手机用户可
保存上方二维码到手机中,在
微信扫一扫中右上角选择“从
相册选取二维码”即可。
1、判断题 所谓陆桥运输是指采用集装箱专用列车或卡车,把横贯大陆的铁路或公路作为中间"桥梁",使大陆两端的集装箱海运航线与专用列车或卡车连接起来的一种连贯运输方式。严格地讲,陆桥运输也是一种海陆联运形式。
点击查看答案
本题答案:对
本题解析:暂无解析
2、单项选择题 优化行业结构、提高生产效率、改善经营环境和促进行业发展是()。
A.运输市场管理的任务
B.运输市场管理的目标
C.运输市场管理的职能
D.运输市场管理的特性
点击查看答案
本题答案:A
本题解析:我国运输市场管理的任务是:优化行业结构、提高生产效率、改善经营环境和促进行业发展;我国运输市场管理的总体目标是:保护合法经营、保障货主和旅客的正当权益、维护运输秩序,促进公路运输业的发展,实现货畅其流,人便于行,提高社会效益;运输市场管理的职能为方针政策、法律规范、规划计划、组织指挥、协调服务、监督检查;运输市场管理的特性包括国家意志性、宏观调控与微观管制并存、统一领导与分级管理结合、管理范围的广泛性以及管理手段的综合性。
3、判断题 海洋运输货物保险可分为平安险和水渍险。
点击查看答案
本题答案:错
本题解析:海洋运输货物保险包括平安险、水渍险和一切险。
4、问答题 论述运输计划的内容构成。
点击查看答案
本题答案:运输计划的内容与计划期限和形式有关。计划的期限和形式不
本题解析:试题答案运输计划的内容与计划期限和形式有关。计划的期限和形式不同,运输计划的内容也不尽相同。运输计划重点有长期运输计划和年度运输计划。具体内容如下:
(1)长期运输计划的内容长期运输计划是运输企业战略性计划和发展规则,具有明确在较长时期企业的经营方向、经营战略、经营方针、经营目标,统帅全局的重要地位。长期运输计划通常包括以下内容:
①利润计划。利润是运输企业得以生存和发展的必要条件之一,也是衡量企业经营发展的最终标准;
②收入和成本计划。运输企业利润目标的实现要求以营业收入的增长和营业成本费用的降低来保证,主要体现在企业在经营发展过程中不断提高收入,降低营运成本;
③产量计划。主要是运输量和运输周转量计划。它是衡量运输企业的规模、结构、性质和功能的综合性指标,产量计划在企业长期运输计划中体现企业经营发展的规模和在同行业中竞争的目标之一;
④货源预测和市场开发计划。包括货源预测计划和市场开发计划,它反映运输企业经营目标和长期运输计划的市场取向,要求企业不断开发货源市场,保证经营目标的实现;
⑤基本建设和重大更新改造计划。基本建设和更新改造是运输企业经营发展重要的物质条件和基础,对企业未来发展将产生重要影响,基本建设和重大更新改造计划作为长期计划的组成内容,是实现企业长期经营目标的重要手段;
⑥科学技术发展计划。先进的科学技术是现代运输企业经营最重要的条件,运输企业经营的发展依赖于先进的技术装备和工艺、现代化管理水平和信息化网络,不断提高运输企业的科学技术水平是企业经营的重要内容和方向;
⑦人才开发和使用计划。运输企业经营目标的实现归根结底要依靠人去完成,为此需要企业培养和造就一大批懂技术、善管理的人才,人才开发和使用计划是运输企业长期运输计划的重要组成部分;
⑧资金筹措计划。即运输企业在经营活动中所需资金的筹措和使用的计划,它对企业长期运输计划中的其他计划起保证作用,同时也要求企业不断增加利润,提供资金来源;
⑨提高职工满意程度计划。主要是指不断提高职工物质文化生活水平,满足职工物质需要和精神需要,是企业经营发展的根本目的之一。
(2)年度运输计划的内容年度运输计划是在企业长期运输计划的指导下,在计划年度内以规定的经营方针和目标为出发点,对企业经营活动的各环节、各方面作出的计划安排,是企业组织各项经营活动的行动纲领。其主要内容包括:
①利润计划、收入计划、成本计划和产量计划。在企业年度运输计划中,利润计划处在主要的、中心的位置,应体现年度经营目标的要求,也就是企业的经营要以盈利为目的。以利润计划为中心,依赖于收入计划、成本计划和产量计划的完成。而收入计划和成本计划又与产量计划紧密相连,产量计划中货种结构、费率高低,对收入计划和成本计划产生重要的影响。所以,利润计划、收入计划、成本计划和产量计划为企业外部环境,内部条件和经营目标对企业经营活动要求在计划上的具体体现。
②货源计划和生产计划。货源计划包括货源市场开发和揽货计划,它是运输企业市场营销的核心内容,在年度运输计划中具有主体地位,运输企业目标的实现,利润计划、收入计划和产量计划的完成要求提供货源数量的保证,同时货源计划也是编制生产计划的主要依据。在计划经济时期,运输企业的产量计划、货源计划和生产计划通称为生产计划。随着社会主义市场经济的不断发展,运输企业经营活动由注重内部生产转变为注 重市场营销,货源计划从生产计划中独立出来,成为运输计划的重要内容和组成部分,是运输计划区别于计划经济时期生产计划财务计划的重要标志。
③其他计划。运输企业的生产要安全、优质、高效率的运行需要人、财、物等物质资源的保证,安全质量计划、劳动工资计划、技术改造计划、物资计划和资金计划为生产计划的实施提供条件和保证。设施设备维修计划、工资计划和物资计划是成本费用计划的组成部分。资金计划包括现金计划和固定资产投资资金计划,企业生产规模的扩大需要一定数量的资金支撑。资金计划连同收入计划、成本费用计划和利润计划是企业财务计划的主要内容。运输企业年度运输计划除上述主要计划外,还要根据实际情况增加一些计划,如职工培训和职工福利计划等。
5、单项选择题 下列各运输方式组合中,不属于国际多式联运的是()。
A.铁路、水路联运
B.公路、水路联运
C.航空、水路联运
D.公路、公路联运
点击查看答案
本题答案:D
本题解析:暂无解析
6、多项选择题 运输市场定位包括()。
A.目标市场定位
B.产品定位
C.运输企业形象设计
D.运输价格定位
点击查看答案
本题答案:B, C
本题解析:暂无解析
7、判断题 运输密度也是影响运输成本的关键因素,随着产品密度的增加,单位重量的运输成本会降低。
点击查看答案
本题答案:错
本题解析:产品密度也是影响运输成本的因素之一。它是把货物的重量和空间两方面的因素结合起来考虑的因素。产品密度越高,产品所承担的每单位重量的运输成本相对较低。
8、多项选择题 年度运输计划主要内容包括()
A.利润计划
B.收入计划
C.成本计划
D.产量计划
E.货源计划
点击查看答案
本题答案:A, B, C, D, E
本题解析:暂无解析
9、判断题 对不平衡运输问题,其一般不能转化为平衡运输问题。
点击查看答案
本题答案:错
本题解析:暂无解析
10、多项选择题 运输价格比较法的内容包括()。
A.运价适用范围
B.运输工具折旧
C.货物装运方式
D.运输里程计算方式
点击查看答案
本题答案:A, C, D
本题解析:暂无解析
11、问答题
用Dijkstra算法求图4-3中从点v1,到点vn(n=1,…,8)的最短路线,图4-3中直线上的数据表示相应两点间的距离。

点击查看答案
本题答案:根据最短路径法计算,如表4-8所示。
本题解析:试题答案根据最短路径法计算,如表4-8所示。
由表4-8可知,从点v1,到点vn(n=1,…,8)的最短路线具体如下:
(1)v1v2的最短路线为v1→v3→v2,距离为6;
(2)v1v3的最短路线为v1→v3,距离为2;
(3)v1v4的最短路线为v1→v3→v4,距离为4;
(4)v1v1的最短路线为v1→v3→v4→v6→v5,距离为7;
(5)v1v6的最短路线为v1→v3→v4→v6,距离为5;
(6)v1v7的最短路线为v1→v3→v4→v6→v7,距离为9;
(7)v1v8的最短路线为v1→v3→v4→v6→v5→v8,距离为8。
如图4-4所示,粗线部分为V1V8之间的最短路径。
12、多项选择题 根据运价对国民经济和人民生活的影响程度,运输价格可分为()。
A.行业定价
B.政府定价
C.政府指导价
D.经营者定价
E.区域定价
点击查看答案
本题答案:B, C, D
本题解析:根据运价对国民经济和人民生活的影响程度,运输价格可分为三类:
①政府定价,指各级交通主管部门按照运输价格管理权限,制定的运输统一价格;
②政府指导价,指各级交通主管部门按照运输价格管理权限,制定的运输中准价格、浮动幅度及最低保护价;
③经营者定价,指经营者在运输价格法规规定的范围内,根据运输生产成本、平均利润水平和市场供求状况,自主制定的运输价格。
13、判断题 运输用户是为运输提供的服务付款的人,是运输的终端用户。
点击查看答案
本题答案:错
本题解析:运输用户是为运输提供的服务付款的人。运输用户应该是托运人,国家的生产者和消费者是运输的终端用户。
14、判断题 运输工具保险是以各类运输工具,如汽车、飞机、船舶、火车等为保险标的的保险,保险人承保运输工具因遭受自然灾害和意外事故造成运输工具本身的损失和第三者责任。
点击查看答案
本题答案:对
本题解析:暂无解析
15、单项选择题 多式联运界面上的主要时间是()
A.多待时间
B.装船时间
C.航行时间
D.卸船时间
点击查看答案
本题答案:A
本题解析:暂无解析
16、判断题 对运输业者而言,一定时期内所获利润额的大小,对其自身的生存和发展不会产生直接影响。
点击查看答案
本题答案:错
本题解析:对运输业者而言,一定时期内所获利润额的大小,直接影响到其自身的生存和发展。
17、判断题 运输业发展的基本目标是保护和发展道路运输生产力,维护运输秩序,促进道路运输事业自身的发展壮大。
点击查看答案
本题答案:对
本题解析:暂无解析
18、多项选择题 运输企业综合平衡的主要内容有()。
A.需要和能力的平衡
B.经营活动各环节的平衡
C.产量、收入、成本、利润之间的平衡
D.长期运输计划和年度运输计划的平衡
E.生产、效率和职工工资福利的平衡
点击查看答案
本题答案:A, B, C, D, E
本题解析:运输企业综合平衡的内容主要有:
①需要和能力的平衡;
②经营活动过程各环节的平衡;
③产量、收入、成本、利润之间的平衡;
④长期运输计划和年度运输计划的平衡;
⑤生产、效率与职工工资福利的平衡等。
19、多项选择题 运输商务操作包括()。
A.运输市场营销
B.运输合同订立
C.运输保险
D.确定运费
点击查看答案
本题答案:A, B, C, D
本题解析:暂无解析
20、多项选择题 运输企业面临的社会公众主要包括()。
A.融资公众
B.政府公众
C.媒体公众
D.当地公众
E.内部公众
点击查看答案
本题答案:A, B, C, D, E
本题解析:运输的社会公众是指对运输企业在进行市场营销活动时发生直接或间接影响的社会团体或机构。运输企业面临的社会公众主要包括:
①融资公众,如银行、投资公司、证券公司和保险公司等;
②政府公众,如财政、税务、商检、海关、计委等部门;
③媒体公众,如报社、杂志、广播电台、电视台等;
④当地公众,指企业周围的居民和社区组织;
⑤内部公众,指企业内部的董事会、经理、职工等。
21、单项选择题 承运人代表所有的托运人或某个分市场的托运人支付的费用,如端点站或管理部门的费用,称为()。
A.固定成本
B.变动成本
C.综合成本
D.公共成本
点击查看答案
本题答案:D
本题解析:暂无解析
22、问答题 一字之差的合同山西省大同市某公司与内蒙古自治区某公司通过函件订立了一个买卖合同 。因货物采取铁路运输的方式,而内蒙古公司作为卖方将到达栏内的"大同县站"写成"大同站"。因此导致货物运错了车站,造成了双方的合同纠纷。本案例中,错发货的主要责任在于发货方,与铁路部门无关,应由发货方承担对收货方的赔偿责任。
问题:
1.订单、运单、货票哪个是铁路运输合同?
2.本例中,为什么铁路不承担相关责任?站名应根据什么填写?
点击查看答案
本题答案:1、本案例在实际业务中经常发生,订单是铁路开展运输市场
本题解析:试题答案1、本案例在实际业务中经常发生,订单是铁路开展运输市场营销时采用的一种手段和工具,其意图是要摸清市场需求情况;运单是由发货人填写的,是发货人向铁路承运部门正式提出的托运请求,一旦签署,具有合同效力,双方必须遵守相关的义务;货票信息则是根据运单填写的,其作用是作为运输信息在铁路运输过程中使用,因此,只有运单具有合同效力。
2、运单中的车站名,是本次运输的发货站和到达站,应根据铁道部门颁布的铁路运价里程表中的站名填写。发货站一般不会有错误,但是到达站由于站名的相类似性,容易写错,如黄台车站与黄石车站,本例中,大同站与大同县站是不一样的,所以铁路部门不承担此次合同的责任,当然,作为承运人,铁路部门应该有提醒客户避免这样失误的服务理念。
23、判断题 陆桥运输和空桥运输的区别在于:在整个运输过程中,陆桥运输使用的是不同的集装箱,而空桥运输使用的是同一集装箱,不用换装。
点击查看答案
本题答案:错
本题解析:陆桥运输和空桥运输的区别在于:陆桥运输在整个货运过程中使用的是同一个集装箱,不用换装,而空桥运输的货物通常要在航空港换入航空集装箱。
24、单项选择题 下列哪项属于变动成本()。
A、管理费
B、联合成本
C、维修费用
D、购置车辆费用
点击查看答案
本题答案:C
本题解析:暂无解析
25、多项选择题 按运输方式,C.I.C.保险条款可分为()。
A.海洋运输保险
B.陆上运输保险
C.航空运输保险
D.邮包运输保险
E.管道运输保险
点击查看答案
本题答案:A, B, C, D
本题解析:按运输方式,C.I.C.保险条款可分为海洋、陆上、航空和邮包运输保险条款四大类;运输保险按是否能够单独投保可分为基本险和附加险,基本险可以单独投保,而附加险不能独立投保,只有在投保某一种基本险的基础上才能加保一种或数种附加险。
26、判断题 北美地区的路桥运输包括大陆桥运输、小陆桥运输和微桥运输。
点击查看答案
本题答案:对
本题解析:暂无解析
27、判断题 严格地讲,陆桥运输是海陆联运的一种。
点击查看答案
本题答案:对
本题解析:暂无解析
28、判断题 从运输业发展的历史和现状看,各种运输方式在运输生产过程中存在着相互竞争、优势互补的要求。
点击查看答案
本题答案:对
本题解析:从运输业发展的历史和现状看,各种运输方式一方面在运输生产过程中存在着协作配合、优势互补的要求,另一方面在运输市场和技术发展上又相互竞争。
29、多项选择题 联合运输中具体的协调工作包括()。
A.事故赔偿
B.托运单据
C.便于解体装载
D.运价费率
点击查看答案
本题答案:A, B, C, D
本题解析:暂无解析
30、判断题 货运的经济活动只是一种服务行为,不直接产生新的社会财富。
点击查看答案
本题答案:错
本题解析:货运的经济活动是一种物质生产活动,它为社会创造价值;而客运的经济活动,只是一种服务行为,不直接产生新的社会财富。
31、单项选择题 北美大陆桥是利用北美的大铁路从远东到欧洲的()联运。
A.海铁铁
B.铁海铁
C.海铁公
D.海陆海
点击查看答案
本题答案:D
本题解析:暂无解析
32、判断题 运输价格的监督检查,主要是为了防止、纠正或取缔经营者使用不当价格手段从事运输经营活动的行为。
点击查看答案
本题答案:对
本题解析:暂无解析
33、多项选择题 国内水路、陆路货运保障责任分为()
A.基本险
B.特殊险
C.运输险
D.综合险
E.意外事故险
点击查看答案
本题答案:A, D
本题解析:暂无解析
34、单项选择题 微桥运输和小陆桥运输相比,其交货地点在()。
A.沿海港口
B.内河港口
C.内陆地区
D.港口或内陆
点击查看答案
本题答案:C
本题解析:微桥运输与小陆桥运输基本相似,只是其交货地点在内陆地区,小陆桥运输的交货地点在沿海港口。
35、多项选择题 运输项目设计一般需考虑()。
A.报价
B.业务流程
C.路线优化
D.人员配置
点击查看答案
本题答案:A, B, C, D
本题解析:暂无解析
36、判断题 垄断竞争的运输市场和寡头垄断的运输市场是运输市场的两种极端市场。
点击查看答案
本题答案:错
本题解析:完全竞争的运输市场与完全垄断的运输市场是两种极端市场,在现实生活中通常存在的是垄断竞争的运输市场和寡头垄断的竞争市场。
37、判断题 现代化的交通运输系统由铁路、水路、公路、航空、管道等部分组成。
点击查看答案
本题答案:对
本题解析:暂无解析
38、判断题 根据我国《合同法》有关条例规定,多式联运经营人可以与参加多式联运的各区段承运人就多式联运合同的各区段运输约定相互之间的责任,但该约定不影响多式联运经营人对全程运输承担的义务。并且,承运人应对全程负责,承运人之间负有连带责任。
点击查看答案
本题答案:对
本题解析:暂无解析
39、单项选择题 在完全竞争的运输市场条件下,每一个运输都是价格的()。
A.决定者
B.被动接受者
C.决定者和接受者
D.主动接受者
点击查看答案
本题答案:B
本题解析:在完全竞争条件下,由于有众多的运输,每一个运输提供的运输产品都是一样的,而且每一个运输与运输企业、货主和交易相对于整个市场的交易来说都是微不足道的,每一个运输都是被动的价格接受者而不是价格决定者。
40、判断题 海空联运始于20世纪60年代,是以空运为主的。
点击查看答案
本题答案:错
本题解析:暂无解析
41、问答题 简述我国运输市场管理的目标。
点击查看答案
本题答案:我国运输市场管理的总体目标是:保护合法经营,保障货主和
本题解析:试题答案我国运输市场管理的总体目标是:保护合法经营,保障货主和旅客的正当权益,维护运输秩序,促进公路运输事业的发展,实现货畅其流,人便于行,提高社会效益。这一总目标具有以下三层深刻的含义:
(1)运输业发展的基本目标:保护和发展道路运输生产力,维护运输秩序,促进道路运输事业自身的发展壮大。这是内设目标,即基本目标。
(2)发展运输业的根本目的:保障货主和旅客的正当权益,实现货畅其流,人便于行,更好地为社会经济与人民生活服务。这是外设目标,即根本目的。
(3)实施运输市场管理的核心:提高道路运输活动的社会效益,降低国民经济体系运转的总成本及人民生活开支的总费用。
42、多项选择题 运输定价时,必须遵循的原则有()。
A.连续性原则
B.以运输价值为基本原则
C.反映供求关系变化原则
D.比价关系合理原则
E.政策性原则
点击查看答案
本题答案:B, C, D, E
本题解析:暂无解析
43、判断题 北美大陆桥是目前世界上最长的一条陆桥运输线。
点击查看答案
本题答案:错
本题解析:西伯利亚大陆桥是目前世界上最长的一条陆桥运输线,它是指使用国际标准集装箱,将货物由远东海运到俄罗斯东部港口,再经跨越欧亚大陆的西伯利亚铁路运至波罗的海沿岸如爱沙尼亚的塔林或拉脱维亚的里加等港口,然后再采用铁路、公路或海运运到欧洲各地的国际多式联运的运输线路。北美大陆桥是指利用北美的大铁路从远东到欧洲的"海陆海"联运,它是世界上历史最悠久、影响最大、服务范围最广的陆桥运输线。
44、判断题 在水路运输合同中,货物发运前,承运人或托运人不管是否征得对方的同意,均不可解除运输合同。
点击查看答案
本题答案:错
本题解析:在水路运输合同中,货物发运前,承运人或托运人征得对方同意,可以解除运输合同。承运人提出解除合同的,应退还已收的运输费用,并付给托运人已发生的货物进港短途搬运费用;托运人提出解除合同的,应付给承运人已发生的港口费用和船舶待时费用。
45、多项选择题 按市场竞争程度来划分,运输市场结构可分为()。
A.完全竞争市场
B.垄断竞争市场
C.寡头垄断市场
D.完全垄断市场
E.寡头竞争市场
点击查看答案
本题答案:A, B, C, D
本题解析:暂无解析
46、单项选择题 调查运输企业经营内部条件主要有经营实力和()。
A.经营能力
B.运输能力
C.市场竞争力
D.综合能力
点击查看答案
本题答案:A
本题解析:调查企业经营内部条件主要有:
①经营实力,包括运输企业运输工具设备、铁路线、库场等方面的硬件设施和生产手段;
②经营能力,包括资源筹措能力、市场开发和揽货能力、生产技术组织能力、对市场变化作出快速反映能力等方面的经营和管理水平、人员素质。
47、问答题 某托运人从安阳托运一台机器,重26t,使用60t货车一辆装运至徐州北。请计算其运费。已知:里程表中,安阳到徐州北的运价里程为556km,查品名分类与代码表,机器运价号为6号运价,查运价率表,6号运价的基价1为14.6元/t,基价2为0.0724元/(t·km)。
点击查看答案
本题答案:计费重量60t。运费=(14.6+0.0724&tim
本题解析:试题答案计费重量60t。运费=(14.6+0.0724×556)×60=3291.26≈3291.30(元)
48、判断题 一般来说,运输量越大,运输距离越远,运输的速率越高,运输成本就越高。
点击查看答案
本题答案:错
本题解析:一般来说,运输量越大,运输距离越远,运输的速率越高,运输成本就越低。
49、单项选择题 海上货物运输保险中,如海轮到港卸货后,收货人未及时提货,则保险责任最多延长至()天
A.15
B.30
C.45
D.60
点击查看答案
本题答案:D
本题解析:暂无解析
50、多项选择题 属于货物运输需求产生原因的是()。
A.资源地区分布不均衡,自然生产力布局和资源产地的分离
B.产业结构同化
C.社会物质极大丰富
D.生产力布局和资源消费群体的空间分离
E.地区间商品品种、质量、性能、价格上的差异
点击查看答案
本题答案:A, D, E
本题解析:暂无解析
51、判断题 综合运输体系是各种运输方式在分工的基础上,实现协作配合,优势互补的要求。
点击查看答案
本题答案:对
本题解析:暂无解析
52、单项选择题 下列运输方式中,成本最低的是()
A.铁路运输
B.航空运输
C.水路运输
D.公路运输
点击查看答案
本题答案:C
本题解析:暂无解析
53、单项选择题 发生公路货物运输事故时,提出赔偿的时限为()
A.90天
B.180天
C.60天
D.1年
点击查看答案
本题答案:B
本题解析:暂无解析
54、问答题
设配送中心0向7个客户Pi(i=1,…,7)配送货物。从配送中心到客户的距离为dOj(j=1,…,7)公里,各客户之间的距离为dij(i=1,…,7;j=1,…,7)公里,如表
4-5所示(表中数字单位:公里)。
请用节约法求从配送中心出发配送货物的最短路线。
点击查看答案
本题答案:根据节约法的思想,设节约里程为Sij(i=1,&hel
本题解析:试题答案根据节约法的思想,设节约里程为Sij(i=1,…,4;j=1,…,4),则Sij为i和j两个用户离物流中心距离的之和再减去i和j之间的距离所得的值,即
。那么
,依此类推,可以得到各用户之间的Sij值如表4-6所示。
根据表4-6可得节约里程数的大小顺序如表4-7所示。
根据节约法的思想,首先选择节约里程数最大的路段,即(6~7),然后是(5~7),接下来依次为(1~5),(1~2),(2~4),(3~4);
因此,其配送路线为:0→6→7→5→1→2→4→3→0;
总路程为:
;
则从配送中心出发的最短配送路线为:配送中心→用户(6)→用户(7)→用户(5)→用户(1)→用户(2)→用户(4)→用户(3)→配送中心;从中心出发最短的配送里程为69公里。
55、判断题 运管局、运管处等是运输市场管理的主体。
点击查看答案
本题答案:错
本题解析:暂无解析
56、判断题 货物运输需求本质上是一种派生需求。
点击查看答案
本题答案:对
本题解析:暂无解析
57、判断题 以公务和商务为目的的旅客运输需求属于消费性旅行需求。
点击查看答案
本题答案:错
本题解析:以公务和商务为目的的旅客运输需求属于生产性旅行需求;以探亲、旅游为目的的旅客运输需求属于消费性旅行需求。
58、判断题 船舶保险是为其船壳、救生艇、机器、设备、仪器、索具、燃料和物料提供保险保障,分为船舶全部损失保险和包括船舶全损、部分损失、责任和费用在内的一切险。
点击查看答案
本题答案:对
本题解析:暂无解析
59、问答题
设有5个产地A1、A2、A3、A4、A5和4个销地B1、B2、B3、B4的运输问题,它们的供应量和需求量及单位运费见表3-2。试计算其最小运输成本。

点击查看答案
本题答案:用最小元素法编制初始方案,调整后,最终得最佳方案(见表
本题解析:试题答案用最小元素法编制初始方案,调整后,最终得最佳方案(见表3-3)。
总成本=5×10+9×20+4×30+7×30+3×30+12×10+5×10=820(元)
60、多项选择题 根据所承保的风险内容,运输保险可分为()。
A.自然灾害
B.自然规律
C.意外事件
D.政治因素引起的风险
E.人为因素引起的风险
点击查看答案
本题答案:A, C, D, E
本题解析:暂无解析
61、多项选择题 实施运输市场管理的核心是()。
A.保障货主和旅客的正当权益
B.提高道路运输活动的社会效益
C.降低国民经济体系运转的总成本及人民生活开支的总费用
D.维护运输秩序
E.实现货畅其流,人便于行
点击查看答案
本题答案:B, C
本题解析:实施运输市场管理的核心是提高道路运输活动的社会效益,降低国民经济体系运转的总成本及人民生活开支的总费用;保障货主和旅客的正当权益、实现货畅其流,人便于行,是发展运输业的根本目的;维护运输秩序是运输业发展的基本目标。
62、多项选择题 运输市场宏观调控具体表现为政府干预力量在()三方面的力度定位和权重定位。
A.行业
B.个人
C.国家
D.市场
E.企业
点击查看答案
本题答案:C, D, E
本题解析:暂无解析
63、多项选择题 利用"节约法"制定配送方案时,首先必须做出()的假设,否则就不能求得最优方案。
A.配送的是多种货物
B.能满足用户到货的时间要求
C.配送的是同一种货物
D.配送中心有足够的运输能力
E.各个用户的坐标与货物需求量均为已知
点击查看答案
本题答案:C, D, E
本题解析:利用"节约法"制定配送路线的主要出发点是,根据配送中心的运输能力(包括车辆的多少和载重量)和配送中心到各个用户以及各个用户之间的距离来制定使总的车辆运输的t.km数量最小的配送方案。利用"节约法"求解首先必须做出的假设有:
①配送的是同一种货物;
②各个用户的坐标(x,y)及需求量均为已知;
③配送中心有足够的运输能力。
64、问答题
某公司经销一种产品,它下设三个生产点,每日的产量分别为:A1=5吨,A2=7吨,A3=8吨。该公司把这些产品分别运往四个销售点,各销售点每日的销量为:B=3吨,B2=4吨,B3=5吨,B4=8吨。已知每吨产品从各生产点到各销售点的运价如表4-1所示。(根据题目要求,列出计算表达式并进行计算)
请问:该公司应如何调运产品,才可在满足各生产点到各销售点需求置的前提下,使总运费最少。(建模)
点击查看答案
本题答案:由题意可知,供应量等于总需求量,该问题为一个平衡运输问
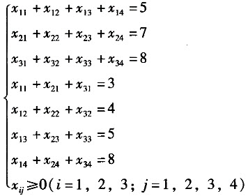
本题解析:试题答案由题意可知,供应量等于总需求量,该问题为一个平衡运输问题,该公司的运输网络含有三个供应点和四个需求点,其结构如图4-1所示。
设从生产点i到销售点j的调运量为xij(i=1,2,3;j=1,2,3,4),则目标函数为:
minZ=5x11+13x12+6x13+12x14+2x21+10x22+3x23+8x24+7x31+9x32+4x33+5x34
约束条件为:
65、判断题 船舶保险分为船舶全部损失保险和部分损失保险
点击查看答案
本题答案:错
本题解析:船舶保险分为船舶全部损失保险和包括船舶全损、部分损失、责任和费用在内的一切险。
66、判断题 运输经营者只要在规定的定价范围内或在政府指导价规定的幅度范围内制定或调整运输价格,就不需向交通主管部门备案。
点击查看答案
本题答案:错
本题解析:经营者因经营活动的需要,可在规定的定价范围内或在政府指导价规定的幅度范围内自行制定调整运输价格。但其根据有关规定自行定价或调价后,应向当地交通主管部门备案,建立内部运价管理制度,加强运输价格内部管理,自觉接受物价、交通主管部门对道路运价的监督检查,如实提供运价监督检查所必须的账簿、单据、凭证、文件及有关资料。
67、多项选择题 海上保险保障费用包括()
A.求救费用
B.求助费用
C.施救救费用
D.保险费用
E.海难安置费用
点击查看答案
本题答案:B, C
本题解析:暂无解析
68、单项选择题 汽车燃料费用或维修保养费属于()。
A.固定成本
B.变动成本
C.综合成本
D.公共成本
点击查看答案
本题答案:B
本题解析:变动成本中包括与承运人运输每一票货物有关的直接费用,如劳动成本、燃料费用和维修保养费用等。
69、问答题 论述影响运输成本的因素。
点击查看答案
本题答案:一般来说,运输量越大,运输距离越远,运输的速率越高,运
本题解析:试题答案一般来说,运输量越大,运输距离越远,运输的速率越高,运输成本就越低。除了这些因素之外,运输成本还与产品密度、运输工具的积载能力、搬运方式、商品特性以及市场因素有关。这些因素的具体内容如下:
(1)运输距离距离是影响运输成本的主要因素,因为它直接对劳动、燃料和维修保养等变动成本发生作用。通常,运输成本是随距离增长而减少的,即遵循递减原则,运输距离越长,每公里单位运输成本越低。
(2)产品密度产品密度是把货物的重量和空间两方面的因素结合起来考虑的因素,产品密度越高,相对的可以把固定运输成本分摊到增加的重量上去,使这些产品所承担的每单位重量的运输成本相对较低。一般而言,每单位重量的运输成本随产品密度的增加而下降。
(3)积载能力积载能力因素是指由于产品的具体尺寸、形状及其对运输工具的空间利用程度的影响。积载能力因素也与装运规模有关,大批量装运往往能够相互嵌套,有利于积载;小批量装运相互嵌套的机会少,可能难以积载。
(4)搬运方式物品在运输或配送过程中通常要用刚性容器或承载工具进行成组形成运输单元(集装单元),以提高搬运效率,同时也保护了商品,减少货损货差,从而使运输配送成本下降。
(5)商品特性有些物品具有易损、易腐、易自燃、易自爆等特性,容易造成损坏风险和导致索赔事故,运输或配送这些商品除需要特殊的运输工具和运输方式外,承运人还必须通过保险来预防可能发生的索赔,从而增加了运输成本。承运人除投保外,还应要求托运人改善包装,以降低风险,最终降低运输成本。
(6)市场因素市场因素是指运输、配送的起点与终点之间相向运输的货物量是否平衡,如果不平衡,必然会有返空的现象,这就会造成运力的浪费。但完全平衡的情况很少,主要由于生产布局上的不平衡,或由于生产和消费季节性方面的原因所致。
70、判断题 国际多式联运通常是以集装箱为运输单元,将不同的运输方式有机地组合在一起,构成连续的,综合性的一体化货物运输。
点击查看答案
本题答案:对
本题解析:暂无解析
71、单项选择题 ()不是联运合同的特征。
A.联运合同各承运人使用同一种运输工具
B.联运合同的承运人一方为两人以上
C.联运合同的各承运人以相互衔接的不同的运送手段承运
D.托运人一次交费并使用同一运送凭证
点击查看答案
本题答案:A
本题解析:暂无解析
72、单项选择题 能够体现并应对运输市场波动性的计划是()。
A.年度运输计划
B.月度运输计划
C.旬度运输计划
D.五年运输计划
点击查看答案
本题答案:C
本题解析:暂无解析
73、判断题 运输企业的经营活动过程上既要体现企业自身利益的要求,又必须反映国民经济发展的要求。
点击查看答案
本题答案:对
本题解析:暂无解析
74、判断题 由酒后驾驶、地震、战争等原因引起的运输工具损失,保险人均可不负责赔偿。
点击查看答案
本题答案:对
本题解析:暂无解析
75、单项选择题 ()不属于运输促销方式。
A.揽货
B.运输广告
C.服务
D.运输公共关系
点击查看答案
本题答案:C
本题解析:暂无解析
76、多项选择题 下列属于变动成本的是()。
A.劳动成本
B.燃料费
C.运输工具购置费
D.运输管理费
E.维修保养费
点击查看答案
本题答案:A, B, E
本题解析:变动成本是指与每一次运输配送直接相关的费用,与运输里程和运输量成正比。它只有在运输工具未投入运营时才有可能避免。变动成本中包括与承运人运输每一票货物有关的直接费用,如劳动成本、燃料费用和维修保养费用等。
77、判断题 目前,远东/欧洲的陆桥运输线只有西伯利亚大陆桥
点击查看答案
本题答案:错
本题解析:远东/欧洲的陆桥运输线有西伯利亚大陆桥和北美大陆桥。
78、问答题 简述运输计划编制的作用与任务,及其编制原则。
点击查看答案
本题答案:(1)运输计划编制的作用:
①运输计划是实现
本题解析:试题答案(1)运输计划编制的作用:
①运输计划是实现运输企业经营思想、经营目标和经营决策的基本保证运输企业作为一个独立的经济组织和国民经济的重要组成部分,它的经营活动过程既要体现企业自身利益的要求,又必须反映国民经济发展的要求。两者的统一构成了企业经营活动的思想、方针、目标和决策方案。在不同的内外部环境下、不同的历史时期、不同的发展阶段,对企业经营活动的内容有不同要求。运输计划就是根据这种不同的要求,将企业的经营思想、经营方针、经营策略、经营目标和经营决策方案具体化,通过谋求企业内部条件、外部环境和经营目标三者之间的动态平衡,从而保证企业经营目标的实现。
②运输计划是运输企业实施各项管理活动的纲领和基本依据现代运输企业经营管理的内容十分繁多,如生产管理、劳动管理、财务管理、安全质量管理、设备管理、物资管理、人事管理等。这些管理工作是保证企业经营活动正常进行的必不可少的手段,而运输计划规定着运输企业在计划年度应实现的经营目标,即规定利润、产量、安全质量、效率、消耗及其他经济效益指标应达到的目标。企业管理的各项工作是必须围绕运输计划的实施和目标的实现来开展。所以,运输计划是统帅企业全部经营活动的管理的总纲。
③运输计划是运输企业推行全面计划管理的基本内容和主要形式运输企业在推行和实现全面计划管理的过程中都离不开运输计划。这主要体现在:首先,运输计划是企业全面计划管理的核心,通过计划的制定、实施的控制把企业各个部门、各项工作和每个职工进行全面地组织和安排,有效合理地进行经营活动。其次,运输计划是企业综合性的计划,它统率了生产、技术劳动物资、财务等各项专业计划,也包括企业内部各层次、各部门各环节的计划。最后,运输计划是实施全面计划管理的重要途径,它与企业各种经济责任制相结合,通过计划指标的层层分解落实,使全面计划管理职能得到贯彻和体现。
(2)运输计划编制的任务:
①谋求企业外部环境、内部条件和经营目标三者之间的动态平衡,促进企业经营活动顺利进行;
②把企业经营思想、经营方针、经营策略和经营目标转化为具体任务和行动方案,并通过计划的实施,实现企业的经营目标;
③根据市场要求,合理有效地配置和使用各种资源,充分挖掘和利用企业内部各种潜力,取得最佳的经济效益;
④通过运输计划,使企业各方面、各环节的经营活动在数量、质量、时间、速度等方面形成一定的最优比例关系,达到综合平衡、相互协调;
⑤通过运输计划,把企业和职工的主要活动和经济效益与整个国家和社会的经济活动与利益紧密结合起来,履行企业使命和社会责任。
(3)运输计划编制的原则:
①关键性原则。即在企业总体经营目标中,必须突出具有全面性的主要问题。否则主次不分,企业的资源就不能有效利用,造成资源的浪费。
②强制性和弹性原则。一方面所制定出的运输计划必须严格执行,不允许轻易废除,但当发现计划与实际发生偏差而影响效率时,就必须及时调整和修订;另一方面,由于企业经营的内外环境是经常变化的,这就要求计划要有适应市场因素、经营环境变化的灵活性。
③完整性和系统性原则。运输计划由多种不同形式的计划所组成,在整体目标的分解和计划编制时,应使各项计划之间相互协调、相互配合、相互促进,形成一个有机整体。
④实现性和鼓励性原则。所编制出的运输计划必须能够保证按期完成,经过主观努力是可以达到的。另外,运输计划必须与职工的物质利益紧密结合,把实现企业经营目标,创造最佳的经济效益变成激发职工积极性的推动力。
⑤连续性原则。企业的生产经营活动是连续不断地进行的,前期计划的执行情况及其分析是编制当前或后期计划的依据,近期计划的编制要考虑到为后期计划提供条件,短期计划的编制要成为实现长期计划目标的组成部分。
79、判断题 海陆联运是国际多式联运的主要组织形式,也是远东/欧洲多式联运的主要组织形式之一。
点击查看答案
本题答案:对
本题解析:暂无解析
80、判断题 国际集装箱多式联运就是采用某种运输工具进行集装箱运输。
点击查看答案
本题答案:错
本题解析:暂无解析
81、多项选择题 运输企业的长期运输计划的内容通常包括()。
A.利润计划
B.收入和成本计划
C.产量计划
D.货源预测和市场开发计划
E.重大建设计划
点击查看答案
本题答案:A, B, C, D
本题解析:长期运输计划是运输企业战略性计划和发展规则,具有明确在较长时期企业的经营方向、经营战略、经营方针、经营目标,统帅全局的重要地位。运输企业的长期运输计划的内容除了利润计划、收入和成本计划、产量计划、货源预测和市场开发计划外还包括:基本建设和重大更新改造计划、科学技术发展计划、人才开发和使用计划、资金筹措计划、提高职工满意程度计划。
82、单项选择题 根据运价对国民经济和人民生活的影响程度,运输价格形式中不包括()。
A.政府定价
B.政府指导价
C.市场参考定价
D.经营者定价
点击查看答案
本题答案:C
本题解析:暂无解析
83、多项选择题 下列说法中,关于综合运输体系的说法正确的是()。
A.是在五种运输方式的基本上组建起来的
B.是运输生产力发展到一定阶段的产物
C.由于涉及多种运输方式,运输效率较低
D.各种运输方式通过运输过程本身的要示联系起来的
E.是各种运输方式通过一种协作配合、优势互补的关系
点击查看答案
本题答案:A, B, D, E
本题解析:暂无解析
84、问答题 快步易捷与上海浦运携手--"一体化运输管理系统项目"上海浦东运输汽车总公司成立于1960年,具备国内一级运输企业资质,是中国首家参与汽车物流领域Milk-run(定常路线)运输的公司,同时参与了汽车制造业内向物流供应链的各个环节。上海浦东运输汽车公司通过与快步易捷建立现代物流系统,以供应链管理为指导思想,凭借强大的技术平台实现企业物流信息的高效管理,重组企业业务流程。快步易捷解决方案快步易捷公司是一家领先的供应链管理公司,作为上海浦运的物流战略咨询顾问、物流解决方案专家及其业务发展战略伙伴,全程参与了浦运公司的企业变革。快步易捷与浦运的合作集中在两个方面:一是企业战略规划,包括市场战略(尤其是在专业化的汽车行业运输解决方案和监管运输上)和内部运作体系战略;二是开发应用一套可适应多种业务模式和多种调度模式一体化运输管理系统。项目的实施第一阶段:快步易捷在对浦运相关市场和企业内部进行深入调研的基础上提出了浦运未来业务的目标模式,其中的核心目标之一就是:建立起一个支持浦运未来发展、适应多种业务类型和运作方式的一体化运输管理系统。第二阶段:快步易捷对浦运的实际运作情况进行分析,根据对浦运自身的业务流程分析及对物流的专业理解,提出了详尽的商业计划。重点在其运输营销网络、汽车行业的业务拓展战略以及一体化运作体系的设计。在商业计划实施的过程中,建立其营销中心,对其运作体系进行了改革。第三阶段:快步易捷对浦运的一体化运输管理系统进行全面开发,协助其建立一套基于现代物流管理思想,运用先进的网络技术以适应多种业务类型和运作方式的运输管理系统。这套系统主要包括托运单管理、调度管理、作业管理、车辆管理、司机管理、总成管理、事故管理、客户管理(含合同及费率管理)、系统管理和客户服务等功能模块组成。同时连接财务系统、人力资源系统和GPS系统,真正实现企业运输管理自动化。项目成果浦运公司运输管理系统的建立彻底地解决了浦运长期以来存在的托运单处理分散、不能及时收集托运单信息和车辆利用率低的问题,它将当前浦运所有的业务模式纳入到统一的托运单调度流程中来,通过对浦运托运单调度作业全过程管理,即时、完整地记录和统计业务信息,为总部总体管理和未来智能调度系统奠定信息基础。请回答下列问题:
(1)运输在供应链中的重要作用主要体现在哪里?
(2)上海浦运公司的运输管理系统是怎样建立起来的?
点击查看答案
本题答案:(1)运输就是使用运输工具对物品进行运送的活动,实现物
本题解析:试题答案(1)运输就是使用运输工具对物品进行运送的活动,实现物流的空间效用。运输工作是整体供应链工作一个十分重要的环节,运输工作对供应链的重要作用主要体现在:
①运输是供应链系统功能的核心。供应链系统具有创造物品的空间效用、时间效用、形式效用三大效用。时间效用主要由仓储活动来实现,形式效用由流通加工业务来实现,空间效用通过运输来实现。而三大功能中的运输功能的主导地位更加凸现出来,成为所有功能的核心。
②运输影响着供应链的其他构成因素。如运输方式的选择决定着装运货物的包装要求;使用不同类型的运输工具决定其配套使用的装卸搬运设备以及接收和发运站台的设计;企业库存储存量的大小直接受运输状况的影响。
③运输费用在物流费用中占有很大比重。运输费用是影响物流费用一项重要因素,是运输降低物流费用、提高物流速度、发挥物流系统整体功能的中心环节。
④运输合理化是供应链系统合理化的关键。运输是各功能的基础与核心,直接影响着供应链子系统,只有运输合理化,才能使供应链结构更加合理,总体功能更优。
(2)上海浦运公司运输管理系统建立的程序如下:
①快步易捷对浦运公司的相关市场和企业内部进行深入调研,并提出其未来业务的目标模式,确立了建立起一个支持浦运未来发展、适应多种业务类型和运作方式的一体化运输管理系统的核心目标;
②快步易捷根据对浦运自身的业务流程分析及浦运对物流的专业理解,提出了详尽的商业计划,重点在其运输营销网络、汽车行业的业务拓展战略以及一体化运作体系的设计。在商业计划实施的过程中,建立其营销中心,对其运作体系进行了改革;
③对一体化运输管理系统进行全面开发,建立起一套基于现代物流管理思想,运用先进的网络技术以适应多种业务类型和运作方式的运输管理系统。并把该系统与财务系统、人力资源系统和GPS系统进行连接,真正实现企业运输管理自动化。
85、多项选择题 运输需求通常包括()等要素。
A.运输流程与流向
B.运输流量与价格
C.运输需求量
D.运输货物的品种
E.运输需求结构
点击查看答案
本题答案:A, B, C, E
本题解析:运输需求通常包含的要素有:
①运输需求量,又称流量。通常用货运量和客运量来表示,用来说明货运需求和客运需求的数量与规模;
②流向,指货物或旅客发生空间位移时的空间走向;
③运输距离或运输航线,又称流程。指货物或旅客所发生的空间位移的起始地至到达地之间的距离;
④运输价格,指运输为服务运输单位重量或体积的货物和提供运送每位旅客服务所需的费用;
⑤运输需求结构,是按不同货物种类、不同旅客出行目的或不同服务内容如装卸、堆存、仓储等对运输需求的分类。
86、问答题 简述运输市场的涵义与特征。
点击查看答案
本题答案:(1)运输市场的涵义:
①狭义的运输市场是指为运
本题解析:试题答案(1)运输市场的涵义:
①狭义的运输市场是指为运输提供劳务交换的场所,该场所为旅客、货主、运输业者或他们的代理者提供交易的空间、并根据这些交易提供相应的服务。
②广义的运输市场包括运输参与各方在交易中所产生的经济活动和经济关系的总和,即运输市场不仅是运输劳务交换的场所,而且还包括运输活动参与者之间、运输部门与其他部门之间的经济关系,此外,运输市场作为整个市场体系中的一部分,同样包含资源配置手段这一深层含义。运输市场的参与者可以概括为以下四个方面:A.需求方,包括各种经济成分的客、货运输需求者。例如,企业、军队、个人等;B.供给方,包括为各种运输方式的运输服务需求者提供服务的部门以及运输经营者的行业组织;C.中介方,包括在运输需求和供给双方之间,以中间人的身份提供各种与运输相关的服务的货运代理公司、经纪人、信息咨询公司等;D.政府方,包括政府有关机构和各级交通运输及其运输管理部门。它们是代表国家即一般公众利益对运输市场进行监督、管理、调控的部门。
(2)运输市场的特征:
①运输业是国家基础产业,属于服务业,具有公益性和竞争性双重特征;
②运输生产运行领域正逐渐取消指令性计划,国家主要通过产业政策来影响运输供求,进而影响运输企业的生产行为;
③运输投资领域,运输工具、港埠装卸、仓储物流等竞争性领域以企业作为投资主体,允许国内企业和个人进行投资。公益性基础设施以国家作为投资主体,采取各种政策鼓励民间投入。
87、判断题 节约法的主要目的就是如何从许多条可供选择的路线中选出最佳运输路线的方法。企业、军队、个人等运输市场的需求方。
点击查看答案
本题答案:对
本题解析:暂无解析
88、判断题 制定和核计运输服务价格,应根据具体服务的内容不同,以其价加附加价的形式进行。
点击查看答案
本题答案:对
本题解析:暂无解析
89、单项选择题 下列哪项不属于全损()
A.实际全损
B.部分全损
C.推定全损
D.共同海损
点击查看答案
本题答案:D
本题解析:暂无解析
90、多项选择题 编制运输计划必须遵循的原则有()。
A.关键性原则
B.强制性和弹性原则
C.完整性和系统性原则
D.实现性和鼓励性原则
E.政府指导原则
点击查看答案
本题答案:A, B, C, D
本题解析:编制运输计划必须遵循的原则有:
①关键性原则。即在企业总体经营目标中,必须突出具有全面性的主要问题;
②强制性和弹性原则。要求计划既必须严格执行,也要有适应市场因素、经营环境变化的灵活性;
③完整性和系统性原则。在整体目标的分解和计划编制时,应使各项计划之间相互协调、相互配合、相互促进,形成一个有机整体;
④实现性和鼓励性原则。计划必须与职工的物质利益紧密结合,把实现企业经营目标,创造最佳的经济效益变成激发职工积极性的推动力;
⑤连续性原则。计划必须考虑过去、现在和未来的利益。
91、问答题
某运输公司有甲、乙、丙、丁四个仓库分别需要发运大米50t、250t、200t和300t到需求地。需求地有A、B、C、D四个客户,需要量分别为50t、350t、200t和200t。每吨千米为3元,请确定最优运输方案并计算最低运费。仓库和需求地位置示意如图3~1所示。

点击查看答案
本题答案:解答过程如图3-2所示。
本题解析:试题答案解答过程如图3-2所示。
总运费=(50×118+200×118+317×150+349×50+252×150+165×150+165×50)×3=165300×3=495900(元)
92、单项选择题 下列哪项属于固定成本()
A.燃料成本
B.劳动成本
C.维修费用
D.购置车辆费用
点击查看答案
本题答案:D
本题解析:暂无解析
93、判断题 公路货运基本运价是指以普通中型吨位车辆整车装载二等货物,在等级公路上运输的每吨公里运费。
点击查看答案
本题答案:错
本题解析:公路货运基本运价是指以普通中型吨位车辆整车装载一等货物,在等级公路上运输的每吨公里运费。
94、多项选择题 国际多式联运的主要特点有()。
A.具有一份多式联运合同
B.多次托运、多次收费
C.是国际间且至少由两种不同运输方式组成的连续运输
D.使用一份全程多式联运单,多式联运经营人对货物运输全程负责
E.按不同运输方式进行保险和理赔
点击查看答案
本题答案:A, C, D
本题解析:国际多式联运的主要特点是,由多式联运经营人对托运人签订一个运输合同统一组织全程运输,实行运输全程一次托运,一单到底,一次收费,统一理赔和全程负责。
95、判断题 国际航运从总体上看,属于寡头垄断或垄断竞争市场。
点击查看答案
本题答案:对
本题解析:暂无解析
96、单项选择题 下列关于开展国际多式联运的优越性的说法不正确的是()。
A.缩短货运时间、减少库存、降低货损货差、提高运输质量
B.托运、结算及理赔手续复杂
C.降低运输成本、节省各种支出
D.提高运输管理水平,实现运输合理化
点击查看答案
本题答案:B
本题解析:开展国际多式联运具有许多优越性,主要表现在:
①简化托运、结算及理赔手续,节省人力、物力和有关费用;
②缩短货物运输时间,减少库存,降低货损货差事故,提高货运质量;
③降低运输成本,节省各种支出;
④提高运输管理水平,实现运输合理化;
⑤其他作用。
97、单项选择题 下列哪项是国内货物运输保险中按运输方式划分的险别()
A.水上运输保险
B.联运货物运输保险
C.航空运输保险
D.陆上运输保险
点击查看答案
本题答案:B
本题解析:暂无解析
98、单项选择题 货运的经济活动为社会创造价值,是一种()活动。
A.服务行为
B.物质生产
C.社会分配
D.物质消费
点击查看答案
本题答案:B
本题解析:暂无解析
99、单项选择题 下列运输方式中,速度最快的是()
A.铁路运输
B.航空运输
C.水路运输
D.公路运输
点击查看答案
本题答案:B
本题解析:暂无解析
100、问答题 多式联运货物的灭失赔偿2007年10月4日,匈牙利富云国际贸易责任有限公司(以下简称富云公司)作为买方与温州东方对外贸易有限公司签订了一份售货确认书,购买一批数量为500箱的服装,总价为10万美元。2008年2月11日,东方对外贸易有限公司以委托人身份将该批童装装于一个40英尺标箱内,交由香港金豪公司所属"金泉"轮承运。金豪公司加封铅,并签发一式三份正本全程多式联运提单。2月23日,货抵香港后,金豪公司将其转至兰通公司所属"海发"轮承运。3月29日,兰通公司将集装箱运抵斯洛文尼亚的科波尔港,后由铁路运至匈牙利布达佩斯马哈特集装箱终点站(4月12日到)。4月15日富云公司向兰通公司的代理提交金豪公司签发的一份正本提单并在背面盖章。6月6日,富云公司提货时打开箱子发现是空的。同日,匈牙利铁路公司布达佩斯港口出具证明:集装箱铅封及门锁在箱抵布达佩斯时已被替换。分析下列问题:
(1)如何确定多式联运中货物灭失发生的区段?
(2)如何理解多式联运经营人与区段承运人的责任分担问题?
点击查看答案
本题答案:(1)该批货物主要经历的区段包括:从温州到香港,承运人
本题解析:试题答案(1)该批货物主要经历的区段包括:从温州到香港,承运人为金豪公司,并由金豪公司加封铅及签发多式联运提单;香港到科波尔港,由兰通公司承运;由铁路从科波尔港到布达佩斯马哈特集装箱终点站,由兰通公司的代理承运。由于匈牙利铁路公司布达佩斯港口出具证明,集装箱铅封及门锁在箱抵布达佩斯时已被替换,而兰通公司在从金豪公司接管货物时,并无异常现象。则可以断定,货物灭失发生在兰通公司负责的香港到科波尔港间的海运,或兰通公司的代理负责的科波尔港到集装箱终点站间的铁运,这两种情况下的主要负责人都为兰通公司。
(2)货物在运输过程中发生灭失,是由多式联运经营人负责,还是由区段承运人负责赔偿的问题,国际上对此规定主要有两种形式:
①网状责任制,即多式联运经营人对全程负责,而各区段承运人仅对自己完成的运输区段负责。各区段适用的责任原则按适用于该区段的法律予以确定。
②统一责任制,即多式联运经营人对全程运输负责,而各区段承运人仅对自己完成运输区段负责,但不论损害发生在哪一区段,多式联运经营人和各区段承运人承担相同的赔偿责任。网状责任制和统一责任制都能较好地保护托运人或收货人的利益。因为不论货物损害发生在哪一运输区段内,托运人或收货人均可向多式联运经营人索赔。《联合国国际货物多式联运公约》(未生效)采用统一责任制,国际上通用的《联运单证统一规则》采用网状责任制。我国《海商法》对国际货物多式联运基本实行网状责任制。基于国际航运惯例及我国《海商法》的规定,本案例采用网状责任制。案例中查明货物灭失发生在兰通公司运输的区段,兰通公司作为区段承运人应对其运输区段发生的货物灭失负主要责任,但金豪公司作为联运经营人亦不能免除全程运输责任,应承担连带赔偿责任。
101、多项选择题 运输需求的特征有()。
A.派生性
B.竞争性
C.规律性
D.不平衡性
E.个别需求的异质性
点击查看答案
本题答案:A, C, D, E
本题解析:运输需求的特征有:
①派生性。运输需求是社会经济活动的需求派生出来的,完成空间位移只是其为实现真正目的的一个必不可少的环节,相对运输需求而言,社会经济活动是本源需求,运输需求是派生需求;
②规律性。运输需求起源于社会经济活动,而社会经济的发展及增长速度具有一定的规律性,因此,运输需求也具有规律性;
③不平衡性。运输需求的不平衡性体现在时间、空间和方向上;
④个别需求的异质性。指个别运输需求因货种和服务内容而对质量管理和工艺要求不同,对运价水平要求不同等。
102、判断题 运输市场管理的性质属运输市场调节行为。
点击查看答案
本题答案:错
本题解析:运输市场管理的性质属于国家行政管理。
103、问答题 如何正确理解运输计划的编制程序?
点击查看答案
本题答案:运输企业运输计划编制的程序一般划分为调查研究、确定经营
本题解析:试题答案运输企业运输计划编制的程序一般划分为调查研究、确定经营目标、综合平衡和制定计划四个阶段。这四个阶段的具体内容如下:
(1)调查研究阶段该阶段工作主要包括调查企业经营的外部环境和内部条件,收集整理和分析研究调查资料,确定编制计划的前提条件和限制性因素三个方面的内容。
①调查企业经营的外部环境A.政治经济技术环境。包括政府的方针、政策、法律等政治环境;国民经济发展的年度计划、五年计划和远景目标,各经济主管部门的专业计划和发展规划,国家经济结构、产业结构、运输结构、对外贸易、生产力布局的现状和趋势,腹地经济发展状况及其对运输的需求等经济环境;现代科技在运输上的应用,如现代运输和装卸技术的应用等技术环境。B.运输市场环境。一是提供运输能力的市场环境,主要有铁路、水路、公路、航空和管道等;二是运输企业客户调查,包括生产经营情况,生产能力规模,产品的品种、产量、原材料,燃料的需求量,以及其调运流向、流量、运输方式和运量分配,线路、港口选择等。C.竞争环境。主要有运输企业之间为了争取货源而展开的以价格、质量、效率、服务等为主要手段的竞争,以项目建设、技术改造等提高生产能力的竞争,以经营要素优化配置、降低经营成本等管理的竞争;国民经济其他行业的其他运输方式进入港口行业经营对运输企业带来的威胁;港口客户在选择运输企业从事产品和原材料运输的能力等。
②调查企业经营的内部条件A.经营实力。包括运输企业运输工具设备、铁路线、库场等方面的硬件设施和生产手段;B.经营能力。包括资源筹措能力、市场开发和揽货能力、生产技术组织能力、对市场变化做出快速反映能力等方面的经营和管理水平、人员素质。
③收集整理和分析研究调查资料在调查企业经营的外部环境和内部条件基础上,应认真分析研究国家政治经济技术环境对运输企业经营活动将会产生的影响及程度,整理分析运输市场调查、订货会议和运输合同等资料、撰写运输市场调查报告,上期计划的预计完成情况及在执行过程中存在的问题和偏差,分析研究企业内部人力、物力、财力资源的保证程度,分析研究本企业经营能力、运输市场竞争态势。
④确定编制计划的前提条件和限制性因素运输企业编制计划的前提条件是指许可、保证条件和限制性条件,这些条件既可能是许可、保证条件,也有可能是限制性条件。在调查研究阶段的一项重要工作内容就是要找出限制性条件,分析限制性条件的各种因素,采取对策将限制性条件转化为许可、保证条件。
(2)确定经营目标阶段该阶段的工作主要包括选择企业经营目标,制定目标水平方案,确定经营目标方案三个方面的内容。
①选择经营目标经营目标是企业一个时期内经营活动的基准和方向,是编制运输计划的直接依据,运输企业的经营目标因目标的不同可分为长期目标和短期目标。长期目标包括:成长目标、利润目标、市场目标、社会责任目标和提高职工满意度目标等,运输企业在选择上述目标时应依据企业内外部的环境条件,根据机会与威胁、优势和劣势情况进行选择。短期目标一般指年度经营目标。运输企业的年度经营目标包括利润、产量、安全质量、消耗、效率等目标。通常选择利润目标作为企业经营的重点目标,其余目标作为支持目标。
②制定目标水平方案企业应根据第一阶段所提供的资料,制订不同的目标水平方案。
③确定经营目标方案确定经营目标方案是企业的重要决策,应充分发动职工,自上而下和自下而上相结合,定性和定量分析相结合,反复比较研究方案的利弊,从中选出最接近目标而又适应关键的限制性条件的满意方案,其余方案留作备用。
(3)综合平衡阶段综合平衡的内容应根据计划的期限和综合程度进行,主要包括:
①需要和能力的平衡;
②经营活动过程各环节的平衡;
③产量、收入、成本、利润之间的平衡;
④长期运输计划和年度运输计划的平衡;
⑤生产、效率与职工工资福利的平衡等。
(4)制定计划阶段制定计划是运输企业运输计划编制的最后一道程序,其主要内容包括:
①明确计划制定的分工。通常情况下运输企业运输计划的制定由计划部门负责组织,具体分工;综合计划和生产计划由计划部门制定,各专业计划由相应的职能部门制定。
②选择编制计划的方法。重点是长期运输计划和年度运输计划,其方法将在本节最后部分详细分析。
③编制计划文件。运输计划文件主要由两部分组成:计划表和文字说明,包括上期预计完成情况分析;本期计划编制的依据和特点;主要计划指标对比分析比较;计划尚存在的问题以及实现计划的对策和措施等。
104、判断题 运输市场机制是以客观经济规律为依据、市场要素为基础、市场信息为前提形成的。
点击查看答案
本题答案:错
本题解析:运输市场机制是以客观经济规律为依据、市场要素为基础、市场功能为前提形成的。
105、单项选择题 小陆桥运输从运输组织形式上看与大陆桥运输并无大的区别,只是其运送的货物的目的地是()。
A.沿海港口
B.内河港口
C.内陆地区
D.沿海或内河港口
点击查看答案
本题答案:来源:91考试网 91Exam.orgC
本题解析:暂无解析
106、判断题 水路运输的成本低,主要担负大宗、笨重货物的长途运输。
点击查看答案
本题答案:对
本题解析:暂无解析
107、判断题 在货物运输合同中,承运人应当按照托运人的要求将货物运至目的地,托运人或收货人应当支付相应的运输费用。
点击查看答案
本题答案:对
本题解析:暂无解析
108、单项选择题 ()属于运输保险风险中的意外事件。
A.雷电
B.洪水
C.船舶沉没
D.海啸
点击查看答案
本题答案:C
本题解析:意外事件是指由于偶然的、难以预料的原因造成的事故,如船舶搁浅、触礁、沉没、互撞或遇流冰等原因造成的事故。雷电、海啸、洪水属于自然灾害。
109、判断题 在制定运输价格时,政府指导价体现了统一性与灵活性相结合的原则,允许经营在规定范围和幅度内调价。
点击查看答案
本题答案:对
本题解析:暂无解析
110、单项选择题 只有在保险单据明确承保的风险所直接引起的损失才有可能从保险人处取得赔偿;凡是被保险人的道德危险,即被保险人的恶意行为所引起的损失,保险人不予赔偿。因此,运输保险承保的风险是具有()。
A.法律性
B.约定性
C.规定性
D.风险性
点击查看答案
本题答案:B
本题解析:运输保险中,绝不可能发生的情况和必然会发生的事实不属于承保的风险范围。承保的风险具有约定性,引起损失的危险各种各样,但是,只有保险单据明确承保的风险所直接引起的损失才有可能从保险人处取得赔偿;凡是被保险人的道德危险,即被保险人的恶意行为所引起的损失,保险人不予赔偿。
111、多项选择题 下列各项属于货物运输需求产生原因的是()。
A.资源地区分布不均衡,自然生产力布局和资源产地的分离
B.产业结构同化
C.社会物质极大丰富
D.生产力布局和资源消费群体的空间分离
E.地区间商品品种、质量、性能、价格上的差异
点击查看答案
本题答案:A, D, E
本题解析:货物运输需求本质上是一种派生需求。即运输本身不是货主所要追求的目标,只是在一定时间内将其货物运到目的地的一种手段。它的产生有以下三方面原因:
①自然资源地区分布不均衡,生产力布局与资源产地的分离;
②生产力布局与消费群体的空间分离;
③地区间商品品种、质量、性能、价格上的差异。
112、判断题 运输保险是指在运输过程中基于运载工具或货物产生的财产保险、责任保险。
点击查看答案
本题答案:对
本题解析:暂无解析
113、判断题 运输需求的不平衡性体现在时间、空间和方向上。
点击查看答案
本题答案:对
本题解析:暂无解析
114、判断题 采用滚动式计划来编制长期运输计划,第一年是准备计划,其编制应比较细一些。
点击查看答案
本题答案:错
本题解析:采用滚动式计划来编制长期运输计划,第一年是执行计划,其编制应详尽具体;第二、三年是准备计划,编制可比较细一些;第四、五年是预测计划,着重于战略目标计划编制较精的概略。
115、判断题 根据我国《海商法》第一百零三条的相关规定,多式联运经营人对多式联运货物的责任期间,自接收货物时起至交付货物时止。
点击查看答案
本题答案:对
本题解析:暂无解析
116、多项选择题 目前,国际海空联支这线主要有()。
A.远东--欧洲
B.远东--中南美
C.远东--中近东、非洲、欧洲
D.远东--北美
E.远东--亚洲
点击查看答案
本题答案:A, B, C
本题解析:暂无解析
117、判断题 运输企业经营计划实施控制的主体是各项方针目标和计划目标。
点击查看答案
本题答案:错
本题解析:运输企业经营计划实施控制的主体是责任领导、责任单位和责任部门;运输企业经营计划实施控制的对象是各项方针目标和计划目标。
118、判断题 运输市场机制以“看不见的手”支配运输运作,促进运输市场体系功能的发挥。
点击查看答案
本题答案:对
本题解析:暂无解析
119、判断题 平均运输成本是运输价值的一般反映。
点击查看答案
本题答案:对
本题解析:暂无解析
120、问答题 海尔运输海尔物流是海尔集团为了发展配送服务而建立的一套完备齐全、现代化的物流配送体系,海尔物流服务的主要对象分为两类:海尔集团内部的事业部和集团外部的第三方客户。海尔物流拥有16000部货车,海尔物流通过分布在全国的服务网络,可视的、灵活的管理系统去帮助客户,并提高对客户的响应速度和及时配送。(1)定单聚集海尔采用SAPLES物流执行系统,将运输管理、仓库管理以及订单管理系统高度一体化整合,使得海尔能够将顾客订单转换成为可装运的品项,从而有机会去优化运输系统。海尔可以通过集运和拆分订单去满足客户低成本运输的需要。这种定单的聚集和客户的订单观念直接联系在一起,使海尔能够更加准确、有效、简单、直观地管理客户的运输和相关物流活动。(2)承运人管理和路径优化海尔物流提供持续一致的程序去管理费用和承运团队的关系,依靠对运输的优化而持续地更新海尔的运输费用折扣。海尔的流程和软件系统可以使其能够不断去改进其审计和付款、装运招标和运输追踪。海尔的运输管理系统可以允许海尔的运输工程师去设计和执行复杂的最佳运输路径,这有可能包括了多重停留、直拨与合并运输。所有这些都可以在路径设计、运输方法选择时被考虑。由于海尔的仓库管理系统和运输管理系统是高度集成的,在多地点停留的货车可以将装卸的信息直接与仓库的系统通信,确保货车在正确的路径上准点到达。(3)多形态的费率和执行系统海尔物流管理各种形式的运输模式,包括了快递、整车、零担、空运、海运和铁路运输,并按照客户的需求,应用各种先进的费率计算系统向客户提出建议。海尔的运输管理系统还集成到海尔的财务收费系统,可以向客户提供其综合性的财务报告。(4)行程执行海尔物流应用海尔总结出来的一整套的建立在相互协商、不同服务功能的界定、和其他商业标准基础上的方法来计算运费。通过集中运输中心的设立,可以整合所有的承运者,选择合适的承运工具,大幅度地降低偏差和运输成本。
(5)可视化管理海尔物流的动态客户出货追踪系统可以对多点和多承运人进行监控,相关的客户可以从系统上直观地查询到订单的执行状况甚至每个品种的信息。每次的出货,不论是在海尔集团系统内,还是在海尔的全国网络内,所有的承运活动都被电子监控。所有的运输信息都可以在Web上查询。海尔的信息系统和以海尔文化为基础的管理确保所有承运人和整个网络都能及时、准确和完整地获得所有可视化的数据。(6)运输线合并海尔物流将不同来源的发货品项,在靠近交付地的中心进行合并,组合成完整的定单,最终作为一个单元来送交到收货人手中。(7)持续移动海尔物流可以根据客户的需要去提高承运的利用率,降低收费费率。例如:海尔的运输工程师可以将家电从贵州运到上海,而在昆山将一批计算机产品补货到货车运送到重庆。海尔物流管理的运输网络和先进的工具可以追踪这些补货的路径安排需要,发现降低成本的机会。(8)车队、集装箱和场地管理许多客户都拥有自己的专有货车、集装箱和设施场地供自己的车队使用。海尔物流可以管理这些资源从而将其纳入海尔物流整体运输解决方案中。海尔的先进系统可以提供完整的车辆可视化管理,不论周转箱或集装箱在现场还是在高速公路上,海尔物流都为这些独特的运输需要提供服务,包括了散货、冷冻冷藏、周转箱的回转以及危险品等需要特殊处理和相关条例管理的运输。(9)国际贸易管理海尔凭借在对出口文件、保税设施、守法、金融贸易、货物运输等方面的经验,能进行适当的处理。
请分析:这些运输服务会给客户和海尔物流带来什么利益?
点击查看答案
本题答案:合理运输是指遵循商品流通规律,根据货物运输的条件、货物
本题解析:试题答案合理运输是指遵循商品流通规律,根据货物运输的条件、货物的合理流向和市场供需状况,以最快的速度、最少的环节、最短的里程、最省的费用,完成货物的运输任务。海尔的运输服务给客户和海尔带来的利益包括:
(1)订单聚集。将不同的订单根据具体情况灵活的拆分合并,不仅使海尔能够更加准确、有效、简单、直观地管理客户的运输和相关物流活动,而且对于客户而言也节约了很多等待的时间。
(2)承运人管理和路径优化。海尔物流通过持续一致的程序去管理费用和承运团队的关系,在优良的信息系统与程序的支持下不断优化系统管理,设计最佳运输路线。这样不仅能够降低海尔的运输成本,同时也意味着客户的成本降低;吸引更多的客户选择海尔运输,意味着海尔竞争力的长久保持。
(3)多形态的费率和执行系统。费率的多形态能够满足客户多样化的需求,而且运输管理系统还可以向客户提供其综合性的财务报告,实现了物流系统的增值服务。
(4)行程执行。海尔通过其管理系统将不同承运者、客户、运输方式、资源协调整合,有利于实现规模效益,有利于海尔成本的降低以及其服务水平的提升。
(5)可视化管理。海尔物流、客户及承运人等都可通过可视化的信息管理系统了解运输的具体情况,有利于各方相互沟通,加强协商,更好的实现物流过程。同时海尔将企业文化借机推销出去,有利于培养忠诚客户,形成稳定的客户群,加强与承运人的关系。
(6)运输线合并。通过统筹安排不仅降低自身的运输成本,而且帮助客户节约了时间,能够实现快速运输。
(7)持续移动。在移动中寻找降低成本的机会,不仅能满足客户,而且能够提高资源利用率,有利于企业实现较高的经济效益。
(8)车队、集装箱和场地管理。先进的信息管理系统能够帮助海尔物流整合车队、集装箱和场地,实现随时随地装载和运输货物,大大加强了运输的灵活性,降低了资源的空闲率,减少了不合理运输。
(9)国际贸易管理。海尔凭借其国际贸易管理的经验为客户提供海关、免税等各种增值服务,不仅方便了客户,而且提高了自己在物流企业中的竞争优势。总之,海尔的运输系统运输合理化的要求,不仅能帮助海尔降低物流成本,提高经济效益,而且能够为客户提供准时、快速、灵活、高效优质的物流服务,其中不乏增值服务,为客户降低了物流成本,有助于客户自身竞争优势的发展。同时对于社会而言,资源的有效利用也意味着社会经济效益的提升。
121、单项选择题 运输经营者从事运输生产活动所创造的剩余价值包括()。
A.税金
B.税金和利润
C.利润
D.运输管理费
点击查看答案
本题答案:B
本题解析:税金是经营者从事运输生产活动所创造的剩余价值中的一部分;利润是经营者从事运输生产活动所创造的剩余价值中的另一部分,是经营者投资和从事运输活动所产生的收益。
122、多项选择题 西伯利亚大陆桥运输包括()等运输方式。
A.海铁铁
B.海铁海
C.海铁公
D.海公空
E.海陆海
点击查看答案
本题答案:A, B, C, D
本题解析:西伯利亚大陆桥(SLB)是指使用国际标准集装箱,将货物由远东海运到俄罗斯东部港口,再经跨越欧亚大陆的西伯利亚铁路运至波罗的海沿岸如爱沙尼亚的塔林或拉脱维亚的里加等港口,然后再采用铁路、公路或海运运到欧洲各地的国际多式联运的运输线路。西伯利亚大陆桥运输包括"海铁铁"、"海铁海"、"海铁公"和"海公空"等四种运输方式。
123、判断题 我国进出口货物运输最常用的保险条款是中国人民保险公司制定的“中国保险条款”。
点击查看答案
本题答案:对
本题解析:暂无解析
124、判断题 运输价格可分为政府指导价和经营者定价两种形式。
点击查看答案
本题答案:错
本题解析:暂无解析
125、判断题 铁路运输具有间断运送、管理方便、受自然条件影响小等技术的经济优点
点击查看答案
本题答案:错
本题解析:管道运输具有间断运送、管理方便、受自然条件影响小等技术的经济优点。
126、判断题 国际多式联运综合利用了各种运输方式的优点,能充分体社会化大生产大交通的特点。
点击查看答案
本题答案:对
本题解析:暂无解析
127、多项选择题 根据运价对国民经济和人民生活的影响程度,运价可分为()。
A.政府定价
B.市场参考价
C.收入定价
D.政府指导价
E.经营者定价
点击查看答案
本题答案:A, D, E
本题解析:暂无解析
128、单项选择题 关于陆桥运输,下列说法不正确的是()。
A.陆桥运输是一种海陆联运形式
B.大陆桥运输是陆桥运输的一种形式
C.小陆桥运输是陆桥运输的一种形式
D.微桥运输不属于陆桥运输
点击查看答案
本题答案:D
本题解析:陆桥运输是指采用集装箱专用列车或卡车,把横贯大陆的铁路或公路作为中间"桥梁",使大陆两端的集装箱海运航线与专用列车或卡车连接起来的一种连贯运输方式;严格地讲,陆桥运输也是一种海陆联运形式;陆桥运输包括大陆桥运输、小陆桥运输和微桥运输。
129、判断题 资金计划包括现金计划和固定资产投资资金计划,企业生产规模的扩大需要一定数量的资金支撑
点击查看答案
本题答案:对
本题解析:暂无解析
130、判断题 船舶保险可分为全损险和综合险两种。
点击查看答案
本题答案:错
本题解析:暂无解析
131、多项选择题 运输企业市场营销的外部环境归纳为()。
A.政治法律环境
B.技术环境
C.自然环境
D.人文环境
E.经济环境
点击查看答案
本题答案:A, B, C, E
本题解析:就运输市场而言,可以把外部环境归纳为:
①政治法律环境。在各国经济活动中,政府、各种社会政治集团不同程度地影响着运输企业的经营;
②技术环境。随着知识经济的来临,新技术的发展将会加快,运输从劳动密集型向知识技术密集型的转变过程中,新技术将对运输企业的市场营销产生重要的影响;
③自然环境。包括运输的自然地理位置、气候、资源分布、海岸线及其海洋资源的开发和利用情况等;
④经济环境。全球经济一体化的发展增加了世界各国经济与贸易的相互依赖性。
132、多项选择题 下列各项属于陆桥运输的是()。
A.大陆桥运输
B.小陆桥运输
C.微桥运输
D.空桥运输
E.公铁联运
点击查看答案
本题答案:A, B, C
本题解析:陆桥运输是指采用集装箱专用列车或卡车,把横贯大陆的铁路或公路作为中间"桥梁",使大陆两端的集装箱海运航线与专用列车或卡车连接起来的一种连贯运输方式。目前,远东/欧洲的陆桥运输线路有西伯利亚大陆桥和北美大陆桥。北美地区的陆桥运输包括大陆桥运输、小陆桥运输(Minibridge)和微桥运输(Microbridge)等运输组织形式。
133、多项选择题 下列属于保险人不予赔偿的的事件有()。
A.承运人纵火
B.恶劣气候
C.驾驶员纵酒
D.战争
E.触礁
点击查看答案
本题答案:A, C, D
本题解析:暂无解析
134、单项选择题 ()是事后处理货运事故的依据。
A.货运记录
B.货物运单
C.提货单
D.货票
点击查看答案
本题答案:A
本题解析:暂无解析
135、判断题 运输业是国家基础产业,属于服务业,具有公益性和竞争性双重特征。
点击查看答案
本题答案:对
本题解析:暂无解析
136、判断题 在五种运输方式中,每一种运输方式都有其特定的运输线路和运输工具,从技术运营特点、经济性能和合理适用范围看,每种方式都有其存在的基础。
点击查看答案
本题答案:对
本题解析:暂无解析
137、单项选择题 运输市场宏观调控的主体是()。
A.政府职能部门
B.运输市场
C.运输企业
D.货主
点击查看答案
本题答案:A
本题解析:暂无解析
138、单项选择题 在运输成本中,()所占比例变动最大。
A.起点与终点的两端运输
B.固定成本
C.中间的主要承运阶段
D.变动成本
点击查看答案
本题答案:A
本题解析:暂无解析
139、判断题 航空运输是速度最快、运输高、运量大的一种运输方式
点击查看答案
本题答案:错
本题解析:暂无解析
140、判断题 为保障运输市场的健康发育和有序运转,不但要从宏观上对运输发展进行协调、控制和引导,而且还要从微观上对市场行为进行监管、检查与督导。
点击查看答案
本题答案:对
本题解析:暂无解析
141、判断题 运输需求是指在一定时期内,一定的价格水平下,社会经济生活在货物和旅客空间位移服务所提出的具有支付能力的需要。
点击查看答案
本题答案:对
本题解析:暂无解析
142、单项选择题 我国合同法规定,联运经营人与各区段的约定不影响联运经营人对托运人的损害承担()。
A.全部责任
B.次要责任
C.连带责任
D.免除责任
点击查看答案
本题答案:C
本题解析:暂无解析
143、多项选择题 利用"节约法"制定出的配送方案除了使配送的总成本最小外,还必须满足的条件有()。
A.方案能够满足所有用户的要求
B.不使任何一辆车超载
C.每一辆车每天的总运行时间或者行驶里程不超过规定的上限
D.能够满足用户到货时间的要求
E.配送中心有足够的运输能力
点击查看答案
本题答案:A, B, C, D
本题解析:利用"节约法"制定出的配送方案除了使配送的总t.km数量最小外,还必须满足的条件有:
①方案能够满足所有用户的要求;
②不使任何一辆车超载;
③每一辆车每天的总运行时间或者行驶里程不超过规定的上限;
④能够满足用户到货时间的要求。
144、判断题 贵重、鲜活货物的运输价格是在基价的基础上加成计算。
点击查看答案
本题答案:对
本题解析:贵重、鲜活货物运输、特种车辆货物运输、非等级公路货物运输、货物快运等,在基价的基础上加成计算。
145、单项选择题 下列运输方式中,()相对成本较高。
A.公路运输
B.铁路运输
C.航空运输
D.水路运输
点击查看答案
本题答案:C
本题解析:暂无解析
146、多项选择题 开展集运方式的途径为()。
A.仓库与库存合并
B.运输车辆合并
C.订单合并
D.合并批量,减少运营班次
点击查看答案
本题答案:A, B, D
本题解析:暂无解析
147、多项选择题 运输价格是由下列哪些内容构成()
A.运输成本
B.税金
C.利润
D.员工管理
E.其他费用
点击查看答案
本题答案:A, B, C
本题解析:暂无解析
148、多项选择题 下列各项属于货物运输需求产生原因的是()。
A.资源地区分布不均衡,自然生产力布局和资源产地的分离
B.产业结构同化
C.社会物质极大丰富
D.生产力布局和资源消费群体的空间分离
E.地区间商品品种、质量、性能、价格上的差异
点击查看答案
本题答案:A, D, E
本题解析:货物运输需求本质上是一种派生需求。即运输本身不是货主所要追求的目标,只是在一定时间内将其货物运到目的地的一种手段。它的产生有以下三方面原因:
①自然资源地区分布不均衡,生产力布局与资源产地的分离;
②生产力布局与消费群体的空间分离;
③地区间商品品种、质量、性能、价格上的差异。
149、判断题 货源计划包括货源市场开发和揽货计划,是运输企业市场营销的核心内容,在年度运输计划中具有主体地位。
点击查看答案
本题答案:对
本题解析:暂无解析
150、单项选择题 货运企业必须对不同客户实行()服务,以确保资源的有效运用。
A.差别化
B.定制式
C.不同
D.等级制
点击查看答案
本题答案:A
本题解析:暂无解析
151、单项选择题 公路运输的适用范围是()。
A.远距离、大批量
B.近距离、小批量
C.远距离、小批量
D.近距离、大批量
点击查看答案
本题答案:B
本题解析:暂无解析
152、单项选择题 下列哪一项是影响运输方式选择因素中不可变的因素()
A.运输时间
B.运输成本
C.运输方式
D.运输商品数量
点击查看答案
本题答案:D
本题解析:暂无解析
153、多项选择题 下列各项属于运输企业市场营销内部环境的是()。
A.技术环境
B.运输用户环境
C.供应商环境
D.运输企业环境
E.经济环境
点击查看答案
本题答案:B, C, D
本题解析:运输企业市场营销的内部环境通常由五个方面组成:运输企业环境、营销中介环境、运输用户环境、供应商环境和社会公众环境。其中,运输用户是托运人,国家的生产者和消费者是运输的终端用户,是为运输提供的服务付款的人;运输供应商是指运输企业所需的人、财物等资源的供应,是企业发展的保障;在企业内部营销系统中,运输企业的市场营销通常有运输业务处负责,该部门通常由业务经理、市场研究人员、揽货(促销)人员等组成,负责为运输制定市场营销计划,并负责该计划的实施。
154、多项选择题 运输成本主要由下列哪些内容构成()
A.基础设施成本
B.运转设备成本
C.营运成本
D.作业成本
E.流动成本
点击查看答案
本题答案:A, B, C, D
本题解析:暂无解析
155、单项选择题 海上运输水渍险,保险公司除担负平安险责任外,还对被保险物遇()所造成的部分货损负责赔偿责任。
A.自然灾害
B.意外事故
C.外来原因
D.不可抗力
点击查看答案
本题答案:A
本题解析:暂无解析
156、判断题 索赔是保险人在知悉发生保险事故并调查确认法律责任归属后,审查索赔材料,作出赔付、部分赔付或拒赔等决定的法律行为。
点击查看答案
本题答案:错
本题解析:索赔是指被保险人依据海上保险合同所享有的重要权利,当保险标的发生保险项下的保险事故造成损失或对此损失负有责任时,被保险人有权要求保险人赔偿或追偿;理赔是保险人在知悉发生保险事故并调查确认法律责任归属后,审查索赔材料,作出赔付、部分赔付或拒赔等决定的法律行为。
157、多项选择题 运输时常的参与者包括()
A.需求方
B.运送工具提供方
C.供给方
D.中介方
E.政府方
点击查看答案
本题答案:A, C, D, E
本题解析:暂无解析
158、判断题 积载能力是指由于产品的具体尺寸、形状及其对运输工具的空间利用程度的影响。积载能力强,就能较好地利用空间,从而使运输成本降低。
点击查看答案
本题答案:对
本题解析:暂无解析
159、问答题 我国运输市场管理具有哪些特性?
点击查看答案
本题答案:运输市场管理是指各级政府交通主管部门履行政府管理职能,
本题解析:试题答案运输市场管理是指各级政府交通主管部门履行政府管理职能,对道路运输活动进行计划、组织、指导、协调、监督和服务等各项工作的总称。其主要特性为:
(1)国家意志性运输市场管理具有国家行政管理的基本属性,属上层建筑的范畴,反映了政府发展运输经济的基本态度。为确保道路运输经济的发展与经济基础相适应,并为上层建筑服务,运输市场管理必须体现政府干预运输经济的国家意志性。
(2)宏观调控与微观管制并存政府部门实施道路运输全行业管理,既要完善宏观调控体系,确保道路运输业发展的方向、规模、速度、结构等符合我国市场经济体制的基本要求,满足社会需求,也必须强化微观层次的监督检查,以规范经营行为,维护市场秩序。
(3)统一领导与分级管理结合道路运输活动点多面广,流动分散,业户成分复杂,经营方式多样,形成了一个庞大复杂的市场体系。为保障运输组织活动的顺利完成,促进道路运输业的健康发展,在我国市场机制尚不健全、法规体系尚不完善的前提下,必须加强统一领导。为兼顾不同地域运输经济活动的差异性,充分发挥各地优势,活跃区域运输市场,也必须实施分级管理。
(4)管理范围的广泛性无论是运输供给方还是需求方,无论是何种经济成分的经营主体,也无论是何种内容、何种性质的运输业务活动,均在运输市场管理的范畴之列。同时,运输市场管理不仅包括产业政策、行业规划、法制建设等宏观层次的管理,还涵盖了运输经营者从开业资格审查、经营行为管制到停业确认等全过程的微观管理。
(5)管理手段的综合性运输市场管理属国家行政管理,必须使用行政手段。运输市场管理的对象是运输经济活动,必须使用经济手段。市场经济是法制经济,必须使用法律手段。因此,运输市场管理必须强调各种手段的综合运用。这一特性在运输市场管理的概念分析和其他方面的特点分析中也有所体现。
160、问答题 国际多式联运的认识国际多式联运是指由多式联运经营人按照多式联运合同,以至少两种不同的运输方式,将货物从一国境内接管货物的地点运至另一国境内指定地点交货的运输方式。它是以集装箱为运输单元,将不同的运输方式有机组合在一起构成连续的综合性的一体化货物运输。其特点是:一次托运、一次计费、一次单证、一次保险。这种运输方式与传统单一的运输方式相比,有比较明显的优点:(1)统一化、简单化。不论货物运程多远,不论有几种运输方式共同完成对货物的运输,不论中途经过多少转换,所有一切运输事项都由多式联运企业经营人负责办理。而货主只需办理一次托运、订立一次运输合同、一次支付费用、一次保险。一旦运输途中发生货物损坏或灭失,由多式联运经营人对全程运输负责,而每一运输区段的承运人对自己运输区段的货物损害承担责任。(2)减少中间环节、缩短货物运输时间、降低货损货差、提高货运质量。由于以集装箱为运输单元,货物在发货人工厂或仓库装箱后可直接运至收货人的工厂或仓库。中途换装时无须换箱、装箱,从而减少了中间环节。同时由于使用专业机械装卸,换装时又不涉及箱内的货物,因而货损货差、货物被窃现象大为减少,从而在一定程度上提高了货运质量。此外,由于各个运输环节的各种运输工具之间配合密切、衔接紧凑,货物中转迅速及时,大大减少了货物停留时间,从而从基本上保证了货物安全、迅速、准确、及时地运抵目的地。(3)降低运输成本、节省运杂费用。由于实行门到门服务运输,因此,对货主来说,在将货物交到第一承运人后即可取得货运单证,并据以结汇。结汇时间提前,不仅有利于加速货物资金的周转,而且减少了利息的支出。同时由于货物装载集装箱运输,从某种意义上说可节省货物的包装费和保险费。此外,由于多式联运采用一张货运单据、统一费率,因而简化了制单和结算手续,节省了人力物力。(4)提高运输组织水平,实现合理化运输。由于多式联运可组织各种运输业者共同参与,经营业务范围可大大扩展,并且可以最大限度地发挥其现有设备的作用,选择最佳运输路线,组织合理运输。根据各种条约规定的不同,国际多式联运有很多具体的形式。凡符合下列条件属"汉堡"规则下的货物联运:①两种运输方式之间,必须有一种是海运;②所订立的合同是国际间的货物运输:凡符合下列条件属公路货运公约的货物联运:①运输合同中规定的接管、交付货物的地点位于两个不同的国家;②货物系由载货车辆运输。凡符合下列条件属铁路货运公约下的货物联运:①运输方式之一为在公约所规定的铁路上运输;②另一运输方式为在公约所规定的公路或海上运输。凡符合下列条件属华沙公约下的货物联运:根据有关订立的运输合同,不论运输过程中有无中断或转运,其出发地和目的地是在两个缔约国或非缔约国的主权、宗主权、委托统治权或权力管辖下的领土内有一个约定的经停地点的任何运输。作为订立多式联运合同的多式联运经营人,同时又作为某一运输区段的实际承运人时,首先应确定的是订立的运输合同是否属于现行货运公约所适用的范围。分析下列问题:
(1)简述国际多式联运的必备条件。
(2)国际多式联运在国际物流中的意义。
点击查看答案
本题答案:(1)构成国际多式联运的必备条件有:
①必须
本题解析:试题答案(1)构成国际多式联运的必备条件有:
①必须具有一份多式联运合同。该运输合同是多式联运经营人与托运人之间权利、义务、责任与豁免的合同关系和运输性质的确定,也是区别多式联运与一般货物运输方式的主要依据;
②必须使用一份全程多式联运单证。该单证应满足不同运输方式的需要,并按单一运费率计收全程运费;
③必须是至少两种不同运输方式的连续运输;
④必须是国际间的货物运输。这不仅是区别于国内货物运输,主要是涉及国际运输法规的适用问题;
⑤必须由一个多式联运经营人对货物运输的全程负责。该多式联运经营人不仅是订立多式联运合同的当事人,也是多式联运单证的签发人。在多式联运经营人履行多式联运合同所规定的运输责任的同时,可将全部或部分运输委托他人(分承运人)完成,并订立分运合同。
(2)国际多式联运在国际物流中的意义主要体现在:
①简化托运、结算及理赔手续,节省人力、物力和有关费用在国际多式联运方式下所有一切运输事项均由多式联运经营人负责办理。而托运人只需办理一次托运,订立一份运输合同,一次支付费用,一次保险,从而省去托运人办理托运手续的许多不便。同时,由于多式联运采用一份货运单证,统一计费,因而也可简化制单和结算手续,节省人力和物力。此外,一旦运输过程中发生货损货差,由多式联运经营人对全程运输负责,从而也可简化理赔手续,减少理赔费用。
②缩短货物运输时间,减少库存,降低货损货差事故,提高货运质量在国际多式联运方式下,各个运输环节和各种运输工具之间配合密切,衔接紧凑,货物所到之处中转迅速及时,大大减少货物的在途停留时间,从而在根本上保证了货物安全、迅速、准确、及时地运抵目的地,因而也相应地降低了货物的库存量和库存成本。同时,多式联运是通过集装箱为运输单元进行直达运输:并且使用专业机械装卸,从而使货损货差事故大为减少,很大程度上提高了货物的运输质量。
③降低运输成本,节省各种支出由于多式联运可实行门到门运输,因此对货主来说,在货物交由第一承运人以后即可取得货运单证,并据此结汇,从而提前了结汇时间。这有利于加速货物占用资金的周转和减少利息的支出。此外,由于货物是在集装箱内进行运输的,可相应地节省货物的包装、理货和保险等费用的支出。
④提高运输管理水平,实现运输合理化由不同的运输经营人共同参与多式联运,经营的范围可以大大扩展,同时可以最大限度地发挥其现有设备作用,选择最佳运输线路组织合理化运输。
⑤其他意义从政府的角度来看,发展国际多式联运具有重要的意义,主要表现为:有利于加强政府部门对整个货物运输链的监督与管理;保证本国在整个货物运输过程中获得较大的运费收入分配比例;有助于引进新的先进运输技术;减少外汇支出;改善本国基础设施的利用状况;通过国家的宏观调控与指导职能保证使用对环境破坏最小的运输方式达到保护本国生态环境的目的。
161、单项选择题 多式联运的发展取决于()。
A.总承运人与分承运人的合同关系
B.成本与费用的分配
C.各种运输工具之间的衔接
D.集装箱技术
点击查看答案
本题答案:C
本题解析:暂无解析
162、单项选择题 水路运输时,同一运单的货物不得变更其中的一部分,并只能变更()次。
A.一
B.二
C.三
D.无限制
点击查看答案
本题答案:A
本题解析:暂无解析
163、判断题 交通运输具有物质生产的属性和生产资料的属性。
点击查看答案
本题答案:错
本题解析:交通运输具有物质生产的属性和消费资料的属性。
164、单项选择题 下列各项不属于调查企业经营外部环境的是()。
A.政治经济技术环境
B.运输市场环境
C.资源环境
D.竞争环境
点击查看答案
本题答案:C
本题解析:调查企业 91EXAM.org经营的外部环境主要有:①政治经济技术环境;②运输市场环境;③竞争环境。
165、判断题 目前在我国,铁路运输成本仅高于海运,同长江运输不相上下。
点击查看答案
本题答案:对
本题解析:暂无解析
166、判断题 随着经济和社会的发展,科学技术的进步,运输过程由多样化向单一方式发展,运输工具由简单化向现代化发展。
点击查看答案
本题答案:错
本题解析:随着经济和社会的发展,科学技术的进步,运输过程由单一方式向多样化发展,运输工具由简陋向现代化发展。
167、单项选择题 在不考虑品牌的前提下,选择运输商以()为主要依据。
A.运价
B.运输网络
C.最短运输时间
D.运价与运输时间的均衡
点击查看答案
本题答案:D
本题解析:暂无解析
168、判断题 海盗行为、偷窃、船员的恶意行为等属于意外事件引起的风险。
点击查看答案
本题答案:错
本题解析:海盗行为、偷窃、船员的恶意行为等是人为因素引起的风险。
169、问答题 简述滚动式计划方法的特点和编制方法。
点击查看答案
本题答案:滚动式计划方法是一种把长短计划结合起来,并随着时间的推
本题解析:试题答案滚动式计划方法是一种把长短计划结合起来,并随着时间的推移,逐步将计划向前延伸的计划方法。其特点和编制方法如下:
(1)逐步延伸。要求每年对长期运输计划修订一次,每执行完一年,就必须根据执行结果和新一年内的可能变化,重新修订计划,并将计划期向前顺移一年。
(2)远近结合。企业编制的五年长期计划,执行一年后再把计划期向前滚动一年,一直保持五年,而每一个年度所编制的年度运输计划又都直接成为五年长期运输计划的组成部分。
(3)近细远精。第一年是执行计划,其编制应详尽具体;第二、三年是准备计划,编制可比较细一些;第四、五年是预测计划,着重于战略目标计划编制较精的概略。
(4)灵活性强。随着客观形势变化,企业经营战略和方针的转换和第一年计划执行的结果,能应用滚动式计划得到及时调整修订。
(5)确定滚动间隔期。确定前后两次编制和修订长期运输计划的间隔期,通常运输企业的长期运输计划为五年,而每年都要编制年度的运输计划,所以其间隔一般确定为一年。采用滚动式计划方法编制运输计划,既可每年对长期运输计划的执行情况进行检查,又可把每年发生变化的因素考虑进新的长期运输计划中,并使长期运输计划与年度运输计划相互衔接,顺利实现企业的经营目标。
170、单项选择题 下列关于运输需求特征的表述错误的是()。
A.运输需求具有派生性
B.运输需求具有规律性
C.运输需求具有个别需求异质性
D.运输需求具有平衡性
点击查看答案
本题答案:D
本题解析:暂无解析
171、判断题 运输企业的市场营销部门和营销人员,对内是运输企业利益的代表,对外是社会利益的代表。
点击查看答案
本题答案:错
本题解析:运输企业的市场营销部门和营销人员,对外是运输企业利益的代表,对内是社会利益的代表。
172、判断题 运输计划的短期目标一般是指月度经营目标。
点击查看答案
本题答案:错
本题解析:运输计划的短期目标一般是指年度经营目标。运输企业的年度经营目标包括利润、产量、安全质量、消耗、效率等目标。通常选择利润目标作为企业经营的重点目标,其余目标作为支持目标。
173、单项选择题 选择运输商应考虑()。
A.运输时间
B.运输价格
C.运输质量与运输能力
D.综合考虑运输时间、价格、运输能力与运输质量
点击查看答案
本题答案:D
本题解析:暂无解析
174、判断题 对运输企业来讲,建立并维护良好的市场营销关系并不难。
点击查看答案
本题答案:错
本题解析:对于运输企业来讲,建立并维护良好的市场营销关系很艰难,而要毁坏良好的市场营销却很容易。
175、多项选择题 属于运输过程的环节的是()。
A.货物发运
B.货物跟踪
C.货物中转
D.货物接运
点击查看答案
本题答案:A, B, C, D
本题解析:暂无解析
176、判断题 保险公司是运输企业的融资公众之一。
点击查看答案
本题答案:错
本题解析:暂无解析
177、多项选择题 制订运输计划时要考虑()。
A.国家物资调拨大局
B.重点产业的扶持要求
C.市场的变动情况
D.线路选择及优化
点击查看答案
本题答案:A, B, C, D
本题解析:暂无解析
178、单项选择题 下列哪项属于人为因素引起的风险()
A.海盗行为
B.偷窃
C.战争
D.船员的恶意行为
点击查看答案
本题答案:C
本题解析:暂无解析
179、单项选择题 在选择运输服务商时,()因素可以不考虑。
A.服务商的经济实力
B.服务商的企业规模
C.服务商的品牌
D.服务商的服务网点数量
点击查看答案
本题答案:B
本题解析:暂无解析
180、单项选择题 下列哪种情况属于推定全损()
A.深海沉船
B.烟草浸泡传味
C.战时被没收
D.救助或施救费用超过将损失价值
点击查看答案
本题答案:D
本题解析:暂无解析
181、单项选择题 国际多式联运不采用的运输方法是()。
A.一次托运
B.分次付费
C.一份单证
D.一次保险、全程运输
点击查看答案
本题答案:B
本题解析:暂无解析
182、判断题 在路桥运输中,小陆桥运输的交货地点在内陆地区
点击查看答案
本题答案:错
本题解析:在路桥运输中,小陆桥运输的交货地点为沿海港口,微桥运输的交货点在内陆地区。
183、单项选择题 控制运输成本、优化集货网络对于()运输最为重要。
A.铁路
B.公路
C.水路
D.航空
点击查看答案
本题答案:B
本题解析:暂无解析
184、多项选择题 下列各项属于运输企业面临的融资公众的是()。
A.银行
B.媒体
C.投资公司
D.保险公司
E.财政局
点击查看答案
本题答案:A, C, D
本题解 析:暂无解析
185、判断题 标准集装箱空箱运价在标准集装箱重箱运价的基础上加成计算
点击查看答案
本题答案:错
本题解析:集装箱标准箱运价按不同规格箱型的基本运价执行,或在基价的基础上加成计算。标准集装箱空箱运价在标准集装箱重箱运价的基础上减成计算。非标准箱运输、特种箱运输等,按箱型及装载特种货物的不同,在基本运价的基础上加成计算。
186、多项选择题 就政府对运输经济活动的干预而言,可能的宏观调控模式有()。
A.完全计划调节模式
B.管理导向调节模式
C.纯粹市场调节模式
D.计划市场主辅调节模式
E.有计划的市场调节模式
点击查看答案
本题答案:A, C, D, E
本题解析:宏观调控模式有:
①完全计划调节模式。政府将其强制力全部施加于企业,企业完全按照指令性计划完成其生产经营活动;
②纯粹市场调节模式。政府仅仅依靠其影响力作用于市场和企业,企业完全根据市场需求自主决定其生产经营活动,市场受其运行机制的调节自主运作;
③计划市场主辅调节模式。政府强制力主要施加于企业,同时也少量施加于市场;
④有计划的市场调节模式。即国家调节市场,市场引导企业。
187、多项选择题 运输市场管理的任务有()。
A.提高运输业者素质
B.优化行业结构
C.提高生产效率
D.改善经营环境
E.促进行业发展
点击查看答案
本题答案:B, C, D, E
本题解析:暂无解析
188、判断题 在制定运价时,应考虑各种运输形式间的价格协调,形成全理的差价比价的形式进行。
点击查看答案
本题答案:对
本题解析:暂无解析
189、判断题 国际多式联运通常采取单一费率
点击查看答案
本题答案:对
本题解析:暂无解析
190、判断题 国际多式联运作为一种新型的重要的国际集装箱运输方式,是今后国际运输发展的方向。
点击查看答案
本题答案:对
本题解析:暂无解析
191、问答题 发生运输保险事故时,如何进行索赔和理赔?
点击查看答案
本题答案:索赔是指被保险人依据海上保险合同所享有的重要权利,当保
本题解析:试题答案索赔是指被保险人依据海上保险合同所享有的重要权利,当保险标的发生保险项下的保险事故造成损失或对此损失负有责任时,被保险人有权要求保险人赔偿或追偿。理赔是保险人在知悉发生保险事故并调查确认法律责任归属后,审查索赔材料,作出赔付、部分赔付或拒赔等决定的法律行为。索赔和理赔应遵循以下程序进行:
(1)损失通知。当发生保险事故或保险责任范围内的损失时,被保险人应立即通知保险人或其代理人。损失通知是保险理赔的第一项程序。
(2)查勘检验。保险人或其代理人获悉损失通知后应立即开展保险标的损失的查勘检验工作。查勘检验作为保险理赔一项重要内容,主要包括事故原因、救助工作、第三者责任取证、勘察报告和检验报告制作等。检验是理赔实务中一项十分重要的工作,它确定保险标的损失的责任归属、施救措施的合理性等。在货物运输保险中,凡属保险责任的货损,收货人必须及时向承保的保险公司申请进行联合检验。检验是理赔实务中一项十分重要的工作,它确定保险标的损失的责任归属、施救措施的合理性等。在货物运输保险中,凡属保险责任的货损,收货人必须及时向承保的保险公司申请进行联合检验。
(3)核实保险案情。保险人收到代理人或委托人的检验报告后,还应向有关各方收集资料,并加以核实、补充和修正赔案的材料。
(4)分析理赔案情,确定责任。保险人应判断原因是否属保险责任,是否发生在保险期限内,索赔人是否具有可保利益,审查的有关单证如保险单证、事故检验报告、保险事故证明、保险标的施救和修理等方面文件。
(5)计算赔偿金额,支付保险赔偿。保险赔偿的计算,保险人通常依据索赔清单。保险赔偿的计算可以由保险人自身进行,也可由其代理人计算或委托海损理赔人理算。
192、判断题 相对运输需求而言,社会经济活动是本源需求,运输需求是一种派生需求。
点击查看答案
本题答案:对
本题解析:暂无解析
193、单项选择题 下列哪项不是救助费用的具体要求()
A.有实际效果
B.没有实际效果
C.第三者行为
D.费用少于保险金额
点击查看答案
本题答案:B
本题解析:暂无解析
194、多项选择题 从整体来看,运输保险中所承保的风险包括()。
A.自然灾害
B.自然规律
C.意外事件
D.政治因素引起的风险
E.人为因素引起的风险
点击查看答案
本题答案:A, C, D, E
本题解析:从整体来看,运输保险中所承保的风险包括:
①自然灾害,是指不以人的意志为转移的自然界力量所引起的灾害;
②意外事件,是指由于偶然的、难以预料的原因造成的事故;
③政治因素引起的风险,包括诸如战争、扣留或扣押、君主或人民的限制等引起事故的风险;
④人为因素引起的风险,是指由于人的不合法的行为引起保险标的发生保险事故。
195、多项选择题 综合运输体系大致由()组成。
A.具有一定技术装备的综合运输网及结合部系统
B.综合运输生产系统
C.各种运输方式
D.综合运输组织
E.综合运输管理办法
点击查看答案
本题答案:A, B
本题解析:综合运输体系大致由三个系统组成:①具有一定技术装备的综合运输网及其结合部系统。这是综合运输体系的物质基础,系统的布局要合理协调,运输环节要相互衔接,技术装备要成龙配套,运输网络要四通八达;②综合运输生产系统,即各种运输方式的联合运输系统。这个系统要实现运输高效率,经济高效益,服务高质量,充分体现各种运输方式综合利用的优越性;③综合运输组织、管理和协调系统。这个系统要有利于宏观管理、统筹规划和组织协作。
196、判断题 运输业是国家基础产业,属于服务业,具有竞争性特征,不属于公益事业。
点击查看答案
本题答案:错
本题解析:运输业是国家基础产业,属于服务业,具有公益性和竞争性双重特征。
197、多项选择题 运输工具的运行路线计划方法包括()。
A.海运最短路线法
B.公路最短距离法
C.铁路最短停车时间法
D.海运集装箱最大中转量法
点击查看答案
本题答案:B, C, D
本题解析:暂无解析
198、判断题 在企业年度运输计划中,收入计划处在主要的、中心的位置,应体现年度经营目标的要求。
点击查看答案
本题答案:错
本题解析:在企业年度运输计划中,利润计划处在主要的、中心的位置,应体现年度经营目标的要求,也就是企业的经营要以盈利为目的。
199、单项选择题 下列运输方式中,哪一种运输方式能实现门到门的运输服务()
A.铁路运输
B.公路运输
C.水路运输
D.公路运输
点击查看答案
本题答案:B
本题解析:暂无解析
200、多项选择题 送达速度一般由哪几部分时间构成()
A.运行时间
B.途中停留时间
C.始发的作业时间
D.终到的作业时间
E.签订承运托运合同时间
点击查看答案
本题答案:A, B, C, D
本题解析:暂无解析
题库试看结束后
微信扫下方二维码即可打包下载完整版《★物流师(二级)》题库
手机用户可保存上方二维码到手机中,在微信扫一扫中右上角选择“从相册选取二维码”即可。
题库试看结束后微信扫下方二维码即可打包下载完整版《物流师(二级):运输管理》题库,分栏、分答案解析排版、小字体方便打印背记!经广大会员朋友实战检验,此方法考试通过率大大提高!绝对是您考试过关的不二利器!
手机用户可保存上方二维码到手机中,在微信扫一扫中右上角选择“从相册选取二维码”即可。
微信搜索关注"91考试网"公众号,领30元,获取公务员事业编教师考试资料40G