。
A.浮阀塔盘
B.圆泡帽塔盘
C.筛板塔盘
36、单项选择题 汽油的焦点温度为()℃。
A.500
B.109
C.328.50
D.106.9
37、单项选择题 同样高的精馏塔、波纹填料塔比较板式塔的分离为()。
A.一样
B.较好
C.较差
38、单项选择题 再生后的溶剂的颜色是()。
A.透明白色
B.黄色
C.黑色(KHD:工艺基本知识)
39、判断题 汽提塔底液面是一个重要控制参数,故不允许有任何波动。
40、单项选择题 加热炉过剩空气系数过大是()造成的。
A.风门及烟道挡板开度大
B.燃料量太小
C.排烟温度低
41、判断题 改善换热器换热效率唯一办法是增加两股流体的温差。
42、单项选择题 为提高作业者的熟练程度,减少作业中的失误,提高效率,稳定质量,应采取()。
A.物资标准化
B.作业方法标准法
C.单纯化方法
43、单项选择题 停工时抽净罐底油后要用蒸汽吹扫()小时。
A.24
B.36
C.48
44、问答题 大庆直馏汽油60-130℃馏分重整原料油,分析后组成数据如下,求芳烃潜含量?
45、判断题 汽提塔侧线控制是应该先开侧线,后打回流。
46、单项选择题 液体发生闪燃的最低温度叫()。
A.闪点
B.燃点
C.自燃
47、判断题 过剩空气系数的大小是衡量加热炉热效率高低的重要标志。
48、问答题 已知重整进料为35t/h,用瓶装500ml的二氯乙烷(密度为1.253g/ml)作为注氯剂,若要求注氯1.6ppm(对重整进料),求每天要注二氯乙烷几瓶?
49、多项选择题 精馏过程的必备条件是()
A.汽相和液相组分的浓度差;
B.合理的温度梯度;
C.必须有顶部的温度较低、轻组分浓度较高的液相回流和底部温度较高而重组分浓度较高的底部回流;
D.每一层接触级必须提供汽、液两相密切接触的设施――塔板。
50、单项选择题 往复泵的流量与扬程的关系()。
A.成正比
B.成反比
C.流量与扬程无关
51、多项选择题 塔307真空度低的现象是()
A.从仪表指示上看真空度下降
B.减压塔中部集油箱液面下降
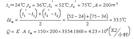
C.减压塔中部集油箱液面上升
D.塔底液面上升
E.塔底液面下降
52、问答题 预加氢改串氢时的操作步骤及注意事项?
53、单项选择题 由于结构原因,无法按要求进行检查或检验的压力容器,至少每()年进行一次耐压试验。
A.2
B.3
C.4
D.6
54、问答题 催化重整装置如何分类?(按结构型式、再生方式、生产的目的)
55、单项选择题 苯塔、甲苯塔收率一般要求达到()。
A.95%
B.99%
C.100%
56、判断题 灰铸铁阀门可以用于蒸汽,高温油品,有毒、剧毒易燃以及温差较大的管道中。
57、判断题 优良的抽提操作,标志着芳烃回收率高,芳烃质量好,能耗低。
58、单项选择题 影响抽提塔压力不稳的主要因素是()。
A.非芳烃流量
B.富溶剂排出量
C.进料量
59、多项选择题 抽提溶剂比与温度、含水量的关系是()
A.当温度增加10℃,相当溶剂比增加0.78。
B.当温度增加10℃,相当溶剂比减少0.78。
C.当含水量增加2%(重),相当溶剂比增加0.80。
D.当含水量增加2%(重),相当溶剂比减少0.80。
60、单项选择题 原油含盐过多,主要是影响()的质量。
A.轻汽油
B.直馏煤油
C.芳香烃
D.减压渣油
61、单项选择题 有一台离心泵,其轴功率为10KW,它的电机的功率应为()。
A.10KW
B.12KW
C.20KW
62、单项选择题 在选择螺栓与螺母材料时,应该遵循的原则是()。
A.螺栓与螺母材料硬度一致
B.螺栓比螺母材料硬度高
C.螺栓比螺母材料硬度低
63、单项选择题 检查中发现一侧声带固定在中间位,则提示为()。
A.喉返神经麻痹
B.喉上神经麻痹
C.混合型喉麻痹
D.喉感觉过敏
E.喉感觉消失
64、单项选择题 装置排污水的合格率要求()。
A.>90%
B.<85%
C.>10%
65、单项选择题 决定抽提系统溶剂再生的重要标志()。
A.溶剂颜色的深浅
B.色谱分析非芳
C.贫溶剂含水量大
66、判断题 重整反应为体积增大的反应,降低压力有利于脱氢反应的进行,因此 在生产中采用调节压力控制重整转化率。
67、单项选择题 抽提过程中以三乙二醇醚为溶剂时,其溶剂比应选择为()。
A.7-8
B.9-12
C.12-15
D.5-9
68、判断题 提高溶剂比有助于提高芳烃纯度。
69、判断题 结晶点和冰点主要是用来评定航空汽油和喷气燃料。
70、判断题 抽提温度升高,芳烃在溶剂的溶解度加大,芳烃回收率增加,溶剂对芳烃与非芳烃的选择性降低,芳烃纯度下降。
71、判断题 对原油进行分类和评价是为了合理利用和加工。
72、判断题 减压再生塔的真空度为负数。
73、判断题 预分馏切取合适的馏份对提高芳烃产率,延长催化剂寿命和液收率都是非常有利的。
74、判断题 增大离心泵的转数或增大叶轮半径可提高扬程。
75、问答题 半再生重整催化剂在什么情况下必须停工再生?(重整装置)
76、单项选择题 在对换热器进行试压时,在规定的试验压力下,低压换热器恒温时间不低于()高压换热器不低于()。
A.5和20分钟
B.5和20小时
C.都为20分钟
77、单项选择题 不能用于灭电器火灾(带电)的灭火器。
A.1211灭火器
B.二氧化碳灭火器
C.泡沫灭火器
78、问答题 稳定塔顶不凝气增加,原因有哪些?(重整装置)
79、多项选择题 空速大时会有()不利影响,因此在操作中,还应适当提高反应温度。
A.重整转化率低
B.催化剂结焦加快
C.液收率降低
D.辛烷值下降
E.氢纯度降低
F.裂解加剧
80、判断题 贫溶剂正常PH值一般控制在7.5-8.5范围,PH值下降时,加单乙醇胺。
81、判断题 安装螺栓螺母时螺栓端头外露长度一般不大于2倍螺距。
82、问答题 某水泵的扬程是19.7米的水柱,流量为10m3/h,水的密度为ρ=1000Kg/m3,g=9.8泵的轴功率为1.07KW,求泵的实际功率及泵的效率。
83、判断题 抽提塔塔底最下层溶剂流量是贫溶剂、芳烃和回流芳烃三者之和。
84、问答题 某减压塔精馏操作时,要求塔顶压强保持5Kpa,当时当地大气压强为100Kpa,请计算该塔顶应控制多少毫米汞柱?
85、多项选择题 优良的抽提操作标志是()
A.要求有较高的芳烃回收率
B.要求贫溶剂含水量最低
C.要求芳烃纯度高
D.要求溶剂消耗量小
86、多项选择题 在重整装置停工、大检修及开工期间,重整催化剂的再生主要包括以下内容()。
A.烧炭;
B.硫化;
C.氧化;
D.还原;
E.氯化
87、判断题 预分馏原料对密度没特别的要求,但它能反映原料组份的轻重。
88、单项选择题 有一个阀门,其型号为Z41H-40Dg25,它的压力等级是()。
A.41公斤/平方厘米
B.40公斤/平方厘米
C.25公斤/平方厘米
89、判断题 溶剂选择性越好,即溶解度越大。
90、单项选择题 压缩机出口温度升高的原因()。
A.负载减小
B.冷却效果变好
C.输送介质变化
91、问答题 预加氢进油的操作步骤?
92、判断题 温差调节控制仪表允许回流量副回路和温差主回路单参数调节。
93、多项选择题 工艺卡片中,要求重整进料油含硫、砷量是()
A.砷<1PPb
B.砷<0.5PPb
C.硫<0.5PPm
D.硫<1PPm
94、判断题 通过流体本身的流动来传热是传热过程的基本方式。
95、判断题 油品温度升高,爆炸下限降低。
96、问答题 叙述温度、压力对重整反应有什么影响?(重整装置)
97、单项选择题 工艺卡片中,要求产品苯的结晶点()
A.≮5.45℃
B.≮5.40℃
C.≮5.35℃
D.≮5.00℃
98、单项选择题 瓦斯罐瓦斯带油严重,热载体炉底部火嘴有堵塞现象,对精馏岗位有何影响?()
A.苯温差跑,精馏要改循环
B.对苯塔进料温度有影响,但因苯塔底用蒸汽加热,故不致于精馏改循环
99、多项选择题 重整催化剂中毒后可能出现的现象有()
A.重整在线气中水量迅速上升
B.总温降迅速下降
C.稳定塔底油芳烃含量迅速下降
D.氢纯度迅速下降
100、单项选择题 抽提原料中烯烃含量增加会使得()。
A.芳烃收率增加
B.芳烃质量不合格
C.芳烃纯度提高
101、判断题 加氢反应中氢纯度越高有利于反应中的氢分压增大,这样可以减少催化剂的积炭,因此在生产中要保证一定的氢纯度。
102、单项选择题 CB-6重整催化剂按其金属组分来划分属于()催化剂。
A.金属氧化物型
B.纯铂型
C.双金属型D
.多金属型;
103、多项选择题 在装置检修中,有四个设备需要进人作业,其氧含量分析如下,按规定()氧含量不合格,需要进一步通风置换。
A.15.2%
B.18.2%
C.20.1
D.17.9
104、判断题 离心压缩机排量不足的根本原因是转速过低。
105、单项选择题 从一分离塔的()可以看出该塔的加工能力。
A.塔高
B.塔径
C.进料口高度
D.出料口个数
106、问答题 用计算法证明用22kw/h的真空泵取代1.2t/h的三级抽空器的可行性。
107、问答题 重整催化剂为什么要预硫化?
108、多项选择题 在加热炉中包含的传热方式有()
A.传导
B.对流
C.辐射
109、单项选择题 往复式压缩机的出入口温度的变化是()。
A.增大
B.不变
C.减少
110、单项选择题 某设备的操作压力为0.8MPa,应当安装()量程的压力表。
A.0-0.8MPa
B.0-1.0mpa
C.0-1.6Mpa
D.0-2.5MPa
111、单项选择题 离心泵进行串联或并联使用时哪些参数要变化()。
A.流速和压力降低
B.离心效率和功率变化
C.同一扬程下流量增大
112、判断题 抽提溶剂的特点是比重大,与烃类易形成逆流动。
113、判断题 同一物系,当选择分散相介质不同时,其分散相适宜过孔速度也不同。
114、单项选择题 苯塔回流罐液面高时,其侧线开度应适当()。
A.关小
B.开大
C.不变
115、判断题 温差控制与外界压力有关,因而不能消除压力的影响。
116、多项选择题 抽提四乙二醇醚溶剂对()溶解度较高。
A.正己烷
B.苯
C.甲苯
D.二甲苯
117、多项选择题 下列物质中折光率n20D大于1.3910的有()。
A.回流芳烃
B.芳烃
C.非芳烃
D.脱戊烷油
118、问答题 已知:WABT=480℃,脱水塔底油中水为YF=5ppm,汽油分子比为G=6,重整进料油的平均分子量M=108,循环气中水为YR=25ppm,进料中水与气中水含量关系为3.2,求:注氯、注水量为多少?
119、单项选择题 对于铂、铼催化剂进行二段再生时,两段温度一般控制在()。
A.400~440℃;480~510℃
B.350~380℃;420~450℃
C.380~420℃;450~490℃
D.350~400℃;450~500℃
120、多项选择题 对于一个反应系统来说,造成系统压降过高的原因有()
A.催化剂迁移
B.催化剂粉碎
C.催化剂积炭
D.装置检修中带入的铁锈覆盖在催化剂表面
121、单项选择题 抽提过程中以四乙二醇醚为溶剂时,其溶剂比应选择为()。
A.7-8
B.9-12
C.12-15
D.5-9
122、判断题 有些炼厂加氢装置规模是根据催化重整装置副产氢气的能力来规划的。
123、判断题 因为压力对溶剂的溶解能力和选择能力影响较小,故抽提塔可常压操作。
124、判断题 螺栓和螺母的材质不应完全相同。
125、多项选择题 在重整一反中,主要进行的反应为()
A.环烷脱氢反应
B.加氢裂化
C.烷烃异构化反应,
126、问答题 生产过程如何保护预加氢催化剂?
127、单项选择题 生产过程中,造成塔压力升高的原因之一是()。
A.进料量大,抽出量大
B.进料量大,抽出量小
C.进料量小,抽出量小
D.进料量小,抽出量大
128、单项选择题 下面物品中()不属于压力容器安全附件。
A.压力表
B.温度计
C.单向阀
D.可燃气体报警器
129、问答题 某车间脱戊烷油芳烃分析结果:含苯10%,甲苯21%,二甲苯19.4%,重芳烃3%,抽余油含芳烃:苯0.02%,甲苯0.40%,二甲苯3.10%,重芳烃1.72%,求该车间抽提芳烃回收率。
130、判断题 对预分馏塔设计,首先是确定塔的物料平衡。
131、判断题 Ⅰ、Ⅱ、Ⅲ类管道每年至少进行一次全面检查。
132、多项选择题 预加氢催化剂的烧焦需调通()等烧焦盲板。
A.工业风;
B.氮气;
C.蒸汽;
D.烧焦混合气进炉;
E.预加氢进料入炉;
F.反应器出口去烟囱;
G.反应器出口去高压分离器;
133、单项选择题 油品能发生自然的最低油温称为()。
A.开杯闪点
B.闭杯闪点
C.自然点
D.爆炸下限
134、单项选择题 消声器中的金属网的作用是()。
A.吸收高频声
B.吸收低频声
C.起固定作用
135、单项选择题 重整催化剂中氯的作用是促进()作用。
A.环化
B.异构化
C.脱氧
136、单项选择题 预加氢催化剂烧焦结束后,为了加快床层降温速度,通常采取()。
A.一次连续通入大量氮气
B.加大供风量
C.间断通入大量氮气
D.重新开机循环降量
137、判断题 泵的扬程是指泵能输送液体的高度。
138、判断题 油品的分馏效果决定于塔板数的变化。
139、多项选择题 下列那些物质是无机物?()
A.硫化氢
B.苯
C.二氧化碳
D.乙醇
140、单项选择题 当预分馏原料中()时进料口可下移。
A.轻组分过多
B.轻组分过少
C.重组分过多
141、单项选择题 烯烃的闪点比烷烃、环烷烃、芳香烃都()。
A.高
B.低
C.一样
142、判断题 实践证明,贫溶剂含水量一般在7-8%,溶剂对芳烃有较高选择性和溶解度。
143、判断题 管路中物体流动时其层流与湍流的根本区别在于流体内部质点的运动方式不同。
144、问答题 某换热器换热面积为200m2,传热系数为150kcal/m2•h•℃,冷流入口温度为24℃,出口温订为36℃,热流入口温度为75℃,出口温度为52℃,求此换热器的换热量。
145、单项选择题 抽提塔顶温度一般由()温度决定。
A.富溶剂
B.进料量
C.贫溶剂
D.回流芳烃
146、单项选择题 运行中电机身温度≯()为正常。
A.80℃
B.30℃
C:90℃
147、多项选择题 衡量催化剂性能的指标有()
A.活性
B.选择性
C.寿命
D.稳定性
148、问答题 已知重整进料为53t/h,用瓶装500ml的二氯乙烷(密度为1.253g/ml)作为注氯剂,若要求注氯1.6ppm(对重整进料),求每天要注二氯乙烷几瓶?
149、多项选择题 苯塔采用温差控制的优点主要是()
A.能克服外界大气的影响
B.能降低生产成本
C.能降低塔的操作压力
D.能超前控制,保证产品质量。
150、单项选择题 催化重整中最重要的有代表性的反应是()。
A.六员环烷烃脱氢反应
B.烷烃的脱氢环化反应
C.五员环烷的脱氢异构反应
D.加氢裂化反应
151、单项选择题 可以作为催化重整提供反应场所的是()。
A.吸收罐
B.裂解炉
C.反应釜
D.经向反应器
152、单项选择题 影响抽提塔界面的因素是()。
A.富溶剂、非芳烃抽出量
B.贫溶剂含水量、汽提水量
C.抽提塔温度
153、判断题 抽提过程最显著标志是具有较高的芳烃回收率,要求达到95%以上。
154、判断题 一些重要的阀门填料中加入少许锌料的作用是防止填料粘结,以便更换填料。
155、判断题 离心泵与往复泵都可以用其出口阀调节流量。
156、单项选择题 泡沫灭火机内的什么药需用温水溶解()。
A.内药和外药
B.内药
C.外药
157、单项选择题 重整高温换热器法兰泄漏着火,选用()扑救最适宜。
A.蒸汽
B.水
C.泡沫
D.二氧化碳
158、判断题 停工时油品闪点低于130℃的管线可用风吹扫。
159、判断题 随着催化重整的进展,我国成为世界上催化重整与芳烃生产能力,技术力量较强的国家。
160、判断题 汽提塔注入汽提水,主要是降低富溶剂中烃的分压。
161、单项选择题 当发现重整系统气中水突然增大时,应()反应温度。
A.提高
B.降低
C.不改变
162、判断题 在汽提塔内注入汽提水,可降低溶剂中烃的分压,芳烃就容易从溶剂中脱离出来,故汽提水越多越好。
163、多项选择题 下列()会使预加氢催化剂寿命缩短
A.反应器温度过高;
B.进料干点过高;
C.进料空速过高;
D.循环气氢纯度过低,氢分压下降;
E.氢油比过低等。
164、问答题 抽提塔进料为12.54t/h,回流量为19.27t/h,贫溶剂量为141.30t/h,脱戊烷油含芳烃为60%, 抽余油中含芳烃4.5%,求溶剂比,回流比和芳烃回收率。
165、判断题 操作条件不合适,如溶剂比小,回流比大或抽提温度过低都会造成芳烃质量不合格。
166、判断题 溶剂含水量升高,选择性增加,芳烃收率增加。
167、多项选择题 重整催化剂再生过程通常包括()等过程。
A.烧焦
B.预硫化
C.氯化和更新
168、判断题 当发生中毒、窒息事故时,应立即将患者脱离危险区,放到安全的、空气清新的地方。
169、单项选择题 稳定汽油的饱和蒸汽压较高,应采取下列()调节较适宜。
A.升高稳定塔压力
B.减小塔顶回流量
C.降低回流罐压力
D.提高塔底温度
170、问答题 预加氢长时间停电应怎样处理?
171、单项选择题 油品粘度与温度的关系温度上升时,粘度()。
A.上升
B.下降
C.不变
172、判断题 温差调节控制系统平时可以用主回路单参数调节。
173、判断题 灵敏塔盘指当塔顶产品纯度发生变化时,温度相应变化最大的一块塔盘。
174、单项选择题 减压再生塔再生溶剂关键是()。
A.塔底温度较低
B.循环水量大
C.塔内真空度高
175、不定项选择 催化重整可以改善汽油质量是因为()
A.重整汽油烯烃含量很少。
B.重整汽油的硫含量小于0.5µg/g。
C.重整汽油中含有苯。
D.重整汽油辛烷值高。
176、单项选择题 重整装置因某原因被迫紧急停工时,反应器紧急降温到()。
A.常温
B.进油温度
C.100℃
177、问答题 重整原料中芳烃潜含量为42.15%,其中苯潜含量为11.7%…,重整进料量为13.1t/h,得脱戊烷油11.083t/h,脱戊烷油芳含41.8%,其中苯含量11.8%,求重整转化率和苯转化率。
178、判断题 重整催化剂的酸性功能是由担体Al2O3和酸性组分氯提供的。
179、单项选择题 临氢系统的碳钢设备壁温不得超过()。
A.250℃
B.300℃
C.350℃
180、单项选择题 四乙二醇醚与三乙二醇醚相比,溶解能力较()。
A.强
B.弱
C.一样
181、单项选择题 芳烃抽提,是利用不同物质在溶剂中的()不同的性质,把芳烃与非芳烃分开。
A.溶解度
B.沸点
C.馏程
182、问答题 重整催化剂硫中毒有何现象?
183、单项选择题 用蒸汽抽真空时减压塔真空度低,其原因可能是()。
A.蒸汽压力过大
B.冷却水压低
C.塔底循环量大
184、多项选择题 在较高苛刻度时可得到较高辛烷值的产品,但同时生成油的收率就降低。可增加苛刻度的操作有()
A.提高进口温度;
B.提高进料空速;
C.提高反应压力。
D.降低进口温度;
E.降低进料空速;
F.降低反应压力。
185、判断题 苯类产品不合格时,应送入芳烃罐和脱戊烷油罐,以待回炼,不得已时可送作汽油。
186、判断题 苯塔、甲苯塔进料口有二个,而二甲苯塔则有三个。
187、问答题 某换热器换热面积为200m2,传热系数为150kcal/m2•h•℃,冷流入口温度为24℃,出口温度为36℃,热流入口温度为75℃,出口温度为52℃,求此换热器的换热量。
188、判断题 过滤式面具不能在氧含量低于18%的环境中使用。
189、单项选择题 装置停风,会造成()。
A.各调节阀全部失灵
B.各调节阀工作正常
C.调节伐部分失灵
190、判断题 重整催化剂的氧化一方面是使烧焦进一步完全,另一方面是将催化剂上的金属变为氧化态,使其在催化剂表面上分散得更均匀。
191、单项选择题 当流体作稳定流动时,经一条变径的管线,其流体在变径管线上各处的流量是()。
A.不相等
B.管径小流量小
C.管径大流量小
D.相等的
E.管径小流量大
F.管径大流量大
192、单项选择题 润滑油用具,车间规定()清洗一次。
A.每班
B.每天
C.每周
193、单项选择题 碳钢螺栓,螺母所打的字号是()。
A.1和2
B.3和4
C.5和6
194、单项选择题 脱戊烷油折光率要求不小于()n20D,折光率越高,则说明芳烃含量越高。
A:1.3900
B:1.4200
C:1.4970
D:1.3920
195、判断题 真空度降低时,溶剂沸点也下降。
196、单项选择题 贫溶剂的含水量多少由()来控制的。
A.汽提塔富溶剂流量
B.汽提塔底温度
C.汽提塔顶温度(KHD:工艺基本知识)
197、判断题 重整原料中含有的砷,铜、铅等化合物,会使催化剂丧失活性,但通过再生催化活性可以恢复。
198、单项选择题 不同来源的重整原料的馏程()。
A.相同
B.不同
C.不同,但芳烃潜含量一定相同
199、单项选择题 芳烃精馏原料要求不带水,同时要求()。
A.含芳烃99.9%
B.含芳烃99.8%
C.含非芳≯0.2%
D.含非芳≯5.5%
200、单项选择题 抽提芳烃质量低于指标应调整哪个参数()。
A.降低抽提进料
B.适当提高回流比
C.适当降低操作温度