手机用户可
保存上方二维码到手机中,在
微信扫一扫中右上角选择“从
相册选取二维码”即可。
1、问答题
对某车间进行可行性研究时,采用单位面积负荷密度法估算负荷,该车间面积为S=2000m2,单位面积负荷密度为p=0.6kW/m2,
=0.7,该车间的视在功率计算负荷是Sca?
点击查看答案
本题答案:
试题答案
2、填空题 《供电监管办法》规定,供电企业应当按照国家有关电力需求侧管理规定,采取有效措施,指导用户()、()和()用电,提高电能使用效率。
点击查看答案
本题答案:科学;合理;节约
本题解析:试题答案科学;合理;节约
3、问答题 自动重合闸与继电保护的配合方式有几种?
点击查看答案
本题答案:自动重合闸与继电保护的配合方式有前加速保护方式和后加速保护方
本题解析:试题答案自动重合闸与继电保护的配合方式有前加速保护方式和后加速保护方式两种。
4、填空题 《供电营业规则》规定,供电企业和用户分工维护管理的供电和受电设备,除另有约定者外,未经管辖单位同意,对方不得()或();如因紧急事故必须操作或更动者,事后应()。
点击查看答案
本题答案:操作;更动;迅速通知管辖单位
本题解析:试题答案操作;更动;迅速通知管辖单位
5、问答题 在什么情况下应用戴维南定理?什么是开路电压?什么是输入电阻?
点击查看答案
本题答案:在计算复杂电路时,只计算电路中某一支路的电流时,应用戴
本题解析:试题答案在计算复杂电路时,只计算电路中某一支路的电流时,应用戴维南定理。将要计算的某一支路断开,断开的有源网络两端之间的电压称为开路电压,即等效电压源的电动势,以U0表示。将有源二端网络内部的电压源全部短路,其等效电阻为等效电压源的内阻,又称为输入电阻,以r0或Ri表示。
6、多项选择题 以下可称为新能源发电的是()。
A、潮汐发电
B、风力发电
C、生物质能发电
D、水力发电
点击查看答案
本题答案:A, B, C
本题解析:暂无解析
7、问答题 简述光纤通信系统的组成及各部分的作用。
点击查看答案
本题答案:光纤通信系统由电端机、光端机、中继器和光缆组成。电端机
本题解析:试题答案光纤通信系统由电端机、光端机、中继器和光缆组成。电端机完成对所需传输或接收信号的处理;光端机的发送端内含有光源,它完成将电信号转换为光信号,并输入光纤传输至远方;光端机的接收端内含有光检测器,它完成将来自光纤的光信号还原成电信号,并输入到电端机的接收端;中继器完成将经过长距离传输后被衰减和畸变了的光信号放大、整形和再生成一定强度后,继续送向远方。
8、填空题 《国家电网公司供电服务规范》中规定供电服务人员上岗必须(),并()
点击查看答案
本题答案:统一着装;佩戴工号牌
本题解析:试题答案统一着装;佩戴工号牌
9、问答题 并联电容器的补偿方式有哪几种?各有什么优缺点?
点击查看答案
本题答案:并联电容器的补偿方式有高压集中补偿、低压成组补偿和分散
本题解析:试题答案并联电容器的补偿方式有高压集中补偿、低压成组补偿和分散就地补偿(个别补偿)。
高压集中补偿方式的投资较少,电容器组的利用率较高,能够提高整个变电所的功率因数,但它的补偿范围小,只能补偿6~10kV母线以前的线路上的无功功率,不能补偿工业企业内部配电线路的无功功率。
低压成组补偿方式的投资不大,运行维护方便,能够减小车间变压器的容量,降低电能损耗,其补偿区大于高压集中补偿,能够补偿变电所低压母线前的变压器和所有有关高压系统的无功功率。
分散就地补偿方式的补偿范围最大,补偿效果最好,能够补偿安装地点以前的变压器和所有高低压线路的无功功率,但投资较大,且电容器组在被补偿的设备停止工作时也一并被切除,利用率较低。
10、单项选择题 发电机三相定子绕组星形连接,这主要是为了消除()。
A、偶次谐波
B、三次谐波
C、五次谐波
点击查看答案
本题答案:B
本题解析:暂无解析
11、问答题 跳跃闭锁继电器如何起到防跳作用?
点击查看答案
本题答案:防跳继电器有两个线圈,电流线圈为起动线圈,接在跳闸线圈YR之
本题解析:试题答案防跳继电器有两个线圈,电流线圈为起动线圈,接在跳闸线圈YR之前;电压线圈为自保持线圈,通过自身的常开触点KLB1-2接入合闸回路。若控制开关手柄在“合闸”位置,恰好此时断路器合闸于永久故障线路线路上,断路器QF自动跳闸,同时防跳继电器KLB(I)起动,触点KLB1-2闭合,使KLB(U)线圈带电,起自保持作用。这样,可使触点KLB3-4始终处于断开位置,合闸接触器线圈KO不会再次起动,从而使断路器QF不会出现多次连续跳、合闸的跳跃现象,保证了断路器不会因跳跃而损坏。
12、填空题 《供电监管办法》规定,对用户受电工程设计文件和有关资料审核的期限,自受理之日起,()用户不超过8个工作日,()不超过20个工作日。
点击查看答案
本题答案:低压供电;高压供电用户
本题解析:试题答案低压供电;高压供电用户
13、问答题 《供电监管办法》规定:电力监管机构对供电企业报送信息的情况实施监管。内容是什么?
点击查看答案
本题答案:供电企业应当按照《电力企业信息报送规定》向电力监管机构
本题解析:试题答案供电企业应当按照《电力企业信息报送规定》向电力监管机构报送信息。供电企业报送信息应当真实、及时、完整。
14、名词解释 最大负荷损耗时间
点击查看答案
本题答案:如果线路中输送的功率一直保持为最大负荷功率,在小时内的电能损
本题解析:试题答案如果线路中输送的功率一直保持为最大负荷功率,在小时内的电能损耗恰好等于线路全年的实际电能损耗,则称为最大负荷损耗时间。
15、填空题 供电企业应当严格执行国家()政策,加强需求侧管理,向用户宣传并指导用户做好安全用电、节约用电和科学用电工作。
点击查看答案
来源:www.91exam.org 本题答案:节能减排
本题解析:试题答案节能减排
16、填空题 《供电服务规范》中规定,输配设备事故、检修引起停电,用户询问时,应当告知用户(),并主动()。
点击查看答案
本题答案:停电原因;致歉
本题解析:试题答案停电原因;致歉
17、单项选择题 《供电监管办法》规定,供电企业应当建立用电投诉处理制度,公开投诉电话。对用户的投诉,供电企业应当自接到投诉之日起()个工作日内提出处理意见并答复用户。
A.3
B.5
C.10
D.15
点击查看答案
本题答案:C
本题解析:暂无解析
18、问答题 配电自动化系统(DAS)包括哪些内容?各部分的功能是什么?
点击查看答案
本题答案:配电网自动化系统(DAS)包括配电SCADA系统、地理信息系
本题解析:试题答案配电网自动化系统(DAS)包括配电SCADA系统、地理信息系统(GIS)和需方管理(DSM)三个部分。配电SCADA系统的功能是对配电网的数据进行采集与监控,包括配网进线监控、配电变电站自动化、馈线自动化和配变巡检及无功补偿四个部分;GIS系统的功能是将配电网设备的地理位置与一些属性数据库结合,以便操作和管理人员更加直观地进行配电网的动态分析和运行管理,包括设备管理、用户信息系统、SCADA功能及故障信息显示等;DSM系统的功能是对电力的供需双方对用电市场进行管理,以达到提高供电可靠性,减少能源消耗及供需双方费用支出的目的,包括负荷监控与管理、远方抄表与计费自动化两个方面。
19、问答题 什么是电流互感器?
点击查看答案
本题答案:电流互感器是配合电流表、继电保护电流线圈来反映主电路电
本题解析:试题答案电流互感器是配合电流表、继电保护电流线圈来反映主电路电流值的一种特殊变压器。其结构特点是一次匝数极少,常为一匝或几匝,二次匝数很多。一次绕组串联在主电路中,二次侧负载为电流表及继电保护中的电流线圈。
20、问答题 某厂有一座第二类防雷建筑物,高10m,其屋顶最远的一角距离60m高的烟囱50m。烟囱上装有一根2.5m高的避雷针。试验算此避雷针能否保护这座建筑物。
点击查看答案
本题答案:
试题答案
21、单项选择题 男性,45岁。反复胸闷、心悸、端坐呼吸、胸腔稠液半年。查体:呼吸短促,两肺广泛细湿啰音,心浊音界扩大,心率100次/分,呈舒张期奔马律,偶发前期收缩。X线胸片示心胸比率0.65,两肺水肿。心电图示完全f生左束支传导阻滞,偶见室性期前收缩。超声心动图提示左心室明显增大,舒张末期内径70mm,左室整体运动减弱,射血分数(EF)为24%,缩短分数(FS)为12%。
给予常规强心、利尿、扩血管药物等治疗,疗效不好。患者仍反复出现左心衰并逐步加剧,需用多巴胺、多巴酚丁胺等维持,生活不能自理。此时,治疗最好采取().
A.主动脉气囊反搏
B.离心泵左心辅助转流
C.同种异体原位心脏移植
D.继续药物治疗
E.以上都不是
点击查看答案
本题答案:C
本题解析:暂无解析
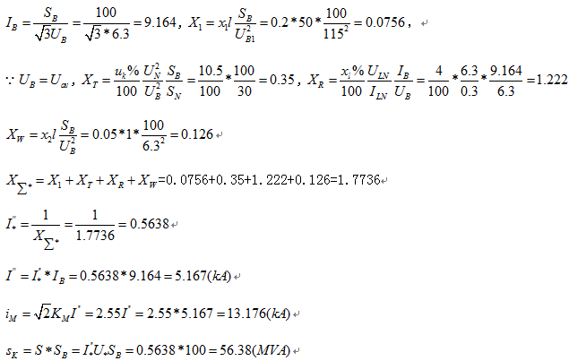
22、问答题
如下图所示系统,电源为恒压电源。当取
冲击系数KM=1.8时,试求在K点发生三相短路时的冲击电流和短路功率是多少?

点击查看答案
本题答案:
试题答案
23、单项选择题 合同谈判的主要内容不包括()。
A.工程的内容和范围的确认
B.合同价格条款、合同价格调整条款
C.施工组织计划
D.合同款支付方式的条款
点击查看答案
本题答案:C
本题解析:暂无解析
24、填空题 《供电监管办法》规定,供电企业应当依照《中华人民共和国政府信息公开条例》、《电力企业信息披露规定》,采取便于用户获取的方式,公开供电服务信息。供电企业公开信息应当()、()、()。
点击查看答案
本题答案:真实;及时;完整
本题解析:试题答案真实;及时;完整
25、单项选择题 劳动保护就是保护劳动者在劳动生产过程中的()而进行的管理。
A、安全和经济
B、安全和健康
C、安全和培训
点击查看答案
本题答案:B
本题解析:暂无解析
26、问答题 大接地电流系统中发生接地故障时有哪些特点?
点击查看答案
本题答案:故障点的零序电压最高,离故障点越远,零序电压越低,变压器中性
本题解析:试题答案故障点的零序电压最高,离故障点越远,零序电压越低,变压器中性点接地处的零序电压为0;零序电流的分布与中性点接地的位置和数目有关;故障点的零序功率最大。
27、填空题 电力系统的无功功率电源,除了发电机外,还有()、静电电容器及静止补偿器。
点击查看答案
本题答案:同步调相机
本题解析:试题答案同步调相机
28、填空题 果树栽培指从果树育苗、()、()、采收的整个生产环节。
点击查看答案
本题答案:建园、栽植和管理
本题解析:试题答案建园、栽植和管理
29、问答题 我国规定的安全电流是多少?
点击查看答案
本题答案:我国一般采用30mA(50Hz)作为安全电流值,但其触电时间
本题解析:试题答案我国一般采用30mA(50Hz)作为安全电流值,但其触电时间不得超过1s,因此这安全电流值也称为30mA•s。
30、问答题 《国家电网公司供电服务规范》中,对供电可靠率指标是如何规定?
点击查看答案
本题答案:(1)城市地区供电可靠率不低于99.89%,农网供电可
本题解析:试题答案(1)城市地区供电可靠率不低于99.89%,农网供电可靠率不低于99%;
(2)减少因供电设备计划检修和电力系统事故对客户的停电次数及每次停电的持续时间。供电设备计划检修时,对35千伏及以上电压等级供电的客户的停电次数,每年不应超过1次;对10千伏电压等级供电的客户,每年不应超过3次;
(3)供电设施因计划检修需要停电时,应提前7天将停电区域、线路、停电时间和恢复供电的时间进行公告,并通知重要客户。供电设施因临时检修需要停电的,应提前24小时通知重要用户或进行公告;
(4)对紧急情况下的停电或限电,客户询问时,应向客户做好解释工作,并尽快恢复正常供电。
31、问答题 《供电监管办法》规定:电力监管机构对供电企业的供电质量实施监管。在电力系统正常的情况下,供电企业的供电质量应当符合那些规定?
点击查看答案
本题答案:(1)向用户提供的电能质量符合国家标准或者电力行业标准
本题解析:试题答案(1)向用户提供的电能质量符合国家标准或者电力行业标准;
(2)城市地区年供电可靠率不低于99%,城市居民用户受电端电压合格率不低于95%,10千伏以上供电用户受电端电压合格率不低于98%;
(3)农村地区年供电可靠率和农村居民用户受电端电压合格率符合派出机构的规定。派出机构有关农村地区年供电可靠率和农村居民用户受电端电压合格率的规定,应当报电监会备案。
(4)供电企业应当审核用电设施产生谐波、冲击负荷的情况,按照国家有关规定拒绝不符合规定的用电设施接入电网。用电设施产生谐波、冲击负荷影响供电质量或者干扰电力系统安全运行的,供电企业应当及时告知用户采取有效措施予以消除;用户不采取措施或者采取措施不力,产生的谐波、冲击负荷仍超过国家标准的,供电企业可以按照国家有关规定拒绝其接入电网或者中止供电。
32、单项选择题 目前我国的输电线路基本是以()为主。
A、高压线路
B、低压线路
C、电力电缆线路
D、架空电力线路
点击查看答案
本题答案:D
本题解析:暂无解析
33、填空题 对继电保护装置的基本要求是选择性、速动性、灵敏性、()。
点击查看答案
本题答案:可靠性
本题解析:试题答案可靠性
34、填空题 《供电企业信息公开实施办法》供电企业信息公开的内容,分为()公开的信息和()公开的信息。
点击查看答案
本题答案:主动;依申请
本题解析:试题答案主动;依申请
35、问答题 《供电服务规范》中规定,供电企业对于重要客户开始哪些安全供电服务及管理?
点击查看答案
本题答案:供电企业应当按照有关规定开展重要电力用户安全供电服务及
本题解析:试题答案供电企业应当按照有关规定开展重要电力用户安全供电服务及管理,建立重要电力用户基础信息数据库;指导重要电力用户配置和使用自备应急电源;如发现重要用户的用电设施存在安全隐患,应当及时告知用户,并将排查和治理情况及时报政府有关部门备案。
36、填空题 《供电监管办法》规定,供电企业工作人员到达现场抢修的时限,自()之时起,()不超过60分钟。因天气、交通等特殊原因无法在规定时限内到达现场的,应当向用户做出解释。
点击查看答案
本题答案:接到报修;城区范围
本题解析:试题答案接到报修;城区范围
37、填空题 电厂供电负荷与综合用电负荷的差别是前者包括()。
点击查看答案
本题答案:网络损耗
本题解析:试题答案网络损耗
38、问答题 计算负荷是什么,准确进行负荷计算的意义?
点击查看答案
本题答案:计算负荷是指通过负荷的统计计算求出的、用来按发热条件选择供电
本题解析:试题答案计算负荷是指通过负荷的统计计算求出的、用来按发热条件选择供电系统中各元件的负荷值。计算负荷是供电设计计算的基本依据,计算准确与否直接影响到电器和导体的选择是否经济合理。如计算负荷确定过大,将使电器和导体选择过大,造成投资和有色金属的浪费;如计算负荷确定过小,又将使电器和导体运行时增加电能损耗,并产生过热,引起绝缘老化,甚至烧毁。
39、问答题 《供电服务规范》中如何定义重要电力用户?重要电力用户应当由什么机构确定?
点击查看答案
本题答案:在国家或者一个地区(城市)的社会、政治、经济生活中占有
本题解析:试题答案在国家或者一个地区(城市)的社会、政治、经济生活中占有重要地位,对其中断供电将可能造成人身伤亡、较大环境污染、较大经济损失、社会公共秩序严重混乱的用电单位或对供电可靠性有特殊要求的用电场所。重要电力用户应当由当地政府确定。
40、填空题 《供电营业规则》规定,用户新装、增装或改装受电工程的()、()应符合国家有关标准;国家尚未制订标准的,应符合电力行业标准;国家和电力行业尚未制定标准的,应符合省/自治区、直辖市电力管理部门的规定和规程。
点击查看答案
本题答案:设计安装;试验与运行
本题解析:试题答案设计安装;试验与运行
41、填空题 《供电监管办法》规定,电力监管机构依法履行职责,可以采取下列措施:对检查中发现的(),可以当场予以纠正或者要求限期改正。
点击查看答案
本题答案:违法行为
本题解析:试题答案违法行为
42、填空题 《供电监管办法》规定,供电企业应当按照下列规定选择电压监测点:()供电用户和()供电用户应当设置电压监测点。
点击查看答案
本题答案:35千伏专线;110千伏以上
本题解析:试题答案35千伏专线;110千伏以上
43、问答题 熄灭电弧的条件是什么?开关电器中常用的灭弧方法有哪些?
点击查看答案
本题答案:灭弧的条件是去游离率大于游离率。开关电器中常用的灭弧方法有速
本题解析:试题答案灭弧的条件是去游离率大于游离率。开关电器中常用的灭弧方法有速拉灭弧法、冷却灭弧法、吹弧灭弧法、长弧切短灭弧法、粗弧分细灭弧法、狭缝灭弧法、采用多断口灭弧法和采用新型介质灭弧法等。
44、填空题 锅炉是火电厂的主要热力设备之一,主要包括()和()两大部分。
点击查看答案
本题答案:(锅炉本体、辅助设备)
本题解析:试题答案(锅炉本体、辅助设备)
45、问答题 什么是电压互感器?
点击查看答案
本题答案:电压互感器是供配电系统中配合测量仪表和继电保护使用的一
本题解析:试题答案电压互感器是供配电系统中配合测量仪表和继电保护使用的一种特殊变压器,(3分)其一次匝数很多,接高压系统,二次匝数很少,额定输出为100V。负载包括电压表、功率表及继电保护电压线圈等。
46、单项选择题 《供电监管办法》规定,供电企业应当在供电营业场所设置公布()的标识,该标识应当固定在供电营业场所的显著位置。
A.电力服务热线电话
B.电力监管投诉举报电话
C.电力服务热线电话和电力监管投诉举报电话
点击查看答案
本题答案:C
本题解析:暂无解析
47、填空题 《供电营业规则》规定,新建受电工程项目在立项阶段,用户应与供电企业联系,就工程()、()和()等达成意向性协议,方可定址,确定项目。未按前款规定办理的,供电企业()受理其用电申请。
点击查看答案
本题答案:供电的可能性;用电容量;供电条件;有权拒绝
本题解析:试题答案供电的可能性;用电容量;供电条件;有权拒绝
48、单项选择题 《供电监管办法》规定,供电企业向用户提供供电方案的期限,自受理用户用电申请之日起,高压双电源供电用户不超过()个工作日。
A.20
B.30
C.45
D.60
点击查看答案
本题答案:C
本题解析:暂无解析
49、单项选择题 《供电监管办法》规定,供电企业工作人员到达现场抢修的时限,自接到报修之时起,城区范围不超过()分钟。因天气、交通等特殊原因无法在规定时限内到达现场的,应当向用户做出解释。
A.30
B.60
C.120
D.240
点击查看答案
本题答案:B
本题解析:暂无解析
50、填空题 供电企业应当对用户受电工程建设提供必要的()和技术服务。
点击查看答案
本题答案:业务咨询
本题解析:试题答案业务咨询
51、填空题 《供电营业规则》规定,用户需要的电压等级在()干伏及以上时,其受电装置应作为终端变电站设计,方案需经()企业审批。
点击查看答案
本题答案:110;省电网经营
本题解析:试题答案110;省电网经营
52、问答题 简述火电厂的能量转换过程?5%
点击查看答案
本题答案:锅炉将将燃料的化学能转化为蒸汽热能,汽轮机将蒸汽热能转化为机
本题解析:试题答案锅炉将将燃料的化学能转化为蒸汽热能,汽轮机将蒸汽热能转化为机械能,发电机将机械能转化为电能。
53、填空题 输电线路的电气参数包括电抗、电导、电纳和()。
点击查看答案
本题答案:电阻
本题解析:试题答案电阻
54、问答题 变电所有哪些防雷措施?
点击查看答案
本题答案:变电所内的设备和建筑物必须有完善的直击雷防护装置,通常采用独
本题解析:试题答案变电所内的设备和建筑物必须有完善的直击雷防护装置,通常采用独立避雷针或避雷线;对于雷电侵入波的过电压保护是利用阀型避雷器以及与阀型避雷器相配合的进线段保护。
55、填空题 《供电营业规则》规定,无功电力应就地平衡。用户应在提高用电自然功率因数的基础上,按有关标准设计和安装(),并做到随其负荷和电压变动及时投入或切除,防止无功电力倒送。
点击查看答案
本题答案:无功补偿设备
本题解析:试题答案无功补偿设备
56、名词解释 系统供电负荷
点击查看答案
本题答案:指综合用电负荷加上网络中损耗的功率,即为系统中各发电厂应供出
本题解析:试题答案指综合用电负荷加上网络中损耗的功率,即为系统中各发电厂应供出的功率
57、填空题 电压调整的措施有改变发电机端电压、改变变压器变比、()、降低输电线电抗等。
点击查看答案
本题答案:改变电网无功分布
本题解析:试题答案改变电网无功分布
58、单项选择题 《供电监管办法》规定,供电企业应当建立完善的报修服务制度,公开报修电话,保持电话畅通,()受理供电故障报修。
A.24小时
B.及时5
C.工作日
D.专人的
点击查看答案
本题答案:A
本题解析:暂无解析
59、单项选择题 《供电监管办法》规定,供电企业工作人员到达现场抢修的时限,自接到报修之时起,农村地区不超过()分钟。因天气、交通等特殊原因无法在规定时限内到达现场的,应当向用户做出解释。
A.30
B.60
C.120
D.240
点击查看答案
本题答案:C
本题解析:暂无解析
60、问答题 《供电监管办法》规定:电力监管机构对供电企业处理供电故障的情况实施监管。内容是什么?
点击查看答案
本题答案:供电企业应当建立完善的报修服务制度,公开报修电话,保持电话畅
本题解析:试题答案供电企业应当建立完善的报修服务制度,公开报修电话,保持电话畅通,24小时受理供电故障报修。
供电企业应当迅速组织人员处理供电故障,尽快恢复正常供电。供电企业工作人员到达现场抢修的时限,自接到报修之时起,城区范围不超过60分钟,农村地区不超过120分钟,边远、交通不便地区不超过240分钟。因天气、交通等特殊原因无法在规定时限内到达现场的,应当向用户做出解释。
61、填空题 高压断路器选择及检验的内容包括型式选择、()、额定电流选择、开断电流校验、热稳定校验、动稳定校验。
点击查看答案
本题答案:额定电压选择
本题解析:试题答案额定电压选择
62、填空题 对电力系统运行的基本要求是:保证供电的可靠性,保证电能的良好质量,提高()。
点击查看答案
本题答案:运行的经济性
本题解析:试题答案运行的经济性
63、问答题 阐述常规火电厂对环境的影响以及防治措施。
点击查看答案
本题答案:主要是烟气污染物排放、灰渣排放、废水排放,其中烟气排放
本题解析:试题答案主要是烟气污染物排放、灰渣排放、废水排放,其中烟气排放中的粉尘、硫氧化物和氮氧化物经过烟囱排入大气,会给环境造成污染。防治措施:除尘、烟气脱硫技术;废水净化或回收再利用;对灰渣进行综合利用。
64、问答题 什么叫安全电压?
点击查看答案
本题答案:安全电压是指不致使人直接致死或致残的电压。
本题解析:试题答案安全电压是指不致使人直接致死或致残的电压。
65、问答题 《供电服务规范》中的基本道德和技能规范有哪些内容?
点击查看答案
本题答案:(1)严格遵守国家法律、法规,诚实守信、恪守承诺。爱岗
本题解析:试题答案(1)严格遵守国家法律、法规,诚实守信、恪守承诺。爱岗敬业,乐于奉献,廉洁自律,秉公办事;
(2)真心实意为客户着想,尽量满足客户的合理要求。对客户的咨询、投诉等不推诿,不拒绝,不搪塞,及时、耐心、准确地给予解答;
(3)遵守国家的保密原则,尊重客户的保密要求,不对外泄露客户的保密资料;
(4)工作期间精神饱满,注意力集中。使用规范化文明用语,提倡使用普通话;
(5)熟知本岗位的业务知识和相关技能,岗位操作规范、
熟练,具有合格的专业技术水平。
66、单项选择题 《国家电网公司供电服务规范》第十七条规定:在公共场所施工,应悬挂悬挂施工单位标志、(),并配有礼貌用语。
A.安全警示
B.安全标示
C.安全标志
D.告示牌
点击查看答案
本题答案:C
本题解析:暂无解析
67、单项选择题 铅蓄电池在运行中,正常状态下负极板的颜色应为()。
A、浅灰色
B、灰色
C、深灰色
点击查看答案
本题答案:A
本题解析:暂无解析
68、填空题 《供电监管办法》规定,电力监管机构对供电企业执行国家规定的电价政策和收费标准的情况实施监管。供电企业违反规定的,电力监管机构可以()并向有关部门提出行政处罚建议。
点击查看答案
本题答案:责令改正
本题解析:试题答案责令改正
69、填空题 《供电监管办法》规定,供电企业应当方便用户查询下列信息:()和办理进度;()处理情况;其他用电信息。
点击查看答案
本题答案:用电报装信息;用电投诉
本题解析:试题答案用电报装信息;用电投诉
70、单项选择题 《供电监管办法》规定,在电力系统正常的情况下,城市地区年供电可靠率不低于()。
A.98%
B.99%
C.98.9%
D.99.9%
点击查看答案
本题答案:B
本题解析:暂无解析
71、问答题 避雷针的保护原理?用图表示单根避雷针的保护范围。
点击查看答案
本题答案:避雷针的保护原理:通过避雷针顶端的接闪器将雷电引向自身
本题解析:试题答案避雷针的保护原理:通过避雷针顶端的接闪器将雷电引向自身,再通过引下线和接地体将雷电流快速引入大地,保护其周围份的设备。
单根避雷针的保护范围如下图包络范围内。

72、单项选择题 Yº/Δ-11表示变压器为11点接线,它说明该变压器高、低压侧线电压的()关系。
A、相位
B、变比
C、接线
点击查看答案
本题答案:A
本题解析:暂无解析
73、问答题 什么叫自动重合闸?
点击查看答案
本题答案:自动重合闸装置(ARD)是在线路发生短路故障时,断路器跳闸后
本题解析:试题答案自动重合闸装置(ARD)是在线路发生短路故障时,断路器跳闸后进行的重新合闸,它能提高线路供电的可靠性,主要用于架空线路。
74、填空题 因()引起停电,客户询问时,应告知客户停电原因,并主动致歉。
点击查看答案
本题答案:输配电设备事故、检修
本题解析:试题答案输配电设备事故、检修
75、问答题 如何降低土壤的电阻率?
点击查看答案
本题答案:当土壤电阻率较高时,可采用以下措施降低土壤的电阻率:采用外引
本题解析:试题答案当土壤电阻率较高时,可采用以下措施降低土壤的电阻率:采用外引式接地装置;深埋地极法;换土法;化学处理法。
76、名词解释 电压正弦波形畸变率
点击查看答案
本题答案:各次谐波有效值平方的和的平方根与其基波有效值的百分比。
本题解析:试题答案各次谐波有效值平方的和的平方根与其基波有效值的百分比。
77、多项选择题 供电设施因计划检修需要停电时,应提前()将停电区域、线路、停电时间和恢复供电的时间进行公告,并通知重要客户。供电设施因临时检修需要停电的,应提前()小时通知重要客户或进行公告。
A.3天
B.7天
C.2天
D.24小时
点击查看答案
本题答案:B, D
本题解析:暂无解析
78、单项选择题 《供电监管办法》规定,低压供电用户,()配电变压器选择具有代表性的用户设置1个以上电压监测点,所选用户应当是重要电力用户和低压配电网的首末两端用户。
A.每百台
B.每十台
C.每一台
D.每五十台
点击查看答案
本题答案:A
本题解析:暂无解析
79、填空题 如发现重要用户的用电设施存在(),应当及时告知用户,并将排查和治理情况及时报政府有关部门备案。
点击查看答案
本题答案:安全隐患
本题解析:试题答案安全隐患
80、问答题 《国家电网公司供电服务规范》中,停、复电服务规范是什么?
点击查看答案
本题答案:(1)因故对客户实施停电时,应严格按照《供电营业规则》
本题解析:试题答案(1)因故对客户实施停电时,应严格按照《供电营业规则》规定的程序办理。
(2)引起停电的原因消除后应及时恢复供电;不能及时恢复供电的,应向客户说明原因。
81、填空题 110kV以下三芯电缆的电缆终端金属护层应直接与变电站()连接。
点击查看答案
本题答案:接地装置
本题解析:试题答案接地装置
82、填空题 《供电监管办法》规定,电力监管机构依法履行职责,可以采取下列措施:进行现场检查:()、()与检查事项有关的文件、资料,对可能被转移、隐匿、损毁的文件、资料予以()。
点击查看答案
本题答案:查阅;复制;封存
本题解析:试题答案查阅;复制;封存
83、问答题 什么是重合器的时间—电流特性曲线?有几种?
点击查看答案
本题答案:重合器可以代替变电站的出线断路器,其功能是:当线路发生故障后
本题解析:试题答案重合器可以代替变电站的出线断路器,其功能是:当线路发生故障后,重合器通过检测确认为故障电流时将自动跳闸,并按预先整定的动作顺序及时间间隔进行若干次合、分循环操作。如果重合成功,线路恢复供电,则自动终止后续动作,并经一段延时后恢复到初始的整定状态,为下一次故障做好准备;如果重合器完成预先整定的重合次数后仍重合失败,则自动进行闭锁,不再重合,保持在分闸状态。待故障排除后,只有通过手动复位才能解除闭锁。
重合器的时间—电流特性曲线是指重合器的开断时间与开断电流之间的关系曲线。重合器一般有两种时间—电流特性曲线,一种为快速动作时间—电流特性曲线,一般只有一条;另一种为慢速动作时间—电流特性曲线,可以有多条。
84、问答题
一条10kV线路向两个用户供电,允许电压损失为5%,环境温度为30℃,其他参数如图3-26所示,若用相同截面的LJ型架空线路,试按允许电压损失选择其导线截面,并按发热条件和机械强度进行校验。

点击查看答案
本题答案:
试题答案
85、问答题 2009年1月12日,某大客户到供电企业申请用电报装,报装容量为31500kVA。客户经理李某,在2009年1月26日答复供电方案时告知客户由于报装容量较大,应采用110kV电压等级供电,而在本市只有供电公司所属的关联多经企业具有四级《承装(修、试)电力设施许可证》且施工质量不错。客户表示只要供电企业报的价格合理,交给供电企业的施工队伍施工比较放心。2010年2月12日,客户受电工程开工。2010年6月15日,客户受电工程基本竣工,客户向供电公司提出竣工验收申请并希望能早点送电,6月26日(星期六)上午,客户经理李某组织相关人员到现场进行竣工验收,并在当天下午组织送电,一直忙到晚上8:30,试送电运行成功后才到客户的员工餐厅吃晚饭。客户表示非常感谢,向供电企业验收送电人员每人赠送了一箱苹果。请对以上业扩报装工作中存在的问题进行分析。
点击查看答案
本题答案:本事件违反以下规定:
(1)《国家电网公司员
本题解析:试题答案本事件违反以下规定:
(1)《国家电网公司员工服务行为“十个不准”》第三条“不准为客户指定设计、施工、供货单位。”(2)《国家电网公司员工服务行为“十个不准”》第九条“不
准接受客户吃请和收受客户礼品、礼金、有价证券等。”
(3)《承装(修、试)电力设施许可证管理办法》第六条“取得三级许可证的,可以从事110千伏以下电压等级电力设施的安装、维修或者试验活动。”
(4)《供电营业规则》第二十一条“高压供电方案的有效期为一年,低压供电方案的有效期为三个月,逾期注销。用户遇有特殊情况,需延长供电方案有效期的,应在有效期到期前十天向供电企业提出申请,供电企业应视情况予以办理延长手续。”
(5)《国家电网公司业扩报装工作规范(试行)》第37条“启动竣工检验的时间,自受理之日起,低压供电客户不超过3个工作日,高压供电客户不超过5个工作日。”
〔暴露问题〕
(1)违反业扩“三不指定”的要求。
(2)施工资质审核把关不严,将不具有施工范围资质的施工队伍引入电力工程建设,留下了安全隐患。(3)对供电方案审核不严,导致供电方案超期。
(4)客户经理服务意识差,未在规定的时限内启动竣工验收,导致送电延迟。
(5)企业员工在工作中,接受客户的吃请、礼品,给供电企业造成不良影响。
〔措施建议〕
(1)加强营销管理,杜绝“三指定”现象发生。
(2)严格按制度进行设计、施工资质、供货单位和产品、供电方案的审查、审核。
(3)增加员工服务意识,真心真意的为客户着想。
(4)加强员工业务技能的学习,不断增强员工的素质教育,树立好企业形象。
86、问答题 什么叫保护接地?
点击查看答案
本题答案:为保证人身安全,防止触点事故而进行的接地叫保护接地。例
本题解析:试题答案为保证人身安全,防止触点事故而进行的接地叫保护接地。例如电电气设备外壳接地
87、单项选择题 下列关于导线的连接,正确的说法是()。
A.同金属、不同规格、不同绞向的导线,严禁在档距内连接
B.在一个档距内,每根导线不应超过两个连接头
C.档距内接头距导线的固定点的距离,不应小于1.0m
D.钢芯铝绞线,铝绞线在档距内的连接,宜采用线夹方法
点击查看答案
本题答案:A
本题解析:暂无解析
88、填空题 《供电服务规范》明确:供电企业应当按照国家有关规定,履行电力()义务。
点击查看答案
本题答案:社会普遍服务
本题解析:试题答案社会普遍服务
89、单项选择题 《供电监管办法》规定,供电企业应当按照国家规定履行电力社会普遍服务义务,依法保障()能够按照国家规定的价格获得最基本的供电服务。
A.用户
B.客户
C.自然人
D.任何人
点击查看答案
本题答案:D
本题解析:暂无解析
90、单项选择题 《供电监管办法》规定,给用户装表接电的期限,自受电装置检验合格并办结相关手续之日起,居民用户不超过()个工作日。
A.3
B.5
C.7
D.10
点击查看答案
本题答案:A
本题解析:暂无解析
91、单项选择题 为了加强供电监管,规范供电行为,维护供电市场秩序,保护电力使用者的合法权益和社会公共利益,根据《电力监管条例》和国家有关规定,制定了()。
A.《供电监管办法》
B.《供电服务规范》
C.《供电管理办法》
点击查看答案
本题答案:A
本题解析:暂无解析
92、问答题 什么是电晕现象?如何避免?
点击查看答案
本题答案:高压线路表明周围的电场强度高于周围空气的击穿强度,会使空气游
本题解析:试题答案高压线路表明周围的电场强度高于周围空气的击穿强度,会使空气游离发生放电现象,这种现象称之为电晕现象。避免措施是增加导向的等值半径,如采用扩径导线、分裂导线。
93、填空题 列举五种有汇流母线的电气设备连接方式:单母线、单母线分段、双母线、()、一台半断路器接线。
点击查看答案
本题答案:双母线分段
本题解析:试题答案双母线分段
94、填空题 供电企业应当由用电营业机构()办理用户的各类用电业务。
点击查看答案
本题答案:统一归口
本题解析:试题答案统一归口
95、单项选择题 蓄电池所能输出的能量与它的极板表面积()。
A、成正比
B、成反比
C、没有关系
点击查看答案
本题答案:A
本题解析:暂无解析
96、问答题 变压器差动保护产生不平衡电流的原因是什么?如何减小不平衡电流?
点击查看答案
本题答案:产生不平衡电流的原因有:由变压器两侧绕组接线不同而产生的不平
本题解析:试题答案产生不平衡电流的原因有:由变压器两侧绕组接线不同而产生的不平衡电流;由电流互感器计算变比与实际变比不同而产生的不平衡电流;由两侧电流互感器型号不同而产生的不平衡电流;由带负荷调整变压器的分接头而产生的不平衡电流;由变压器励磁涌流所产生的不平衡电流。
减小不平衡电流的措施有:将变压器星形侧的三个电流互感器接成三角形,而将变压器三角形侧的三个电流互感器接成星形;采用具有速饱和铁心的差动继电器;整定计算时引入同型系数等。
97、单项选择题 《供电营业规则》规定,如因供电企业供电能力不足或政府规定限制的用电项目,供电企业可通知用户()办理。
A.拒绝受理
B.暂缓
C.及时
D.协商
点击查看答案
本题答案:B
本题解析:暂无解析
98、填空题 电流的I、II、III段保护分别是()、带时限电流速断保护、定时限过电流保护。
点击查看答案
本题答案:无时限电流速断保护
本题解析:试题答案无时限电流速断保护
99、问答题 《供电监管办法》规定:电力监管机构对供电企业执行国家有关节能减排和环境保护政策的情况实施监管。内容是什么?
点击查看答案
本题答案:供电企业应当减少电能输送和供应环节的损失和浪费。供电企
本题解析:试题答案供电企业应当减少电能输送和供应环节的损失和浪费。供电企业应当严格执行政府有关部门依法作出的对淘汰企业、关停企业或者环境违法企业采取停限电措施的决定。未收到政府有关部门决定恢复送电的通知,供电企业不得擅自对政府有关部门责令限期整改的用户恢复送电。
100、问答题 《国家电网公司供电服务规范》规定仪容仪表规范是什么?
点击查看答案
本题答案:(1)供电服务人员上岗必须统一着装,并佩戴工号牌;本题解析:试题答案(1)供电服务人员上岗必须统一着装,并佩戴工号牌;
(2)保持仪容仪表美观大方,不得浓妆艳抹,不得敞怀、将长裤卷起,不得戴墨镜。
101、问答题 抽水蓄能水电站运行有何特点及作用?
点击查看答案
本题答案:抽水蓄能电站是特殊形式的水电站。当电力系统内负荷处于低谷时,
本题解析:试题答案抽水蓄能电站是特殊形式的水电站。当电力系统内负荷处于低谷时,它利用网内富余的电能,采用机组为电动机运行方式,将下游(低水池)的水抽送到高水池,能量蓄存在高水池中。在电力系统高峰负荷时,机组改为发电机运行方式,将高水池的水能用来发电。
在电力系统中抽水蓄能电站既是电源又是负荷,是系统内唯一的削峰填谷电源,具有调频、调相、负荷备用、事故备用的功能。
102、问答题 依据《供电监管办法》,列出电力监管机构对供电企业的监管内容有哪些?
点击查看答案
本题答案:(1)电力监管机构对供电企业的供电能力实施监管。
本题解析:试题答案(1)电力监管机构对供电企业的供电能力实施监管。
(2)电力监管机构对供电企业的供电质量实施监管。
(3)电力监管机构对供电企业设置电压监测点的情况实施监管。
(4)电力监管机构对供电企业保障供电安全的情况实施监管。
(5)电力监管机构对供电企业履行电力社会普遍服务义务的情况实施监管。
(6)电力监管机构对供电企业实施停电、限电或者中止供电的情况进行监管。
(7)电力监管机构对供电企业处理供电故障的情况实施监管。
(8)电力监管机构对供电企业履行紧急供电义务的情况实施监管。
(9)电力监管机构对供电企业执行国家有关电力行政许可规定的情况实施监管。
(10)电力监管机构对供电企业公平、无歧视开放供电市场的情况实施监管。
(11)电力监管机构对供电企业执行国家规定的电价政策和收费标准的情况实施监管。
(12)电力监管机构对供电企业签订供用电合同的情况实施监管。
(13)电力监管机构对供电企业执行国家规定的成本规则的情况实施监管。
(14)电力监管机构对供电企业信息公开的情况实施监管。
(15)电力监管机构对供电企业报送信息的情况实施监管。
(16)电力监管机构对供电企业执行国家有关节能减排和环境保护政策的情况实施监管。
(17)电力监管机构对供电企业实施电力需求侧管理的情况实施监管。
103、单项选择题 以()为目标,开展电力需求侧管理和服务活动,减少客户用电成本,提高用电负荷率。
A、 实现电力增供扩销
B、追求供用电双方利益共赢
C、实现全社会电力资源优化配置
D、树立供电企业形象
点击查看答案
本题答案:C
本题解析:暂无解析
104、问答题 导线截面选择的基本原则是什么?
点击查看答案
本题答案:输配电线路导线截面的选择应满足以下基本原则:发热条件、电压损
本题解析:试题答案输配电线路导线截面的选择应满足以下基本原则:发热条件、电压损失条件、机械强度条件、经济条件和电晕条件。
105、问答题
额定电压110KV的辐射型电网各段阻抗及负荷如下图所示。已知电源A的电压为121KV,求功率分布和各母线电压(注:考虑功率损耗,可以不计电压降落的横分量δU)。

点击查看答案
本题答案:
试题答案
106、填空题 《供电监管办法》规定,供电企业应当建立用电投诉处理制度,公开投诉电话。对用户的投诉,供电企业应当自()之日起10个工作日内提出处理意见并()。
点击查看答案
本题答案:接到投诉;答复用户
本题解析:试题答案接到投诉;答复用户
107、填空题 《供电服务规范》中规定,用电检查人员在执行用电检查任务时,应当为用户(),不得在检查现场()进行电工作业。
点击查看答案
本题答案:保密;替代用户
本题解析:试题答案保密;替代用户
108、单项选择题 为了加强供电监管,规范供电行为,维护供电市场秩序,保护()的合法权益和社会公共利益,根据《电力监管条例》和国家有关规定,制定了《供电监管办法》。
A.供电企业
B.电力企业
C.电力使用者
D.用电企业
点击查看答案
本题答案:C
本题解析:暂无解析
109、填空题 《供电服务规范》中规定,供电企业工作人员工作期间应当使用规范化文明用语、提倡使用()。
点击查看答案
本题答案:普通话
本题解析:试题答案普通话
110、单项选择题 《供电监管办法》规定,供电企业应当对用户受电工程建设提供必要的();发现用户受电设施存在严重威胁电力系统安全运行和人身安全的隐患时,应当指导其立即消除,在隐患消除前不得送电。
A.业务咨询
B.技术标准咨询
C.业务咨询和技术标准咨询
D.帮助和服务
点击查看答案
本题答案:C
本题解析:暂无解析
111、问答题 1月30日客户王先生向供电公司申请动力用电。供电公司业扩报装人员组织了现场勘查,并确定了供电方案。2月3日,施工完毕并验收合格。办理完相关手续后,装表人员于2月6日领表出库,但由于工作疏忽,2月18日方完成装表接电工作,王先生对此表示不满,2月19日打进95598进行投诉。通过以上案例,请分析:
3)有哪些意见和建议?
点击查看答案
本题答案:(1)全面建立优质服务保障机制。以满足客户需要为供电服
本题解析:试题答案(1)全面建立优质服务保障机制。以满足客户需要为供电服务的出发点,围绕客户需求,供电服务一线工作人员要规范行为,杜绝各类服务不良服务事件。
(2)强化规章制度的落实工作,加大规章制度执行的监督考核,认真执行各项服务规章制度,严格遵守供电服务规范,不断提升供电服务规范化水平。
112、填空题 《供电服务规范》中规定,供电企业完成受电工程设计文件和有关资料的审核后,应当告知用户受电工程()及受电设施()的相关准备工作。
点击查看答案
本题答案:竣工检验标准;投运前
本题解析:试题答案竣工检验标准;投运前
113、填空题 电力系统的运行电压水平同无功功率平衡密切相关。电压调整的主要手段是:改变发电机端电压;改变变压器的变比;()。
点击查看答案
本题答案:无功功率补偿
本题解析:试题答案无功功率补偿
114、问答题 无功电源有哪些?无功补偿的措施有哪些?5%
点击查看答案
本题答案:无功电源包括同步发电机、调相机、电容器及静止无功补偿器
本题解析:试题答案无功电源包括同步发电机、调相机、电容器及静止无功补偿器、线路充电功率等。无功补偿的措施有:利用同步发电机进行补偿、利用调相机进行补偿、利用电容器进行补偿和利用静止补偿器进行补偿。
115、问答题 变电所常用操作电源有哪几种类型?各有什么特点?
点击查看答案
本题答案:变电所常用操作电源分为直流和交流两大类。
直
本题解析:试题答案变电所常用操作电源分为直流和交流两大类。
直流操作电源可分为由蓄电池供电的直流操作电源和由硅整流器供电的直流操作电源两种。由蓄电池供电的直流操作电源是一种与电力系统运行方式无关的独立电源系统,在发电厂和变电所发生故障甚至交流电压完全消失的情况下,仍能可靠工作,供电可靠性高,但运行维护工作量较大,使用寿命较短,价格较贵,并需要许多辅助设备,主要应用于发电厂和大型变电所,而在中小型变电所中多采用硅整流型直流操作电源。
交流操作电源具有投资小、接线简单可靠、运行维护方便等优点,但它不适用于较复杂的继电保护、自动装置及其他器二次回路等,广泛用于中小型变电所中采用手动操作或弹簧储能操作及继电保护采用交流操作的场合。
116、填空题 《供电监管办法》规定,供电企业应当按照国家规定履行电力()义务,依法保障()能够按照国家规定的价格获得最基本的()。
点击查看答案
本题答案:社会普遍服务;任何人;供电服务
本题解析:试题答案社会普遍服务;任何人;供电服务
117、问答题
下图是典型并网风力机的剖面图请说明其主要部件的功能和作用。

点击查看答案
本题答案:叶轮的作用是将风能转换为机械能,低速转动的风轮通过传动
本题解析:试题答案叶轮的作用是将风能转换为机械能,低速转动的风轮通过传动系统由升速齿轮箱增速,以便与发电机运转所需要的转速相匹配并将动力传递给发电机。并由高大的塔架支撑,以获得更多的风能。由于风向经常变化,为了有效地利用风能,必须要有对风装置(偏航系统),它根据风向传感器测得的风向信号,由控制器控制偏航电机,驱动与塔架上大齿轮咬合的小齿轮转动,使机舱始终对准来风的方向。由于风能是随机性的,需要通过控制系统来实现对风力发电机的起动、调节、停机、故障保护以及对电能用户所接负荷的接通调整及断开等。
118、填空题 《供电监管办法》规定,对用户受电工程启动中间检查的期限,自接到用户申请之日起,()不超过3个工作日,()不超过5个工作日。
点击查看答案
本题答案:低压供电用户;高压供电用户
本题解析:试题答案低压供电用户;高压供电用户
119、问答题 试简述电流型漏电断路器的工作原理。
点击查看答案
本题答案:当被保护电路工作正常、没有发生漏电或触电时,通过零序电
本题解析:试题答案当被保护电路工作正常、没有发生漏电或触电时,通过零序电流互感器TAN一次侧的三相电流相量和等于零,TAN的铁心中没有磁通,其二次侧没有电流输出。当被保护电路发生漏电或有人触电时,由于漏电电流的存在,使通过TAN一次侧的三相电流的相量和不再为零,零序电流互感器中产生零序磁通,其二次侧就有电流输出,经放大器放大后,驱动低压断路器QF的脱扣线圈YR,使断路器QF自动跳闸,迅速切断被保护电路的电源,从而避免人员发生触电事故。
120、问答题 配电自动化对通信系统的要求有哪些?
点击查看答案
本题答案:配电自动化对通信系统的要求是:通信的可靠性;双向通信的要求;
本题解析:试题答案配电自动化对通信系统的要求是:通信的可靠性;双向通信的要求;通信速率的要求;通信不受停电的影响;通信系统建设费用;使用和维护的方便性;可扩充性可扩充性。
121、问答题
各元件的参数已标于图中,试用标幺值法计算k点发生三相短路时短路点的短路电流。

点击查看答案
本题答案:
试题答案
122、问答题
输电网潮流采用计算机计算时,节点一般如何分类?说明各类节点特征。
点击查看答案
本题答案:可分PQ节点、PV节点和平衡节点三类。
PQ
本题解析:试题答案可分PQ节点、PV节点和平衡节点三类。
PQ节点:节点的有功P和无功功率Q是给定的,节点电压幅值和相角(U、&)是待求量,通常变电所母线属于此类;
PV节点:节点的有功功率P和电压幅值U是给定的,节点无功和电压相角(Q、&)是待求量,当节点处有足够的可调无功量,可以维持给定电压幅值时,该节点可选为PV节点,一般为有一定无功储备的发电厂和具有可调无功电源的变电所母线;
平衡节点:承担系统有功平衡的节点,一般选主调频发电厂。
123、填空题 《供电监管办法》规定,()应当审核()、()的情况,按照国家有关规定()不符合规定的用电设施接入电网。
点击查看答案
本题答案:供电企业;用电设施产生谐波;冲击负荷;拒绝
本题解析:试题答案供电企业;用电设施产生谐波;冲击负荷;拒绝
124、填空题 来源:91考试网 91exam.org《供电服务规范》中规定供电企业应当根据用户最大需量、用电设备容量或()确定用户的供电电压等级。
点击查看答案
本题答案:受电设备容量
本题解析:试题答案受电设备容量
125、填空题 《供电监管办法》规定,供电企业发现用电设施存在(),应当及时告知用户采取有效措施进行治理。用户应当按照国家有关规定消除用电设施安全隐患。用电设施存在严重威胁()和(),用户()的,供电企业可以按照国家有关规定对该用户()。
点击查看答案
本题答案:安全隐患;电力系统安全运行;人身安全的隐患;拒不治理;中止供
本题解析:试题答案安全隐患;电力系统安全运行;人身安全的隐患;拒不治理;中止供电
126、问答题 什么叫过电压?过电压有哪些类型?各是怎样产生的?
点击查看答案
本题答案:电力系统在运行中,由于雷击、误操作、故障、谐振等原因引起的电
本题解析:试题答案电力系统在运行中,由于雷击、误操作、故障、谐振等原因引起的电气设备电压高于其额定工作电压的现象称为过电压。过电压分为内部过电压和外部过电压两大类。
内部过电压又分为操作过电压和谐振过电压。对于因开关操作、负荷剧变、系统故障等原因而引起的过电压,称为操作过电压;对于系统中因电感、电容等参数在特殊情况下发生谐振而引起的过电压,称为谐振过电压。外部过电压又称雷电过电压或大气过电压,它是由于电力系统的导线或电气设备受到直接雷击或雷电感应而引起的过电压。
127、问答题 《供电监管办法》规定:电力监管机构对供电企业实施停电、限电或者中止供电的情况进行监管。内容是什么?
点击查看答案
本题答案:在电力系统正常的情况下,供电企业应当连续向用户供电。需
本题解析:试题答案在电力系统正常的情况下,供电企业应当连续向用户供电。需要停电或者限电的,应当符合下列规定:
(1)因供电设施计划检修需要停电的,供电企业应当提前7日公告停电区域、停电线路、停电时间;
(2)因供电设施临时检修需要停电的,供电企业应当提前24小时公告停电区域、停电线路、停电时间;
(3)因电网发生故障或者电力供需紧张等原因需要停电、限电的,供电企业应当按照所在地人民政府批准的有序用电方案或者事故应急处置方案执行。
引起停电或者限电的原因消除后,供电企业应当尽快恢复正常供电。
供电企业对用户中止供电应当按照国家有关规定执行。供电企业对重要电力用户实施停电、限电、中止供电或者恢复供电,应当按照国家有关规定执行。
128、填空题 在电力系统正常运行条件下,()及以下三相供电电压偏差为标称电压的±7%。
点击查看答案
本题答案:20kV
本题解析:试题答案20kV
129、问答题 10kV配电线路一般设置哪些保护?
点击查看答案
本题答案:10kV配电线路设置的保护通常有:电流速断保护、过电流保护以
本题解析:试题答案10kV配电线路设置的保护通常有:电流速断保护、过电流保护以及三相一次重合闸。
对于一些特殊线路当以上保护不能满足时可加装电流保护Ⅱ段、电压闭锁等。
130、单项选择题 下列能源中,不属于可再生能源的是()。
A、天然气
B、太阳能
C、海洋能
D、核裂变能
点击查看答案
本题答案:A
本题解析:暂无解析
131、填空题 《供电服务规范》中规定重要电力用户应当由()确定。
点击查看答案
本题答案:当地政府
本题解析:试题答案当地政府
132、填空题 短路是电力系统的严重故障。短路冲击电流、短路电流()和短路容量是校验电器设备的重要数据。
点击查看答案
本题答案:最大有效值
本题解析:试题答案最大有效值
133、填空题 某企业由一台10/0.4kV变压器供电,变压器高压侧有三个分接头分别为:0%、+5%、-5%,当接于0%分接头时,该变压器的低压侧电压为360V,该变压器分接头应接在()时才能保证低压侧的电压质量。
点击查看答案
本题答案:-5%
本题解析:试题答案-5%
134、填空题 供电企业应当告知用户选择依法取得()及承装()电力设施许可证的企业从事相关业务,并查验有关资质。
点击查看答案
本题答案:设计资质;修、试
本题解析:试题答案设计资质;修、试
135、单项选择题 关于配电变压器熔丝的选择下面哪种说法是正确的()。
A.容量在100kVA.及以下者,高压侧熔丝按变压器额定电流的1.5-2倍选择
B.容量在100kVA.及以上者,高压侧熔丝按变压器额定电流的2—3倍选择
C.变压器低压侧熔丝(片)或断路器长延时整定值按变压器额定电流选择
D.普通地段,居民稀疏区域宜设置单相接地保护
点击查看答案
本题答案:C
本题解析:暂无解析
136、问答题 什么是高压开关柜的“五防”?
点击查看答案
本题答案:①防止误跳、误合断路器;②防止带负荷分、合隔离开关;③防止带
本题解析:试题答案①防止误跳、误合断路器;②防止带负荷分、合隔离开关;③防止带电挂接地线;④防止带地线合闸;⑤防止误入带电间隔。
137、问答题 地理信息系统(GIS)的主要功能有哪些?
点击查看答案
本题答案:GIS的主要功能有:数据的输入与编辑整理;数据的存储与管理;
本题解析:试题答案GIS的主要功能有:数据的输入与编辑整理;数据的存储与管理;数据的检索与查询;数据的分析与处理;数据的输出。
138、单项选择 题 屋外配电装置中的最小安全净距C值是由()决定的。
A、A值
B、B值
C、D值
D、E值
点击查看答案
本题答案:A
本题解析:暂无解析
139、填空题 《供电服务规范》中规定,供电企业应当根据()、()或()确定用户的供电电压等级。
点击查看答案
本题答案:用户最大需量;用电设备容量;受电设备总容量
本题解析:试题答案用户最大需量;用电设备容量;受电设备总容量
140、填空题 《供电监管办法》规定,受电工程设计,用户应当按照()确定的供电方案进行。
点击查看答案
本题答案:供电企业
本题解析:试题答案供电企业
141、单项选择题 《供电营业规则》规定,新建受电工程项目在立项阶段,用户应与供电企业联系,就工程供电的可能性、用电容量和供电条件等达成意向性协议,方可定址,确定项目。未按前款规定办理的,供电企业有权()其用电申请。
A.拒绝受理
B.暂缓受理
C.及时受理
D.协商受理
点击查看答案
本题答案:A
本题解析:暂无解析
142、单项选择题 《国家电网公司供电服务规范》规定:供电设施权属客户,供电企业所提供的服务属于()。
A.有偿服务;
B.无偿服务;
C.特别服务;
D.柜台服务。
点击查看答案
本题答案:A
本题解析:暂无解析
143、单项选择题 《供电监管办法》规定,供电企业应当严格执行国家电价政策,按照国家核准电价或者市场交易价,依据()依法认可的用电计量装置的记录,向用户计收电费。
A.计量检定机构
B.供电企业
C.计量检定机构和供电企业
D.计量检定机构或供电企业
点击查看答案
本题答案:A
本题解析:暂无解析
144、填空题 《国家电网公司供电服务规范》中规定,严格保密制度,尊重客户意愿,满足客户()请求,为投诉举报人做好()。
点击查看答案
本题答案:匿名;保密工作
本题解析:试题答案匿名;保密工作
145、单项选择题 《供电监管办法》规定,()可以在用户中依法开展供电满意度调查等供电情况调查,并向社会公布调查结果。
A.电力监管机构
B.用户
C.供电企业
D.第三方
点击查看答案
本题答案:A
本题解析:暂无解析
146、单项选择题 《国家电网公司供电服务规范》规定,城市地区供电可靠率不低于(),农网供电可靠率不低于()。
A、99.80%,99%
B、98.89%,95%
C、99.89%,99%
D、99.90%,96%
点击查看答案
本题答案:C
本题解析:暂无解析
147、单项选择题 来源:91考试网发电机的同步转速与发电机的磁极对数为()。
A、正比例关系
B、反比例关系
C、不成比例
点击查看答案
本题答案:B
本题解析:暂无解析
148、单项选择题 受理客户咨询时,对不能当即答复的,应说明原因,并在()个工作日内回复。
A.1
B.2
C.3
D.4
点击查看答案
本题答案:C
本题解析:暂无解析
149、单项选择题 中阻沆型母线差动保护在母线内部故障时,保护装置整组动作时间不大于()ms。
A.5
B.10
C.20
D.30
点击查看答案
本题答案:B
本题解析:暂无解析
150、填空题 《供电监管办法》规定,需要停电或者限电的,应当符合下列规定:因供电设施()需要停电的,供电企业应当提前24小时公告停电区域、停电线路、停电时间。
点击查看答案
本题答案:临时检修
本题解析:试题答案临时检修
151、填空题 供电企业应当建立完善的()制度,公开报修电话,保持电话的通畅,()h受理供电故障报修。
点击查看答案
本题答案:报修服务报修服务;24
本题解析:试题答案报修服务报修服务;24
152、填空题 对易受外部影响着火的电缆密集场所或可能着火蔓延而酿成严重事故的电缆线路,必须按设计要求的()施工。
点击查看答案
本题答案:防火阻燃措施
本题解析:试题答案防火阻燃措施
153、问答题 光纤通信有哪些特点?
点击查看答案
本题答案:光纤通信与其他通信方式相比,具有传输频带宽、通信容量大
本题解析:试题答案光纤通信与其他通信方式相比,具有传输频带宽、通信容量大、传输速率高、传输损耗小、误码率低、可靠性高、不受电磁干扰、组网灵活方便等优点。
154、问答题 《供电服务规范》投诉举报处理服务规范中规定供电企业可以通过哪些方式接受客户的投诉和举报?
点击查看答案
本题答案:通过以下方式接受客户的投诉和举报:
(1)&
本题解析:试题答案通过以下方式接受客户的投诉和举报:
(1)“95598”供电客户服务热线或专设的投诉举报电话;
(2)营业场所设置意见箱或意见簿;
(3)信函;
(4)“95598”供电客户服务网页(网站);
(5)领导对外接待日;
(6)其它渠道。
155、填空题 电力系统是电能的生产、输送、分配和消费的各个环节组成的一个整体。其中输送和分配电能的部分称为电力网。若把水电厂、火电厂的动力部分也包括进来,就称为()。
点击查看答案
本题答案:动力系统
本题解析:试题答案动力系统
156、填空题 保安负荷指用于保障用电场所()安全所需的电力负荷。
点击查看答案
本题答案:人身与财产
本题解析:试题答案人身与财产
157、填空题 引入爆炸危险环境的金属管道、配线的钢管、电缆的铠装及金属外壳,均应在危险区域的进口处()。
点击查看答案
本题答案:接地
本题解析:试题答案接地
158、单项选择题 选择下列电气设备时,不需要校验热稳定的是()
A、断路器
B、绝缘子
C、电流互感器
D、导体
点击查看答案
本题答案:B
本题解析:暂无解析
159、填空题 《供电监管办法》规定,供电企业应当按照国家有关规定加强重要电力用户安全供电管理,指导重要电力用户配置和使用(),建立自备应急电源基础档案数据库。
点击查看答案
本题答案:自备应急电源
本题解析:试题答案自备应急电源
160、问答题 《供电服务规范》中规定,当用户向供电企业提出用电计量装置检验申请时应如何处理?
点击查看答案
本题答案:当用户向供电企业提出用电计量装置检验申请并交付验表费后
本题解析:试题答案当用户向供电企业提出用电计量装置检验申请并交付验表费后,供电企业应当按有关规定进行检验,并将检验结果通知用户。如用电计量装置的误差在允许范围内,验表费不予退还;如误差超出允许范围,供电企业除退还验表费外,还应按有关规定退补电费。用户对检验结果有异议时,可向供电企业上级计量检定机构申请检定。
161、问答题 避雷器有何功能?有哪些常见的结构型式?各适用于哪些场合?
点击查看答案
本题答案:避雷器用于防止雷电产生的过电压沿线路侵入变配电所或其他建筑物
本题解析:试题答案避雷器用于防止雷电产生的过电压沿线路侵入变配电所或其他建筑物内,以免危及被保护设备的绝缘。避雷器按结构型式分,有保护间隙、管型避雷器、阀型避雷器和金属氧化物避雷器等。其中,保护间隙和管型避雷器一般用于户外输电线路的防雷保护,阀型避雷器和金属氧化物避雷器主要用于变配电所的进线防雷电波侵入保护。
162、问答题 备用电源自动投入装置有哪些基本要求?
点击查看答案
本题答案:备用电源自动投入装置应满足以下基本要求:①工作电源不论任何原
本题解析:试题答案备用电源自动投入装置应满足以下基本要求:①工作电源不论任何原因断开(如工作电源故障或被错误断开等),备用电源应能自动投入;②必须在工作电源确已断开,而备用电源电压也正常时,才允许投入备用电源;③APD的动作时间应尽可能短,以利于电动机的自起动;④APD只能动作一次,以免将备用电源重复投入到永久性故障上去;⑤当电压互感器的二次回路断线时,APD不应误动作;⑥若备用电源容量不足,应在APD动作的同时切除一部分次要负荷。
163、单项选择题 《供电监管办法》规定,供电企业应当对用户受电工程建设提供必要的业务咨询和技术标准咨询;发现用户受电设施存在严重威胁电力系统安全运行和人身安全的隐患时,应当指导其()消除,在隐患消除前不得送电。
A.立即
B.定期
C.尽快
D.现场
点击查看答案
本题答案:A
本题解析:暂无解析
164、填空题 国家电网公司供电服务规范》规定严格执行国家规定的()政策及()标准。严禁利用各种方式和手段变相扩大收费范围或提高收费标准。
点击查看答案
本题答案:电费电价;业务收费
本题解析:试题答案电费电价;业务收费
165、单项选择题 在母差保护中,中间变流器的误差要求,应比主电流互感器严格,一般要求误差电流不超过最大区外故障电流的()。
A.3%
B.4%
C.5%
点击查看答案
本题答案:D
本题解析:暂无解析
166、单项选择题 选择110kV及以上导体时,需要校验的特殊条件是()
A、短路动稳定校验
B、电晕电压校验
C、选择性校验
D、准确度校验
点击查看答案
本题答案:B
本题解析:暂无解析
167、问答题 电力系统电源中性点接地方式有哪些?优缺点及我国目前用在电压等级。
点击查看答案
本题答案:电力系统电源中性点接地方式有:电源中性点直接接地系统、
本题解析:试题答案电力系统电源中性点接地方式有:电源中性点直接接地系统、电源中性点不接地系统、电源中性点不直接接地系统。其中电源中性点直接接地系统称为大电流接地系统,后面两种称为小电流接地系统。
大电流接地系统优点主要是设备的绝缘只需按相电压配置,缺点是供电可靠性差些,当发生单相短路时得中断供电。小电流接地系统的优点在于供电可靠性较高,当发生单相接地时不需要马上中断供电,缺点是设备的绝缘得按线电压配置。
目前我国在3-35kV电压等级用小电流接地系统;380V、110kV及以上采用大电流接地系统。
168、填空题 微波塔上的航标灯电源线应选用金属外皮电缆或将导线穿入金属管,金属外皮或金属管至少应在上下两端与塔身金属结构连接,进机房前应水平直埋()以上,埋深应大4于0.6m。
点击查看答案
本题答案:10m
本题解析:试题答案10m
169、问答题 有一条110kV的双回架空线路,长度为100km,导线型号为LGJ—150,计算外径为16.72mm,水平排列,相间距离为4m,试计算线路参数并作出其π型等效电路。
点击查看答案
本题答案:
试题答案
170、问答题
在下图中,变压器的型号和参数:
SJL-16000/110,P0=21kW,Pk=85kW,I0%=0.85,Uk%
=10.5,
其低压侧电压为11kV,高压侧运行在115kV上。
线路的参数:U0=117kV,

点击查看答案
本题答案:
试题答案

171、问答题 什么叫过电流继电器的动作电流、返回电流和返回系数?
点击查看答案
本题答案:能使电流继电器产生动作的最小电流,称为继电器的动作电流;能使
本题解析:试题答案能使电流继电器产生动作的最小电流,称为继电器的动作电流;能使电流继电器返回到原始位置的最大电流,称为继电器的返回电流;同一继电器的返回电流与动作电流的比值,称为电流继电器的返回系数。
172、单项选择题 对电气主接线最基本的要求是()。
A、经济性
B、灵活性
C、可靠性
D、易扩建性
点击查看答案
本题答案:C
本题解析:暂无解析
173、填空题 调整发电机组输出的有功功率用来调整电力系统运行的()。
点击查看答案
本题答案:频率
本题解析:试题答案频率
174、单项选择题 发电机带纯电阻性负荷运行时,电压与电流的相位差等于()。
A.180º;
B.90º;
C.0º;
D.270º。
点击查看答案
本题答案:C
本题解析:暂无解析
175、填空题 《供电营业规则》规定,供电企业应在用电营业场所公告办理各项用电业务的()、()和()。
点击查看答案
本题答案:程序;制度;收费标准
本题解析:试题答案程序;制度;收费标准
176、问答题 电力系统无功电源有哪些?无功补偿的措施有哪些?
点击查看答案
本题答案:电力系统无功电源主要有:
同步发电机、调相机
本题解析:来源:91考试网 www.91exAm.org试题答案电力系统无功电源主要有:
同步发电机、调相机、电容器、静止无功补偿器以及线路的充电功率。
无功补偿的措施有:
利用同步发电机进行补偿、利用调相机进行补偿、利用电容器进行补偿和利用静止补偿器进行补偿。
177、问答题 《供电服务规范》中,公用电网谐波电压(相电压)限值是如何规定的?
点击查看答案
本题答案:(1)110kV电网电压总谐波畸变率不超过2.0%,奇
本题解析:试题答案(1)110kV电网电压总谐波畸变率不超过2.0%,奇次谐波电压含有率不超过1.6%,偶次谐波电压含有率不超过0.8%;
(2)35kV电网电压总谐波畸变率不超过3.0%,奇次谐波电压含有率不超过2.4%,偶次谐波电压含有率不超过1.2%;
(3)10kV电网电压总谐波畸变率不超过4.0%,奇次谐波电压含有率不超过3.2%,偶次谐波电压含有率不超过1.6%;
(4)0.38kV电网电压总谐波畸变率不超过5.0%,奇次谐波电压含有率不超过4.0%,偶次谐波电压含有率不超过2.0%。
178、填空题 《供电监管办法》规定,对于违反本办法并造成严重后果的供电企业主管人员或者直接责任人员,电力监管机构可以建议将其(),3年内不得担任供电企业同类职务。
点击查看答案
本题答案:调离现任岗位
本题解析:试题答案调离现任岗位
179、问答题 我国规定的安全电压等级有哪些?各适用于什么环境?
点击查看答案
本题答案:我国规定的安全电压等级有42V、36V、24V、12V和6V
本题解析:试题答案我国规定的安全电压等级有42V、36V、24V、12V和6V。凡手提照明灯、在危险环境和特别危险环境中使用携带式电动工具,如无特殊安全结构或安全措施,应采用42V或36V的安全电压;金属容器内、隧道内、矿井内等工作地点狭窄、行动不便,以及周围有大面积接地导体的环境,应采用24V或12V的安全电压;水下作业等场所采用6V的安全电压。当电气设备采用24V以上安全电压时,必须采取防护直接接触带电体的保护措施。
180、问答题 提高微机保护可靠性的措施有哪些?
点击查看答案
本题答案:微机保护的可靠性主要是抗干扰问题。防止干扰进入微机保护
本题解析:试题答案微机保护的可靠性主要是抗干扰问题。防止干扰进入微机保护装置的主要措施有:接地的处理,屏蔽与隔离,滤波、退耦和旁路,对供电电源的要求,合理地分配和布置插件;抑制窜入干扰影响的软硬件措施有:采样数据的干扰辩识,出口密码校核,复算校核,程序出轨的自恢复;装置故障的自检包括:CPU的检测,RAM的检测,EPROM的检测,数据采集系统的检测,出口通道的检测和成组功能的检测。
181、单项选择题 发电机带部分的功负荷运行,转子磁极轴线与定子磁极轴线的相互位置是()。
A、定子磁极轴线在前
B、相互重合
C、转子磁极轴线在前
点击查看答案
本题答案:C
本题解析:暂无解析
182、填空题 一个将10kV升到220kV的变压器,其额定变比为()
点击查看答案
本题答案:10.5/242
本题解析:试题答案10.5/242
183、填空题 《供电营业规则》规定,用户对供电企业答复的供电方案有不同意见时,应在()月内提出意见,双方可再行协商确定。
点击查看答案
本题答案:一个
本题解析:试题答案一个
184、填空题 用户受电工程简称受电工程,是由用户出资建设,在用户办理()、()、()用电等用电业务时涉及的电力工程。
点击查看答案
本题答案:新装;增容;变更
本题解析:试题答案新装;增容;变更
185、问答题 什么叫无限大容量系统?它有什么特征?
点击查看答案
本题答案:无限容量系统亦称无限大功率电源,是指系统的容量为无限大,内阻
本题解析:试题答案无限容量系统亦称无限大功率电源,是指系统的容量为无限大,内阻抗为零。它是一个相对概念,真正的无限大功率电源是不存在的。
特征:在电源外部发生短路时,电源母线上的电压基本不变,即认为它是一个恒压源。当电源内阻抗不超过短路回路总阻抗的5%~10%时,就可以认为该电源是无限大功率电源。
186、填空题 《供电营业规则》规定,因抢险救灾需要紧急供电时,供电企业应迅速组织力量,架设临时电源供电。架设临时电源所需的工程费用和应付的电费,由地方人民政府有关部门负责从()中拨付。
点击查看答案
本题答案:救灾经费
本题解析:试题答案救灾经费
187、单项选择题 《国家电网公司供电服务规范》第二十九条规定:投诉电话和举报电话分别应在()日内给予答复。
A.5、10
B.3、7
C.6、9
D.5、7
点击查看答案
本题答案:A
本题解析:暂无解析
188、名词解释 供电煤耗率
点击查看答案
本题答案:每供一千瓦时电需要消耗多少克(千克)的标准煤。
本题解析:试题答案每供一千瓦时电需要消耗多少克(千克)的标准煤。
189、填空题 《供电监管办法》规定,需要停电或者限电的,应当符合下列规定:因()或者()等原因需要停电、限电的,供电企业应当按照()批准的有序用电方案或者事故应急处置方案执行。
点击查看答案
本题答案:电网发生故障;电力供需紧张;所在地人民政府
本题解析:试题答案电网发生故障;电力供需紧张;所在地人民政府
190、问答题 《供电营业规则》对用户独资、合资或集资建设的输电、变电、配电等供电设施建成后,其运行维护管理按什么确定?
点击查看答案
本题答案:(1)属于公用性质或占用公用线路规划走廊的,由供电企业统一管
本题解析:试题答案(1)属于公用性质或占用公用线路规划走廊的,由供电企业统一管理:供电企业应在交接前,与用户协商,就供电设施运行维护管理达成协议。对统一运行维护管理的公用供电设施,供电企业应保留原所有者在上述协议中确认的容量。
(2)属于用户专用性质,但不在公用变电站内的供电设施,由用户运行维护管理。如用户运行维护管理确有困难,可与供电企业协商,就委托供电企业代为运行维护管理有关事项签订协议。
(3)属于用户共用性质的供电设施,由拥有产权的用户共同运行维护管理。如用户共同运行维护管理确有困难,可与供电企业协商,就委托供电企业代为运行维护管理有关事项签订协议。
(4)在公用变电站内由用户投资建设的供电设备,如变压器、通信设备、开关、刀闸等,由供电企业统一经营管理。建成投运前,双方应就运行维护、检修、备品备件等项事宜签订交接协议。
(5)属于临时用电等其他性质的供电设施,原则上由产权所有者运行维护管理,或由双方协商确定,并签订协议。
191、填空题 《供电监管办法》规定,需要停电或者限电的,应当符合下列规定:因供电设施()需要停电的,供电企业应当提前7日公告停电区域、停电线路、停电时间。
点击查看答案
本题答案:计划检修
本题解析:试题答案计划检修
192、问答题 什么是变电站综合自动化?
点击查看答案
本题答案:变电站综合自动化是将变电站二次设备(包括测量仪表、信号系统、
本题解析:试题答案变电站综合自动化是将变电站二次设备(包括测量仪表、信号系统、继电保护、自动装置和远动装置等)经过功能的组合和优化设计,利用先进的计算机技术、现代电子技术、通信技术和信号处理技术,实现对全变电站的主要设备和输、配电线路的自动监视、测量、自动控制和微机保护,以及与调度通信等综合性的自动化功能。
193、问答题 阐述常规火电厂的基本生产过程。
点击查看答案
本题答案:将燃料送入锅炉,燃料在锅炉中燃烧,释放出大量的热能,水
本题解析:试题答案将燃料送入锅炉,燃料在锅炉中燃烧,释放出大量的热能,水经水泵引入锅炉中管道,吸收热量后成为高压、高温的蒸汽,经管道有控制地送入汽轮机,蒸汽在汽轮机内降压降温,其热能转换成汽轮机转轴旋转机械能,高速旋转的汽轮机转轴拖动发电机实现机械能转换为电能,发电机送出的电能由升压变压器升压后送入电力系统,而做功后的乏汽(汽轮机的排汽)进入凝汽器被冷却水冷却,凝结成水由给水泵重新打回锅炉,如此周而复始,不断生产出电能。
194、单项选择题 双杆式变压器台架适用容量()及以下变压器的安装。
A.800kVA
B.630kVA
C.500kVA
D.400kVA
点击查看答案
本题答案:D
本题解析:暂无解析
195、问答题 什么叫过电流继电器的动作电流、返回电流和返回系数?
点击查看答案
本题答案:能使电流继电器产生动作的最小电流,称为继电器的动作电流;能使
本题解析:试题答案能使电流继电器产生动作的最小电流,称为继电器的动作电流;能使电流继电器返回到原始位置的最大电流,称为继电器的返回电流;同一继电器的返回电流与动作电流的比值,称为电流继电器的返回系数。
196、问答题 《供电监管办法》规定:电力监管机构对供电企业办理用电业务的情况实施监管。供电企业答复供电方案的期限应当符合那些规定?
点击查看答案
本题答案:向用户提供供电方案的期限,自受理用户用电申请之日起,居民用户
本题解析:试题答案向用户提供供电方案的期限,自受理用户用电申请之日起,居民用户不超过3个工作日,其他低压供电用户不超过8个工作日,高压单电源供电用户不超过20个工作日,高压双电源供电用户不超过45个工作日。
197、填空题 供电企业应当依照《供电企业信息公开实施办法》等相关法律法规开展()工作,保障用户的知情权。
点击查看答案
本题答案:供电信息的公开的披露
本题解析:试题答案供电信息的公开的披露
198、填空题 《供电监管办法》规定,供电企业有下列情形之一的,由电力监管机构责令改正;拒不改正的,处()罚款,对直接负责的主管人员和其他直接责任人员,依法给予处分;构成犯罪的,依法追究刑事责任:拒绝或者阻碍电力监管机构及其从事监管工作的人员依法履行监管职责的;提供虚假或者隐瞒重要事实的文件、资料的;未按照国家有关电力监管规章、规则的规定公开有关信息的。
点击查看答案
本题答案:5万元以上50万元以下
本题解析:试题答案5万元以上50万元以下
199、填空题 供电监管办法》规定,供电企业办理用电业务的期限应当符合下列规定:向用户提供供电方案的期限,自受理用户用电申请之日起,()用户不超过3个工作日,()用户不超过8个工作日,()用户不超过20个工作日,()用户不超过45个工作日。
点击查看答案
本题答案:居民;其他低压供电;高压单电源供电;高压双电源供电
本题解析:试题答案居民;其他低压供电;高压单电源供电;高压双电源供电
200、填空题 城市居民客户端电压合格率不低于(),农网居民客户端电压合格率不低于()。
点击查看答案
本题答案:95%;90%
本题解析:试题答案95%;90%
题库试看结束后
微信扫下方二维码即可打包下载完整版《★动力与电气工程》题库
手机用户可保存上方二维码到手机中,在微信扫一扫中右上角选择“从相册选取二维码”即可。
题库试看结束后微信扫下方二维码即可打包下载完整版《动力与电气工程:电力工程》题库,分栏、分答案解析排版、小字体方便打印背记!经广大会员朋友实战检验,此方法考试通过率大大提高!绝对是您考试过关的不二利器!
手机用户可保存上方二维码到手机中,在微信扫一扫中右上角选择“从相册选取二维码”即可。
微信搜索关注"91考试网"公众号,领30元,获取公务员事业编教师考试资料40G