时间:2018-08-22 22:40:28


1、单项选择题 根据《中华人民共和国合同法》的规定,下列合同中属于无效合同的是()。
A.无权处分人处分他人财产订立的合同
B.限制民事行为能力人订立的合同
C.当事人一方以欺诈手段订立的损害国家利益的合同
D.显失公平的合同
2、多项选择题 与发行股票相比,债券融资的优点是()。
A.利息允许在所得税后支付,债券成本一般低于股票成本
B.债券发行费用较低,其利息允许在所得税前支付
C.利息固定,降低融资企业的风险
D.更多的收益可用于分配给股东,同时分散股东对企业的控制权
E.便于调整资本结构
3、单项选择题 成本分析、成本考核、成本核算是建设工程项目施工成本管理的重要环节,仅就此三项工作而言,其正确的工作流程是()。
A.成本核算→成本分析→成本考核
B.成本分析→成本考核→成本核算
C.成本考核→成本核算→成本分析
D.成本分析→成本核算→成本考核
4、单项选择题 某分部工程划分为4个施工,组织加快的成倍节拍流水施工,如果流水节拍分别为6、4、4、2天,则流水步距为()天。
A.1
B.2
C.4
D.6
5、单项选择题 美国建筑师学会的合同条件体系分为A、B、C、D、F、G系列,其中G系列是()。
A.合同和办公管理表格
B.财务管理表格
C.发包人与承包人之间的合同文件
D.建筑师行业所用的文件
6、单项选择题 建筑企业应在工程项目()办理完投保手续。
A.竣工前
B.开工前
C.开工后
D.审批前
7、单项选择题 设计概算的审查方法中,对审查中发现的问题和偏差,对照单项工程、单位工程的顺序目录分类整理,汇总核增或核减的项目及金额,最后汇总审核后的总投资及增减投资额的方法是()。
A.对比分析法
B.主要问题复核法
C.查询核实法
D.分类整理法
8、多项选择题 按项目的经济效益和市场需求划分,工程项目可划分为()。
A.商业建设项目
B.竞争性项目
C.更新改造项目
D.基础性项目
E.公益性项目
9、单项选择题
某分部工程双代号时标网络计划如下图所示,其中工作A的总时差和自由时差()天。
A.分别为1和0
B.均为1
C.分别为2和0
D.均为0
10、多项选择题 线性盈亏平衡分析的前提条件包括()。
A.生产量等于销售量
B.生产多种产品,且分别计算
C.只生产单一产品;或者生产多种产品,但可以换算为单一产品计算
D.生产量变化,销售单价不变,从而使销售收入成为销售量的线性函数
E.生产量变化,单位可变成本不变,从而使总生产成本成为生产量的线性函数
11、多项选择题 按规模不同,投资方案可分为()。
A.相同服务寿命的方案
B.不同规模的方案
C.不同服务寿命的方案
D.相同规模的方案
E.无限长寿命的方案
12、单项选择题 根据我国《税收征收管理法》的规定,以下属于财产税的是()。
A.营业税
B.印花税
C.契税
D.耕地占用税
13、多项选择题 根据《建设工程项目管理规范》的规定,项目管理规划大纲的编制依据包括()。
A.可行性研究报告
B.项目进度计划
C.设计问价、标准与有关规定
D.相关市场信息
E.环境信息
14、单项选择题 甲建筑公司以16000万元的总承包额中标为某房地产开发公司承建一幢写字楼,之后甲建筑公司又将该写字楼工程的装饰工程以7000万元分包给乙建筑公司,则甲建筑公司应缴建筑业营业税为()万元。
A.210
B.270
C.480
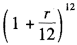
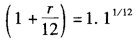
D.690
15、单项选择题 根据我国《合同法》的规定,构成违约责任的核心要件是()。
A.违约方当事人客观上存在违约行为
B.违约当事人主观上有过错
C.守约方当事人客观上存在损失
D.由合同当事人在法定范围内自行约定
16、单项选择题 某机器设备原始价值50万元,折旧年限8年。采用年数总和法计提折旧,则第4年的折旧率为()。
A.2/8
B.4/8
C.4/36
D.5/36
17、单项选择题 某工程计划砌筑砖基础工程量为150m,每m用砖523块,每块砖计划价格为0.2元。实际砌筑砖基础工程量为160m,每m用砖520块,每块砖实际价格为0.17元。则由于砖的单价变动使施工总成本节约()元。
A.2340.0
B.2353.5
C.2496.0
D.2510.4
18、单项选择题 经营成本不包括()。
A.外购原材料费
B.生产工人工资及福利费
C.修理费
D.折旧费
19、单项选择题 下列方法中,既可用于价值工程对象选择,又可用于确定功能重要性系数的是()。
A.因素分析法
B.重点选择法
C.专家检查法
D.强制确定法
20、单项选择题 经营性建设项目都要实施建设项目法人责任制,如果由原有企业负责建设项目,需要设立子公司的,()。
A.需要重新设立项目法人
B.原有企业法人就是项目法人
C.项目领导小组就是项目法人
D.不需设立项目法人,但是原有企业法人需向项目派遣专职管理人员
21、单项选择题 交通建设项目属于()建设项目。
A.工业
B.农业
C.基础设施
D.商业
22、多项选择题 根据《政府采购法》的规定,集中采购机构进行政府采购活动,应符合的要求是()。
A.采购量更大
B.采购质量优良
C.采购效率更高
D.服务良好
E.采购价格低于市场平均价格
23、多项选择题 根据我国《合同法》的规定,致使合同无效的情形有()。
A.以合法形式掩盖非法目的
B.一方以欺诈、胁迫的手段订立合同,损害国家利益
C.恶意串通,损害国家、集体或者第三人利益
D.损害社会公共利益
E.因重大误解订立合同
24、单项选择题 在工程招投标阶段通过签订总承包合同、建筑安装工程承包合同、设备材料采购合同,以及技术和咨询服务合同所确定的价格称为()。
A.决算价
B.合同价
C.预算造价
D.概算造价
25、单项选择题 诉讼时效的期间从权利人知道或者应当知道其权利被侵害之日起开始计算,但从权利被侵害之日起,超过()年的,人民法院不予保护。
A.5
B.10
C.15
D.20
26、单项选择题 根据《注册造价工程师管理办法》的规定,对申请变更注册、延续注册的,注册初审机关应当自受理申请之日起()d内审查完毕,并将申请材料和初审意见报注册机关。
A.5
B.10
C.15
D.20
27、单项选择题 当项目的计算期为6年时,该项目的净现值为-215万元,当项目的计算期为7年时,该项目的净现值为15万元,则该项目的动态投资回收期为()年。
A.6.93
B.6.07
C.6
D.7
28、单项选择题 某企业于年初向银行借款1500万元,其年有效利率为10%,若按月计息,则该年第三季度末借款本利和为()万元。
A.1611.1
B.1612.5
C.1616.3
D.1237.5
29、单项选择题 根据我国《工程造价咨询单位管理办法》的规定,下列表述中正确的是()。
A.工程造价咨询单位合并时,应交回原资质证书,重新申请资质等级
B.合并后的工程造价咨询单位只能申请乙级工程造价咨询单位资质等级
C.工程造价咨询单位合并时,合并后的企业可以承继合并前各方中较高的资质等级
D.对于年检不合格的工程造价咨询单位,其限期整改时间为1年
30、多项选择题 根据《城市房地产管理法》的规定,土地使用权出让,可以采取()的方式。
A.征收
B.拍卖
C.继承
D.招标
E.双方协议
31、单项选择题 关于工程总费用中直接费和间接费的表述,正确的是()。
A.直接费由人工费、材料费及企业经营管理的全部费用组成
B.施工方案不同,直接费相同
C.如果施工方案一定,工期不同,直接费相同
D.间接费一般会随着工期的缩短而减少
32、单项选择题 投资回收期作为方案选择和项目排队的评价准则是()。
A.不可靠的
B.动态性的
C.不可行的
D.客观性的
33、单项选择题 与平行承包模式相比较,总分包模式的特点表现为()。
A.业主组织管理和协调工作量大
B.有利于业主对工程质量实施控制
C.有利于吸引更多的投标人参与竞争
D.有利于控制工程造价
34、多项选择题
某分部工程双代号网络计划如下图所示,图中的错误有()。
A.工作代号重复
B.节点编号有误
C.多个起点节点
D.多个终点节点
E.存在循环回路
35、单项选择题 累加数列错位相减取大差法的基本步骤的第一步是()。
A.求得各施工过程流水节拍的累加数列
B.将相邻施工过程流水节拍累加数列中的后者错后一位
C.计算相邻施工过程之间的流水步距
D.计算最后一个施工过程在各施工段流水节拍之和
36、单项选择题 项目成本比率法分析中,()是将同类指标不同时期的数值进行对比,求出比率,以分析该项指标的发展方向和发展速度的方法。
A.构成比率法
B.相关比率法
C.动态比率法
D.差额比率法
37、单项选择题 某施工企业既从事建筑安装,又销售建筑材料,则()。
A.应该分别核算、分别申报和缴纳营业税和增值税
B.对企业的收入征收增值税
C.对企业的收入既征收增值税,又增收营业税
D.对企业的收入征收营业税
38、多项选择题 按股东承担风险和享有权益的大小,股票可分为()。
A.优先股
B.普通股
C.公募股
D.私募股
E.弹性股
39、多项选择题
某项目的现金流量如图4-2所示,则下列等式正确的有()。
A.P=-30(P/A,i,3)+40(P/F,i,4)+60(P/A,i,5)(P/F,i,5)
B.P=-30(P/A,i,4)(1+i)+40(P/F,i,4)+60(P/A,i,6)(P/F,i,4)
C.P=-30-30(P/A,i,3)+40(P/F,i,4)+60(P/A,i,10)
D.P=-30-30(P/A,i,3)+40(P/F,i,4)+60(P/A,i,5)(P/F,i,5)
E.P=-30-30(P/A,i,3)+40(P/F,i,4)+60(P/A,i,6)(P/F,i,4)
40、多项选择题 工程项目可分为新建项目、()。
A.扩建项目
B.改建项目
C.迁建项目
D.重置项目
E.恢复项目
41、多项选择题 工程造价咨询单位的()行为将处以1万以上3万元以下的罚款。
A.提供虚假材料申请工程造价咨询企业资质的
B.伪造、涂改《工程造价咨询单位资质证书》的
C.未取得《工程造价咨询单位资质证书》的单位从事工程造价咨询业务的
D.工程造价咨询单位主要技术负责人变更未办理变卖更手续
E.违反规定,新设立的分支机构不办理备案的
42、多项选择题 下列指标中,取值越大说明项目的效益越好的是()。
A.投资回收期
B.投资收益率
C.净现值
D.内部收益率
E.净年值
43、多项选择题 关于工程项目经济评价应遵循的基本原则描述正确的有()。
A.有无对比
B.效益与费用计算口径对应一致
C.收益与风险权衡
D.定量分析与定性分析相结合,以定性分析为主
E.动态分析与静态分析相结合,以静态分析为主
44、单项选择题 工程项目多方案比选不包括()。
A.工艺方案比选
B.地域方案比选
C.规模方案比选
D.污染防治措施方案比选
45、单项选择题 工程造价最高限额的合理确定要求在()阶段,按照有关规定编制的投资估算,经有关部门批准,作为该项目的控制造价。
A.项目建议书
B.项目可行性研究
C.初步设计
D.施工图设计
46、多项选择题  ; 按功能的量化标准分类,产品的功能可分为()。
A.过剩功能
B.不足功能
C.必要功能
D.不必要功能
E.辅助功能
47、单项选择题 广义的财产保险包括财产损失保险、信用保证保险、责任保险。请根据财产保险的相关知识解答以下题: 下列关于代位求偿原则的说法不正确的是()。
A.该原则适用于财产保险和人身保险
B.保险人不得向被保险人的家庭成员行使代位求偿权,除非他们故意造成保险事故的发生
C.保险代位求偿的目的在于既要防止被保险人也要防止保险人取得额外利益
D.保险人依法行使代位求偿权,不影响被保险人就未取得保险赔偿的部分向第三者请求赔偿
48、多项选择题 工程设备租赁的不足体现在()。
A.无法获得良好的技术服务
B.长年支付租金,形成长期负债
C.租赁合同规定严格。毁约要赔偿损失,罚款较多
D.在租赁期间承租人对租用设备无所有权,只有使用权
E.承租人在租赁期间所交的租金总额一般比直接购置设备的费用要高,即资金成本较高
49、单项选择题 英国的工料测量师被认为是工程建设的()。
A.造价师
B.积算师
C.经济师
D.估价师
50、单项选择题
工程项目承发包模式中,如下图所示的模式是()。

A.总分包模式
B.平行承包模式
C.联合体承包模式
D.合作体承包模式
51、多项选择题 净现值用于互斥方案评价时的方法有()。
A.最小公倍数法
B.无限计算期法
C.最大公约数法
D.错位相减法
E.研究期法
52、单项选择题 采用CM承包模式时,施工任务要进行多次分包,每次分包都通过招标展开竞争、谈判进行详细讨论,从而使各个分包合同价格汇总后形成的合同总价更具()。
A.科学性
B.准确性
C.合理性
D.说服性
53、单项选择题 现金流量图中整个横轴可看成是所考察的经济系统的()。
A.现金流量发生的时点
B.现金流出
C.现金流量的数值
D.寿命期
54、多项选择题
某工程双代号网络计划中各个节点的最早时间和最迟时间如下图所示。该计划表明()。
A.工作1-2和工作1-3同为关键工作
B.工作2-5的总时差与自由时差相等
C.工作3-5与工作4-7的自由时差相等
D.工作3-6的总时差与自由时差相等
E.工作5-7和工作6-7同为非关键工作
55、多项选择题 按照项目经理的权限的不同,矩阵制组织可分为()。
A.强矩阵组织形式
B.中矩阵组织形式
C.大矩阵组织形式
D.小矩阵组织形式
E.弱矩阵组织形式
56、多项选择题 根据我国《合同法》,下列关于要约和承诺的说明,正确的是()。
A.合同的成立,必须要经过要约邀请、要约和承诺三个阶段
B.要约达到受要约人时生效,承诺通知发出时生效
C.要约可以不具备合同的主要条款
D.要约可以撤回,也可以撤销
E.承诺可以撤回
57、单项选择题 现金流量图是一种反映经济系统资金运动()的图式。
A.方向
B.状态
C.速率
D.规律
58、多项选择题 职能制组织机构 的主要优点是()。
A.保持了统一指挥的特点
B.权力集中
C.结构简单
D.注意发挥各类专家在项目管理中的作用
E.强调管理业务的专门化
59、单项选择题 当评价计算期不同的互斥方案的经济效果时,可采用的动态评价方法是()。
A.年折算费用法和增量内部收益率法
B.综合总费用法和无限期计算法
C.研究期法和最小公倍数法
D.增量投资收益率法和年费用法
60、多项选择题 投资收益率指标的不足之处是()。
A.经济意义不够明确
B.没有考虑投资收益的时间因素
C.计算复杂
D.忽视了资金具有时间价值的重要性
E.不能适用于各种投资规模
61、单项选择题 施工成本管理中,成本控制的方法不包括()。
A.成本分析表法
B.工期-成本同步分析法
C.会计核算法
D.价值工程法
62、多项选择题 关于费用偏差分析的说法中,错误的是()。
A.累计偏差分析需要以局部偏差分析结果为基础进行
B.进行费用偏差分析时,只能采用绝对偏差
C.绝对偏差与相对偏差既不受工程项目层次的限制,也不受工程项目实施时间的限制
D.造成局部偏差的原因一般较为明确,分析结果较为可靠
E.费用偏差既可用于工程项目内部的偏差分析,也可用于工程项目之间的偏差比较
63、多项选择题 下列关于资金成本的说法正确的有()。
A.当总体经济环境比较繁荣的时候,资金成本一般比较高
B.证券市场越完善,资金成本越高
C.当企业所在的行业比较稳定,而且企业的经济效益较好时,筹资的资金成本较低
D.企业的融资规模越大,资金成本越高
E.预计的投资项目风险水平越低,筹资的资金成本越低
64、单项选择题 某企业年初向银行借款1000万元,年复利利率为8%。银行规定每半年计息一次,若企业向银行所借的本金和产生的利息均在第3年年末一次向银行支付,则支付额为()万元。
A.1260.55
B.1265.32
C.1280.65
D.1360.49
65、单项选择题 仲裁裁决具有法律()。
A.执行力
B.公信力
C.约束力
D.强制力
66、多项选择题 固定资产的折旧方法包括()。
A.平均年限法
B.工作量法
C.双倍余额递减法
D.表格核算法
E.挣值分析法
67、单项选择题 下列方法中,()是质量控制的静态分析方法,反映的是质量在某一段时间里的静止状态。
A.排列图法、直方图法
B.因果分析图法
C.香蕉曲线法
D.S曲线法
68、单项选择题 根据《招标投标法》的规定,依法必须进行招标的项目,自招标文件开始发出之日起至投标人提交投标文件截止之日止,最短不得少于()d。
A.5
B.10
C.15
D.20
69、多项选择题 美国工程造价咨询行业的特点是()。
A.具有较完备的法律保障体系
B.具有较成熟的社会化管理体系
C.具有良好的信誉评价
D.具有广阔的发展前景
E.拥有现代化的管理手段
70、单项选择题 契税实行()的幅度税率。
A.2%~3%
B.2%~5%
C.3%~5%
D.3%~7%
71、多项选择题 在正常 91EXAM.org情况工程质量的最低保修期限为()。
A.电气管道为2年
B.给排水管道为3年
C.屋面防水工程为3年
D.地基基础工程为100年
E.装修工程为3年
72、单项选择题 某公司拟向租赁公司租赁一台设备,该设备的价格为80万元,租期为5年,每年年末支付租金,折现率为10%,附加率为4%,采用附加率法,该企业每年向租赁公司支付租赁费为()万元。
A.20.80
B.22.8
C.26.96
D.27.20
73、多项选择题 下面关于功能分析说法正确的有()。
A.功能分析是价值工程的核心
B.功能分析的目的是量化功能值
C.功能分析的目的是弄清功能之间的关系,调整功能间比重,使产品的功能结构更合理
D.功能分析只分析重要功能
E.功能分析的依据是功能系统图
74、单项选择题 诉讼时效的中止是指在诉讼时效期间的最后()内,由于不可抗力或其他障碍,权利人不能行使请求权,诉讼时效期间暂停计算,从障碍消除之日起,诉讼时效期间继续计算。
A.1个月
B.3个月
C.6个月
D.1年
75、单项选择题 某公司发行优先股股票,票面额按正常市价计算为100万元,筹资费费率为3%,股息年利率为12%,则其资金成本率为()。
A.11.32%
B.11.56%
C.12.40%
D.12.78%
76、单项选择题 已知名义年利率为12%,一年计息12次,则半年的有效利率和 名义利率分别为()。
A.6.2%,6%
B.12.7%,12%
C.5.83%,6.2%
D.6.35%,6%
77、单项选择题 按()分类,产品的功能一般可分为基本功能和辅助功能两类。
A.功能的性质
B.功能的重要程度
C.用户需求
D.功能的量化标准
78、单项选择题 网络计划资源优化的前提条件是不包括()。
A.在优化过程中,不改变网络计划中各项工作之间的逻辑关系
B.在优化过程中,可以改变网络计划中各项工作的持续时间
C.除规定可中断的工作外,一般不允许中断工作,应保持其连续性
D.网络计划中各项工作的资源强度(单位时间所需资源数量)为常数,而且是合理的
79、单项选择题 投资者在进行投资方案的经济评价时要考虑诸多因素,为了限制对风险大、盈利低的项目进行投资,可以采取提高()的办法。
A.内部收益率
B.基准收益率
C.投资收益率
D.投资报酬率
80、多项选择题 评标中,下列情况评标委员会应当否决的是()。
A.投标联合体没有提交共同投标协议
B.投标人有串通投标、弄虚作假、行贿等违法行为
C.投标人不符合国家或者招标文件规定的资格条件
D.投标报价低于成本
E.投标人之间约定中标人
81、单项选择题 项目管理规划大纲应由()编制。
A.企业管理层在投标之前
B.项目经理部在投标之前
C.企业管理层在开工之前
D.项目经理部在开工之前
82、多项选择题 对于生产企业,应优先选择为价值工程的对象的情形有()。
A.结构复杂或落后的产品
B.制造工序多或制造方法落后及手工劳动较多的产品
C.原材料种类繁多和互换材料较多的产品
D.在总成本中所占比重大的产品
E.废品率高的和关键性的产品
83、多项选择题 根据《价格法》的规定,政府在必要时可以实行政府指导价或政府定价的商品或服务价格的有()。
A.与国民经济发展和人民生活关系重大的极少数商品价格
B.资源稀缺的少数商品价格
C.自然垄断经营的商品价格
D.重要的公用事业价格
E.季节性、积压商品的价格
84、单项选择题 工程竣工验收合格之后,发包人应在缺陷责任期届满()日内,退还缺陷责任期保函。
A.10
B.20
C.30
D.15
85、单项选择题 敏感性分析不仅可以使决策者了解不确定因素对评价指标的影响,从而提高决策的准确性,还可以启发评价者对那些较为敏感的因素重新进行分析研究,以提高预测的()。
A.科学性
B.准确性
C.可靠性
D.敏感性
86、单项选择题 用挣值分析法进行项目成本控制分析,下列表达式中表示实际成本低于预算成本的是()。
A.BCWP-BCWS>0
B.BCWS-ACWP>0
C.BCWP-ACWP>0
D.ACWP-BCWS>0
87、单项选择题 某企业在正常生产年份,没有其他业务收入,主营业务收入为800万元,年经营成本500万元,固定资产折旧10万元,应计利息8万元,所得税率40%,假设税后利润可全部用于还款,当期应还本金12万元,则该企业的利息备付率和偿债备付率分别为()。
A.37.5,8.46
B.37.5,9.36
C.36.25,9.36
D.36.25,8.46
88、单项选择题 下列关于网络计划的工期优化说法正确的是()。
A.在优化工期时,只要能够缩短网络计划的计算工期,可以改变各项工作的逻辑关系
B.进行工期优化时,一般首先压缩持续时间较长的工作
C.进行工期优化时,只能关键压缩工作的持续时间,且不能将关键工作压缩为非关键工作
D.压缩工期时,可以不考虑对费用的影响
89、单项选择题 BOT、ABS、TOT、PFI等均是项目融资的有效方式,其中能够通过融资获得国外先进技术和管理经验的方式是()。
A.ABS和PFI
B.ABS和TOT
C.ABS和BOT
D.BOT和TOT
90、多项选择题 流水施工的特点体现在()。
A.施工工期较短,可以尽早发挥投资效益
B.实现专业化生产,可以提高施工技术水平和劳动生产率
C.连续施工
D.增加工程成本,可以提高承包单位的质量
E.提高工程质量,可以增加建设工程的使用寿命和节约使用过程中的维修费用
91、单项选择题 某建设项目建设期2年,每年初各投资200万元和300万元,运营期5年,年净收益500万元,已知基准折现率为10%,则该项目的净现值为()万元。
A.2000
B.1465.75
C.1422.8
D.1092.96
92、单项选择题 下列流动资金的构成要素中不包括()。
A.存货
B.预收账款
C.库存现金
D.预付账款
93、多项选择题 价值工程中的功能,一般是指必要功能,下列()是必要功能。
A.使用功能
B.美学功能
C.辅助功能
D.重复功能
E.多余功能
94、单项选择题 风险后果的等级划分中,需要保险索赔的项目风险等级是()。
A.灾难性的
B.关键的
C.严重的
D.次重要的
95、多项选择题 价值工程涉及价值、功能和寿命周期成本三个基本要素,其特点包括()。
A.价值工程的核心是对产品功能进行分析
B.价值工程要求将功能定量化,即将功能转化为能够与成本直接相比的量化值
C.价值工程的目标是以最低的生产成本使产品具备其所必须具备的功能
D.价值工程是以集体的智慧开展的有计划、有组织的管理活动
E.价值工程中的价值是指对象的使用价值,而不是交换价值
96、单项选择题 某企业可用于投资资金最高限额为10000万元,现有A、B、C、D四个可选投资项目,所需投资分别为9000万元、7000万元、5000万元、3000万元,则可供选择的组合方案共有()个。
A.5
B.6
C.7
D.8
97、多项选择题 对于达到一定规模的危险性较大的分部分项工程需要编制专项施工方案,下列需要编制专项施工方案的是()。
A.模板工程
B.混凝土工程
C.脚手架工程
D.土方开挖工程
E.桩基工程
98、单项选择题 在进行项目收益计算时,可包含在营业税金及附加中的税金有()。
A.所得税
B.关税
C.增值税
D.资源税
99、单项选择题 下列()不属于项目的寿命周期成本。
A.设计费
B.试运转费
C.生产期利息
D.维修费
100、单项选择题 下列()情况不构成缔约过失责任。
A.甲企业以签订合同的名义探听乙企业的商业秘密,并对外扩散
B.甲企业在签订商品采购合同时,故意隐瞒企业财务状况恶化的事实,乙企业发现后,不愿意履行合同
C.甲企业在签订商品采购合同后,由于本企业另一项投资业务失败,资金紧张而无力履行合同
D.甲企业在合同谈判过程中,提供了虚假的企业信息
101、单项选择题 净现值作为评价投资方案经济效果的指标,其优点是()。
A.全面考虑了项目在整个计算期内的经济状况
B.能够直接说明项目在整个运营期间各年的经营成果
C.能够明确反映项目单位投资的使用效率
D.不需要确定基准收益率而直接进行互斥方案的比选
102、单项选择题 应用价值工程的重点应在()阶段。
A.生产
B.设计
C.施工
D.验收
103、单项选择题
某建设项目以财务净现值为指标进行敏感性分析的有关数据见下表。
则该建设项目投资额变化幅度的临界点是()。
A.+8.13%
B.+10.54%
C.+12.31%
D.+16.37%
104、单项选择题 某房地产公司自建一幢价值1000万元的写字楼,对外销售实现营业收入1500万元,已知建筑业的营业税率为3%,不动产销售的营业税税率为5%,则该企业应缴纳营业税()万元。
A.30
B.50
C.105
D.75
105、单项选择题 工程项目管理的核心任务是(),最终实现项目的功能,以满足使用者的需求。
A.控制项目目标
B.规划项目实施
C.组织项目协调
D.指挥项目运营
106、单项选择题 根据我国《招标投标法》的规定,下列情形不属于投标重大偏差的是()。
A.投标文件没有投标人授权代表签字和加盖公章
B.投标文件载明的货物包装方式不符合招标文件的要求
C.投标文件在个别地方存在漏项
D.投标人提供的投标担保有瑕疵
107、单项选择题 项目成本管理的目的是保证()完成企业交付的任务。
A.整个企业的成本控制在预定计划之内
B.工程项目在预定的成本范围内
C.建立健全项目成本管理的责任体系
D.整个承包企业投入的成本在最低范围内
108、单项选择题 设备租赁与购置的经济比选也是一个互斥方案的选优问题,设备寿命相同时,一般可以采用()。
A.年值法
B.收益率法
C.净现值法
D.附加率法
109、多项选择题 工程造价管理有的含义指()。
A.建设工程投资费用管理
B.建设工程价格管理
C.建设工程合同管理
D.建设工程施工管理
E.建设工程人员管理
110、单项选择题 对于工程规模大、专业复杂的工程项目,建设单位的管理能力有限时,应考虑采用施工总承包的招标方式选择施工队伍。其优点与不足分别是()。
A.工程报价低,但容易出现索赔风险
B.减少索赔风险,但有可能使工程报价相对较高
C.工期较短,当容易出现返工
D.工期较短,但容易出现索赔风险
111、单项选择题 功能整理的主要任务就是()。
A.明确功能范围
B.明确各功能之间的关系
C.检查功能之间的准确程度
D.建立功能系统图
112、多项选择题 成本控制的环节有()。
A.全员控制
B.计划控制
C.运行过程控制
D.纠偏控制
E.目标控制
113、单项选择题 某公司向银行借款2000万元,年复利利率为8%。若公司向银行所借的本金和产生的利息均在5年后一次向银行支付,则支付本利和为()万元。系数(F/P,8%,5)=1.469。
A.2860
B.2918
C.2938
D.2966
114、多项选择题 下列属于工程造价计价的依据有()。
A.项目建议书
B.概算造价
C.概算定额
D.进口设备关税率
E.单位工程造价
115、单项选择题 根据我国现行规定,不同类别的建设工程项目应采用不同的组织实施方式,下列组合中正确的是()。
A.竞争性项目一代建制
B.公益性项目一项目法人责任制
C.非经营性政府投资项目一代建制
D.基础性项目一代建制
116、单项选择题
以内部收益率为指标进行敏感性分析,已知基准折现率为10%,有关数据见下表:则该项目投资变化幅度的临界点为()。
A.20%
B.10%
C.31.67%
D.22.5%
117、多项选择题 下列关于资金时间价值的说法正确的有()。
A.时间价值是资金在社会再生产过程中所产生的增值
B.时间价值是对资金机会成本的衡量
C.金融市场上借贷资本供过于求时,资金的时间价值率(利率)上升
D.对于国家鼓励发展的行业,利率一般定得较低
E.利率水平一般都低于社会平均利润率
118、单项选择题 初步设计提出的总概算超过可行性研究报告总投资的()以上或其他主要指标需要变更时,应说明原因和计算依据,并重新向原审批单位报批可行性研究报告。
A.5%
B.10%
C.15%
D.20%
119、单项选择题 借用国外资金的途径中,()比较适用于建设周期较长、金额较大的工程建设项目。
A.国际金融组织贷款
B.外国政府贷款
C.亚洲开发银行贷款
D.国外商业银行贷款
120、单项选择题 一般情况下,资产负债率越小,表明企业长期偿债能力越强,国际上通常认为资产负债率为()时较为适当。
A.30%
B.40%
C.50%
D.60%
121、单项选择题 根据我国《合同法》,由于债权人的原因致使债务人难以履行债务时,债务人可以将标的物交给有关机关保存,以此消灭合同的行为称为()。
A.留置
B.保全
C.质押
D.提存
122、单项选择题 在工程造价管理方面,下列属于政府行政管理系统职责的是()。
A.研究工程造价管理体制的改革
B.在招投标过程中,参与评标、议标
C.组织制定定额
D.指导各专业委员会和地方造价协会的业务工作
123、单项选择题 造价员应接受继续教育,每两年参加继续教育的时间累积不得少于()学时。
A.10
B.20
C.30
D.40
124、单项选择题
某工厂进行改扩建工程投资,有甲、乙两个投资方案,其投资额、年经营成本及综合总费用见下表。则甲、乙两方案的年折算费用分别为()。
A.150万元、193.75万元
B.200万元、250万元
C.300万元、310万元
D.100万元、150万元
125、单项选择题
某项目现金流量表(单位:万元)如下:
则该项目的净现值和动态投资回收期分别为()。
A.1593.95万元和4.53年
B.1593.95万元和5.17年
C.3750万元和4.53年
D.3750万元和5.17年
126、单项选择题 因履行无效合同和被撤销合同而产生的财产后果依法不包括()。
A.返还财产或折价补偿
B.有过错一方赔偿对方经济损失
C.双方另行补充协商
D.追缴财产,收归国有
127、单项选择题 静态投资包括建筑安装工程费,设备和工、器具购置费,工程建设其他费用和()。
A.预备费
B.基本预备费
C.涨价预备费
D.未明确项目准备金
128、单项选择题 工程寿命周期成本分析中涉及的参数、指标相当多,而这些指标、参数对于相关因素的()很强,使其分析结果的可靠性、有效性受到影响。
A.敏感性
B.现势性
C.变化性
D.精确性
129、单项选择题 投资项目资本金占总投资的比例在25%及以上的项目有()。
A.电力
B.邮电
C.机电
D.建材
130、单项选择题 对于银行和其他债权人而言,项目融资的安全性来自于()。
A.项目本身的经济强度和项目之外的各种担保
B.项目本身的经营能力和项目之外的融资渠道
C.项目本身的财务状况和各种担保
D.项目本身的负债结构和融资渠道
131、单项选择题 关于时标网络计划中时间参数判定的表述中,不正确的是()。
A.时标网络计划中的关键线路可从网络计划的终点节点开始,逆着箭线方向进行判定
B.网络计划的计算工期应等于终点节点所对应的时标值与起点节点所对应的时标值之差
C.工作总时差的判定应从网络计划的终点节点开始,逆着箭线方向依次进行
D.工作箭线左端节点中心所对应的时标值为该工作的最早完成时间
132、单项选择题 土地增值税的应纳税额计算公式为()。
A.应纳税额=增值额×适用税率
B.应纳税额=实际支付的地价款×适用税率-扣除项目金额
C.应纳税额=增值额×适用税率-扣除项目金额×速算扣除系数
D.应纳税额=实际支付的低价款×适用税率-扣除项目金额×速算扣除系数
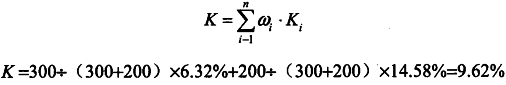
133、单项选择题 某企业为筹集资金,发行面值为300万元的8年期债券,票面利率为8%,发行费率为5%,公司所得税税率为25%;发行200万元优先股,筹资费用为4%,股息年利率为14%,则该企业的加权平均资金成本率为()。
A.9.45%
B.9.62%
C.9.80%
D.10.02%
134、多项选择题 工程项目传统承发包模式有()。
A.总分包模式
B.EPC承包模式
C.平行承包模式
D.合作体承包模式
E.联合体承包模式
135、单项选择题 下列属于融资结构设计阶段的内容的是()。
A.项目风险控制
B.项目可行性研究
C.评价项目风险因素
D.签署项目融资文件
136、单项选择题 影响企业经营风险的因素中,()的影响非常重要。
A.产品需求
B.产品售价
C.固定成本比重
D.产品成本
137、单项选择题 根据我国现行规定,甲级和乙级工程造价咨询企业专职从事_[程造价专业工作的人员中,取得造价工程师注册证书的人员分别不得少于()人。
A.20和12
B.16和8
C.8和6
D.10和6
138、多项选择题 工程价款结算的主要内容包括()。
A.劳务分包结算
B.竣工结算
C.专业分包结算
D.按月结算
E.合同中止结算
139、单项选择题 企业管理层应是项目成本管理的()中心。
A.决策与计划
B.管理与生产
C.控制与管理
D.计划与实施
140、单项选择题 建筑工程依法实行招标发包,对不适于招标发包的可以()发包。
A.代理
B.直接
C.委托
D.肢解
141、单项选择题 在施工企业中,对于技术进步较快或其使用寿命受工作环境影响较大的施工机械和运输设备,经财政部批准,可采用()计提折旧。
A.年数总额法
B.工作量法
C.平均年限法
D.双倍年数总和法
142、单项选择题 BOT和TOT方式的共同特点是()。
A.通过出让拟建项目的经营权,筹集资金
B.可以引进国外先进的技术
C.通过组建SPC筹集资金
D.,项目的原始权益人风险很低
143、单项选择题 营业税实行差别比例税率,对同一行业实行同一税率,对不同行业实行不同税率,建筑业的营业税率为()。
A.3%
B.5%
C.7%
D.10%
144、多项选择题 下列()属于系统效率和寿命周期成本的权衡。
A.进行维修性设计
B.采用整体结构,减少安装费
C.增加投资提高产能
D.购买先进设备,提高产品质量
E.制定防震、防尘等对策,提高系统可靠性
145、单项选择题 我国工程造价管理体制改革的最终目标是,建立市场形成价格的机制,实现工程造价管理()。
A.一体化
B.国际化
C.市场化
D.社会化
146、单项选择题 以下关于线性盈亏平衡分析前提条件的说法中,不正确的是()。
A.生产量等于销售量
B.生产量变化,销售单价不变,从而使销售收入成为销售量的线性函数
C.生产量不变,单位可变成本变化,从而使总生产成本成为生产量的线性函数
D.只生产单一产品;或者可以生产多种产品,但可以换算成单一产品计算
147、多项选择题 以下工程项目可以不申请办理施工许可证的是()。
A.工程投资额为35万元
B.工程投资额为25万元
C.建筑面积320m2
D.建筑面积290m2
E.可以容纳8万人的体育馆
148、多项选择题 工程造价咨询单位的()行为将罚款。
A.设立分支机构不备案的
B.伪造、涂改《工程造价咨询单位资质证书》的
C.未取得《工程造价咨询单位资质证书》的单位,从事工程造价咨询业务的
D.工程造价咨询单位主要技术负责人变更未办理变卖更手续
E.在申请资质等级的过程中弄虚作假的
149、单项选择题 在寿命周期成本分析中,必须考虑资金的()。
A.使用效率
B.发生顺序
C.影响要素
D.时间价值
150、多项选择题 下列关于价值工程的说法,正确的是()。
A.价值工程的三要素是指价值、功能、成本
B.价值工程以提高产品价值为目的
C.在提高产品功能的同时,又降低产品成本,这是提高产品价值最为理想的途径
D.功能价值的计算方法包括功能成本法和成本指数法
E.方案评价包括概略评价和详细评价,其内容包括技术评价、经济评价、社会评价和综合评价
151、多项选择题 寿命周期成本的一级构成包括()。
A.设置费
B.劳务费
C.运行费
D.器材费
E.维持费
152、单项选择题 下列有关工程项目施工标段划分的影响因素中表述错误的是()。
A.承包单位经济能力
B.对工程造价的影响
C.工地管理
D.设计图纸供应
153、单项选择题 工程造价与()在量上相等。
A.静态投资
B.建设项目总投资
C.固定资产投资
D.建安工程造价
154、单项选择题 撤销权自债权人知道或者应当知道撤销事由之日起1年内行使,但自撤销事由发生之日起()年内没有行使撤销权的,该撤销权消灭。
A.2
B.3
C.4
D.5
155、单项选择题 注册造价工程师继续教育分为必修课和选修课,每一注册有效期各为()学时。
A.36
B.48
C.60
D.72
156、单项选择题 委托代理关系终止的原因是()。
A.代理人丧失民事行为能力或代理人死亡
B.被代理人取得或恢复民事行为能力
C.被代理人和代理人之间的代理关系消灭
D.指定代理的人民法院或单位取消指定
157、单项选择题 在采用前锋线法对工程网络计划执行进行控制时,若工作实际进展位置点落在检查日期的右侧则表明()。
A.该工作实际进度拖后
B.该工作实际进度与计划进度一致
C.该工作实际进度超前
D.该工作实际进度与计划进度一致或可能超前
158、单项选择题 非生产性建设项目的总投资由()构成。
A.固定资产投资
B.流动资产投资
C.有形资产投资
D.无形资产投资
159、多项选择题 投资方案的类型中,多方案包括()。
A.互斥型
B.组合-互斥型
C.互补型
D.混合相关型
E.独立型
160、单项选择题 下列财产所有权的合法取得方式中,属于继受取得的是()。
A.通过出租财产而获得租金
B.通过接受赠与而获得赠品
C.通过存款而获得利息
D.通过种植果树而获得果实
161、单项选择题 按照工程造价的第一种含义,从投资者的角度而言,工程造价是指()。
A.建设项目总投资
B.建设工程投资
C.建设项目固定资产投资
D.建筑安装工程投资
162、单项选择题 造价工程师注册有效期满要求继续执业的,应当在()申请延续注册。
A.在注册有效期满后3个月内注册
B.在注册有效期满后1个月内注册
C.在注册有效期满前3个月内注册
D.在注册有效期满前1个月内注册
163、多项选择题 在工程经济分析中,投资收益率指标作为主要决策依据不太可靠,其原因在于()。
A.正常生产年份的选择比较困难
B.需要事先确定基准收益率
C.计算期的确定比较困难
D.忽视了资金具有时间价值的重要性
E.未考虑投资回收后的经济效果
164、多项选择题 利用功能指数法进行价值分析时,如果VI>1,出现这种情况的原因可能是()。
A.目前成本偏低,不能满足评价对象应具有的功能要求
B.功能过剩,已经超过了其应具有的功能水平
C.功能成本比较好,正是价值分析所追求的目标
D.功能很重要但成本较低,不必列为改进对象
E.实现功能的条件和方法不佳,致使成本过高
165、单项选择题 对于常规项目的净现值与动态投资回收期之间的关系,下列说法正确的是()。
A.动态投资回收期越短,净现值越大
B.动态投资回收期越短,净现值越小
C.二者没有关系
D.动态投资回收期与净现值成正比
166、多项选择题 造价工程师的专业素质体现在()。
A.造价工程师应是复合型的专业管理人才
B.造价工程师应具备技术技能
C.造价工程师应具备人文技能
D.造价工程师应具备观念技能
E.造价工程师应具备职业道德
167、多项选择题 项目所支出的财务费用主要有()。
A.成本费用
B.维护费
C.税金
D.措施费
E.投资
168、单项选择题 将项目分成若干个子项目,参照同类项目历史数据,采用算术平均的方法计算项目的目标成本降低额和降低率,然后再汇总整个项目的成本降低额和降低率,这种编制成本计划的方法是()。
A.目标利润法
B.目标成本法
C.技术进步法
D.定率估算法
169、单项选择题 建设投资的预备费包括基本预备费和()预备费。
A.设备
B.涨价
C.措施
D.购置
170、单项选择题 流水施工中最常见的一种基本组织方式是()。
A.等节奏流水施工
B.异节奏流水施工
C.异步距异节奏流水施工
D.非节奏流水施工
171、单项选择题 债的最主要、最普遍的发生根据是()。
A.合同之债
B.无因管理
C.侵权
D.不当得利
172、单项选择题 在进行互斥方案相对经济效果评价时,一般按()由低到高进行两个方案的比选。
A.收益大小
B.成本大小
C.规模大小
D.投资大小
173、单项选择题 某企业注册资本为500万元,现有法定公积金240万元可用于转增资本金。在转为资本时,所留存的该项公积金不得少于()万元。
A.150
B.125
C.120
D.100
174、单项选择题 投资项目中,钢铁项目资本金比例为()及以上。
A.30%
B.40%
C.50%
D.60%
175、单项选择题 净现值是反映投资方案在计算期内()的动态评价指标。
A.偿还能力
B.时间价值
C.获利能力
D.风险大小
176、多项选择题 企业在作出租赁或购买设备的决策之前,必须从()方面来考虑。
A.支付方式
B.筹资方式
C.合同方式
D.使用方式
E.保证方式
177、单项选择题 根据现行税收规定,施工企业应按建筑、安装、修缮、装饰和其他工程作业的营业额的()主管税务机关申报缴纳营业税。
A.3%向工程所在地
B.5%向工程所在地
C.3%向企业所在地
D.5%向企业所在地
178、单项选择题 设备租赁方式中,()主要用于车辆的租赁。
A.资金租赁
B.融资租赁
C.服务出租
D.经营租赁
179、单项选择题 某公司希望5年后有2000万元资金,年复利率i=10%,则现在需一次性存款()万元。
A.1189
B.1242
C.1278
D.1344
180、单项选择题 特大型企业集团的中长期发展规划经国务院批准后,企业建设规划中属于《政府核准投资项目目录》的项目()。
A.需向政府提交项目申请报告
B.不再另行申报核准,只需办理备案手续
C.需政府部门审批开工报告
D.需政府部门批准项目可行性研究报告
181、单项选择题 利息是资金()的一种重要表现形式。
A.机会成本
B.计息周期
C.时间价值
D.经营运作
182、单项选择题 下列表格中,不属于工程项目年度计划的是()。
A.年度计划项目表
B.年度建设资金平衡表
C.年度设备平衡表
D.投资计划年度分配表
183、多项选择题 有关IRR的说法正确的有()。
A.内部收益率是使净现值为零的折现率
B.内部收益率是使项目到计算期末正好将未收回的资金全部收回来的折现率
C.内部收益率是项目投资的真实收益率
D.内部收益率是项目为其所占有的资金所提供的盈利率
E.具有非常规现金流量的投资项目内部收益率不唯一
184、单项选择题 投资方案经济效果评价分析中的偿债能力指标不包括()。
A.利息备付率
B.投资收益率
C.偿债备付率
D.资产负债率
185、单项选择题 某企业从设备租赁公司租借一台价格为70万元的设备,总租期为5年,每年末支付租金,折现率为10%,则年租金为()万元。系数(A/P,10%,5)=1/3.791。
A.23.12
B.19.46
C.18.46
D.16.88
186、单项选择题 场地清理费的保险金额一般按大工程不超过其工程合同价格的()计算。
A.3%
B.5%
C.7%
D.10%
187、单项选择题 保险公司依法破产的,在破产财产优先支付其破产费用后,清偿顺序为()。
A.所欠职工工资和劳动保险费用→赔偿或给付保险金→所欠税款→清偿公司债务
B.所欠职工工资和劳动保险费用→所欠税款→赔偿或给付保险金→清偿公司债务
C.所欠税款→赔偿或给付保险金→清偿公司债务→所欠职工工资和劳动保险费用
D.赔偿或给付保险金→清偿公司债务→所欠税款→所欠职工工资和劳动保险费用
188、单项选择题 关于财务内部收益率(FIRR)的说法正确的是()。
A.FIRR是考察项目融资方案确定前整个项目的税前盈利能力
B.FIRR是考察项目融资方案确定前整个项目的税后盈利能力
C.FIRR是考察项目融资方案确定后整个项目的税前盈利能力
D.FIRR是考察项目融资方案确定后整个项目的税后盈利能力
189、单项选择题 某项目总投资为5000万元,其中债务资金为1000万元,项目运营期内年平均净利润为450万元,年平均息税为50万元,则该项目的总投资收益率为()。
A.10.0%
B.11.0%
C.12.0%
D.13.6%
190、单项选择题 可以撤销工程造价咨询企业资质的情形是()
A.工程造价咨询企业资质有效期满,未申请延续的
B.超越法定职权准予工程造价咨询企业资质许可的
C.工程造价咨询企业依法终止的
D.工程造价咨询企业资质被撤回的
191、单项选择题 下列()不属于施工房地产开发企业的流动资产。
A.应收账款
B.工程内安装的电梯
C.待摊费用
D.预收账款
192、单项选择题 实行总承包的建设工程,在发生安全生产事故的时候,由()负责上报事故。
A.总承包单位
B.分包单位
C.建设单位
D.监理单位
193、单项选择题
某产品各零部件功能重要程度采用0-1评分法评分结果见下表,零部件Ⅱ的功能重要性系数为()
A.0.1
B.0.133
C.0.333
D.0.4
194、单项选择题 根据我国现行规定,工程造价咨询企业出具的工程造价成果文件除由执行咨询业务的注册造价工程师签字、加盖执业印章外,还应当加盖()。
A.工程造价咨询企业法定代表人印章
B.工程造价咨询企业执业印章
C.工程造价咨询项目负责人印章
D.工程造价咨询企业技术负责人印章
195、多项选择题 经济效果评价分析主要包括()。
A.盈利能力分析
B.预测能力分析
C.清偿能力分析
D.决策能力分析
E.抗风险能力分析
196、单项选择题 纳税人建造普通住宅出售时,增值额未超过扣除项目金额()的,免征土地增值税。
A.20%
B.25%
C.30%
D.35%
197、单项选择题 产品功能重要性系数的常用打分方法中,()适用于被评价对象在功能重要程度上的差异不太大,并且评价对象的功能数目不太多的情况。
A.多比例评分法
B.环比评分法
C.逻辑评分法
D.强制打分法
198、单项选择题 根据《标准施工招标文件》,发包人在收到承包人竣工验收申请报告()日后未进行验收的,视为验收合格。
A.14
B.28
C.30
D.56
199、单项选择题 在某项目实施前,项目投资各方分别从各自角度出发,以各自的投资额作为计算基础,用以计算投资方案有关各方财务内部收益率,该项目所用现金流量表是()。
A.投资现金流量表
B.投资各方现金流量表
C.资本金现金流量表
D.财务计划现金流量表
200、多项选择题 技术方案经济评价时,若以总成本费用为基础计算经营成本,则应从总成本费用中扣除的费用项目有()。
A.折旧费用
B.销售费用
C.管理费用
D.摊销费用
E.利息支出