手机用户可
保存上方二维码到手机中,在
微信扫一扫中右上角选择“从
相册选取二维码”即可。
1、问答题 按断层两盘的相对运动方向分那几类断层?
点击查看答案
本题答案:正断层、逆断层、平移断层。
本题解析:试题答案正断层、逆断层、平移断层。
2、问答题 土中的水按存在状态分为哪三类?
点击查看答案
本题答案:固态、液态、气态
本题解析:试题答案固态、液态、气态
3、单项选择题 某黏性土的液性指数IL=0.5则该土的软硬状态为()
A.硬塑
B.可塑
C.软塑
D.流塑
点击查看答案
本题答案:B
本题解析:暂无解析
4、单项选择题 淤泥的孔隙比()
A.等于1.0;
B.大于1.0;
C.等于1.5;
D.大于1.5。
点击查看答案
本题答案:D
本题解析:暂无解析
5、单项选择题 有两个不同的方形基础,其基底平均压力相同.问在同一深度处,()
A.宽度大的基础产生的附加应力大
B.宽度小的基础产生的附加应力大
C.两个基础产生的附加应力相等
D.无法确定
点击查看答案
本题答案:A
本题解析:暂无解析
6、单项选择题 土越密实,其内摩擦角()
A.越小
B.越大
C.不变
D.内摩擦角的大小与密实度无关
点击查看答案
本题答案:B
本题解析:暂无解析
7、单项选择题 进行三轴压缩试验时,试样在施加周围压力时允许排水固结,待固结稳定后,再在排水条件下施加竖向压力直至试件剪切破坏。这种试验方法的名称是
A.不固结不排水试验
B.固结不排水试验
C.不固结排水试验
D.固结排水试验
点击查看答案
本题答案:D
本题解析:暂无解析
8、问答题 挡土墙后的水对挡土墙压力有什么影响?
点击查看答案
本题答案:挡土墙后的水会增大土压力
本题解析:试题答案挡土墙后的水会增大土压力
9、问答题 利用不整合面接触任何判断沉积岩之间的相对新老关系?
点击查看答案
本题答案:根据不整合面上的底砾岩以及角度不整合面的产状判断:与不
本题解析:试题答案根据不整合面上的底砾岩以及角度不整合面的产状判断:与不整合面上的底砾岩岩性一致的岩层形成时间相对较早;与角度不整合面的产状一致的岩层形成时间相对较晚。
10、问答题 简述泥石流治理的原则和方法。
点击查看答案
本题答案:以预防为主,采取避强制弱、局部防护、重点处理和综合治理
本题 解析:试题答案以预防为主,采取避强制弱、局部防护、重点处理和综合治理的原则。
预防措施:1)上游地段应做好水土保持工作2)疏导地表水和地下水3)修筑防 护工程4)修筑支挡工程
治理措施:1)拦截措施2)滞流措施3)疏排和利导措施
11、名词解释 超固结比
点击查看答案
本题答案:天然土层前期固结压力与现有的自重应力之比。
本题解析:试题答案天然土层前期固结压力与现有的自重应力之比。
12、单项选择题 土的压缩系数a越大,表示()
A.土的压缩性越高
B.土的压缩性越低
C.e-p曲线越平缓
D.e-lgp曲线越平缓
点击查看答案
本题答案:A
本题解析:暂无解析
13、问答题
某粘性土,其粘聚力c=20kPa,内摩擦角φ=30°,该土试样承受的大、小主应力分别是δ1=450kPa,δ3=150kPa。
(1)试用数解法判断该土样所处的应力状态。
(2)计算破裂面与最大主应力作用面所夹的角度。
点击查看答案
本题答案:
试题答案
14、名词解释 逆断层
点击查看答案
本题答案:上盘沿断层面相对上升,下盘沿断层面相对下降的断层
本题解析:
试题答案上盘沿断层面相对上升,下盘沿断层面相对下降的断层
15、填空题 在渗透水流的作用下,土体中的细土粒在粗土粒间的孔隙通道中随水流移动并被带出流失的现象称为________。
点击查看答案
本题答案:管涌
本题解析:试题答案管涌
16、问答题 影响土体抗剪强度的主要因素有哪些?
点击查看答案
本题答案:
试题答案
17、问答题 计算地基附加应力时,有哪些假定?
点击查看答案
本题答案:主要假定有:(1)基础刚度为零,即基底作用的是柔性荷载
本题解析:试题答案主要假定有:(1)基础刚度为零,即基底作用的是柔性荷载;(2)地基是均匀、连续、各向同性的线性变形半无限体。
18、填空题 十字板剪切仪适用于()。
点击查看答案
本题答案:饱和软黏土
本题解析:试题答案饱和软黏土
19、问答题 简述渗透变形的防治措施。
点击查看答案
本题答案:防治流土的关键在于控制溢出处的水力坡降,为了保证实际的
本题解析:试题答案防治流土的关键在于控制溢出处的水力坡降,为了保证实际的溢出坡降不超过允许坡降,可采取下列工程措施:
(1)可通过做垂直防渗帷幕、水平防渗铺盖等,延长渗流途径、降低溢出处的坡降;
(2)在溢出处挖减压沟或打减压井,贯穿渗透性小的粘性土层,以降低作用在粘性土层底面的渗透压力;
(3)在溢出处加透水盖重,以防止土体被渗透力所悬浮。防止管涌一般可以从下列两个方面采取措施:①做防渗铺盖或打板桩等,降低土层内部和渗流溢出处的渗透坡度;②在渗流溢出部位铺设层间关系满足要求的反滤层。
20、判断题 饱和粘性土中,在其它所有条件相同的情况下,达到同一固结度时,双面排水所需要的时间是单面排水所需要时间的一半。
点击查看答案
本题答案:错
本题解析:暂无解析
21、问答题 土粒表面的结合水有哪两类?
点击查看答案
本题答案:强结合水、弱结合水
本题解析:试题答案强结合水、弱结合水
22、判断题 不整合面以下的岩层为年代较新的岩层,不整合面以上的岩层为老岩层。
点击查看答案
本题答案:错
本题解析:暂无解析
23、判断题 组成地壳的岩石,根据其成因分为花岗岩、沉积岩和变质岩三大类,是构成建筑物地基的基本物质。
点击查看答案
本题答案:错
本题解析:暂无解析
24、问答题 粘性土的定名依据哪一个指标?如何计算?
点击查看答案
本题答案:粘性土的定名依据塑性指数,Ip=ωL-&o
本题解析:试题答案粘性土的定名依据塑性指数,Ip=ωL-ωP
25、判断题 蛇曲是河流的沉积作用形成的。()
点击查看答案
本题答案:错
本题解析:暂无解析
26、问答题 节理按力学性质分那几类?
点击查看答案
本题答案:张节理、剪节理
本题解析:试题答案张节理、剪节理
27、判断题 如果以临塑荷载Pcr作为地基承载力特征值,对于大多数地基来说,将是十分危险的。
点击查看答案
本题答案:错
本题解析:暂无解析
28、问答题 无粘性土作为挡土墙的填土,其土压力的分布有何特点?
点击查看答案
本题答案:其土压力的分布呈三角形,作用点距离墙底3/1。
本题解析:试题答案其土压力的分布呈三角形,作用点距离墙底3/1。
29、问答题 理论上讲饱和度可否大于100%?说明理由。
点击查看答案
本题答案:理论上讲饱和度不能大于100%,因为饱和度由孔隙中水的
本题解析:试题答案理论上讲饱和度不能大于100%,因为饱和度由孔隙中水的体积与孔隙体积的比值,水的体积要小于孔隙体积。
30、问答题 简述利用换土垫层法进行地基处理的方法。
点击查看答案
本题答案:将天然软若土层挖去,分层回填强度较高,压缩性较低且无腐
本题解析:试题答案将天然软若土层挖去,分层回填强度较高,压缩性较低且无腐蚀性的砂土,粘性土,灰土等。
31、问答题 地下水的物理性质有哪些?
点击查看答案
本题答案:温度,颜色,透明度,气味,味道,密度,导电性及放射性等
本题解析:试题答案温度,颜色,透明度,气味,味道,密度,导电性及放射性等。
32、问答题 取正常固结饱和粘性土土样进行不固结不排水试验得φu=0,Cu=20k,对同样的土进行固结不排水试验,得有效抗剪强度指标φ=30o,C=0。求该土样在不固结不排水剪切破坏时的有效大主应力和小主应力。
点击查看答案
本题答案:
试题答案
33、问答题 库仑定律的表达式。
点击查看答案
本题答案:砂土:τf=σtanφ 粘
本题解析:试题答案砂土:τf=σtanφ 粘性土:τf=σtanφ+c
34、判断题 按哪一种土压力(主动,静止或被动土压力)计算完全取决于挡土墙的位移方向(向前,静止不动或向后位移)
点击查看答案
本题答案:错
本题解析:暂无解析
35、单项选择题 土的抗剪强度取决于土粒间()
A.总应力
B.有效应力
C.孔隙水压力
D.黏聚力
点击查看答案
本题答案:B
本题解析:暂无解析
36、问答题 土的抗剪强度的构成有哪两个方面?
点击查看答案
本题答案:内摩擦力和粘聚力
本题解析:试题答案内摩擦力和粘聚力
37、填空题 土的剪切试验按常用的试验仪器分为()、()、()、()四种。
点击查看答案
本题答案:直接剪切试验、三轴压缩试验、无侧限抗压强度试验、十字板剪切试
本题解析:试题答案直接剪切试验、三轴压缩试验、无侧限抗压强度试验、十字板剪切试验
38、问答题 土的颗粒级配的划分依据哪两个指标?
点击查看答案
本题答案:不均匀系数、曲率系数
本题解析:试题答案不均匀系数、曲率系数
39、问答题 土由几部分组成?
点击查看答案
本题答案:固体颗粒、水、气体
本题解析:试题答案固体颗粒、水、气体
40、问答题 确定土的抗剪强度指标的直接剪切试验,按其试验条件区分为哪几种?它们分别适用于什么样的工程情况?
点击查看答案
本题答案:有三种:快剪、慢剪和固结快剪;
快剪:适用于
本题解析:试题答案有三种:快剪、慢剪和固结快剪;
快剪:适用于建筑物施工较快、土层排水条件不良的工程情况;
慢剪:适用于建筑物施工较慢,土层排水条件较好,在施工期间充分排水的工程情况
41、问答题 有一条形基础宽b=1.6m,埋深d=1.0m,地基为粉质粘土,天然重度γ=16.9kN/m3,抗剪强度指标c=6.0kPa,ψ=15°,试用太沙基公式计算地基的极限承载力和容许承载力。(安全系数K=3.0,Nr =1.80,Nq=4.45,Nc=12.9)
点击查看答案
本题答案:
试题答案
42、问答题 对某砂土土样进行渗透试验,渗流方向自下向上。土样高度l=0.4m,砂土的饱和重度γsat=18.89kN/m3,若土样发生流土现象,则其水头差应该满足什么条件?
点击查看答案
本题答案:
试题答案
43、填空题 在折线形滑坡的稳定性计算时,如果最后一块岩土体的剩余下滑力为负值,则说明整个滑坡是________。
点击查看答案
本题答案:稳定的
本题解析:试题答案稳定的
44、填空题 矿物的颜色按成色原因分有:________、自色和假色。
点击查看答案
本题答案:他色
本题解析:试题答案他色
45、问答题 粘性土的界限含水量包含哪三个指标?
点击查看答案
本题答案:缩限、液限、塑限
本题解析:试题答案缩限、液限、塑限
46、问答题 土是如何形成的?土的结构有哪些?
点击查看答案
本题答案:土是由岩石经过风化作用形成的松散的堆积物;有单粒、蜂窝
本题解析:试题答案土是由岩石经过风化作用形成的松散的堆积物;有单粒、蜂窝状、絮状的三种结构
47、问答题 变质岩的分类依据?
点击查看答案
本题答案:首先考虑岩石的构造特征,在按其矿物组成进行分类和命名。
本题解析:试题答案首先考虑岩石的构造特征,在按其矿物组成进行分类和命名。
48、填空题 矿物的条痕色是指矿物_______________的颜色。
点击查看答案
本题答案:粉末
本题解析:试题答案粉末
49、问答题 简要介绍换填垫层法及其适用范围。
点击查看答案
本题答案:当软弱地基的承载力和变形满足不了建筑物的要求,而软弱土
本题解析:试题答案当软弱地基的承载力和变形满足不了建筑物的要求,而软弱土层的厚度又不很大时,将基础底面下处理范围内的软弱土层部分或全部挖去,代之以分层换填强度较大、性能稳定的其他材料,并压实至要求的密度为止,这种地基处理方法称为换填垫层法。换填垫层法适用于淤泥、淤泥质土、湿陷性黄土、素填土、杂填土地基及暗沟、暗塘等的浅层处理,即它适合于浅层软弱地基和不均匀地基的处理。
50、单项选择题 如果要表示岩层在空间的水平延伸方向,可用的产状要素是()
A.走向
B.倾向
C.倾角
D.斜向
点击查看答案
本题答案:A
本题解析:暂无解析
51、判断题 按引起风化作用发生的因素不同,风化作用可分为物理风化作用、化学风化作用和生物风化作用三大类。( )
点击查看答案
本题答案:对
本题解析:暂无解析
52、问答题 渗透破坏的形式有哪些?
点击查看答案
本题答案:流土、管涌、接触流土、接触冲刷。对于单一土层来说,则主
本题解析:试题答案流土、管涌、接触流土、接触冲刷。对于单一土层来说,则主要是流土和管涌。
53、问答题 为什么要进行附加应力的计算?
点击查看答案
本题答案:为了计算地基土的沉降量
本题解析:试题答案为了计算地基土的沉降量
54、判断题 在室内压缩试验过程中,土样在产生竖向压缩的同时也将产生侧向膨胀。
点击查看答案
本题答案:错
本题解析:暂无解析
55、单项选择题 用以衡量土透水性大小的指标是
A.水力梯度
B.相对密实度
C.动水力
D.渗透系数
点击查看答案
本题答案:D
本题解析:暂无解析
56、名词解释 断口
点击查看答案
本题答案:矿物再受外力作用下产生的不具方向性的的不规则断裂面
本题解析:试题答案矿物再受外力作用下产生的不具方向性的的不规则断裂面
57、问答题 相对地质年代的确定方法有哪些?
点击查看答案
本题答案:地层层序律、生物层序律、切割穿插律
本题解析:试题答案地层层序律、生物层序律、切割穿插律
58、填空题 根据岩浆岩_______________和围岩的关系可以确定岩浆岩的相对地质年代。
点击查看答案
本题答案:侵入体
本题解析:试题答案侵入体
59、单项选择题 甲类传染病的报告时限是()
A.2小时
B.6小时
C.12小时
D.24小时
E.48小时
点击查看答案
本题答案:A
本题解析:暂无解析
60、问答题 土的颗粒级配试验有哪两种?
点击查看答案
本题答案:筛分法、密度计法
本题解析:试题答案筛分法、密度计法
61、问答题 土的颗粒大小与内摩擦角之间有什么联系?
点击查看答案
本题答案:土的颗粒越大,内摩擦角越大
本题解析:试题答案土的颗粒越大,内摩擦角越大
62、名词解释 不整合接触
点击查看答案
本题答案:
试题答案
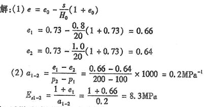
63、问答题 对某土样进行室内压缩试验,该土样的初始孔隙比e0=0.73,环刀高度为20mm。当pl=100kPa时,稳定压缩量sl=0.8mm;当p2=200kPa时,稳定压缩量s2=1.0mm。(1)求p1、p2对应的孔隙比e1、e2;(2)求压缩系数a1-2和压缩模量Es1-2。
点击查看答案
本题答案:
试题答案
64、问答题 简述岩溶与土洞的工程地质问题及防治措施?
点击查看答案
本题答案:地质问题有:
(1)岩溶水对可溶岩体进行溶蚀
本题解析:试题答案地质问题有:
(1)岩溶水对可溶岩体进行溶蚀使岩石产生孔洞,结构变松散,从而降低岩石强度,增加其透水性;
(2)岩溶形态造成地表基岩面不均匀,造成地基不均匀,漏斗的形成和扩张影响地面的稳定;
(3)岩溶、土洞的分布密度、发育情况和埋置深度对地基稳定性有影响。
防治措施:(1)挖填;(2)跨盖;(3)灌注;(4)排导;(5)打桩。
65、问答题 什么是卓越周期?
点击查看答案
本题答案:卓越周期:由震源发出的地震波在土层中传播时,经过各种不
本题解析:试题答案卓越周期:由震源发出的地震波在土层中传播时,经过各种不同性质的界面时,由于多次反射、折射,将出现不同周期的地震波,而土体对于不同的地震波有选择放大的作用,某种岩土体总是对某种周期的波选择放大得突出、明显,这种被选择放大的波的周期即称为卓越周期
66、判断题 假设基底压力大小保持不变,若基础的埋置深度增加,则基底的附加应力将减少
点击查看答案
本题答案:对
本题解析:暂无解析
67、问答题 软弱土主要指那些类型的土?
点击查看答案
本题答案:软的粘性土、淤泥、淤泥质土
本题解析:试题答案软的粘性土、淤泥、淤泥质土
68、判断题 e-p曲线中的压力p是有效应力。
点击查看答案
本题答案:对
本题解析:暂无解析
69、填空题 在河流的中下游,以________作用为主,河谷横断面呈“U”字形。
点击查看答案
本题答案:侧蚀
本题解析:试题答案侧蚀
70、问答题 土粒中的自由水有哪两类?
点击查看答案
本题答案:毛细水、重力水
本题解析:试题答案毛细水、重力水
71、单项选择题 下面不属于矿物物理性质的是
A.光泽
B.颜色
C.软化性
D.硬度
点击查看答案
本题答案:C
本题解析:暂无解析
72、填空题 土的稠度状态依次可分为()()()(),其界限含水率依次是()()().
点击查看答案
本题答案:固态、半固态、可塑态、流动态、缩限、塑限、液限
本题解析:试题答案固态、半固态、可塑态、流动态、缩限、塑限、液限
73、问答题 砂土的密实度利用什么方法确定?
点击查看答案
本题答案:(1)相对密实度Dr,(2)标准贯入试验
<
本题解析:试题答案(1)相对密实度Dr,(2)标准贯入试验
74、问答题 根据挡土墙的移动情况,土压力分为那些类型?
点击查看答案
本题答案:分为静止土压力、主动土压力和被动土压力。
本题解析:试题答案分为静止土压力、主动土压力和被动土压力。
75、问答题 什么叫做岩体,它与岩石有何区别?
点击查看答案
本题答案:岩体是由一种或多钟岩石构成的地质体,包含岩层的层理、节
本题解析:试题答案岩体是由一种或多钟岩石构成的地质体,包含岩层的层理、节理断层、软弱夹层等类结构面和由结构切割成大小不一、形状各异的岩块所组成的复合体。岩石是由一种或多种矿物所组成,并且有结构与构造特性的固体岩块。岩石和岩体的工程性状是不一样的。一般的坚硬岩石强度较高,变形模量较大;岩体的强度相对较低,变形较大。
76、问答题 地基变形有哪三个阶段?
点击查看答案
本题答案:(1)压密阶段(2)剪切阶段 (3)破坏阶段
本题解析:试题答案(1)压密阶段(2)剪切阶段 (3)破坏阶段
77、单项选择题 下列参数中,与孔隙水压力系数B的大小有关的是()
A.重度
B.饱和重度
C.超固结比
D.饱和度
点击查看答案
本题答案:D
本题解析:暂无解析
78、判断题 有效应力的大小控制着土体的强度和变形。()
点击查看答案
本题答案:对
本题解析:暂无解析
79、问答题 简述影响土抗剪强度的因素。
点击查看答案
本题答案:影响土抗剪强度的因素主要有:
(1)土粒的矿
本题解析:试题答案影响土抗剪强度的因素主要有:
(1)土粒的矿物成分、颗粒形状与级配。颗粒越粗,表面越粗糙,棱角状颗粒,其内摩擦角越大;粘土矿物成分不同,土粒表面薄膜水和电分子力不同,内聚力也不同;胶结物质可使内聚力增大。
(2)土的原始密度。原始密度越大,土粒间表面摩擦力和咬合力越大,即内摩擦角越大;同时,密度越大,土粒紧密接触,土内聚力也越大。
(3)土的含水量。当含水量增加时,水分在土粒表面形成润滑剂,使内摩擦角减小;含水量增加也使薄膜水变厚,则粒间电分子引力减弱,内聚力降低。
(4)土的结构。土的结构受扰动,则内聚力降低。
(5)试验方法和加荷速度。试验方法和加荷速率不同,特别在不同试验排水条件下,得到的抗剪强度数值是不同的。
80、问答题
如图所示,设河水深2m,河床表层为细砂,其颗粒比重ds=2.7,天然孔隙比e=0.8.若将一井管沉至河床底下3m,并将管内的砂土全部挖出,再从井管内抽水,问井内水位降低多少时会引起流土破坏?

点击查看答案
本题答案:
试题答案
81、填空题 根据墙的位移情况和墙后土体所处的应力状态,土压力可分为()、()、()。
点击查看答案
本题答案:静止土压力、主动土压力、被动土压力
本题解析:试题答案静止土压力、主动土压力、被动土压力
82、问答题 毕肖甫法分析土坡稳定有哪些优点和缺点?
点击查看答案
本题答案:毕肖甫提出一个考虑条块侧面力的土坡稳定分析法,称为毕肖
本题解析:试题答案毕肖甫提出一个考虑条块侧面力的土坡稳定分析法,称为毕肖甫法
优点:
(1)毕肖甫法与严格的极限平衡分析法相比,结果比较接近。
(2)计算简单精确,是目前工程中常用的一种方法。
缺点:
(1)毕肖甫法确定的边坡稳定系数并不能真正代表边坡的稳定系数,因为滑动面是任意的。
(2)对于非均质的,边界条件比较复杂的,用毕肖甫法寻找最危险滑动面是最空难的。
83、问答题 影响土抗剪强度指标的因素主要有哪些?
点击查看答案
本题答案:(1)土的成分、形状、大小、颗粒级配
(2)
本题解析:试题答案(1)土的成分、形状、大小、颗粒级配
(2)含水量
(3)密度
(4)土体结构的扰动情况
(5)孔隙水压力的影响
84、判断题 粘性土的渗透系数与土颗粒的级配情况无关。()
点击查看答案
本题答案:错
本题解析:暂无解析
85、问答题 挡土墙的土压力有哪三种?是如何定义的?在相同条件下,哪一种最大?影响土压力的大小和分布的因素有哪些?
点击查看答案
本题答案:(1)分为三种,分别是:
①.主动土压力:墙
本题解析:试题答案(1)分为三种,分别是:
①.主动土压力:墙在土压力作用下向背离填土方向移动火绕墙转时,当墙的移动或转动达到某一数量时,滑动面上的剪应力等于土的抗剪强度,墙后土体达到主动极限平衡状态,形成滑动面,这时作用在墙上的土推力达到最小值.
②.被动土压力:当挡土墙在外力作用下向着填土方向移动火转动时,直到墙的移动量足够大,滑动面上的剪应力等于抗剪强度,墙后土体达到被动极限状态,土体发生向上滑动,这时作用在墙上的抗力达到最大值.
③.静止土压力:若挡土墙具有足够的刚度,且建立在墙后土体的推力作用下,不产生任何移动火转动,则墙后土体处于弹性平衡状态,这时,作用在墙背上的土压力称为静止土压力.
(2)在相同条件下,被动土压力值最大.
86、名词解释 强夯法
点击查看答案
本题答案:反复将夯锤提高到高处使其自由落下,给地基以冲击和振动能
本题解析:试题答案反复将夯锤提高到高处使其自由落下,给地基以冲击和振动能量,将地基土夯实的地基处理方法。
87、填空题 岩石与水相互作用时所表现的性质称为________。
点击查看答案
本题答案:水理性质
本题解析:试题答案水理性质
88、填空题 褶曲的基本形态是背斜和_______________。
点击查看答案
本题答案:向斜
本题解析:试题答案向斜
89、单项选择题 若某砂土的天然孔隙比与其能达到的最大孔隙比相等,则该土( )
A.处于最疏松状态
B.处于中等密实状态
C.处于最密实状态
D.处于多孔结构
点击查看答案
本题答案:A
本题解析:暂无解析
90、判断题 库伦土压力理论假定墙后的填土是理想的散粒体。
点击查看答案
本题答案:对
本题解析:暂无解析
91、问答题 岩层的产状要素有哪几个?
点击查看答案
本题答案:走向、倾向、倾角
本题解析:试题答案走向、倾向、倾角
92、名词解释 复合地基
点击查看答案
本题答案:部分土体被增强或被置换形成增强体,由增强体和周围地基土
本题解析:试题答案部分土体被增强或被置换形成增强体,由增强体和周围地基土共同承担荷载的地基。
93、问答题 什么是地基承载力特征值?它与抗剪强度有无关系?
点击查看答案
本题答案:保证地基稳定的条件下,单位面积上所能承受的最大应力称为
本题解析:试题答案保证地基稳定的条件下,单位面积上所能承受的最大应力称为地基承载力特征值。它的大小由土的抗建强度决定的。
94、问答题 减轻不均匀沉降的危害应采取哪些措施?
点击查看答案
本题答案:(1)建筑措施
(2)结构措施
(
本题解析:试题答案(1)建筑措施
(2)结构措施
(3)施工措施
95、单项选择题 表示岩层在空间倾斜角大小的是
A.走向
B.倾角
C.倾向
D.走向角
点击查看答案
本题答案:B
本题解析:暂无解析
96、问答题 地下水对自重应力是否有影响?水位以下自重应力计算利用什么重度?
点击查看答案
本题答案:地下水对自重应力有影响,水位以下自重应力计算利用有效重
本题解析:试题答案地下水对自重应力有影响,水位以下自重应力计算利用有效重度。
97、填空题 在褶皱构造中,背斜和向斜的轴部比较发育的裂隙类型为________。
点击查看答案
本题答案:张裂隙(或张节理)
本题解析:试题答案张裂隙(或张节理)
98、问答题 影响土的抗剪强度大小的因素有哪些?
点击查看答案
本题答案:影响土的抗剪强度大小的因素是多方面的,然后主要的是与土
本题解析:试题答案影响土的抗剪强度大小的因素是多方面的,然后主要的是与土中抗剪阻力和剪应力两者相作用的条件有关。
首先是土本身所具有抗剪阻力的基本性能,包括土的成分、颗粒大小及其结构性质和应力历史等;
其次是作用于土的剪应力剪切破坏的实际条件,包括应力水平、排水条件、应力路径、加载速率和剪切速率和应力状态等
99、判断题 侧限压缩试验所获得的e—p压缩曲线愈陡,土的压缩性愈低。()
点击查看答案
本题答案:错
本题解析:暂无解析
100、判断题 质量式流量计被测量的流量不受流体温度、压力、密度、粘度等的影响。
点击查看答案
本题答案:对
本题解析:暂无解析
101、单项选择题 发生流土的水利条件为()
A.j<ic
B.j>ic
C.i<ic
D.i>ic
点击查看答案
本题答案:D
本题解析:暂无解析
102、判断题 朗肯土压力理论的基本假设是:墙背直立,粗糙且墙后填土面水平。
点击查看答案
本题答案:错
本题解析:暂无解析
103、问答题 挡土墙有哪些类型?
点击查看答案
本题答案:重力式、悬背式、扶壁式、锚定板与锚杆式、板桩墙。
本题解析:试题答案重力式、悬背式、扶壁式、锚定板与锚杆式、板桩墙。
固结快剪:适用于介于上述两种情况之间的工程情况。
104、问答题
图示挡土墙,墙后填土的性质指标如图示,试用朗肯理论计算并画出图示挡土墙上的主动土压力分布图,并计算其合力大小。

点击查看答案
本题答案:
试题答案
105、名词解释 先期固结压力
点击查看答案
本题答案:土形成过程中土土结构骨架曾受到过有效的压力
本题解析:试题答案土形成过程中土土结构骨架曾受到过有效的压力
106、名词解释 岩石的结构
点击查看答案
本题答案:
试题答案
107、问答题 对于灵敏度较高的软粘土作为持力层,施工时应注意什么?
点击查看答案
本题答案:要合理安排施工顺序,开挖基槽时预留一定的厚度。
本题解析:试题答案要合理安排施工顺序,开挖基槽时预留一定的厚度。
108、判断题 沉积岩的层理构^造**映的是沉积岩形成的环境、沉积物和运动特征。()
点击查看答案
本题答案:对
本题解析:暂无解析
109、填空题 矿物抵抗外力刻划、压入或研磨等机械作用的能力称为________。
点击查看答案
本题答案:硬度
本题解析:试题答案硬度
110、问答题
用朗肯土压力理论计算图示挡土墙上的主动土压力合力EA的大小。已知:上层土hl=6m,γ1=19.7kN/m3, φ1=35°,c1=0;下层土h2=6m,γ2=18.0kN/m3,φ2=30°,c2=10kPa;表面作用无限均布荷载q=30kPa。

点击查看答案
本题答案:
试题答案
111、问答题 简述影响岩石工程性质的因素。
点击查看答案
本题答案:影响的因素是多方面的,主要的有两方面:一是形成岩石的组
本题解析:试题答案影响的因素是多方面的,主要的有两方面:一是形成岩石的组成部分、结构与构造及成因等;二是分化和水等外部因素的影响。
(1)矿物成分:组成岩石的矿物是直接影响岩石基本性质的主要因素
(2)结构:岩石的结构特征大致可分为两类:一类是结晶联结的岩石,另一类是胶结联结的岩石
(3)构造:构造对岩石的物理力学性质的影响主要指矿物成分在岩石中分布的不均匀性和结构的不连续性,使岩石强度具有各向异性性质
(4)风化作用:自岩石形成后,地表岩石就受到风化作用的影响,严重影响岩石的物理力学性质
112、问答题 崩塌的防治
点击查看答案
本题答案:A防止崩塌的措施:
a通过爆破或打楔的方式来
本题解析:试题答案A防止崩塌的措施:
a通过爆破或打楔的方式来削缓陡崖,清除危石。
b堵塞岩体裂隙或向裂缝内灌浆,以胶结岩石,提高危岩的稳定性。
c引导地表水,以免岩石强度发生迅速变化。
d对斜坡进行铺砌覆盖,或在坡面上喷浆,以防止岩坡风化,避免斜坡进一步变形,提高其稳定性。
B拦挡防御的措施:
a筑明洞或防坍洞。
b筑护墙和围护棚、围护网以阻挡石块堕落。
c在软弱岩石出露处修筑土墙以支持上部岩体的重量。
113、名词解释 管涌
点击查看答案
本题答案:在渗透水流的作用下,土体中的细土粒在粗土粒的孔隙通道中
本题解析:试题答案在渗透水流的作用下,土体中的细土粒在粗土粒的孔隙通道中随水流移动并被带出流失的现象
114、判断题 可以用库伦理论的原公式直接计算粘性土的土压力。()
点击查看答案
本题答案:错
本题解析:暂无解析
115、问答题 影响渗透性的因素有哪些?
点击查看答案
本题答案:(1)粗土粒的渗透性主要决定于孔隙通道的截面积
本题解析:试题答案(1)粗土粒的渗透性主要决定于孔隙通道的截面积
(2)粉质土类渗透性的主要影响因素不是有效颗粒,而是其颗粒而产生的成分形成的团粒直径
(3)粘性土渗透性的主要因素是粘土矿物表面活性作用和原状结构土的空隙比大小
116、问答题 简述毕肖甫法的特点有哪些?
点击查看答案
本题答案:(1)满足整体力矩平衡条件。
(2)满足各条
本题解析:试题答案(1)满足整体力矩平衡条件。
(2)满足各条块力的多边形闭合条件,但不满足条块的力矩平衡条件。
(3)假设各条块间作用力只有法向力没有切向力。
(4)满足极限平衡条件
117、判断题 朗肯土压力理论假设填土表面水平,且无限延伸,墙体是竖直的,墙背是光滑的。()
点击查看答案
本题答案:对
本题解析:暂无解析
118、问答题 通过室内击实试验得到哪两个指标?
点击查看答案
本题答案:最优含水量和最大干密度
本题解析:试题答案最优含水量和最大干密度
119、问答题 简述砂石垫层的主要作用。
点击查看答案
本题答案:(1)提高地基的承载力。
(2)减少沉降量。
本题解析:试题答案(1)提高地基的承载力。
(2)减少沉降量。
(3)加速软弱土层的排水固结。
(4)防止冻胀。
(5)消除膨胀土的胀缩作用。
上述作用中前三种为主要作用,并且在各类工程中,垫层所起的主要作用有时也是不同的,如建筑物基础下的砂垫层主要起换土的作用,而在路堤及土坝等工程中,常常以排水固结为主要作用。
120、问答题 粘性土的天然状态是由什么指标来确定的?
点击查看答案
本题答案:粘性土的状态是由液性指数IL来确定的。
本题解析:试题答案粘性土的状态是由液性指数IL来确定的。
121、问答题 液限与塑限是如何测定的?
点击查看答案
本题答案:通过液塑限试验确定。
本题解析:试题答案通过液塑限试验确定。
122、单项选择题 下列属于岩浆岩结构的是()
A.玻璃质结构
B.碎屑结构
C.泥质结构
D.生物结构
点击查看答案
本题答案:A
本题解析:暂无解析
123、问答题 潜水的等水位线图能够解决的问题有哪些?
点击查看答案
本题答案:确定潜水的流向;确定潜水的水力坡度;确定潜水的埋藏深度
本题解析:试题答案确定潜水的流向;确定潜水的水力坡度;确定潜水的埋藏深度;确定潜水与地表水补排关系;确定泉和沼泽的位置;选择给(排)水建筑物位置。
124、问答题 导致滑坡的可能因素有哪些?
点击查看答案
本题答案:边坡开挖导致的平衡状态的改变;坡顶超载导致下滑力的增加
本题解析:试题答案边坡开挖导致的平衡状态的改变;坡顶超载导致下滑力的增加;降雨等因素导致渗流力的增加和土体抗剪强度的降低。
125、填空题 土的有效应力控制了土的变形和____________。
点击查看答案
本题答案:强度
本题解析:试题答案强度
126、问答题 防治渗透变形的主要措施有哪些?
点击查看答案
本题答案:一般可采取两个措施;
一是降低水力梯度,可以
本题解析:试题答案一般可采取两个措施;
一是降低水力梯度,可以采用降低水头或增设加长渗径等办法
二是在渗流溢出处增设反滤层或加盖压重或在建筑下游设计减压井、减压沟等,使渗流水流有畅通的出路。
127、单项选择题 对饱和弱软粘土地基进行加固,下列方法最适宜的是()
A.强夯法;
B.真空预压法;
C.振冲法;
D.砂石桩法。
点击查看答案
本题答案:B
本题解析:暂无解析
128、问答题 简述三轴实验法的优点和缺点?
点击查看答案
本题答案:优点:可严格控制排水条件;可量测孔隙水压力;破裂面在最
本题解析:试题答案优点:可严格控制排水条件;可量测孔隙水压力;破裂面在最软弱处。
缺点:2=3,轴对称;实验比较复杂。
129、问答题 附加应力沿深度方向分布有何特点?
点击查看答案
本题答案:附加应力沿深度方向逐渐减小
本题解析:试题答案附加应力沿深度方向逐渐减小
130、单项选择题 下列有关地下水位说法错误的是()
A.地下水位上升会使土中自重应力减小
B.地下水位下降会使土中自重应力增大
C.地下水位升降对土中自重应力无影响
D.地下水位升降对土中自重应力的影响无法确定
点击查看答案
本题答案:C
本题解析:暂无解析
131、判断题 岩性是影响滑坡的因素之一
点击查看答案
本题答案:对
本题解析:暂无解析
132、填空题 影响土坡滑动的根本原因是()。
点击查看答案
本题答案:土体内部某个面上的剪应力达到了抗剪强度
本题解析:试题答案土体内部某个面上的剪应力达到了抗剪强度
133、问答题 砂土按颗粒大小分为哪五种?
点击查看答案
本题答案:砾砂、粗砂、中砂、细砂、粉砂
本题解析:试题答案砾砂、粗砂、中砂、细砂、粉砂
134、问答题 利用现场载荷试验如何确定地基的承载力?
点击查看答案
本题答案:利用现场载荷试验的结果,作压力与变形的关系曲线,找出直
本题解析:试题答案利用现场载荷试验的结果,作压力与变形的关系曲线,找出直线与曲线的拐点对应的荷载作为Pcr.
135、名词解释 流砂
点击查看答案
本题答案:渗透力方向与重力方向相反,且向上的渗透力克服了向下的重
本题解析:试题答案渗透力方向与重力方向相反,且向上的渗透力克服了向下的重力时,表层土局部范围内的土体或颗粒群同时发生悬浮、移动的现象。
136、问答题 地基分为哪两类?一般建筑物选择哪一种地基?
点击查看答案
本题答案:地基分为天然和人工两类,一般建筑物选择天然地基
本题解析:试题答案地基分为天然和人工两类,一般建筑物选择天然地基
137、问答题 大坝抗滑稳定计算中主要参数的确定方法有哪些?
点击查看答案
本题答案:经验数据法;工程地质类比法;试验法。
本题解析:试题答案经验数据法;工程地质类比法;试验法。
138、问答题 泥石流形成的基本条件有哪些?
点击查看答案
本题答案:形成泥石流必须具备有丰富的松散泥石物质来源,陡峻的山坡
本题解析:试题答案形成泥石流必须具备有丰富的松散泥石物质来源,陡峻的山坡和较大的沟谷以及能大量集中水源的地形、地质和水文气象条件
139、问答题 简述单向压缩分层总和法计算地基沉降的基本原理和计算步骤。
点击查看答案
本题答案:单向压缩分层总和法计算地基沉降的基本原理:采用分层总和
本题解析:试题答案单向压缩分层总和法计算地基沉降的基本原理:采用分层总和法计算地基沉降时,将地基沉降计算深度范围内的土体划分为若干分层,假定每一分层土体只发生竖向压缩变形,没有侧向变形,并将地基看作均质地基计算出每一分层土的平均附加应力,则采用压缩性指标即可计算出每一层土的压缩量,然后将各分层土的压缩量相加,得到总的压缩变形量即为地基沉降量。
计算步骤:地基的分层;计算各分层土的平均自重应力和平均附加压力;确定地基沉降计算深度;确定计算深度范围内各分层土的压缩指标;确定计算深度范围内各分层土的压缩量;对计算深度范围内各分层压缩量求和,得到地基沉降量。
140、判断 题 影响土的渗透性的因素包括渗透水的性质、土的颗粒大小级配、孔隙比、矿物成分、微观结构和宏观构造等。()
点击查看答案
本题答案:对
本题解析:暂无解析
141、单项选择题 矿物呈橄榄绿色,玻璃光泽,无解理,粒状,该矿物可定名为()
A.辉石
B.角闪石
C.绿泥石
D.橄榄石
点击查看答案
本题答案:D
本题解析:暂无解析
142、名词解释 临塑荷载
点击查看答案
本题答案:地基中即将出现塑性区但还未出现塑性区时所对应的基底压力
本题解析:试题答案地基中即将出现塑性区但还未出现塑性区时所对应的基底压力,即相应于塑性区的最大深度等于零时所对应的基底压力。
143、问答题 土的物理指标哪些是直接测定的?
点击查看答案
本题答案:(1)密度;(2)含水量;(3)相对密度
本题解析:试题答案(1)密度;(2)含水量;(3)相对密度
144、问答题 如何确定沉积岩的相对地质年代?
点击查看答案
本题答案:岩石(体)相对地质年代的确定是依据地层层序律、生物演化
本题解析:试题答案岩石(体)相对地质年代的确定是依据地层层序律、生物演化律以及地质体之间的接触关系三种方法:
A地层层序律未经构造变形影响的沉积岩原始产状应当是水平的或近似水平的。并且先形成的岩层在下面,后形成的岩层在上面。
B生物演化律由于生物是由低级到高级,由简单到复杂不断发展进化的。故可根据岩层中保存的生物化石来判断岩层的相对新老关系。
C地质体之间的接触关系根据沉积岩层之间的不整合接触判断。与不整合面上底砾岩岩性相同的岩层,形成时间较早,另外与角度不整合面产状一致的岩层形成时间较晚。
如果岩层与岩浆岩为沉积接触,则沉积岩形成较晚,如果岩层与岩浆岩为侵入接触,则沉积岩形成时间较早。
145、问答题 膨胀土产生膨胀的原因是什么?
点击查看答案
本题答案:含有膨胀性的粘土矿物(蒙脱石、伊利石)
本题解析:试题答案含有膨胀性的粘土矿物(蒙脱石、伊利石)
146、判断题 摩氏硬度计以十种矿物的硬度表示十个相对硬度等级。
点击查看答案
本题答案:对
本题解析:暂无解析
147、问答题 杂填土由什么组成?
点击查看答案
本题答案:建筑垃圾、粘性土、砂土、生活垃圾。
本题解析:试题答案建筑垃圾、粘性土、砂土、生活垃圾。
148、问答题 地基承载力的确定方法有哪些?
点击查看答案
本题答案:(1)载荷试验(2)公式计算(3)经验法
本题解析:试题答案(1)载荷试验(2)公式计算(3)经验法
149、问答题 强度与变形是否一样?为什么?
点击查看答案
本题答案:不一样,强度是地基土抵抗外力破坏的能力,变形是地基土受
本题解析:试题答案不一样,强度是地基土抵抗外力破坏的能力,变形是地基土受力体积的减小。
150、问答题 潜水的特征有哪些?
点击查看答案
本题答案:潜水面是自由水面,无水压力,只能沿水平方向由高向低流动
本题解析:试题答案潜水面是自由水面,无水压力,只能沿水平方向由高向低流动;潜水面以上无稳定的隔水层,存留于大气中的降水和地表水可通过包气带直接渗入补给而成为潜水的主要补给来源;潜水的水位、水量、水质随季节不同而有明显的变化;潜水易受污染。
151、判断题 当摩尔强度包线与摩尔应力圆相切时,土体处于安全状态。()
点击查看答案
本题答案:错
本题解析:暂无解析
152、填空题 根据断层两盘相对位移的情况,断层可以分为下面三种:正断层、逆断层和________。
点击查看答案
本题答案:平移断层(或走滑断层)
本题解析:试题答案平移断层(或走滑断层)
153、名词解释 地震震级
点击查看答案
本题答案:是依据地震释放出的能量来划分的,用于衡量地震大小的标准
本题解析:试题答案是依据地震释放出的能量来划分的,用于衡量地震大小的标准。地震释放的能量越多,震级就越大
154、判断题 世界上发生的地震90%属于火山地震。()
点击查看答案
本题答案:错
本题解析:暂无解析
155、判断题 结合水是液态水的一种,故能传递静水压力.
点击查看答案
本题答案:错
本题解析:暂无解析
156、判断题 在实际工程中,代表土中某点应力状态的莫尔应力圆不可能与抗剪强度包线相割。
点击查看答案
本题答案:对
本题解析:暂无解析
157、判断题 岩层发生断裂后,两侧岩块具有明显位移的构造称为节理。()
点击查看答案
本题答案:错
本题解析:暂无解析
158、判断题 按规模的大小,滑坡可划分为小型、中型和大型滑坡三类。()
点击查看答案
本题答案:错
本题解析:暂无解析
159、问答题 地震的设计烈度如何确定?
点击查看答案
本题答案:在基本烈度的基础上,考虑建筑物的重要性、永久性、抗震性
本题解析:试题答案在基本烈度的基础上,考虑建筑物的重要性、永久性、抗震性及经济性等要求对烈度做出一定的调整,得出的设计烈度是抗震设计所采用的烈度
160、问答题 简述张节理及其特征?
点击查看答案
本题答案:在地质构造形成过程中,岩层受到张应力作用形成的节理为张
本题解析:试题答案在地质构造形成过程中,岩层受到张应力作用形成的节理为张节理。
特征:节理裂口是张开的,裂口较宽,往深处逐渐变小而闭合;节理面粗糙,很少有擦痕;节理间距较大而不均匀,沿走向和倾向均延伸不远
161、填空题 在某一荷载压力作用下,历时t的土层体积压缩量与主固结完成时的体积压缩量之比,称为地基土的________。
点击查看答案
本题答案:固结度
本题解析:试题答案固结度
162、问答题 影响土压力的大小和分布的因素
点击查看答案
本题答案:土的性质、墙体位移方向、位移大小、土体与结构物间的相互
本题解析:试题答案土的性质、墙体位移方向、位移大小、土体与结构物间的相互作用以及挡土墙的类型。墙体位移方向和位移大小对所产生的土压力性质起着决定性作用。
163、问答题 简述判断土是否发生管涌的方法。
点击查看答案
本题答案:土是否发生管涌,决定于土的性质。一般粘性土只会发生流土
本题解析:试题答案土是否发生管涌,决定于土的性质。一般粘性土只会发生流土而不会发生管涌,故属于非管涌土;无粘性土当同时满足下列两个条件时会产生管涌:
(1)土中粗颗粒所构成的孔隙直径必须大于细颗粒的直径,才可能让细颗粒在其中移动;
(2)渗透力能够带动细颗粒在孔隙间滚动或移动。
164、问答题 影响土压力的因素有哪些?
点击查看答案
本题答案:(1)挡土墙的位移方向和位移量
(2)挡土墙
本题解析:试题答案(1)挡土墙的位移方向和位移量
(2)挡土墙的形状、墙背的光滑程度和结构形式
(3)墙后填土的性质
165、问答题 自重应力计算时不透水层界面上应如何计算?
91ExaM.org点击查看答案
本题答案:上部按正常计算,另外还要计算上部的水压力。
本题解析:试题答案上部按正常计算,另外还要计算上部的水压力。
166、问答题 自重应力和附加应力是如何引起的?
点击查看答案
本题答案:
自重应力由岩土本身的重量引起,附加应力由建
本题解析:试题答案
自重应力由岩土本身的重量引起,附加应力由建筑物荷载引起
167、填空题 挡土墙后填土中有地下水时,会导致挡土墙所受的土压力________。
点击查看答案
本题答案:减小
本题解析:试题答案减小
168、判断题 条分法是将滑动土体竖直分成若干土条,并把土条当成刚体,分别求作用于各土条上的力对圆心的滑动力矩和抗滑力矩。( )
点击查看答案
本题答案:对
本题解析:暂无解析
169、问答题 简述在竖直荷载作用下,地基失稳的破坏形式及其影响因素。
点击查看答案
本题答案:破坏形式:整体剪切破坏,局部剪切破坏,冲剪破坏。
本题解析:试题答案破坏形式:整体剪切破坏,局部剪切破坏,冲剪破坏。
影响因素:地基土的特性,基础的埋置深度。
170、问答题
已知基坑底部有一层厚1.25m的细砂层,其饱和重度 =20.5kN/m3 ,假定该细砂层受到1.85m高的渗流水头的影响,如下图所示,问是否可能发生流砂现象?

点击查看答案
本题答案:
试题答案
171、问答题 库区的工程地质问题有哪些?对水库有什么影响?
点击查看答案
本题答案:库区的工程地质问题有库区渗漏、包括暂时性和永久性的渗漏
本题解析:试题答案库区的工程地质问题有库区渗漏、包括暂时性和永久性的渗漏、水库浸没的问题;一般发生在山间谷地和山前平原中的水库;
水库塌岸问题,一般在平原水库比较严重;水库淤积问题,会减少水库库容,缩短水库寿命。
172、判断题 砂土的抗剪强度由摩擦力和黏聚力两部分组成。
点击查看答案
本题答案:错
本题解析:暂无解析
173、问答题 某饱和粘性土的有效抗剪强度指标为如果该土的试样受到大主应力C=200kPa, φ=20o和小主应力δ1=200kPa,δ3=120kPa的作用,并测得孔隙水压力为u=100kPa,问该试样是否会破坏?
点击查看答案
本题答案:
试题答案
174、问答题 无粘性土与粘性土的抗剪强度有何区别?
点击查看答案
本题答案:无粘性土只有内摩擦力,无凝聚力;粘性土既有内摩擦力,又
本题解析:试题答案无粘性土只有内摩擦力,无凝聚力;粘性土既有内摩擦力,又有凝聚力。
175、问答题 简述岩溶与土洞的主要治理方法。
点击查看答案
本题答案:(1)、填挖
(2)、跨盖
(3)
本题解析:试题答案(1)、填挖
(2)、跨盖
(3)、灌注
(4)、排导
(5)、地基加固
176、判断题 同一种土,其抗剪强度值在不同的条件下不同。
点击查看答案
本题答案:对
本题解析:暂无解析
177、问答题 土体压缩体积减小的原因有哪些?
点击查看答案
本题答案:(1)土颗粒重新排列(2)孔隙减小(3)水和气体被挤出
本题解析:试题答案(1)土颗粒重新排列(2)孔隙减小(3)水和气体被挤出
178、名词解释 软弱地基
点击查看答案
本题答案:指主要由淤泥、淤泥质土、冲填土、杂填土或其它高压缩性土
本题解析:试题答案指主要由淤泥、淤泥质土、冲填土、杂填土或其它高压缩性土层构成的地基。
179、问答题 建筑物产生倾斜的原因是什么?
点击查看答案
本题答案:地基产生了不均匀沉降
本题解析:试题答案地基产生了不均匀沉降
180、问答题 简述影响斜坡(滑坡)稳定性的主要因素和治理原则、治理原则。
点击查看答案
本题答案:主要因素:
(1)斜坡外形:斜坡越高陡以及斜
本题解析:试题答案主要因素:
(1)斜坡外形:斜坡越高陡以及斜坡中上部突起而下部凹进,且坡脚无抗滑地形时,滑坡容易发生;
(2)岩性:滑坡主要发生在易亲水软化的图层中和一些软岩中;
(3)构造:斜坡内的软弱面与斜坡坡面倾向一致、且坡角较大时,易产生沿软弱面的滑动;
(4)水的作用:水的作用可使岩石软化,强度降低,使岩土体加速风化,增加下滑坡力等;
(5)地震及人为因素:地震及人为因素常常破坏破体内原有的应力平衡状态而促使坡体下滑。
治理原则:预防为主,防治结合;查明情况,对症下药;综合整治,有主有次;早治小治,
贵在及时;力求根治,以防后患;因地制宜,就地取材,安全经济,正确施工。
治理措施:1。绕避滑坡2。削坡减载3。支挡4。排水防水
181、问答题 何谓岩石的水理性质?其包括哪几方面的内容?
点击查看答案
本题答案:岩石的水理性质:指岩石与水相互作用时所表现的性质,通常
本题解析:试题答案岩石的水理性质:指岩石与水相互作用时所表现的性质,通常包括岩石的吸水性、透水性、软化性和抗冻性。
182、问答题 机械压实法适用于怎样的地基处理?主要有哪些方法?
点击查看答案
本题答案:含水量不是很高(最优含水量),方法有:重锤夯实法、机械
本题解析:试题答案含水量不是很高(最优含水量),方法有:重锤夯实法、机械碾压法、振动压实法。
183、单项选择题 下列不属于滑坡的治理措施的是()
A.绕避滑坡
B.斜坡体上的盖重加载
C.支挡
D.排水防水
点击查看答案
本题答案:B
本题解析:暂无解析
184、问答题 简述直接剪切仪的优缺点。
点击查看答案
本题答案:优点:构造简单、操作方便
缺点:
本题解析:试题答案优点:构造简单、操作方便
缺点:
(1)剪切面限定在上下盒之间的平面,而不是沿土样最薄的面剪切破坏
(2)剪切面上剪切应力分布不均匀,土样剪切破坏时先从边缘发生应力集中现象
(3)在剪切过程中,土样剪切面逐渐缩小,而在计算抗剪强度时却是按土样的原截面积计算的
(4)试验时不能严格控制排水条件,不能量测孔隙水压力
185、问答题 什么是地震烈度
点击查看答案
本题答案:地震烈度是表示某地受地震影响的破坏程度,它不仅取决于地
本题解析:试题答案地震烈度是表示某地受地震影响的破坏程度,它不仅取决于地震的能量,同时也受震源深度与震中的距离、地震波的传播介质以及表土性质等条件的影响
186、填空题 沉积岩的主要构造形式是_______________。
点击查看答案
本题答案:层理构造
本题解析:试题答案层理构造
187、单项选择题 影响边坡稳定的因素有()。
A土的类别、土的湿化程度影响�土内含水多
B边坡容易失稳
C气候的影响使土质松软
点击查看答案
本题答案:A
本题解析:暂无解析
188、判断题 斜坡上出现“醉林”表示滑坡处于滑动蠕动阶段。()
点击查看答案
本题答案:错
本题解析:暂无解析
189、问答题 某基坑开挖深度为5m,土体为细砂,饱和度γsat=19.5Kn/m3,地下水位在地表。基坑坑壁用不透水的板桩支撑,板桩打入坑底以下4m。若在坑底四周设置排水沟,问是否可能发生流砂现象?
点击查看答案
本题答案:
试题答案
190、问答题
地基中某一薄层,其厚度h1=2.0m,薄层顶面处自重应力σcl=82kPa,底面处的自重应力σc2=118kPa,在荷载作用下,薄层顶面处的附加应力σz1=62kPa,底面处的附加应力σz2=38kPa,试计算薄层的压缩变形量。

点击查看答案
本题答案:
试题答案
191、问答题 简述确定地基处理的主要方法步骤。
点击查看答案
本题答案:(1)根据结构类型、荷载大小及使用要求,结合地形地貌、
本题解析:试题答案(1)根据结构类型、荷载大小及使用要求,结合地形地貌、地层结构、土质条件、地下水特征、环境情况和对邻近建筑等因素进行综合分析,初步选出几种可供考虑的地基处理方案
;(2)对初选的几种地基处理方案,分别从加固原理、适用范围、预期处理效果、耗用材料、施工机械、工期要求和对环境影响等各方面进行技术经济分析与对比,选择最佳地基处理方案;
(3)对已选定的地基处理方案,宜按建筑物地基基础设计等级和场地复杂程度,在有代表性的场地上进行相应得现场试验或试验性施工,并进行必要的测试,以检验设计参数和处理效果。如达不到设计要求时,应查明原因,修改设计参数或调整地基处理方法。
192、问答题 常用土的抗剪强度试验方法有哪些?
点击查看答案
本题答案:直接剪切试验、三轴压缩试验、无侧限抗压强度试验、十字板
本题解析:试题答案直接剪切试验、三轴压缩试验、无侧限抗压强度试验、十字板剪切试验
193、问答题 土的物理指标哪些是直接测定的?其余指标如何确定?
点击查看答案
本题答案:实测指标:密度、含水量、相对密度;其余指标通过公式计算
本题解析:试题答案实测指标:密度、含水量、相对密度;其余指标通过公式计算。
194、问答题 影响土压力因素有哪些?
点击查看答案
本题答案:影响土压力的因素包括:墙的位移方向和位移量;墙后土体所
本题解析:试题答案影响土压力的因素包括:墙的位移方向和位移量;墙后土体所处的应力状态;墙体材料、高度和结构形式;填土表面的形状;墙和地基之间的摩擦特性;地基的变形等。
195、问答题 三轴剪切实验与直接剪切实验产生的破裂面有何区别?
点击查看答案
本题答案:答:三轴剪切实验是破裂面是一自然面,它与大主应力作用面
本题解析:试题答案答:三轴剪切实验是破裂面是一自然面,它与大主应力作用面之间的夹角是45°+/2;直接剪切实验产生的破裂面是人为的平面。
196、填空题 地震震级是依据地震释放出的________来划分的。
点击查看答案
本题答案:能量
本题解析:试题答案能量
197、填空题 土的颗粒级配是指组成土颗粒组合的搭配比例,可以用颗粒级配曲线表示.其中横坐标代表(),纵坐标代表().
点击查看答案
本题答案:颗粒的直径(用对数表示)、小于某粒质量占全部土粒质量的百分比
本题解析:试题答案颗粒的直径(用对数表示)、小于某粒质量占全部土粒质量的百分比
198、填空题 用朗肯理论计算土压力时,假定墙背光滑是为了满足()的边界条件。
点击查看答案
本题答案:竖直面上的剪应力为零
本题解析:试题答案竖直面上的剪应力为零
199、问答题 简述地基处理的目的。
点击查看答案
本题答案:地基处理的目的主要是改善地基土的工程性质,达到满足建筑
本题解析:试题答案地基处理的目的主要是改善地基土的工程性质,达到满足建筑物对地基稳定性和变形的要求,包括改善地基土的变形特性和渗透性,提高其抗剪强度和抗液化能力,消除其它不利影响。
200、问答题 识别滑坡的标志有哪些?
点击查看答案
本题答案:识别滑坡的标志有:A地形地貌方面:滑坡形态特征、阶地、
本题解析:试题答案识别滑坡的标志有:A地形地貌方面:滑坡形态特征、阶地、夷平面高程对比。
B地质构造方面:滑体上产生小型褶曲和断裂现象,滑体结构松散、破碎。
C水文地质方面:结构破碎→透水性增高→地下水径流条件改变→滑体表面出现积水洼地或湿地。
D植被方面:马刀树、醉汉林。
E滑动面的鉴别:勘探:钻探。变形监测:钻孔倾斜仪。
题库试看结束后
微信扫下方二维码即可打包下载完整版《★土木建筑工程》题库
手机用户可保存上方二维码到手机中,在微信扫一扫中右上角选择“从相册选取二维码”即可。
题库试看结束后微信扫下方二维码即可打包下载完整版《土木建筑工程:工程地质与土力学》题库,分栏、分答案解析排版、小字体方便打印背记!经广大会员朋友实战检验,此方法考试通过率大大提高!绝对是您考试过关的不二利器!
手机用户可保存上方二维码到手机中,在微信扫一扫中右上角选择“从相册选取二维码”即可。
微信搜索关注"91考试网"公众号,领30元,获取公务员事业编教师考试资料40G