手机用户可
保存上方二维码到手机中,在
微信扫一扫中右上角选择“从
相册选取二维码”即可。
1、填空题 供电企业应当向申请用电的用户书面答复供电方案,向用户提供供电方案的期限应当符合:自受理之日起,居民用户不超过()工作日。
点击查看答案
本题答案:3
本题解析:试题答案3
2、问答题 民用建筑中380/220V配电系统一般设置哪些保护?
点击查看答案
本题答案:低压断路器保护和(或低压熔断器保护)、漏电保护。
本题解析:
试题答案低压断路器保护和(或低压熔断器保护)、漏电保护。
3、问答题 比较两种分段器的功能特点、动作原理及适用场合。
点击查看答案
本题答案:过流脉冲计数型分段器又称自动分段器,它是以检测线路电流来判断
本题解析:试题答案过流脉冲计数型分段器又称自动分段器,它是以检测线路电流来判断故障并进行分合闸操作的。它通常与电源侧的重合器或断路器配合使用。它不能用来开断短路电流,但它具有在一段时间内记忆前级开关设备开断故障电流动作次数的能力。当线路发生故障时,电源侧保护开关切断故障电流,分段器的记数装置开始记数,当达到预定的记忆次数后,在前级的重合器或断路器跳开故障线路的瞬间,过流脉冲计数型分段器自动跳开,使故障线路与系统隔离。若前级开关设备未达到预定的动作次数,过流脉冲计数型分段器不分断,并会在一定的复位时间后清零而恢复到预先整定的初始状态,为下一次故障做好准备。
电压—时间型分段器又称自动配电开关或重合分段器,它是凭借加电压或失电压的时间长短来控制其动作的,失电压后分闸,加电压后合闸或闭锁。
电压—时间型分段器有两套功能:一套功能应用于处于常闭状态的分段开关,主要用于辐射状网中;另一套功能应用于处于常开状态的分段开关,主要用于环状网中。这两套功能可以利用故障检测器底部的操作手柄相互切换。
4、单项选择题 以()为目标,开展电力需求侧管理和服务活动,减少客户用电成本,提高用电负荷率。
A、实现电力增供扩销
B、追求供用电双方利益共赢
C、实现全社会电力资源优化配置
D、树立供电企业形象
点击查看答案
本题答案:C
本题解析:暂无解析
5、单项选择题 合同谈判的主要内容不包括()。
A.工程的内容和范围的确认
B.合同价格条款、合同价格调整条款
C.施工组织计划
D.合同款支付方式的条款
点击查看答案
本题答案:C
本题解析:暂无解析
6、填空题 《国家电网公司供电服务规范》规定对产权不属于供电企业的电力设施进行维护和抢修实行()的原则。
点击查看答案
本题答案:有偿服务
本题解析:试题答案有偿服务
7、问答题 何谓负荷曲线?试述年最大负荷利用小时数和负荷系数的物理意义。
点击查看答案
本题答案:负荷曲线是表征电力负荷随时间变动情况的一种图形。
本题解析:试题答案负荷曲线是表征电力负荷随时间变动情况的一种图形。
年最大负荷利用小时数Tmax,是一个假想时间,在此时间内,用户以年最大负荷Pmax持续运行所消耗的电能恰好等于全年实际消耗的电能,年负荷曲线越平坦,Tmax值越大,年负荷曲线越陡;Tmax值越小。因此,Tmax,Tmax的大小说明了用户用电的性质,也说明了用户负荷曲线的大致趋势。
平均负荷与最大负荷的比值叫负荷系数,它是表征负荷变化规律的一个参数,其值愈大,说明负荷曲线愈平坦,负荷波动愈小。
8、问答题 阐述电气设备选择的一般条件。
点击查看答案
本题答案:按正常工作条件选择:电器的额定电压应不低于装置地点的电
本题解析:试题答案按正常工作条件选择:电器的额定电压应不低于装置地点的电网额定电压
;电气设备的长期允许工作电流应不小于该回路在各种合理运行方式下的最大持续工作电流
;还应考虑电器安装地点的环境条件,当气温、风速、温度、污秽等级、海拔高度、地震烈度和覆冰厚度等环境条件超过一般电器使用条件时,应采取措施。
按短路情况校验:短路电流通过电气设备时,将产生热效应及电动力效应,因此电气设备必须满足热稳定
以及动稳定
。
9、问答题 变电所常用操作电源有哪几种类型?各有什么特点?
点击查看答案
本题答案:变电所常用操作电源分为直流和交流两大类。
直
本题解析:试题答案变电所常用操作电源分为直流和交流两大类。
直流操作电源可分为由蓄电池供电的直流操作电源和由硅整流器供电的直流操作电源两种。由蓄电池供电的直流操作电源是一种与电力系统运行方式无关的独立电源系统,在发电厂和变电所发生故障甚至交流电压完全消失的情况下,仍能可靠工作,供电可靠性高,但运行维护工作量较大,使用寿命较短,价格较贵,并需要许多辅助设备,主要应用于发电厂和大型变电所,而在中小型变电所中多采用硅整流型直流操作电源。
交流操作电源具有投资小、接线简单可靠、运行维护方便等优点,但它不适用于较复杂的继电保护、自动装置及其他器二次回路等,广泛用于中小型变电所中采用手动操作或弹簧储能操作及继电保护采用交流操作的场合。
10、填空题 《供电服务规范》中规定,供电企业工作人员工作期间应当使用规范化文明用语、提倡使用()。
点击查看答案
本题答案:普通话
本题解析:试题答案普通话
11、填空题 《供电营业规则》规定,无功电力应就地平衡。用户应在提高用电自然功率因数的基础上,按有关标准设计和安装(),并做到随其负荷和电压变动及时投入或切除,防止无功电力倒送。
点击查看答案
本题答案:无功补偿设备
本题解析:试题答案无功补偿设备
12、问答题 防雷装置有哪些?工厂架空线路的防雷措施有哪些?
点击查看答案
本题答案:防雷装置有避雷针、避雷线、避雷器。一般对35kV线路可
本题解析:试题答案防雷装置有避雷针、避雷线、避雷器。一般对35kV线路可以采用以下的防雷保护措施:(1)架空线路应增加绝缘子个数,采用较高等级的绝缘子,或顶相用针式而下面两相改用悬式绝缘子,提高反击电压水平。(2)部分架空线装设避雷线。(3)改进杆塔结构,譬如当应力允许时,可以采用瓷横担等。(4)减少接地电阻,以及采用拉线减少杆塔电感。(5)采用电缆供电。而对6~10kV架空线,防雷方式可利用钢筋混凝土的自然接地,必要时可采用双电源供电和自动重合闸。
13、填空题 国家电网公司供电服务规范》规定严格执行国家规定的()政策及()标准。严禁利用各种方式和手段变相扩大收费范围或提高收费标准。
点击查看答案
本题答案:电费电价;业务收费
本题解析:试题答案电费电价;业务收费
14、填空题 自备应急电源是指由用户自行配备的,在正常供电电源全部中断的情况下,能满足用户()可靠供电的独立电源。
点击查看答案
本题答案:保安负荷
本题解析:试题答案保安负荷
15、填空题 列举四种无汇流母线的电气设备连接方式:()、外桥接线、()、角形接线。
点击查看答案
本题答案:单元接线;内桥接线
本题解析:试题答案单元接线;内桥接线
16、多项选择题 以下可称为新能源发电的是()。
A、潮汐发电
B、风力发电
C、生物质能发电
D、水力发电
点击查看答案
本题答案:A, B, C
本题解析:暂无解析
17、单项选择题 《供电监管办法》规定,对用户受电工程启动竣工检验的期限,自接到用户受电装置竣工报告和检验申请之日起,低压供电用户不超过()个工作日。
A.3
B.5
C.7
D.10
点击查看答案
本题答案:B
本题解析:暂无解析
18、填空题 《供电监管办法》规定,对于违反本办法并造成严重后果的供电企业主管人员或者直接责任人员,电力监管机构可以建议将其(),3年内不得担任供电企业同类职务。
点击查看答案
本题答案:调离现任岗位
本题解析:试题答案调离现任岗位
19、问答题 在用户受电工程竣工验收中,对检验不合格或者发现用户受电设施存在故障隐患的,供电企业应如何处理?
点击查看答案
本题答案:对检验不合格或者发现用户受电设施存在故障隐患的,供电企
本题解析:试题答案对检验不合格或者发现用户受电设施存在故障隐患的,供电企业应当以书面形式一次性告知用户,并指导其制定有效的解决方案,待用户按有关规定改正后予以再次检验,直至合格。
20、问答题 阐述常规火电厂的基本生产过程。
点击查看答案
本题答案:将燃料送入锅炉,燃料在锅炉中燃烧,释放出大量的热能,水
本题解析:试题答案将燃料送入锅炉,燃料在锅炉中燃烧,释放出大量的热能,水经水泵引入锅炉中管道,吸收热量后成为高压、高温的蒸汽,经管道有控制地送入汽轮机,蒸汽在 汽轮机内降压降温,其热能转换成汽轮机转轴旋转机械能,高速旋转的汽轮机转轴拖动发电机实现机械能转换为电能,发电机送出的电能由升压变压器升压后送入电力系统,而做功后的乏汽(汽轮机的排汽)进入凝汽器被冷却水冷却,凝结成水由给水泵重新打回锅炉,如此周而复始,不断生产出电能。
21、问答题 什么叫“接地”?
点击查看答案
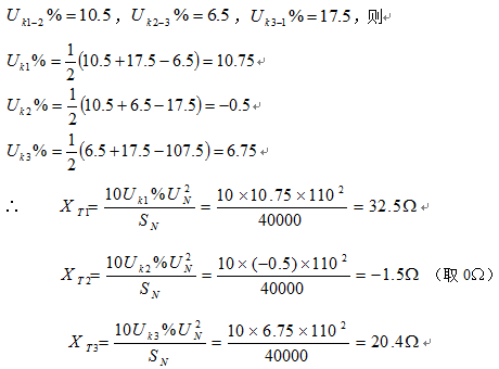
本题答案:电气设备某部分与土壤之间作良好的电气连接叫接地。
本题解析:
试题答案电气设备某部分与土壤之间作良好的电气连接叫接地。
22、填空题 系统中所有电力用户的用电设备所消耗的电功率总和就是电力系统的负荷,亦称电力系统的综合用电负荷。电力系统负荷加上电力网的功率损耗就是各发电厂应该供给的功率,称为电力系统的供电负荷,在此基础上再加上发电厂厂用电消耗的功率就是各发电厂应该发出的功率,称为()。
点击查看答案
本题答案:电力系统的发电负荷
本题解析:试题答案电力系统的发电负荷
23、问答题 叙述用标幺值计算无穷大功率电源供电的短路电流的步骤。
点击查看答案
本题答案:(1)取功率基准值,并取各级电压基准值等于该级的平均额
本题解析:试题答案(1)取功率基准值,并取各级电压基准值等于该级的平均额定电压;
(2)计算各元件的电抗标么值,并绘制出等值电路;
(3)网络化简,求出从电源至短路点之间的总电抗标么值;
(4)计算出短路电流周期分量有效值(也就是稳态短路电流),再还原成有名值;
(5)计算出短路冲击电流和短路最大有效值电流;
(6)按要求计算出其他量。
24、问答题 某10kV电网,架空线路总长度70km,电缆线路总长度为16km。试求此中性点不接地的电力系统发生单相接地时的接地电容电流,并判断此系统的中性点需不需要改为经消弧线圈接地。
点击查看答案
本题答案:由于
试题答案由于
因此,不需要改为经消弧线圈接地。
25、问答题 电力变压器的主要作用是什么?
点击查看答案
本题答案:电力变压器的主要作用是升高或降低电压,另外还起到将不同
本题解析:试题答案电力变压器的主要作用是升高或降低电压,另外还起到将不同电压等级电网相联系的作用。
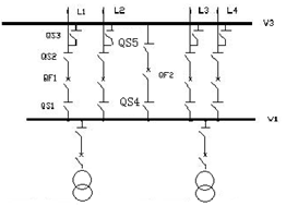
26、填空题 《供电监管办法》规定,电力监管机构对供电企业公平、无歧视开放供电市场的情况实施监管。供电企业不得违反市场竞争规则,以()损害竞争对手的商业信誉或者排挤竞争对手
点击查看答案
本题答案:不正当手段
本题解析:试题答案不正当手段
27、填空题 衡量电能质量的主要指标是:电压、()、波形。
点击查看答案
本题答案:频率
本题解析:试题答案频率
28、单项选择题 双杆式变压器台架适用容量()及以下变压器的安装。
A.800kVA
B.630kVA
C.500kVA
D.400kVA
点击查看答案
本题答案:D
本题解析:暂无解析
29、问答题 光纤通信有哪些特点?
点击查看答案
本题答案:光纤通信与其他通信方式相比,具有传输频带宽、通信容量大
本题解析:试题答案光纤通信与其他通信方式相比,具有传输频带宽、通信容量大、传输速率高、传输损耗小、误码率低、可靠性高、不受电磁干扰、组网灵活方便等优点。
30、问答题 某10/0.4kV车间变电所,总计算负荷为980kVA,其中一、二类负荷700kVA。试初步选择该车间变电所变压器的台数和容量。
点击查看答案
本题答案:
试题答案
31、填空题 《供电监管办法》规定,用电设施产生谐波、冲击负荷影响供电质量或者干扰电力系统安全运行的,供电企业应当及时告知用户采取有效措施予以消除;用户不采取措施或者采取措施不力,产生的谐波、冲击负荷仍超过()的,供电企业可以按照国家有关规定()或者()。
点击查看答案
本题答案:国家标准;拒绝其接入电网;中止供电
本题解析:试题答案国家标准;拒绝其接入电网;中止供电
32、填空题 《供电服务规范》中规定,自收到用户变更的文件和资料起,审核后的受电工程设计文件和有关资料如有变更,供电企业复核的期限应当符合:低压供电用户一般不超过();高压供电用户一般不超过()。
点击查看答案
本题答案:5个工作日;15个工作日
本题解析:试题答案5个工作日;15个工作日
33、问答题 110kV变电站,有两台主变,其中110kV有4回出线,采用单母线分段接线,请用规定的图形符号、文字符号画出110kV电压等级接线图,并说明断路器和隔离开关的作用。
点击查看答案
本题答案:110kV电压等级接线图如下:
本题解析:试题答案110kV电压等级接线图如下:

断路器的作用:有灭弧装置承担1)接通或断开正常的负荷电路;2)当故障时,自动断开故障电路。
隔离开关的作用:没有灭弧装置但有肉眼可见的明显断口,为隔离电源的作用。
34、填空题 电缆线路在爆炸危险环境内,电缆间不应()。
点击查看答案
本题答案:直接连接
本题解析:试题答案直接连接
35、问答题 断路器的控制回路应满足哪些基本要求?
点击查看答案
本题答案:断路器的控制回路应满足以下基本要求:①断路器既能在远方由控制
本题解析:试题答案断路器的控制回路应满足以下基本要求:①断路器既能在远方由控制开关进行手动跳、合闸,又能在继电保护和自动装置作用下自动跳、合闸;②断路器操作机构的跳、合闸线圈是短时通电设计制造的,当断路器跳闸或合闸完成后,应能自动切断跳闸或合闸回路,防止因通电时间过长而烧坏线圈;③控制回路应有指示断路器跳闸与合闸的位置信号,而且能够区分自动跳闸或合闸与手动跳闸或合闸的位置信号;④应有防止断路器多次连续跳、合闸的跳跃闭锁装置;⑤应有指示断路器控制回路完好性的监视信 号;⑥在满足以上基本要求的前提下,应力求简单、可靠。
36、问答题 简单闭式网分为哪些类网络?
点击查看答案
本题答案:简单的闭式网可分为两端供电网络和环形网络两类。
本题解析:试题答案简单的闭式网可分为两端供电网络和环形网络两类。
37、单项选择题 受理客户咨询时,对不能当即答复的,应说明原因,并在()个工作日内回复。
A.1
B.2
C.3
D.4
点击查看答案
本题答案:C
本题解析:暂无解析
38、问答题 互感器在运行时的注意事项有哪些?
点击查看答案
本题答案:互感器在运行时的注意事项有:
二次侧一端有效接地
本题解析:试题答案互感器在运行时的注意事项有:
二次侧一端有效接地;
注意接线极性;
电流互感器二次侧不允许开路;
电压互感器二次侧不允许短路。
39、填空题 《供电服务规范》明确:供电企业应当按照国家有关规定,履行电力()义务。
点击查看答案
本题答案:社会普遍服务
本题解析:试题答案社会普遍服务
40、单项选择题 零售网点转型的“五岗位一角色”是指网点经理、柜员交易主管、高级柜员、普通柜员、()和大堂经理。
A.个人客户经理
B.会计主管
C.个人业务顾问
点击查看答案
本题答案:C
本题解析:暂无解析
41、问答题 国家电网公司供电服务“十项承诺”中装表接电期限?
点击查看答案
本题答案:装表接电期限:受电工程检验合格并办结相关手续后,居民客
本题解析:试题答案装表接电期限:受电工程检验合格并办结相关手续后,居民客户3个工作日内送电,非居民客户5个工作日内送电。
42、填空题 高压断路器选择及检验的内容包括型式选择、()、额定电流选择、开断电流校验、热稳定校验、动稳定校验。
点击查看答案
本题答案:额定电压选择
本题解析:试题答案额定电压选择
43、单项选择题 劳动保护就是保护劳动者在劳动生产过程中的()而进行的管理。
A、安全和经济
B、安全和健康
C、安全和培训
点击查看答案
本题答案:B
本题解析:暂无解析
44、问答题 备用电源自动投入装置的作用是什么?
点击查看答案
本题答案:备用电源自动投入装置的作用是当工作电源不论任何原因发生
本题解析:试题答案备用电源自动投入装置的作用是当工作电源不论任何原因发生故障时,自动、快速地将备用电源投入,从而保证重要负荷的不间断供电,提高供电的可靠性。
45、填空题 因()引起停电,客户询问时,应告知客户停电原因,并主动致歉。
点击查看答案
本题答案:输配电设备事故、检修
本题解析:试题答案输配电设备事故、检修
46、问答题 对自动重合闸的基本要求是什么?
点击查看答案
本题答案:三相一次自动重合闸装置应满足以下基本要求:①除遥控变电所外,
本题解析:试题答案三相一次自动重合闸装置应满足以下基本要求:①除遥控变电所外,应采用控制开关手柄位置与断路器位置“不对应原则”启动ARD,即ARD的起动条件为“SA在‘合闸后’位置,而QF在‘跳闸’位置”;②手动跳闸时不应重合,即当运行人员手动或遥控跳开断路器QF时,ARD不应起动;③手动合闸于故障线路不重合,即当手动合闸于故障线路时,继电保护动作使断路器跳闸后,ARD不应动作;④ARD只能动作一次,以避免将断路器多次重合到永久性故障上去;⑤ARD动作后应能自动复归,准备再次动作;⑥ARD的动作时间应尽可能短,以减少临时停电时间,一般为0.5~1.5s;⑦ARD应能实现重合闸“后加速”或“前加速”,以便与继电保护配合。
47、填空题 《供电企业信息公开实施办法》供电企业信息公开的内容,分为()公开的信息和()公开的信息。
点击查看答案
本题答案:主动;依申请
本题解析:试题答案主动;依申请
48、单项选择题 中阻沆型母线差动保护在母线内部故障时,保护装置整组动作时间不大于()ms。
A.5
B.10
C.20
D.30
点击查看答案
本题答案:B
本题解析:暂无解析
49、单项选择题 《供电监管办法》规定,对用户受电工程启动中间检查的期限,自接到用户申请之日起,高压供电用户不超过()个工作日。
A.1
B.3
C.5
D.10
点击查看答案
本题答案:C
本题解析:暂无解析
50、单项选择题 国家电网公司《供电服务规范》中城市居民客户端电压合格率不低于()。
A.90%
B.95%
C.96%
D.98%
点击查看答案
本题答案:B
本题解析:暂无解析
51、填空题 调整发电机组输出的有功功率用来调整电力系统运行的()。
点击查看答案
本题答案:频率
本题解析:试题答案频率
52、问答题 《供电服务规范》中的诚信服务规范有哪些内容?
点击查看答案
本题答案:(1)公布服务承诺、服务项目、服务范围、服务程序、收费
本题解析:试题答案(1)公布服务承诺、服务项目、服务范围、服务程序、收费标准和收费依据,接受社会与客户的监督;
(2)从方便客户出发,合理设置供电服务营业网点或满足基本业务需要的代办点,并保证服务质量;
(3)根据国家有关法律法规,本着平等、自愿、诚实信用的原则,以合同形式明确供电企业与客户双方的权利和义务,明确产权责任分界点,维护双方的合法权益;
(4)严格执行国家规定的电费电价政策及业务收费标准,严禁利用各种方式和手段变相扩大收费范围或提高收费标准;
(5)聘请供电服务质量监督员,定期召开客户座谈会并走访客户,听取客户意见,改进供电服务工作;
(6)经常开展安全供用电宣传;
(7)以实现全社会电力资源优化配置为目标,开展电力需求侧管理和服务活动,减少客户用电成本,提高用电负荷率。
53、问答题
输电网潮流采用计算机计算时,节点一般如何分类?说明各类节点特征。
点击查看答案
本题答案:可分PQ节点、PV节点和平衡节点三类。
PQ
本题解析:试题答案可分PQ节点、PV节点和平衡节点三类。
PQ节点:节点的有功P和无功功率Q是给定的,节点电压幅值和相角(U、&)是待求量,通常变电所母线属于此类;
PV节点:节点的有功功率P和电压幅值U是给定的,节点无功和电压相角(Q、&)是待求量,当节点处有足够的可调无功量,可以维持给定电压幅值时,该节点可选为PV节点,一般为有一定无功储备的发电厂和具有可调无功电源的变电所母线;
平衡节点:承担系统有功平衡的节点,一般选主调频发电厂。
54、填空题 《供电监管办法》规定,电力监管机构对供电企业公平、无歧视开放供电市场的情况实施监管。供电企业不得对用户受电工程指定()、()和()。
点击查看答案
本题答案:设计单位;施工单位;设备材料供应单位
本题解析:试题答案设计单位;施工单位;设备材料供应单位
55、问答题 《供电服务规范》中规定,当用户向供电企业提出用电计量装置检验申请时应如何处理?
点击查看答案
本题答案:当用户向供电企业提出用电计量装置检验申请并交付验表费后
本题解析:试题答案当用户向供电企业提出用电计量装置检验申请并交付验表费后,供电企业应当按有关规定进行检验,并将检验结果通知用户。如用电计量装置的误差在允许范围内,验表费不予退还;如误差超出允许范围,供电企业除退还验表费外,还应按有关规定退补电费。用户对检验结果有异议时,可向供电企业上级计量检定机构申请检定。
56、问答题 高压断路器的作用是?隔离开关与其配合的原则是什么?
点击查看答案
本题答案:高压断路器具有灭弧装置,可以开断或闭合负荷电流和开断短路电流
本题解析:试题答案高压断路器具有灭弧装置,可以开断或闭合负荷电流和开断短路电流,可用来作为接通或切断电路的控制电器。隔离开关与其配合的原则是:先通后断。即停止供电时,隔离开关相对断路器“先通后断”,母线隔离开关相对线路隔离开关也是“先通后断”。
57、问答题 什么叫操作电源?
点击查看答案
本题答案:操作电源是用来对断路器的分、合闸回路,继电保护装置以及其他信
本题解析:试题答案操作电源是用来对断路器的分、合闸回路,继电保护装置以及其他信号回路供电的电源。
58、单项选择题 《供电监管办法》规定,供电企业应当严格执行国家电价政策,按照国家核准电价或者市场交易价,依据()依法认可的用电计量装置的记录,向用户计收电费。
A.计量检定机构
B.供电企业
C.计量检定机构和供电企业
D.计量检定机构或供电企业
点击查看答案
本题答案:A
本题解析:暂无解析
59、问答题 按保护接地的方式不同,低压配电系统可分为哪几类?
点击查看答案
本题答案:按保护接地的方式不同,低压配电系统可分为TN系统、TT系统和
本题解析:试题答案按保护接地的方式不同,低压配电系统可分为TN系统、TT系统和IT系统三类。
60、单项选择题 《供电监管办法》规定,35千伏非专线供电用户或者66千伏供电用户、10(6、20)千伏供电用户,每10000千瓦负荷选择具有代表性的用户设置()个以上电压监测点,所选用户应当包括对供电质量有较高要求的重要电力用户和变电站10(6、20)千伏母线所带具有代表性线路的末端用户。
A.1
B.2
C.3
D.5
点击查看答案
本题答案:A
本题解析:暂无解析
61、填空题 某企业由一台10/0.4kV变压器供电,变压器高压侧有三个分接头分别为:0%、+5%、-5%,当接于0%分接头时,该变压器的低压侧电压为360V,该变压器分接头应接在()时才能保证低压侧的电压质量。
点击查看答案
本题答案:-5%
本题解析:试题答案-5%
62、填空题 因不可抗力、紧急避险或者确有()行为的,可以立即中止供电。
点击查看答案
本题答案:窃电
本题解析:试题答案窃电
63、问答题
下图是典型并网风力机的剖面图请说明其主要部件的功能和作用。

点击查看答案
本题答案:叶轮的作用是将风能转换为机械能,低速转动的风轮通过传动
本题解析:试题答案叶轮的作用是将风能转换为机械能,低速转动的风轮通过传动系统由升速齿轮箱增速,以便与发电机运转所需要的转速相匹配并将动力传递给发电机。并由高大的塔架支撑,以获得更多的风能。由于风向经常变化,为了有效地利用风能,必须要有对风装置(偏航系统),它根据风向传感器测得的风向信号,由控制器控制偏航电机,驱动与塔架上大齿轮咬合的小齿轮转动,使机舱始终对准来风的方向。由于风能是随机性的,需要通过控制系统来实现对风力发电机的起动、调节、停机、故障保护以及对电能用户所接负荷的接通调整及断开等。
64、填空题 我国110kV及以上系统,中性点运行方式采用()。
点击查看答案
本题答案:直接接地
本题解析:试题答案直接接地
65、单项选择题 为了加强供电监管,规范供电行为,维护供电市场秩序,保护()的合法权益和社会公共利益,根据《电力监管条例》和国家有关规定,制定了《供电监管办法》。
A.供电企业
B.电力企业
C.电力使用者
D.用电企业
点击查看答案
本题答案:C
本题解析:暂无解析
66、单项选择题 大型变压器无载调压,每两个相邻接头的电压差,一般为额定电压的()。
A、10%
B、5%
C、2.5%
点击查看答案
本题答案:C
本题解析:暂无解析
67、问答题 简述变电站综合自动化系统的基本功能。
点击查看答案
本题答案:变电站综合自动化系统主要分为微机监控和微机保护两大系统。微机
本题解析:试题答案变电站综合自动化系统主要分为微机监控和微机保护两大系统。微机监控系统主要是应用微机控制技术,替代现行的人工监控方式,实现运行调度的自动化和微机化;而微机保护系统则是应用微机控制技术,替代传统的机电型和电子型模拟式继电保护装置,以获得更好的工作特性和更高的技术指标。此外,变电站综合自动化系统还有远动系统功能,电压、无功综合控制系统功能,小电流接地选线功能,低频减载功能和备用电源自投功能等。
68、填空题 如发现重要用户的用电设施存在(),应当及时告知用户,并将排查和治理情况及时报政府有关部门备案。
点击查看答案
本题答案:安全隐患
本题解析:试题答案安全隐患
69、填空题 接到用户报修后,如判断属用户内部故障,应当()用户排查故障。
点击查看答案
本题答案:积极引导
本题解析:试题答案积极引导
70、填空题 供电企业对用户受点工程不得指定设计单位、()和设备材料供应单位。
点击查看答案
本题答案:施工单位
本题解析:试题答案施工单位
71、问答题 实现变电站综合自动化的优点是什么?
点击查看答案
本题答案:实现变电站综合自动化的优点是:在线运行的可靠性高;供电质量高
本题解析:试题答案实现变电站综合自动化的优点是:在线运行的可靠性高;供电质量高;占地面积小;变电站运行管理的自动化水平高。
72、单项选择题 根据《国家电网公司供电服务规范》规定,拆回的电能计量装置应在表库至少存放(),以便客户提出异议时进行复核。
A.1个月
B.2个月
C.3个月
D.6个月
点击查看答案
本题答案:A
本题解析:暂无解析
73、填空题 《供电营业规则》规定,用户需要备用、保安电源时,供电企业应按其()、()和(),与用户协商确定。
点击查看答案
本题答案:负荷重要性;用电容量;供电的可能性
本题解析:试题答案负荷重要性;用电容量;供电的可能性
74、单项选择题 《供电监管办法》规定,供电企业违反国家有关供电监管规定的,电力监管机构应当依法查处并予以记录;造成重大损失或者重大影响的,电力监管机构可以对供电企业的()依法提出处理意见和建议。
A.主管人员
B.直接责任人员
C.主管人员和其他直接责任人员
D.有关人员
点击查看答案
本题答案:C
本题解析:暂无解析
75、填空题 因用户违法用电或者拖欠电缆,供电企业需对用户中止供电的,应在停电前()天内,将停电通知书送达用户,对重要用户的停电,还应将停电通知书报送同级电力管理部门。
点击查看答案
本题答案:3~7
本题解析:试题答案3~7
76、问答题 变电所有哪些防雷措施?
点击查看答案
本题答案:变电所内的设备和建筑物必须有完善的直击雷防护装置,通常采用独
本题解析:试题答案变电所内的设备和建筑物必须有完善的直击雷防护装置,通常采用独立避雷针或避雷线;对于雷电侵入波的过电压保护是利用阀型避雷器以及与阀型避雷器相配合的进线段保护。
77、填空题 《国家电网公司供电服务规范》规定在尊重客户、有利于公平结算的前提下,供电企业可采用客户乐于接受的()、结算和()进行抄表收费工作。
点击查看答案
本题答案:技术手段;付费方式
本题解析:试题答案技术手段;付费方式
78、单项选择题 基础上拔稳定主要靠基础自重,且基础自重大于上拔力标准值的基础叫做()。
A.扩大式基础
B.独立式基础
C.原状土基础
D.重力式基础
点击查看答案
本题答案:D
本题解析:暂无解析
79、问答题 某降压变电所装有一台Y,yn0联结的S9—800/10型电力变压器,其二次侧(380V)的有功计算负荷为520kW,无功计算负荷为430kvar,试求此变电所一次侧的计算负荷和功率因数。如果功率因数未达到0.9,问应在此变电所低压母线上装多大并联电容器容量才能达到要求?
点击查看答案
本题答案:
试题答案

80、问答题 请述国家电网公司制定《国家电网公司供电服务规范》的目的和适用范围?
点击查看答案
本题答案:目的是为坚持“人民电业为人民”
本题解析:试题答案目的是为坚持“人民电业为人民”的服务宗旨,认真贯彻“优质、方便、规范、真诚”的服务方针,不断提高供电服务质量,规范供电服务行为,提升供电服务水平,并接受全社会的监督,制定本规范。适用于国家电网公司所属各电网经营企业和供电企业。
81、名词解释 电压不平衡度
点击查看答案
本题答案:把电压负序分量与正序分量有效值之比称为不平衡度,即:<
本题解析:试题答案把电压负序分量与正序分量有效值之比称为不平衡度,即:
82、填空题 供电企业应当严格执行国家()政策,加强需求侧管理,向用户宣传并指导用户做好安全用电、节约用电和科学用电工作。
点击查看答案
本题答案:节能减排
本题解析:试题答案节能减排
83、问答题 某变电所装有一台S9—3150/35型的三相双绕组变压器,额定电压为35/10.5kV,试求变压器的阻抗及导纳参数,并作出其等效电路。
点击查看答案
本题答案:
试题答案
84、单项选择题 构成电力网的主要设备有()。
A.变压器,用户
B.变压器,电力线路
C.电缆,架空线
D.电阻,电容
点击查看答案
本题答案:B
本题解析:暂无解析
85、单项选择题 双母线接线形式的变电站,当母联断路器断开运行时,如一条母线发生故障,对于母联电流相位比较式母差保护会()。
A.仅选择元件动作
B.仅差动元件动作
C.差动元件和选择元件均动作
D.差动元件和选择元件均不动作
点击查看答案
本题答案:B
本题解析:暂无解析
86、填空题 《供电服务规范》中规定,用电检查人员在执行用电检查任务时,应当为用户(),不得在检查现场()进行电工作业。
点击查看答案
本题答案:保密;替代用户
本题解析:试题答案保密;替代用户
87、问答题 Dyn11接线配电变压器和Yyn0接线配电变压器相比较有哪些优点?
点击查看答案
本题答案:Dyn11接线变压器能有效地抑制3的整数倍高次谐波电流的影响
本题解析:试题答案Dyn11接线变压器能有效地抑制3的整数倍高次谐波电流的影响;Dyn11接线变压器的零序电抗比Yyn0接线变压器小得多,更有利于低压侧单相接地短路故障的切除;Dyn11接线变压器承受单相不平衡负荷的能力远比Yyn0接线的变压器大。
88、单项选择题 小电流接地系统所用的电气设备相对地绝缘水平应按()考虑。
A、相电压
B、线电压
C、过电压
D、零序电压
点击查看答案
本题答案:B
本题解析:暂无解析
89、问答题 电力系统中电压调整的的主要措施有哪些?
点击查看答案
本题答案:电力系统中电压调整的的主要措施有;
通过调节
本题解析:试题答案电力系统中电压调整的的主要措施有;
通过调节发电机励磁电流调压;
改变变压器高中压侧分接头从而改变变压器变比进行调压;
通过无功补偿减少电压损失来调压;
通过改变线路参数减少电压损失进行调压。
90、单项选择题 《供电监管办法》规定,供电企业应当对用户受电工程建设提供必要的业务咨询和技术标准咨询;发现用户受电设施存在严重威胁电力系统安全运行和人身安全的隐患时,应当指导其()消除,在隐患消除前不得送电。
A.立即
B.定期
C.尽快
D.现场
点击查看答案
本题答案:A
本题解析:暂无解析
91、填空题 《供电监管办法》规定,对用户受电工程启动中间检查的期限,自接到用户申请之日起,()不超过3个工作日,()不超过5个工作日。
点击查看答案
本题答案:低压供电用户;高压供电用户
本题解析:试题答案低压供电用户;高压供电用户
92、单项选择题 铅蓄电池在运行中,正常状态下负极板的颜色应为()。
A、浅灰色
B、灰色
C、深灰色
点击查看答案
本题答案:A
本题解析:暂无解析
93、单项选择题 线路任何带电部分与接地部分的最小距离叫做()。
A.对地距离
B.间隙
C.放电距离
D.爬距
点击查看答案
本题答案:D
本题解析:暂无解析
94、填空题 因()、紧急避险或者确有窃电行为的,可以立即中止供电。
点击查看答案
本题答案:不可抗力
本题解析:试题答案不可抗力
95、问答题 大接地电流系统中发生接地故障时有哪些特点?
点击查看答案
本题答案:故障点的零序电压最高,离故障点越远,零序电压越低,变压器中性
本题解析:试题答案故障点的零序电压最高,离故障点越远,零序电压越低,变压器中性点接地处的零序电压为0;零序电流的分布与中性点接地的位置和数目有关;故障点的零序功率最大。
96、填空题 供电企业信息公开实施办法》()部门及其派出机构对供电企业信息公开的情况实施监管
点击查看答案
本题答案:国务院能源主管
本题解析:试题答案国务院能源主管
97、问答题 什么叫计算负荷?确定计算负荷的意义是什么?
点击查看答案
本题答案:计算负荷是根据已知的用电设备安装容量确定的、用以按发热条件选
本题解析:试题答案计算负荷是根据已知的用电设备安装容量确定的、用以按发热条件选择导体和电气设备时所使用的一个假想负荷,计算负荷产生的热效应与实际变动负荷产生的热效应相等。
确定计算负荷时为正确选择供配电系统中的导线、电缆、开关电器、变压器等提供技术参数。
98、问答题 馈线自动化有哪两种实现方式?比较它们的实现方法和优缺点。
点击查看答案
本题答案:馈线自动化有当地控制方式和远方控制方式两种实现方式。当地控制
本题解析:试题答案馈线自动化有当地控制方式和远方控制方式两种实现方式。当地控制方式是依靠智能配电开关设备(重合器和分段器等)间的相互配合来实现故障区域自动隔离和健全区域自动恢复供电的功能;远方控制方式是通过通信网络及配电子站把户外分段开关处的柱上FTU和配电网控制中心的SCADA计算机系统连接起来,由计算机系统完成故障定位,然后以遥控方式隔离故障区域,恢复非故障区域供电。
当地控制方式具有结构简单,建设费用低,不需要建设通信网络,不存在电源提取问题等优点,但它具有以下缺点:只在线路发生故障时起作用,正常运行时不能起监控作用,因而不能优化运行方式;调整运行方式后,需要重新到现场修改元件整定值;恢复健全区段供电时,无法采取安全和最佳措施;需要经过多次重合,对设备的冲击大。
远方控制方式具有以下优点:在故障时隔离故障区域,正常时监控配网运行,可以优化运行方式,实现安全经济运行;适应灵活的运行方式;恢复健全区段供电时,可以采取安全和最佳措施;可以和GIS、MIS等联网,实现全局信息化。但它具有结构复杂,建设费用高,需要建设通信网络,存在电源提取问题等缺点。
99、问答题
何谓正序等效定则?如何应用它来计算各种不对称短路?
点击查看答案
本题答案:在简单不对称短路的情况下,短路点的正序电流与在短路点每
本题解析:试题答案在简单不对称短路的情况下,短路点的正序电流与在短路点每一相中接入附加电抗
而发生三相短路的电流相等,即
,这就是正序等效定则。
各种不对称故障时短路电流的绝对值
为:
100、问答题 《供电服务规范》中,公用电网谐波电压(相电压)限值是如何规定的?
点击查看答案
本题答案:(1)110kV电网电压总谐波畸变率不超过2.0%,奇
本题解析:试题答案(1)110kV电网电压总谐波畸变率不超过2.0%,奇次谐波电压含有率不超过1.6%,偶次谐波电压含有率不超过0.8%;
(2)35kV电网电压总谐波畸变率不超过3.0%,奇次谐波电压含有率不超过2.4%,偶次谐波电压含有率不超过1.2%;
(3)10kV电网电压总谐波畸变率不超过4.0%,奇次谐波电压含有率不超过3.2%,偶次谐波电压含有率不超过1.6%;
(4)0.38kV电网电压总谐波畸变率不超过5.0%,奇次谐波电压含有率不超过4.0%,偶次谐波电压含有率不超过2.0%。
101、单项选择题 男性,45岁。反复胸闷、心悸、端坐呼吸、胸腔稠液半年。查体:呼吸短促,两肺广泛细湿啰音,心浊音界扩大,心率100次/分,呈舒张期奔马律,偶发前期收缩。X线胸片示心胸比率0.65,两肺水肿。心电图示完全f生左束支传导阻滞,偶见室性期前收缩。超声心动图提示左心室明显增大,舒张末期内径70mm,左室整体运动减弱,射血分数(EF)为24%,缩短分数(FS)为12%。
给予常规强心、利尿、扩血管药物等治疗,疗效不好。患者仍反复出现左心衰并逐步加剧,需用多巴胺、多巴酚丁胺等维持,生活不能自理。此时,治疗最好采取().
A.主动脉气囊反搏
B.离心泵左心辅助转流
C.同种异体原位心脏移植
D.继续药物治疗
E.以上都不是
点击查看答案
本题答案:C
本题解析:暂无解析
102、问答题 功率因数低的不良影响有哪些?如何提高企业的自然功率因数?
点击查看答案
本题答案:功率因数低将会引起线路的总电流增大,使供电网络中的功率
本题解析:试题答案功率因数低将会引起线路的总电流增大,使供电网络中的功率损耗和电能损耗增大;使供电网络的电压损失增大,影响负荷端的电压质量;使供配电设备的容量不能得到充分利用,降低了供电能力;使发电机的出力下降,发电设备效率降低,发电成本提高。
提高企业的自然功率因数的方法有:正确选用感应电动机的型号和容量;限制感应电动机的空载运行;提高感应电动机的检修质量;合理使用变压器;感应电动机同步化运行。
103、问答题 什么叫过电流继电器的动作电流、返回电流和返回系数?
点击查看答案
本题答案:能使电流继电器产生动作的最小电流,称为继电器的动作电流;能使
本题解析:试题答案能使电流继电器产生动作的最小电流,称为继电器的动作电流;能使电流继电器返回到原始位置的最大电流,称为继电器的返回电流;同一继电器的返回电流与动作电流的比值,称为电流继电器的返回系数。
104、填空题 《供电营业规则》规定,用户应根据确定的()进行受电工程设计。
点击查看答案
本题答案:供电方案
本题解析:试题答案供电方案
105、问答题 为什么说当电力系统无功功率不充足时仅靠改变变压器变比分按头来调压并不能改变系统的电压水平?
点击查看答案
本题答案:通过调分接头实质是改变了电力网的无功分布,只能改善局部
本题解析:试题答案通过调分接头实质是改变了电力网的无功分布,只能改善局部电压水平,同时却使系统中另个的某些局部电压水平变差并不能改变系统无功不足的状况因此就全系统总体来说并不能改变系统的电压水平。
106、单项选择题 通常所说的太阳能热发电指的是()。
A、太阳热能直接发电
B、太阳热能间接发电
C、光伏发电
点击查看答案
本题答案:B
本题解析:暂无解析
107、填空题 电力系统是电能的生产、输送、分配和消费的各个环节组成的一个整体。其中输送和分配电能的部分称为电力网。若把水电厂、火电厂的动力部分也包括进来,就称为()。
点击查看答案
本题答案:动力系统
本题解析:试题答案动力系统
108、单项选择题 需要加电压闭锁的母差保护,所加电压闭锁环节应加在()。
A.母差各出口回路
B.母联出口
C.母差总出口
点击查看答案
本题答案:A
本题解析:暂无解析
109、问答题 计算负荷是什么,准确进行负荷计算 的意义?
点击查看答案
本题答案:计算负荷是指通过负荷的统计计算求出的、用来按发热条件选择供电
本题解析:试题答案计算负荷是指通过负荷的统计计算求出的、用来按发热条件选择供电系统中各元件的负荷值。计算负荷是供电设计计算的基本依据,计算准确与否直接影响到电器和导体的选择是否经济合理。如计算负荷确定过大,将使电器和导体选择过大,造成投资和有色金属的浪费;如计算负荷确定过小,又将使电器和导体运行时增加电能损耗,并产生过热,引起绝缘老化,甚至烧毁。
110、问答题 重合器的结构性能与断路器有何不同?
点击查看答案
本题答案:重合器是一种自身具有控制及保护功能的开关设备。它能进行故障电
本题解析:试题答案重合器是一种自身具有控制及保护功能的开关设备。它能进行故障电流检测和按预先整定的分合操作次数自动完成分合操作,并在动作后能自动复位或闭锁。
111、填空题 用户受电工程简称受电工程,是由用户出资建设,在用户办理()、()、()用电等用电业务时涉及的电力工程。
点击查看答案
本题答案:新装;增容;变更
本题解析:试题答案新装;增容;变更
112、问答题
大接地和小接地电流系统的接线方式分别包括哪些?各有什么特点?
点击查看答案
本题答案:大接地电流系统中性点直接接地;小接地电流系统包括中性点
本题解析:试题答案大接地电流系统中性点直接接地;小接地电流系统包括中性点不接地和中性点经消弧线圈接地。中性点直接接地方式供电可靠性低,出现单相接地时,形成回路,接地电流大;不接地系统供电可靠性高,但绝缘要求也高,出现单相接地时,不形成回路,接地电流不大,但非接地相对地电压却升高为相电压的
倍。中性点经消弧线圈接地系统比不接地系统的单相接地电流小,绝缘要求比较低。
113、单项选择题 《供电监管办法》规定,供电企业应当在供电营业场所设置公布()的标识,该标识应当固定在供电营业场所的显著位置。
A.电力服务热线电话
B.电力监管投诉举报电话
C.电力服务热线电话和电力监管投诉举报电话
点击查看答案
本题答案:C
本题解析:暂无解析
114、问答题 避雷针的保护原理?用图表示单根避雷针的保护范围。
点击查看答案
本题答案:避雷针的保护原理:通过避雷 针顶端的接闪器将雷电引向自身
本题解析:试题答案避雷针的保护原理:通过避雷针顶端的接闪器将雷电引向自身,再通过引下线和接地体将雷电流快速引入大地,保护其周围份的设备。
单根避雷针的保护范围如下图包络范围内。

115、问答题 某变电所装有一台SFSZ9—40000/110型、容量比为100/100/100的三绕组变压器,试求变压器等效电路中各支路的电抗(归算到110kV侧)。
点击查看答案
本题答案:
试题答案
116、填空题 《供电服务规范》中规定重要电力用户应当由()确定。
点击查看答案
本题答案:当地政府
本题解析:试题答案当地政府
117、填空题 《供电服务规范》中规定供电企业应当根据用户最大需量、用电设备容量或()确定用户的供电电压等级。
点击查看答案
本题答案:受电设备容量
本题解析:试题答案受电设备容量
118、填空题 复合故障一般是指某一时刻在电力系统()发生故障。
点击查看答案
本题答案:二个及以上地方
本题解析:试题答案二个及以上地方
119、填空题 《供电服务规范》中规定,供电企业应当根据()、 ()或()确定用户的供电电压等级。
点击查看答案
本题答案:用户最大需量;用电设备容量;受电设备总容量
本题解析:试题答案用户最大需量;用电设备容量;受电设备总容量
120、问答题 《国家电网公司供电服务规范》中对用电检查人员到客户用电现场执行任务有何规定?
点击查看答案
本题答案:(1)用电检查人员依法到客户用电现场执行用电检查任务时
本题解析:试题答案(1)用电检查人员依法到客户用电现场执行用电检查任务时,必须按照《用电检查管理办法》的规定,主动向被检查客户出示《用电检查证》,并按“用电检查工作单”确定的项目和内容进行检查;
(2)用电检查人员不得在检查现场替代客户进行电工作业。
121、问答题 变电站电气主接线设计的步骤?
点击查看答案
本题答案:1)对设计依据和原始资料进行综合分析;2)拟定可能采用的主接
本题解析:试题答案1)对设计依据和原始资料进行综合分析;2)拟定可能采用的主接线形式;3)确定主变的容量和台数;4)厂用电源的引接方式;5)论证是否需要限制短路电流,并采取什么措施;6)对拟定的方案进行技术、经济比较,确定最佳方案;7)选择断路器、隔离开关等电气设备。
122、填空题 简单故障是指电力系统的某处发生一种故障的情况。简单不对称故障包括单相接地短路、两相短路、两相接地短路、()和两相断开等。
点击查看答案
本题答案:单相断开
本题解析:试题答案单相断开
123、填空题 凡从自然界可直接取得而不改变其基本形态的能源称为()。
点击查看答案
本题答案:(一次能源)
本题解析:试题答案(一次能源)
124、问答题
一条10kV线路向两个用户供电,允许电压损失为5%,环境温度为30℃,其他参数如图3-26所示,若用相同截面的LJ型架空线路,试按允许电压损失选择其导线截面,并按发热条件和机械强度进行校验。

点击查看答案
本题答案:
试题答案
125、单项选择题 为了加强供电监管,规范供电行为,维护供电市场秩序,保护电力使用者的合法权益和社会公共利益,根据《电力监管条例》和国家有关规定,制定了()。
A.《供电监管办法》
B.《供电服务规范》
C.《供电管理办法》
点击查看答案
本题答案:A
本题解析:暂无解析
126、填空题 《供电营业规则》规定,用户遇有特殊情况,需延长供电方案有效期的,应在有效期到期前()天向供电企业提出申请,供电企业应视情况予以办理延长手续。但延长时间不得超过前款规定期限。
点击查看答案
本题答案:十
本题解析:试题答案十
127、填空题 供电企业执行()用户以及执行功率因数调整电费用户的抄表日期一般不宜大于1个月。
点击查看答案
本题答案:两部制电价
本题解析:试题答案两部制电价
128、问答题
设供电系统如下图所示,母线a处的三相短路容量为115MVA,母线a的电压为10.5kV,母线b的电压为121kV。线路L长度为80km,单位长度的阻抗为0.4Ω/km(略去对地支路)。变压器的参数:SL-31500/110,Uk%=10.5(略去其它参数)。求c母线k1点发生三相短路时的短路电流周期分量、冲击电流、短路容量。

点击查看答案
本题答案:
试题答案
129、问答题 某高压用户需报装630kVA容量的用电,因工期紧,又对供电企业业扩流程不熟悉,经熟人介绍,于2011年5月10号,到供电关联企业委托工程的设计安装和设备采购。经充分协商后,5月12日,供电关联企业与客户签订了相关合同;5月20日,完成了全部设计;6月20日,完成了工程的施工安装;6月22日,供电关联企业代用户向供电企业申请通电。6月23日,供电企业接到申请后,主动联系客户,并请客户补办了业扩申请、供电方案、审图、中间检查和竣工检验等相关表式。6月23日下午,供电企业给予装表接电。请结合《供电监管办法》、《供电营业规则》和公司相关规定,分析供电企业和关联企业存在哪些“三指定”问题。
点击查看答案
本题答案:1、关联企业存在提前介入业扩报装流程问题;
本题解析:试题答案1、关联企业存在提前介入业扩报装流程问题;
2、关联设计单位存在未收到供电方案进行图纸设计的问题;
3、供电企业让未经审图的图纸通过设计审核;
4、关联施工企业存在未收到通过审图的施工图纸进行施工;
5、关联施工企业存在未经中间检查继续进行施工的问题;
6、供电企业存在让未经中间检查、竣工检验的工程装表接电的问题。
130、问答题 什么叫安全电压?
点击查看答案
本题答案:安全电压是指不致使人直接致死或致残的电压。
本题解析:试题答案安全电压是指不致使人直接致死或致残的电压。
131、单项选择题 《供电监管办法》规定,供电监管应当依法进行,并遵循公开、()和效率的原则。
A.公平
B.公正
C.依法
点击查看答案
本题答案:B
本题解析:暂无解析
132、填空题 《供电营业规则》规定,供电企业应在用电营业场所公告办理各项用电业务的()、()和()。
点击查看答案
本题答案:程序;制度;收费标准
本题解析:试题答案程序;制度;收费标准
133、问答题 配电载波通信有哪些特点?
点击查看答案
本题答案:配电载波通信的最大优点是电通到哪里通信就能到哪里,与电网建设
本题解析:试题答案配电载波通信的最大优点是电通到哪里通信就能到哪里,与电网建设同步,具有通道可靠性高、投资少、见效快、组网灵活方便、运行维护成本低等优点。
134、单项选择题 《供电监管办法》规定,35千伏专线供电用户和()千伏以上供电用户应当设置电压监测点。
A.35
B.10
C.110
D.220
点击查看答案
本题答案:B
本题解析:暂无解析
135、问答题
对某车间进行可行性研究时,采用单位面积负荷密度法估算负荷,该车间面积为S=2000m2,单位面来源:91考试网 www.91exAm.org积负荷密度为p=0.6kW/m2,
=0.7,该车间的视在功率计算负荷是Sca?
点击查看答案
本题答案:
试题答案
136、问答题 电力系统中进行无功补偿的意义,无功补偿的措施主要有哪些?
点击查看答案
本题答案:电力系统中进行无功补偿的意义:
减少系统元件的容
本题解析:试题答案电力系统中进行无功补偿的意义:
减少系统元件的容量,提高电网的输送能力;
降低电网络的功率损耗和电能损耗;
改善电网电压质量。
无功补偿的措施主要有:
用同步发电机进行补偿;利用调相机进行补偿;利用电容器组进行补偿;利用静止补偿装置进行无功补偿。
137、问答题 在什么情况下应用戴维南定理?什么是开路电压?什么是输入电阻?
点击查看答案
本题答案:在计算复杂电路时,只计算电路中某一支路的电流时,应用戴
本题解析:试题答案在计算复杂电路时,只计算电路中某一支路的电流时,应用戴维南定理。将要计算的某一支路断开,断开的有源网络两端之间的电压称为开路电压,即等效电压源的电动势,以U0表示。将有源二端网络内部的电压源全部短路,其等效电阻为等效电压源的内阻,又称为输入电阻,以r0或Ri表示。
138、单项选择题 蓄电池电解液的温度升高,电化反应增强,蓄电池的容量()。
A、增大
B、减少
C、无变化
点击查看答案
本题答案:A
本题解析:暂无解析
139、填空题 短路故障主要有()、()、()、()四种类型。
点击查看答案
本题答案:(单相接地短路、两相短路、三相短路、两相短路接地/两相接地短
本题解析:试题答案(单相接地短路、两相短路、三相短路、两相短路接地/两相接地短路)
140、问答题 绘出单母线带旁路母线的主接线图,并示例说明如何不停电检修出线断路器。
点击查看答案
本题答案:以检修出线1断路器为例,倒闸操作过程为:
1
本题解析:试题答案以检修出线1断路器为例,倒闸操作过程为:
1)合QS4、QS5,合QF2,对旁路母线充电,并检验旁路母线;
2)若旁路母线完好,合QS3,注意,此时出线1为双回路供电;
3)断QF1,断QS2、QS1,退出断路器QF1进行检修。

141、问答题 《供电监管办法》规定:电力监管机构对供电企业履行电力社会普遍服务义务的情况实施监管。内容是什么?
点击查看答案
本题答案:供电企业应当按照国家规定履行电力社会普遍服务义务,依法
本题解析:试题答案供电企业应当按照国家规定履行电力社会普遍服务义务,依法保障任何人能够按照国家规定的价格获得最基本的供电服务。
142、填空题 将压三绕组变压器三个绕组排列方式,从内至外为()。7常用的潮流计算的基本数学模型是节点电压方程。
点击查看答案
本题答案:低-中-高
本题解析:试题答案低-中-高
143、问答题 安全净距?屋外配电装置一般分为哪三种类型?
点击查看答案
本题答案:安全净距是指从保证电气设备和工作人员的安全出发,考虑气象条件
本题解析:试题答案安全净距是指从保证电气设备和工作人员的安全出发,考虑气象条件及其他因素的影响所规定的各电气设备之间、电气设备各带电部分之间、带电部分与接地部分之间应该保持的最小空气间隙。屋外配电装置一般可分为中型、半高型和高型。
144、单项选择题 选择110kV及以上导体时,需要校验的特殊条件是()
A、短路动稳定校验
B、电晕电压校验
C、选择性校验
D、准确度校验
点击查看答案
本题答案:B
本题解析:暂无解析
145、单项选择题 《国家电网公司供电服务规范》规定,城市地区供电可靠率不低于(),农网供电可靠率不低于()。
A、99.80%,99%
B、98.89%,95%
C、99.89%,99%
D、99.90%,96%
点击查看答案
本题答案:C
本题解析:暂无解析
146、单项选择题 《供电监管办法》规定,对用户受电工程启动竣工检验的期限,自接到()之日起,高压供电用户不超过7个工作日。
A.用户受电装置竣工报告和检验申请
B.用户受电装置竣工报告
C.用户检验申请
D.用户完工
点击查看答案
本题答案:A
本题解析:暂无解析
147、问答题 配电网的损耗包括那些?由哪些因素引起?
点击查看答案
本题答案:配电网的损耗是由两部分组成的:一部分是与传输功率有关的损耗,
本题解析:试题答案配电网的损耗是由两部分组成的:一部分是与传输功率有关的损耗,它产生在输电线路和变压器的串连阻抗上,传输功率愈大则损耗愈大,这种损耗叫变动损耗,在总损耗中所占比重较大;另一部分损耗则仅与电压有关,它产生在输电线路和变压器的并联导纳上,如输电线路的电晕损耗、变压器的励磁损耗等,这种损耗叫固定损耗。
148、单项选择题 根据国家电网公司供电服务规范要求,为客户提供服务时,应礼貌、谦和、热情是对员工的()规范。
A、基本道德
B、诚信服务
C、行为举止
D、仪容仪表
点击查看答案
本题答案:C
本题解析:暂无解析
149、填空题 在元件的电抗比电阻大得多的的高压电网中,无功功率从电压高的一端流向电压低的一端,有功功率则从电压相位越前的一端流向相位落后的一端,这是()。
点击查看答案
本题答案:交流电网功率传输的基本规律
本题解析:试题答案交流电网功率传输的基本规律
150、问答题 自动重合闸与继电保护的配合方式有几种?
点击查看答案
本题答案:自动重合闸与继电保护的配合方式有前加速保护方式和后加速保护方
本题解析:试题答案自动重合闸与继电保护的配合方式有前加速保护方式和后加速保护方式两种。
151、填空题 对继电保护的基本要求是()、速动性、灵敏性、可靠性。
点击查看答案
本题答案:选择性
本题解析:试题答案选择性
152、问答题 1月30日客户王先生向供电公司申请动力用电。供电公司业扩报装人员组织了现场勘查,并确定了供电方案。2月3日,施工完毕并验收合格。办理完相关手续后,装表人员于2月6日领表出库,但由于工作疏忽,2月18日方完成装表接电工作,王先生对此表示不满,2月19日打进95598进行投诉。通过以上案例,请分析:
1)该案例违反了哪些规定?
点击查看答案
本题答案:本次事件违反以下规定:
(1)《国家电网公司
本题解析:试题答案本次事件违反以下规定:
(1)《国家电网公司供用服务“十项承诺”》,第四条,受电工程检验合格并办结相关手续后,居民客户3个工作日内送电,非居民客户5个工作日内送电。
(2)《供电监管办法》,第十一条第五款,自受电装置检验合格并办结相关手续之日起,居民用户不超过3个工作日,其他低压供电用户不超过5个工作日,高压供电用户不超过7个工作日。
(3)《国家电网公司业扩报装规范》第四十五条接电时限应满足以下要求:自受电装置检验合格并办结相关手续之日起,一般居民客户不超过3个工作日,低压供电客户不超过5个工作日,高压供电客户不超过7个工作日。
153、填空题 电力系统的运行电压水平同无功功率平衡密切相关。电压调整的主要手段是:改变发电机端电压;改变变压器的变比;()。
点击查看答案
本题答案:无功功率补偿
本题解析:试题答案无功功率补偿
154、问答题 什么叫过电压?过电压有哪些类型?各是怎样产生的?
点击查看答案
本题答案:电力系统在运行中,由于雷击、误操作、故障、谐振等原因引起的电
本题解析:试题答案电力系统在运行中,由于雷击、误操作、故障、谐振等原因引起的电气设备电压高于其额定工作电压的现象称为过电压。过电压分为内部过电压和外部过电压两大类。
内部过电压又分为操作过电压和谐振过电压。对于因开关操作、负荷剧变、系统故障等原因而引起的过电压,称为操作过电压;对于系统中因电感、电容等参数在特殊情况下发生谐振而引起的过电压,称为谐振过电压。外部过电压又称雷电过电压或大气过电压,它是由于电力系统的导线或电气设备受到直接雷击或雷电感应而引起的过电压。
155、填空题 供电企业应当坚持安全第一、()、()的方针。
点击查看答案
本题答案:预防为主;综合治理
本题解析:试题答案预防为主;综合治理
156、问答题 我国规定的安全电压等级有哪些?各适用于什么环境?
点击查看答案
本题答案:我国规定的安全电压等级有42V、36V、24V、12V和6V
本题解析:试题答案我国规定的安全电压等级有42V、36V、24V、12V和6V。凡手提照明灯、在危险环境和特别危险环境中使用携带式电动工具,如无特殊安全结构或安全措施,应采用42V或36V的安全电压;金属容器内、隧道内、矿井内等工作地点狭窄、行动不便,以及周围有大面积接地导体的环境,应采用24V或12V的安全电压;水下作业等场所采用6V的安全电压。当电气设备采用24V以上安全电压时,必须采取防护直接接触带电体的保护措施。
157、填空题 城市居民客户端电压合格率不低于(),农网居民客户端电压合格率不低于()。
点击查看答案
本题答案:95%;90%
本题解析:试题答案95%;90%
158、单项选择题 发电机带纯电阻性负荷运行时,电压与电流的相位差等于()。
A.180º;
B.90º;
C.0º;
D.270º。
点击查看答案
本题答案:C
本题解析:暂无解析
159、问答题 《供电服务规范》中的基本道德和技能规范有哪些内容?
点击查看答案
本题答案:(1)严格遵守国家法律、法规,诚实守信、恪守承诺。爱岗
本题解析:试题答案(1)严格遵守国家法律、法规,诚实守信、恪守承诺。爱岗敬业,乐于奉献,廉洁自律,秉公办事;
(2)真心实意为客户着想,尽量满足客户的合理要求。对客户的咨询、投诉等不推诿,不拒绝,不搪塞,及时、耐心、准确地给予解答;
(3)遵守国家的保密原则,尊重客户的保密要求,不对外泄露客户的保密资料;
(4)工作期间精神饱满,注意力集中。使用规范化文明用语,提倡使用普通话;
(5)熟知本岗位的业务知识和相关技能,岗位操作规范、
熟练,具有合格的专业技术水平。
160、单项选择题 《供电监管办法》规定,供电企业应当按照国家规定履行电力社会普遍服务义务,依法保障()能够按照国家规定的价格获得最基本的供电服务。
A.用户
B.客户
C.自然人
D.任何人
点击查看答案
本题答案:D
本题解析:暂无解析
161、问答题 直流系统绝缘监察的目的是什么?
点击查看答案
本题答案:直流系统的绝缘监察的目的是用来监视直流系统是否存在接地隐患
本题解析:试题答案直流系统的绝缘监察的目的是用来监视直流系统是否存在接地隐患
162、单项选择题 《供电监管办法》规定,供电企业应当建立用电投诉处理制度,公开投诉电话。对用户的投诉,供电企业应当自接到投诉之日起()个工作日内提出处理意见并答复用户。
A.3
B.5
C.10
D.15
点击查看答案
本题答案:C
本题解析:暂无解析
163、填空题 《供电服务规范》中规定,供电服务网站提供在线咨询或留言功能的,应当及时回复用户的()和()。
点击查看答案
本题答案:意见;建议
本题解析:试题答案意见;建议
164、单项选择题 选择下列电气设备时,不需要校验热稳定的是()
A、断路器
B、绝缘子
C、电流互感器
D、导体
点击查看答案
本题答案:B
本题解析:暂无解析
165、填空题 太阳能光发电可分为()、()、()、()四种方式。
点击查看答案
本题答案:(光伏发电、光感应发电、光化学发电、光生物发电)
本题解析:试题答案(光伏发电、光感应发电、光化学发电、光生物发电)
166、问答题 《供电监管办法》规定:电力监管机构对供电企业处理供电故障的情况实施监管。内容是什么?
点击查看答案
本题答案:供电企业应当建立完善的报修服务制度,公开报修电话,保持电话畅
本题解析:试题答案供电企业应当建立完善的报修服务制度,公开报修电话,保持电话畅通,24小时受理供电故障报修。
供电企业应当迅速组织人员处理供电故障,尽快恢复正常供电。供电企业工作人员到达现场抢修的时限,自接到报修之时起,城区范围不超过60分钟,农村地区不超过120分钟,边远、交通不便地区不超过240分钟。因天气、交通等特殊原因无法在规定时限内到达现场的,应当向用户做出解释。
167、单项选择题 电压互感器的容量与它的准确度组级相对应,一般互感器的额定容量与()级相对应的。
A、高准确度
B、低准确度
C、中间准确度
点击查看答案
本题答案:A
本题解析:暂无解析
168、填空题 《供电监管办法》规定,供电企业应当按照国家规定履行电力()义务,依法保障()能够按照国家规定的价格获得最基本的()。
点击查看答案
本题答案:社会普遍服务;任何人;供电服务
本题解析:试题答案社会普遍服务;任何人;供电服务
169、问答题 为什么要采用防跳装置?
点击查看答案
本题答案:装设防跳装置的目的是为了防止指运行人员手动合闸于故障线
本题解析:试题答案装设防跳装置的目的是为了防止指运行人员手动合闸于故障线路上时断路器出现多次连续跳、合闸的跳跃现象。
170、填空题 《供电监管办法》规定,供电企业应用户要求对产权属于用户的电气设备提供有偿服务时,应当执行()或者()。没有政府定价和政府指导价的,参照市场价格协商确定。
点击查看答案
本题答案:政府定价;政府指导价
本题解析:试题答案政府定价;政府指导价
171、问答题 变电站综合自动化的基本特征有哪些?
点击查看答案
本题答案:变电站综合自动化的基本特征有:功能综合化;结构分层、分布化;
本题解析:试题答案变电站综合自动化的基本特征有:功能综合化;结构分层、分布化;操作监视屏幕化;通信局域网络化;运行管理智能自动化。
172、填空题 锅炉是火电厂的主要热力设备之一,主要包括()和()两大部分。
点击查看答案
本题答案:(锅炉本体、辅助设备)
本题解析:试题答案(锅炉本体、辅助设备)
173、问答题 在供电服务规范中,用电业务办理的基本规范是什么?
点击查看答案
本题答案:(1)供电企业应当依据有关法律法规办理用户的新装用电、
本题解析:试题答案(1)供电企业应当依据有关法律法规办理用户的新装用电、增加用电容量和变更用电业务;
(2)供电企业应当由用电营业机构统一归口办理用户的各类用电业务;
(3)用户申请新装用电或者增加用电容量时,供电企业无正当理由不得拒绝用户的用电申请;
(4)供电企业应当与申请用电的用户通过协商确定供电方式和备用、保安电源,以及供用电合同的有关条款;
(5)供电企业应当对用户受电工程建设提供必要的业务咨询和技术服务;
(6)供电企业对用户受电工程不得指定设计单位、施工单位和设备材料供应单位。
174、问答题 跳跃闭锁继电器如何起到防跳作用?
点击查看答案
本题答案:防跳继电器有两个线圈,电流线圈为起动线圈,接在跳闸线圈YR之
本题解析:试题答案防跳继电器有两个线圈,电流线圈为起动线圈,接在跳闸线圈YR之前;电压线圈为自保持线圈,通过自身的常开触点KLB1-2接入合闸回路。若控制开关手柄在“合闸”位置,恰好此时断路器合闸于永久故障线路线路上,断路器QF自动跳闸,同时防跳继电器KLB(I)起动,触点KLB1-2闭合,使KLB(U)线圈带电,起自保持作用。这样,可使触点KLB3-4始终处于断开位置,合闸接触器线圈KO不会再次起动,从而使断路器QF不会出现多次连续跳、合闸的跳跃现象,保证了断路器不会因跳跃而损坏。
175、问答题 国家电网公司供电服务“十项承诺”中供电设施计划检修停电公告时间?对欠电费客户依法采取停电措施送达时间?费用结清后恢复供电时间?
点击查看答案
本题答案:供电设施计划检修停电,提前7天向社会公告。对欠电费客户
本题解析:试题答案供电设施计划检修停电,提前7天向社会公告。对欠电费客户依法采取停电措施,提前7天送达停电通知书,费用结清后24小时内恢复供电。
176、填空题 三绕组变压器分接头分别是装于()、()压侧。
点击查看答案
本题答案:高;中
本题解析:试题答案高;中
177、填空题 对继电保护装置的基本要求是选择性、()、灵敏性、可靠性。
点击查看答案
本题答案:速动性
本题解析:试题答案速动性
178、问答题 2009年1月12日,某大客户到供电企业申请用电报装,报装容量为31500kVA。客户经理李某,在2009年1月26日答复供电方案时告知客户由于报装容量较大,应采用110kV电压等级供电,而在本市只有供电公司所属的关联多经企业具有四级《承装(修、试)电力设施许可证》且施工质量不错。客户表示只要供电企业报的价格合理,交给供电企业的施工队伍施工比较放心。2010年2月12日,客户受电工程开工。2010年6月15日,客户受电工程基本竣工,客户向供电公司提出竣工验收申请并希望能早点送电,6月26日(星期六)上午,客户经理李某组织相关人员到现场进行竣工验收,并在当天下午组织送电,一直忙到晚上8:30,试送电运行成功后才到客户的员工餐厅吃晚饭。客户表示非常感谢,向供电企业验收送电人员每人赠送了一箱苹果。请对以上业扩报装工作中存在的问题进行分析。
点击查看答案
本题答案:本事件违反以下规定:
(1)《国家电网公司员
本题解析:试题答案本事件违反以下规定:
(1)《国家电网公司员工服务行为“十个不准”》第三条“不准为客户指定设计、施工、供货单位。”(2)《国家电网公司员工服务行为“十个不准”》第九条“不
准接受客户吃请和收受客户礼品、礼金、有价证券等。”
(3)《承装(修、试)电力设施许可证管理办法》第六条“取得三级许可证的,可以从事110千伏以下电压等级电力设施的安装、维修或者试验活动。”
(4)《供电营业规则》第二十一条“高压供电方案的有效期为一年,低压供电方案的有效期为三个月,逾期注销。用户遇有特殊情况,需延长供电方案有效期的,应在有效期到期前十天向供电企业提出申请,供电企业应视情况予以办理延长手续。”
(5)《国家电网公司业扩报装工作规范(试行)》第37条“启动竣工检验的时间,自受理之日起,低压供电客户不超过3个工作日,高压供电客户不超过5个工作日。”
〔暴露问题〕
(1)违反业扩“三不指定”的要求。
(2)施工资质审核把关不严,将不具有施工范围资质的施工队伍引入电力工程建设,留下了安全隐患。(3)对供电方案审核不严,导致供电方案超期。
(4)客户经理服务意识差,未在规定的时限内启动竣工验收,导致送电延迟。
(5)企业员工在工作中,接受客户的吃请、礼品,给供电企业造成不良影响。
〔措施建议〕
(1)加强营销管理,杜绝“三指定”现象发生。
(2)严格按制度进行设计、施工资质、供货单位和产品、供电方案的审查、审核。
(3)增加员工服务意识,真心真意的为客户着想。
(4)加强员工业务技能的学习,不断增强员工的素质教育,树立好企业形象。
179、单项选择题 变压器正常运行时发出()。
A、间断的嗡嗡声
B、均匀的嗡嗡声
C、均匀的沸腾声
D、间断的沸腾声
点击查看答案
本题答案:B
本题解析:暂无解析
180、单项选择题 发电机通过旋转而产生电动势,它是一种能连续提供电流的装置,所以称它为()。
A、电源
B、电动势
C、电压源
点击查看答案
本题答案:A
本题解析:暂无解析
181、填空题 供电企业应当不断提高()管理水平,减少设备检修和电力系统事故对用户的停电次数及每次停电持续时间。
点击查看答案
本题答案:供电可靠性
本题解析:试题答案供电可靠性
182、填空题 衡量电能质量好坏的指标是电压、频率和()。
点击查看答案
本题答案:波形
本题解析:试题答案波形
183、填空题 电缆通过与相邻区域共用的隔墙、楼板、地面及易受机械损伤处,均应加以保护;留下的孔洞,应()。
点击查看答案
本题答案:堵塞严密
本题解析:试题答案堵塞严密
184、单项选择题 发电机的同步转速与发电机的磁极对数为()。
A、正比例关系
B、反比例关系
C、不成比例
点击查看答案
本题答案:B
本题解析:暂无解析
185、填空题 供电方案按照电压等级划分,可以分为高压供电方案和低压供电方案,低压供电方案为()用户的供电方案。
点击查看答案
本题答案:220V或380V
本题解析:试题答案220V或380V
186、问答题 工厂高压配电网有哪些接线方式和特点?5%
点击查看答案
本题答案:(1)放射式接线。其特点为:本线路上故障不影响其它线路;容易
本题解析:试题答案(1)放射式接线。其特点为:本线路上故障不影响其它线路;容易进行继电保护装置的整定,并易于实现自动化。(2)树干式接线。其特点为:能降低投资费用和有色金属消耗量,使变、配电所的馈线出线少,占用出线走廊小,结构简单。
187、填空题 短路是电力系统的严重故障。短路冲击电流、短路电流()和短路容量是校验电器设备的重要数据。
点击查看答案
本题答案:最大有效值
本题解析:试题答案最大有效值
188、单项选择题 发电机三相定子绕组星形连接,这主要是为了消除()。
A、偶次谐波
B、三次谐波
C、五次谐波
点击查看答案
本题答案:B
本题解析:暂无解析
189、问答题 无时限的电流速断保护和过电流保护有什么区别?
点击查看答案
本题答案:无时限的电流速断保护的动作电流是按本线路末端三相短路电流来整
本题解析:试题答案无时限的电流速断保护的动作电流是按本线路末端三相短路电流来整定,其保护范围为本线段的一部分,具有保护死区,不需动作时限整定;而过电流保护保护的动作电流是按负荷电流整定,其保护范围为本线段全部并延伸至下一线段全部,动作时限按阶梯原则整定。
190、问答题 《供电营业规则》对用户独资、合资或集资建设的输电、变电、配电等供电设施建成后,其运行维护管理按什么确定?
点击查看答案
本题答案:(1)属于公用性质或占用公用线路规划走廊的,由供电企业统一管
本题解析:试题答案(1)属于公用性质或占用公用线路规划走廊的,由供电企业统一管理:供电企业应在交接前,与用户协商,就供电设施运行维护管理达成协议。对统一运行维护管理的公用供电设施,供电企业应保留原所有者在上述协议中确认的容量。
(2)属于用户专用性质,但不在公用变电站内的供电设施,由用户运行维护管理。如用户运行维护管理确有困难,可与供电企业协商,就委托供电企业代为运行维护管理有关事项签订协议。
(3)属于用户共用性质的供电设施,由拥有产权的用户共同运行维护管理。如用户共同运行维护管理确有困难,可与供电企业协商,就委托供电企业代为运行维护管理有关事项签订协议。
(4)在公用变电站内由用户投资建设的供电设备,如变压器、通信设备、开关、刀闸等,由供电企业统一经营管理。建成投运前,双方应就运行维护、检修、备品备件等项事宜签订交接协议。
(5)属于临时用电等其他性质的供电设施,原则上由产权所有者运行维护管理,或由双方协商确定,并签订协议。
191、问答题 《供电监管办法》规定:电力监管机构对供电企业实施停电、限电或者中止供电的情况进行监管。内容是什么?
点击查看答案
本题答案:在电力系统正常的情况下,供电企业应当连续向用户供电。需
本题解析:试题答案在电力系统正常的情况下,供电企业应当连续向用户供电。需要停电或者限电的,应当符合下列规定:
(1)因供电设施计划检修需要停电的,供电企业应当提前7日公告停电区域、停电线路、停电时间;
(2)因供电设施临时检修需要停电的,供电企业应当提前24小时公告停电区域、停电线路、停电时间;
(3)因电网发生故障或者电力供需紧张等原因需要停电、限电的,供电企业应当按照所在地人民政府批准的有序用电方案或者事故应急处置方案执行。
引起停电或者限电的原因消除后,供电企业应当尽快恢复正常供电。
供电企业对用户中止供电应当按照国家有关规定执行。供电企业对重要电力用户实施停电、限电、中止供电或者恢复供电,应当按照国家有关规定执行。
192、单项选择题 供电系统短路故障中,短路危害最大的短路类型一般为()
A、三相短路
B、两相短路
C、两相接地短路
D、单相短路
点击查看答案
本题答案:A
本题解析:暂无解析
193、问答题 什么是高压开关柜的“五防”?
点击查看答案
本题答案:①防止误跳、误合断路器;②防止带负荷分、合隔离开关;③防止带
本题解析:试题答案①防止误跳、误合断路器;②防止带负荷分、合隔离开关;③防止带电挂接地线;④防止带地线合闸;⑤防止误入带电间隔。
194、填空题 《供电企业信息公开实施办法》本办法所称供电企业是指已取得供电类(),依法从事()的企业。
点击查看答案
本题答案:电力业务许可证;供电业务
本题解析:试题答案电力业务许可证;供电业务
195、问答题
如下图所示为单侧电源辐射型电网中过流保护的配置,1、2、3为过流保护装置,请绘出保护装置的动作时限特性,并说明如何满足保护的选择性。

点击查看答案
本题答案:
试题答案
196、填空题 《供电监管办法》规定,电力监管机构可以在用户中依法开展()调查等供电情况调查,并向社会公布调查结果。
点击查看答案
本题答案:供电满意度
本题解析:试题答案供电满意度
197、填空题 《供电监管办法》规定,电力监管机构对供电企业公平、无歧视开放供电市场的情况实施监管。供电企业违反规定,由电力监管机构责令改正,拒不改正的,处()罚款;对直接负责的主管人员和其他直接责任人员,依法给予处分;情节严重的,可以()。
点击查看答案
本来源:91考试网 91ExaM.org题答案:10万元以上100万元以下;吊销电力业务许可证
本题解析:试题答案10万元以上100万元以下;吊销电力业务许可证
198、填空题 《供电监管办法》规定,供电企业违反《供电监管办法》规定,没有能力对其供电区域内的用户提供供电服务并造成严重后果的,电力监管机构可以()或者()电力业务许可证,指定其他供电企业供电。
点击查看答案
本题答案:变更;吊销
本题解析:试题答案变更;吊销
199、单项选择题 《供电监管办法》规定,供电企业应当严格执行政府有关部门依法作出的对淘汰企业、关停企业或者环境违法企业采取停限电措施的决定。未收到政府有关部门决定恢复送电的通知,供电企业不得擅自对政府有关部门责令限期整改的用户()。
A.恢复送电
B.临时送电
C.私自送电
D.受理报装申请
点击查看答案
本题答案:A
本题解析:暂无解析
200、单项选择题 选择电流互感器的特殊条件是()
A、短路动稳定校验
B、短路热稳定校验
C、选择性校验
D、准确度校验
点击查看答案
本题答案:D
本题解析:暂无解析
题库试看结束后
微信扫下方二维码即可打包下载完整版《★动力与电气工程》题库
手机用户可保存上方二维码到手机中,在微信扫一扫中右上角选择“从相册选取二维码”即可。
题库试看结束后微信扫下方二维码即可打包下载完整版《动力与电气工程:电力工程》题库,分栏、分答案解析排版、小字体方便打印背记!经广大会员朋友实战检验,此方法考试通过率大大提高!绝对是您考试过关的不二利器!
手机用户可保存上方二维码到手机中,在微信扫一扫中右上角选择“从相册选取二维码”即可。
微信搜索关注"91考试网"公众号,领30元,获取公务员事业编教师考试资料40G