时间:2018-09-02 01:55:30


1、单项选择题& nbsp; 工业企业的设备台数、产品产值()。
A.都是连续型变量
B.都是离散型变量
C.前者是连续型变量、后者是离散型变量
D.前者是离散型变量、后者是连续型变量
2、判断题 数量指标的表现形式是绝对数,质量指标的表现形式是相对数和平均数。()
3、判断题 按数量标志分组的目的,就是要区别各组在数量上的差别。()
4、多项选择题 统计分组体系可以是平行的也可以是复合的,下述分组中属于复合分组体系的是()。
A.对工人分别按性别和工资级别分组
B.对企业分别按产值和行业分组
C.先按某一标志分组,然后按另一标志重叠分组
D.对工人先作性别分组,在此基础上按工资级别分组
E.对不同行业的企业分别按产值分组
5、单项选择题 广义的统计整理是对()。
A.汇总资料进行理整
B.原始资料进行整理
C.次级资料进行整理
D.原始资料和次级资料进行整理
6、单项选择题 当事人采用合同书形式订立合同的,自双方当事人()时合同成立。
A、制作合同书
B、表示受合同约束
C、签字或者盖章
D、达成一致意见
7、判断题 拉氏价格指数和派氏价格指数计算结果不同,是因为拉氏价格指数主要受报告期商品结构的影响,而派氏价格指数主要受基期商品结构的影响。()
8、判断题 品质标志表明单位属性方面的特征,其标志表现只能用文字来表现,所以品质标志不能转化为统计指标。()
9、判断题 统计整理是从统计调查到统计分析的中间环节,是统计调查的继续和统计分昕的前提。()
10、单项选择题 某村农民人均收入最高为426元,最低为270元,据此分为六个组,形成闭口式等距数列,则组距应为()。
A.71
B.26
C.156
D.348
11、多项选择题 下列总体属于有限总体的是()。
A.某州所有登记的选民
B.某工厂生产的所有电视机
C.某一邮购业务公司处理的所有定单
D.所有打人某一地方警察局的紧急电话
E.某有限公司在5月17日第二个轮班中制造的所有部件
12、多项选择题 设总体为正态总体,总体方差未知,在小样本条件下,对总体均值进行如下的假设检验H0:μ=μ0,(μ0为已知数);Hl:μ≠μ0,α=0.1。则下列说法正确的有()。
A.(-∞,-z0.10)和(z0.10,+∞)为原假设的拒绝区域
B.(-∞,-z0.05)和(z0.05,+∞)为原假设的拒绝区域
C.(-∞,-t0.10)和(t0.10,+∞)为原假设的拒绝区域
D.(-∞,-t0.05)和(t0.05,+∞)为原假设的拒绝区域
E.若检验统计量的绝对值越大,则原假设越容易被拒绝
13、多项选择题 统计的基本职能是()。
A.统计信息职能
B.统计咨询职能
C.统计监督职能
D.统计决策职能
E.统计协调职能
14、单项选择题
对某班学生进行分组,如下图,这是()

A.简单分组
B.平行分组体系
C.复合分组
D.符合分组体系
15、单项选择题 统计整理的对象主要是()。
A.次级资料
B.原始资科
C.分析资料
D.技术经济参数
16、单项选择题 制造业企业按生产能力分组和按资金利税率分组()。
A.都是按品质标志分组
B.都是按数量标志分组
C.前者按品质标志分,后者按数量标志分
D.前者按数量标志分,后者按品质标志分
17、判断题 某一变量分为下列两组:15~20,21~25,由此可以判断该变量为一连续变量。()
18、单项选择题 某工厂几个工人的工资分别为1000元、1050元,1100元和1200元,这几个数字是()。
A.标志
B.变量值
C.指标
D.变量
19、多项选择题
已知某企业工人H产量统计资料,如表3—4所示。

根据上述资料请回答:
A.单项变量分布数列
B.组距变量分布数列
C.连续变量数列
D.等距数列
20、单项选择题 下列标志中是数量标志的有()。
A.产品等级
B.工龄
C.产品零售额
D.产品工时定额
21、多项选择题 正确选择分组标志,需考虑()。
A.根据研究目的选择分组标志
B.选择反映事物本质区别的标志
C.将调查资料与历史资料对比时,应注意可比性问题
D.根据经济发展变化及历史条件选择分组标志
E.可以选择任何分组标志
22、单项选择题 从标志角度看,变量是指()。
A.可变的数量标志
B.可变的数量标志值
C.可变的品质标志
D.可变的品质标志值
23、单项选择题 要了解某班50个学生的学习情况,则总体单位是()。
A.50个学生
B.50个学生的学习成绩
C.每一个学生
D.每一个学生的学习成绩
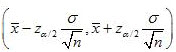
24、判断题
在大样本条件下,若np≥5,且n(1-p)≥5,样本比例在置信水平(1-α)下的置信区间为
。()
25、单项选择题 一个统计总体()。
A.只能有一个标志
B.只能有一个统计指标
C.可以有多个标志
D.可以有多个统计指标
26、单项选择题 两个总体的平均数相等,标准差不等,若比较两总体平均数的代表性,以下说法正确的是()。
A.标准差大的,代表性大
B.标准差小的,代表性大
C.标准差小的,代表性小
D.两平均数的代表性相同
27、判断题 指标对总体,标志对总体单位都具有依附性。指标与标志,总体与总体单位的划分,都具有相对性。()
28、多项选择题 下列各项中,属 于统计指标的有()。
A.2009年全国人均国内生产总值
B.某台机床使用年限
C.某地区出生人口总数
D.某学员平均成绩
E.某企业全部工人生产某种产品的人均产量
29、单项选择题 次数分布的次数是指()。
A.划分各组的数量标志
B.分组的组数
C.分布在各组的单位数
D.上下限的中点数值
30、多项选择题 下列各项中,属于离散变量的是()。
A.基本建设投资额
B.岛屿个数
C.国民生产总值中第一、第三产业比例
D.居民生产费用价格指数
E.就业人口数
31、判断题 有限总体是指总体的单位数是有限的。()
32、多项选择题 下列变量中,属于连续变量的是()。
A.粮食产量
B.工业总产值
C.职工人数
D.商品库存额
E.单位成本
33、单项选择题 某学生某门课成绩为75分,则“成绩”是()。
A.品质标志
B.变量
C.变量值
D.标志值
34、多项选择题 在组距数列中,组中值是( )。
A.上限和下限之间的中点数值
B.代表着各组内变量值的一般水平
C.在开口组中无法确定
D.在开口组中,可以参照相邻组的组距来确定
E.是各组变量值的代表值
35、判断题 统计活动是指对所研究现象的数量特征进行搜集、整理和分析的调查研究活动。()
36、多项选择题 下列数列中属于分布数列的有()。
A.等距变量分布数列
B.品质分布数列
C.变量分布数列
D.单项变量分布数列
E.不等距变量分布数列
37、多项选择题 下面按品质标志分组的是()。
A.工厂按产值计划完成程度分组
B.学生按健康状况分组
C.企业按所有制分组
D.职工按工龄分组
E.职工按文化程度分组
38、判断题 列表法是表示次数分布的唯一方法。()
39、多项选择题 把全市的15个大企业的产值进行平均,这是()。
A.对15个指标平均
B.对15个变量平均
C.对15个变量值平均
D.对15个数量标志平均
E.对15个数量变异标志的具体表现平均
40、单项选择题 计算发展速度的分子是()
A.报告期水平
B.基期水平
C.实际水平
D.计划水平
41、单项选择题
已知某商厦20个售货小组某月销售额资料,如下(单位:万元):
52 58 62 65 66 70 73 74 76 80
80 81 84 87 88 89 91 94 95 98
现要编制变量分布数列,请确定下列项目:
A.应放人下限组
B.应放入上限组
C.放人下限组或上限组
D.上限组和下限组都应计算次数
42、单项选择题 下列图形中最适合于描述一组数据分布的图形是()。
A.曲线图
B.折线图
C.直方图
D.饼图
43、单项选择题 农作物产量进行调查时,应该运用()。
A.典型调查
B.重点调查
C.统计报表
D.抽样调查
44、多项选择题 下列现象具有相关关系的有()。
A.降雨量与农作物产量
B.人的身高与体重
C.人口自然增长率与人口机械变动
D.广告费与销售量
E.存款利率与利息收入
45、多项选择题 统计学研究对象的数量性表现在()。
A.数量多少
B.质量多少
C.各种现象之问的数量关系
D.各种现象之问的质量关系
E.质量互变的界限
46、单项选择题 当事人采用合同书形式订立合同的,自双方当事人()时合同成立。
A、制作合同书
B、表示受合同约束
C、签字或者盖章
D、达成一致意见
47、单项选择题
已知某企业工人H产量统计资料,如表3—4所示。

根据上述资料请回答:
A.6、12、12、14、15、18、22、8
B.0.42、0.85、0.85、1.O0、0.14、0.17、0.21、0,07
C.0.06、0.11、0.11、0.13、0.14、0.17、0.21、0.07
D.55、65、75185、95、105、115、125
48、多项选择题 统计学的研究方法包括()。
A.大量观察法
B.统计分组法
C.综合指标法
D.统计推断法
E.统计模型法
49、单项选择题 统计分组的关键在于()。
A.分组标志的正确选择
B.按品质标志进行分组
C.运用多个标志进行分组,形成一个分组体系
D.分组形式的选择
50、单项选择题 考察全国的工业企业基本情况时,以下标志中属于不变标志的有()。
A.产业分类
B.所有制
C.职工人数
D.劳动生产率
51、判断题 大量观察法是指必须对研究对象的所有单位进行观察和分析。()
52、判断题 总体单位是标志的承担者,标志是依附于总体单位的。()
53、判断题 连续变量可以作单项式分组或组距式分组,而离散变量只能作组距式分组。()
54、判断题 总体的每个个体必须是客观存在的,可以实际观察和计量的,这表明了统计总体的客观性。()
55、多项选择题 某单位100名职工按工资额分为3000元以下、3000~4000元、4000~6000元、6000~8000元、8000元以上等5个组。这一分组()。
A.是等距分组
B.分组标志是连续型变量
C.末组组中值为8000元
D.相邻的组限是重叠的
E.某职工工资6000元,应计在6000~ 8000元组内
56、单项选择题
已知某企业工人H产量统计资料,如表3—4所示。

根据上述资料请回答:
A.日产量
B.工人数
C.日产量的具体数值
D.工人数的具体数值
57、多项选择题 统计整理的步骤包括()
A.设计统计整理方案
B.对原始资料进行审核
C.数据处理
D.编制统计表
E.逐级整理与集中整理相结合
58、多项选择题 下列关于品质标志和数量标志说法正确的有()。
A.品质标志能用文字说明
B.品质标志不能用数量表示
C.品质标志能用数量表示
D.数量标志能用数量表示
E.数量标志不能用数量表示
59、判断题 统计分组和统计指标是统计活动的两个基本要素。()
60、判断题 统计整理仅指对原始资料的整理。()
61、多项选择题
已知某商厦20个售货小组某月销售额资料,如下(单位:万元):
52 58 62 65 66 70 73 74 76 80
80 81 84 87 88 89 91 94 95 98
现要编制变量分布数列,请确定下列项目:
A.60以上
B.50
C.52以上
D.52
62、单项选择题
已知某企业工人H产量统计资料,如表3—4所示。

根据上述资料请回答:
A.包括Et产量等于下限的人数
B.包括日产量等于上限的人数
C.日产量等于上限、下限的人数均包括
D.日产量等于上限、下限的人数均不包括
63、多项选择题
已知某地区2007~2009年粮食产量,如表3—3所示。该表属于()。

A.简单表
B.简单分组表
C.调查表
D.分析表
E.时间数列表
64、多项选择题 具有数量变异特点的标志和指标都是变量,变量的数值表现就是变量值,所以()。
A.数量变异标志及所有的统计指标都可以是变量
B.所有的标志值和指标值都是变量
C.“粮食总产量”这一变量可以有多个数值表现
D.变量是一定的概念、范畴或名称
E.“钢材产量20万吨”县一个比量
65、判断题 复合分组就是按两个或两个以上标志并列进行的分组。()
66、多项选择题 下列选项中,即适用于定性数据,又适用于定量数据的图形表示方法有()。
A.饼图
B.直方图
C.条形图
D.环形图
E.散点图
67、判断题 数量指标是由数量标志汇总来的,质量指标是由品质标志汇总来的。()
68、判断题 学生考试成绩60分为及格,不足60分为不及格,这一计分规则体现了统计分组中“上组组限不在其内”的原则。()
69、多项选择题 在次数分配数列中()。
A.总次数一定,频数和频率成反比
B.各组的频数之和等于100
C.各组频率大于0,频率之和等于1
D.频数越小,则该组韵标志值所起的作用越小
70、单项选择题 某商业局对其所属商店的销售计划完成百分比采用如下分组,则下列正确的是()。
A.80~89%,90~99%,100~109%,110%以上
B.80%以下,80.1~100%,90.1~100%,100.1~110%
C.90%以下,90~100%,100~110%,110~120%,120%以上
D.85%以下,85~95%,95~105%,l05~115%
71、多项选择题 统计学研究对象的基本特征为()。
A.社会性
B.数量性
C.总体性
D.同质性
E.变异性
72、多项选择题
已知某商厦20个售货小组某月销售额资料,如下(单位:万元):
52 58 62 65 66 70 73 74 76 80
80 81 84 87 88 89 91 94 95 98
现要编制变量分布数列,请确定下列项目:
A.单项变量分布数列
B.组距变量分布数列
C.等距数列
D.不等距数列
73、判断题 能够对统计总体进行分组,是由统计总体中各个单位所具有的差异性特点决定的。()
74、单项选择题 要了解某市集体所有制工业企业设备的装备情况,则统计总体是()。
A.该市集体所有制的全部工业企业
B.该市集体所有制的每一个工业企业
C.该市集体所有制工业企业的某一台设备
D.该市集体所有制工业企业的全部设备
75、多项选择题 统计指标与标志之间的关系是()。
A.描述对象不同
B.表现形式不同
C.标志和指标的表现形式均为数值
D.汇总联系
E.变换联系
76、单项选择题 企业按资产总额分组()。
A.只能使用单项式数列
B.只能使用组距数列
C.可以单项式数列,也可以用组距数列
D.无法分组
77、多项选择题 要了解某地区全部成年人口的就业情况,那么()。
A.全部成年人口是研究的总体
B.成年人口总数是统计指标
C.成年人口就业率是统计标志
D.某人职业是教师是标志表现
78、判断题 对一个既定的统计总体而言,合理的分组标志只有一个。()
79、多项选择题 统计分组的作用具体表现在()。
A.划分总体现象的类型
B.研究总体现象的结构和比例
C.反映现象的发展趋势
D.研究总体现象之间的依存关系
E.研究各因素影响程度
80、判断题 因为统计指标都是用数值表示的,所以数量标志就是统计指标。 ()
81、单项选择题 用离散变量作分组标志时,相邻两组的组限通常应()。
A.重叠
B.间断
C.相连
D.相等
82、单项选择题 在其他条件不变的情况下,当总体方差σ2已知时,要使总体均值的置信区间的宽度缩小一半,样本量应增加()。
A.一半
B.一倍
C.三倍
D.四倍
83、多项选择题 统计活动是指()。
A.统计搜集
B.统计整理
C.统计预测
D.统计决策
E.统计分析
84、多项选择题
已知某商厦20个售货小组某月销售额资料,如下(单位:万元):
52 58 62 65 66 70 73 74 76 80
80 81 84 87 88 89 91 94 95 98
现要编制变量分布数列,请确定下列项目:
A.应间断
B.应重叠
C.不得重叠
D.相邻两组上下限应相等
85、多项选择题 下列指标属于质量指标的有()。
A.劳动生产率
B.废品量
C.单位产品工时消耗量
D.商品库存量
E.成本利润率
86、单项选择题 简单表是指()。
A.总体是按两个或两个以上标志分组的表
B.总体是按一个标志分组的表
C.总体不经任何分组的统计表
D.总体可以分组的统计表
87、判断题 分析复杂现象总体的数量变动,只能采用综合指数的方法。()
88、多项选择题 下列属于变量分布数列的编制步骤的是()。
A.将原始资料按大小顺序排列,确定总体中的最小值、最大值以及全距
B.确定编制数列的类型
C.确定组数和组距
D.确定组限
E.计算各组次数,编制分布数列表
89、单项选择题 在组距数列中,用组中值代表组内变量值的一般水平,是因为()。 \
A.组内各变量值是相等的
B.组中值比组平均数更具有代表性
C.组中值和组平均数是一致的
D.不可能得到组平均数
90、单项选择题 统计总体与总体单位之间的关系表现为()。
A.二者是固定不变的
B.总体是总体单位数量标志的总和
C.总体只是由存在数量标志的总体单位构成的
D.总体与总体单位在一定条件下是可以变换的
91、单项选择题 在统计的三种涵义中,统计学与统计活动的关系是()。
A.过程与成果的关系
B.理论与实践的关系
C.本质与内容的关系
D.无关系
92、单项选择题 数量指标和质量指标的根本区别在于()。
A.反映的总体数量特征的性质不同
B.数量大小不同
C.统计单位不同
D.使用领域不同
93、多项选择题
已知某商厦20个售货小组某月销售额资料,如下(单位:万元):
52 58 62 65 66 70 73 74 76 80
80 81 84 87 88 89 91 94 95 98
现要编制变量分布数列,请确定下列项目:
A.90以下
B.98
C.98以下
D.100
94、单项选择题 到商场购物停车变得越来越困难,管理人员希望掌握顾客找到停车位的平均时间。为此某一个管理人员跟踪了50名顾客并记录下他们找到车位的时间。这里管理人员感兴趣的统计总体是()。
A.管理人员跟踪过的50名顾客
B.上午在商场停车的顾客
C.在商场停车的所有顾客
D.到商场购物的所有顾客
95、判断题 “变异”是指总体中的各个单位在品质标志上存在着差异。()
96、多项选择题 下面反映学生学习状况品质标志的有()。
A.学习态度
B.学习方法
C.旷课时数
D.听课效果
E.课外时间利用率
97、单项选择题 构成总体的每个个体所有方面的特征是()。
A.必须完全相同
B.不完全相同但至少有一个方面相同
C.完全不相同
D.既可以相同,也可以不同
98、多项选择题 总体、总体单位、标志、统计指标这几个概念之问的相互关系表现为()。
A.没有总体单位就没有总体,总体单位也离不开总体而独立存在
B.总体单位是标志的承担者
C.统计指标的数值来源于标志
D.统计指标是说明总体特征的,标志是说明总体单位特征的
E.统计指标和标志都能用数值表现