手机用户可
保存上方二维码到手机中,在
微信扫一扫中右上角选择“从
相册选取二维码”即可。
1、问答题 什么叫风速?
点击查看答案
本题答案:空间特定的风速为该点周围气体微团的移动速度。
本题解析:试题答案空间特定的风速为该点周围气体微团的移动速度。
2、单项选择题 一般风场在大部分时间内的风速都在()范围内。
A、3~10m/s
B、3~14m/s
C、4~10m/s
D、5~14m/s
点击查看答案
本题答案:C
本题解析:暂无解析
3、名词解释 英译汉:gearbox ratio
点击查看答案
本题答案:齿轮箱转速比
本题解析:试题答案齿轮箱转速比
4、填空题 定位点必须选在()或者(),用来防止个人()的坠落。
点击查看答案
本题答案:建筑物;设备固定结构;防护设备
本题解析:试题答案建筑物;设备固定结构;防护设备
5、填空题 风力发电机年度维护计划应()维护一次。
点击查看答案
本题答案:每年
本题解析:试题答案每年
6、问答题 安全生产法的立法宗旨是什么?
点击查看答案
本题答案:为了加强安全生产监督管理,防止和减少生产安全事故,保障
本题解析:试题答案为了加强安全生产监督管理,防止和减少生产安全事故,保障人民群众生命和财产安全,促进经济发展。
7、问答题 装卸高压熔断器有何要求?
点击查看答案
本题答案:装卸高压熔断器,应戴护目眼镜和绝缘手套,必要时使用绝缘
本题解析:试题答案装卸高压熔断器,应戴护目眼镜和绝缘手套,必要时使用绝缘夹钳,并站在绝缘垫或绝缘台上。
8、问答题 某台风力发电机组,在6m/s风速时输出功率是60KW,当风速为12m/s时,问此时该风力发电机的输出功率是多少?
点击查看答案
本题答案:解:因在其他条件均不变的情况下,风力发电机的输出功率与
本题解析:试题答案解:因在其他条件均不变的情况下,风力发电机的输出功率与风速的立方成正比。
即
此时该台风力发电机的输出功率是480KW。
9、填空题 湍流强度能够减小风力发电机组的风能利用率,同时增加风电机组的磨损,因此,可以通过增加风力发电机组的塔架高度来减小由()影响。
点击查看答案
本题答案:地面粗糙度引起的湍流强度的
本题解析:试题答案地面粗糙度引起的湍流强度的
10、判断题 风力发电机组在风速超过12~16m/s以后,必须降低风轮的能量捕获。()
点击查看答案
本题答案:对
本题解析:暂无解析
11、单项选择题 风力机发电机组在超过()m/s的风速以后,必须降低风轮的能量捕获。
A、5
B、6
C、12~16
D、20~25
点击查看答案
本题答案:C
本题解析:暂无解析
12、填空题 用于叶片制造的主要材料:(),对于大型风力发电机来说,叶片的刚度、()是主要的,通常较难满足,所以对材料的选择尤为重要。
点击查看答案
本题答案:玻璃纤维增强塑料、碳纤维增强塑料、木材、钢和铝;固有特性和经
本题解析:试题答案玻璃纤维增强塑料、碳纤维增强塑料、木材、钢和铝;固有特性和经济性
13、问答题 风电厂备品配件管理的目的是什么?
点击查看答案
本题答案:备品配件管理的主要目的是科学合理地分析风电厂备品配件的
本题解析:试题答案备品配件管理的主要目的是科学合理地分析风电厂备品配件的消耗规律,寻找符合生产实际需求的管理方法,在保证生产实际需求的前提下,减少库存,避免积压,降低运行成本。
14、填空题 当机组发生危机人员和设备安全的故障时,值班人员应立即拉开()。
点击查看答案
本题答案:该机组线路侧的断路器
本题解析:试题答案该机组线路侧的断路器
15、填空题 距离地面()以上的风况几乎不受地面的影响,但是在大气层的近地面层,风速受到()的影响较大。
点击查看答案
本题答案:1000m;地面摩擦
本题解析:试题答案1000m;地面摩擦
16、判断题 风轮在塔架的前面迎风旋转,叫做“迎风向风力机”()
点击查看答案
本题答案:对
本题解析:暂无解析
17、单项选择题 在一电压恒定的电路中,电阻值R增大时,电流就随之()。
A、减小
B、增大
C、不变
点击查看答案
本题答案:A
本题解析:暂无解析
18、填空题 风速增加一倍,风能增加()倍。
点击查看答案
本题答案:7
本题解析:试题答案7
19、判断题 风电引入电网不会对用户的供电品质产生巨大影响。()
点击查看答案
本题答案:对
本题解析:暂无解析
20、填空题 质量管理体系的基础是()。()应对所管辖范围内的设备,逐台逐系统的建立质量管理环,并进行分析比较,使每一次质量管理环的循环呈上升趋势。
点击查看答案
本题答案:班组;班组
本题解析:试题答案班组;班组
21、填空题 当事故发生在交接班过程中,应停止接班,()必须坚守岗位、处理事故,()应在()指挥下协助事故处理。
点击查看答案
本题答案:交班人员;接班人员;交班值长
本题解析:试题答案交班人员;接班人员;交班值长
22、问答题 齿轮箱润滑油的作用?
点击查看答案
本题答案:1.减小摩擦和磨损、具有高的承载能力、防止胶合;
本题解析:试题答案1.减小摩擦和磨损、具有高的承载能力、防止胶合;
2.吸收冲击和振动;
3.防止疲劳点蚀;
4.冷却、防锈、抗腐蚀。
23、判断题 风能在时间和空间分布上有很强的地域性,所以选择品位较高的地址,只要利用已有的气象资料进行分析筛选,就可以确定最佳风电场的地址。()
点击查看答案
本题答案:错
本题解析:暂无解析
24、填空题 风力发电机组的偏航系统一般分为()系统和()系统。
点击查看答案
本题答案:主动偏航;被动偏航
本题解析:试题答案主动偏航;被动偏航
25、名词解释 风速
点击查看答案
本题答案:风速是单位时间内空气在水平方向上所移动距离。
本题解析:试题答案风速是单位时间内空气在水平方向上所移动距离。
26、填空题 风力发电机组的偏航系统一般有()和()两种。
点击查看答案
本题答案:外齿形式;内齿形式
本题解析:试题答案外齿形式;内齿形式
27、填空题 齿轮箱主动轴与叶片轮毂的联接必须()。
点击查看答案
本题答案:可靠紧固
本题解析:试题答案可靠紧固
28、判断题 风电场总容量不宜大于电网总容量的5%,否则应采取特殊措施,满足电网稳定要求。()
点击查看答案
本题答案:对
本题解析:暂无解析
29、判断题 检修人员上塔时要做好个人安全防护工作。()
点击查看答案
本题答案:对
本题解析:暂无解析
30、问答题 暂停时的主要控制指令为?
点击查看答案
本题答案:(1)如果发电机并网,调节功率降到0后通过晶闸管切出发
本题解析:试题答案(1)如果发电机并网,调节功率降到0后通过晶闸管切出发电机;
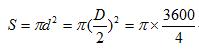
(2)如果发电机没有并入电网,则降低风轮转速至0。
31、填空题 变桨距控制是通过叶片和轮毂之间的(),由此来减小翼型的升力,达到()的目的。
点击查看答案
本题答案:轴承机构转动叶片来减小迎角;减小作用在风轮叶片上的扭矩和功率
本题解析:试题答案轴承机构转动叶片来减小迎角;减小作用在风轮叶片上的扭矩和功率
32、填空题 在风力发电机组中通常在高速轴端选用()连轴器。
点击查看答案
本题答案:弹性
本题解析:试题答案弹性
33、问答题 电缆的电压等级?
点击查看答案
本题答案:(1)26/35kV,用于35kV集电线路。
本题解析:试题答案(1)26/35kV,用于35kV集电线路。
(2)8.7/15kV,用于10kV集电线路。
(3)0.69/1kV,用于机组至箱变之间的连接电缆。
34、填空题 机械刹车根据作用方式可分为()、()、()、()、()等形式。按工作状态可分为(常闭式)和(常开式)。
点击查看答案
本题答案:气动;液压;电磁;电液;手动
本题解析:试题答案气动;液压;电磁;电液;手动
35、问答题 填用电气第二种工作票的工作有哪些?
点击查看答案
本题答案:(1)带电作业和在带电设备外壳上的工作;
(
本题解析:试题答案(1)带电作业和在带电设备外壳上的工作;
(2)控制盘和低压配电盘、配电箱、电源干线上的工作;
(3)二次接线回路上的工作,无需将高压设备停电者;
(4)转动中的发电机、同期调相机的励磁回路或高压电动机转子电阻回路上的工作;
(5)非当值值班人员用绝缘棒和电压互感器定相或用钳形电流表测量高压回路的电流。
36、填空题 检修工作地点应有(),升压站等重要场所应有()。
点击查看答案
本题答案:充足照明;事故照明
本题解析:试题答案充足照明;事故照明
37、填空题 风轮功率的大小取决于()。
点击查看答案
本题答案:风轮直径
本题解析:试题答案风轮直径
38、填空题 感应发电机也称为()发电机,有鼠笼型和绕线型两种。在恒速/恒频系统中,一般采用()电机。
点击查看答案
本题答案:异步;鼠笼型异步
本题解析:试题答案异步;鼠笼型异步
39、填空题 齿轮箱的效率可通过功率损失主要包括()、()、()和搅拌损失、阻损失、其他机件阻尼等。
点击查看答案
本题答案:齿轮啮;齿轮啮合;润滑油飞溅
本题解析:试题答案齿轮啮;齿轮啮合;润滑油飞溅
40、问答题 SF6开关进行操作时,禁止什么工作?
点击查看答案
本题答案:SF6开关进行操作时,禁止检修人员在其外壳上进行工作。
本题解析:试题答案SF6开关进行操作时,禁止检修人员在其外壳上进行工作。
41、填空题 调向系统应设有()和()保护装置。在寒冷地区,测风装置必须有()。
点击查看答案
本题答案:自动解缆;扭缆;防冰冻措施
本题解析:试题答案自动解缆;扭缆;防冰冻措施
42、填空题 风电机组的检修日常维护主要包括:检查、()、()和注油。
点击查看答案
本题答案:清理;调整
本题解析:试题答案清理;调整
43、填空题 拟建风电场的年平均风速应大于()m/s(滨海地区)和()m/s(山区)。
点击查看答案
本题答案:6;5.8
本题解析:试题答案6;5.8
44、填空题 风轮直径的大小与()直接相关。
点击查看答案
本题答案:风轮的功率
本题解析:试题答案风轮的功率
45、填空题 高电压触电主要死因(),低电压触电主要死因()。
点击查看答案
本题答案:为呼吸麻痹;为室颤
本题解析:试题答案为呼吸麻痹;为室颤
46、名词解释 风轮中心高
点击查看答案
本题答案:风轮中心高指风轮旋转中心到基础平面的垂直距离。
本题解析:试题答案风轮中心高指风轮旋转中心到基础平面的垂直距离。
47、问答题 美国GE公司制造的风力发电机在市场上有哪些竟争优势?
点击查看答案
本题答案:美国GE公司制造的风力发电机在市场上有哪些竟争优势就在
本题解析:试题答案美国GE公司制造的风力发电机在市场上有哪些竟争优势就在于:
美国GE公司为世界主要的风力发电机供应商之一,风力机的设计和生产位于德国、西班牙和美国Florida州,并且制造高质量的风力机叶片,提供先进的机组制造、维护方案等服务。目前的产品容量在1.5MW至3.6MW,都具有变速变桨距运行的特征,且配置了独特的“WindVAR”电子控制装置,可用于海上风电场或内陆电场,其中的1.5MW风力机是全球销售量最好的机型之一。
48、判断题 德国Nordex采用了变桨距的方式获取最大能源,减小噪声。()
点击查看答案
本题答案:对
本题解析:暂无解析
49、填空题 电拉闸操作必须按照()--()--()的顺序依次操作,送电合闸作应按与上述相反的顺序进行。严防带负荷拉合()。为防止误操作,高压电气设备都应加装()。
点击查看答案
本题答案:断路器;负荷侧隔离开关;母线侧隔离开关;刀闸;防误操作的闭装
本题解析:试题答案断路器;负荷侧隔离开关;母线侧隔离开关;刀闸;防误操作的闭装置
50、填空题 防止直击雷的保护装置有:()和()。
点击查看答案
本题答案:避雷针;避雷线
本题解析:试题答案避雷针;避雷线
51、填空题 CAN总线是一种()总线,通信介质可以是()、()或()。通信速率可达()。
点击查看答案
本题答案:多主;双绞线;同轴电缆;光导纤维;1MBPS
本题解析:试题答案多主;双绞线;同轴电缆;光导纤维;1MBPS
52、问答题 电场检修项目有哪些?
点击查看答案
本题答案:大修、(凡修理或更换发电机组叶片、主轴、齿轮箱、发电机
本题解析:试题答案大修、(凡修理或更换发电机组叶片、主轴、齿轮箱、发电机、塔架、箱式变、升压站内的变压器、开关)定期维护、(周期分为半年、一年、三年、五年)其他维修和试验项目、非计划临修、日常维护。
53、单项选择题 风电场运行管理工作的主要任务是提高()和供电可靠性。
A、管理
B、设备可利用率
C、人员思想
点击查看答案
本题答案:B
本题解析:暂无解析
54、问答题 风力机归纳起来,可分为哪两大类?
点击查看答案
本题答案:(1)水平轴风力机,风轮的旋转轴与风向平行,
本题解析:试题答案(1)水平轴风力机,风轮的旋转轴与风向平行,
(2)垂直轴风力机,风轮的旋转轴垂直于地面或气流方向。
55、填空题 某地一年内发生同一风速的小时数与全年小时数(8760小时)的比,称为该风速的()。
点击查看答案
本题答案:“风速频率”
本题解析:试题答案“风速频率”
56、填空题 在同一电气连接部分用同一工作票依次在几个工作地点转移工作时,全部安全措施(),不需再办理转移手续。但工作负责人在转移工作地点时,应()。
点击查看答案
本题答案:由运行人员在开工前一次做完;向工作人员交代带电范围、安全措施
本题解析:试题答案由运行人员在开工前一次做完;向工作人员交代带电范围、安全措施和注意事项
57、问答题 风电场的运行各种记录包括哪些?
点击查看答案
本题答案:交接班记录、运行日志、风力机巡视、风力机特巡、变压器巡
本题解析:试题答案交接班记录、运行日志、风力机巡视、风力机特巡、变压器巡视、SF6断路器巡视、隔离开关巡视、电容器巡视、蓄电池、操作票管理、安全活动、反事故演习、安全工器具试验记录。
58、问答题 风电场选址基本步骤有哪两个?
点击查看答案
本题答案:选址一般分预选和定点两个步骤。预选是从10万km的大面
本题解析:试题答案选址一般分预选和定点两个步骤。预选是从10万km的大面积上进行分析,筛选出1万km较合适的中尺度区域,再进行考察选出100km的小尺度区域,该区满足在经验上看是可以利用的,且有一定的可用面积。然后收集气象资料,并设几个点观测风速;定点是在风速资料观测的基础上,进行风能潜力的估计,作出可行性的评价,最后确定风力机的最佳布局。
59、问答题 常见的操作过电压有哪几种?
点击查看答案
本题答案:操作过电压易在下列情况下发生:
(1)开断空
本题解析:试题答案操作过电压易在下列情况下发生:
(1)开断空载变压器或电抗器(包括消弧线圈,变压器一电弧炉组,同步电动机,水银整流器等)。
(2)开断电容器组或空载长线路。
(3)在中性点不接地的电力网中,一相间歇性电弧接地。
60、名词解释 英译汉:phase sequence
点击查看答案
本题答案:相序
本题解析:试题答案相序
61、填空题 风电场选址一般分()和()两个步骤。()是从10万km的大面积上进行分析,筛选出()km较合适的中尺度区域,再进行考察选出()km的小尺度区域观测试验,最后定点确定风力机的最佳布局。
点击查看答案
本题答案:预选;定点;预选;1万;100
本题解析:试题答案预选;定点;预选;1万;100
62、名词解释 英译汉:panel
点击查看答案
本题答案:控制盘
本题解析:试题答案控制盘
63、单项选择题 最常见的过压保护措施是。()
A、快速开关;
B、阻容保护;
C、压敏电阻;
D、快速熔断器。
点击查看答案
本题答案:B
本题解析:暂无解析
64、判断题 电气第二种工作票应在进行工作的当天预先交给值班员。()
点击查看答案
本题答案:对
本题解析:暂无解析
65、填空题 风电场生产必须坚持()的原则。
点击查看答案
本题答案:安全第一,预防为主
本题解析:试题答案安全第一,预防为主
66、问答题 风力发电机组因液压故障停机后应如何检查处理?
点击查看答案
本题答案:应检查油泵是否工作正常;液压回路是否渗漏;若油压异常,
本题解析:试题答案应检查油泵是否工作正常;液压回路是否渗漏;若油压异常,应检查液压泵电动机÷液压管路、液压缸及有关阀体和压力开关等,必要时应进一步检查液压泵本体工作是否正常;待故障排除后再恢复机组运行。
67、填空题 电气工作人员对本规程应()考试一次。因故间断电气工作连续(),必须重新温习本规程,并经考试合格后,方能恢复工作。参加带电作业人员,应经(),并经()、(),方能参加工作。新参加电气工作的人员、实习人员和临时参加劳动的人员(),必须经过安全知识教育后,方可下现场随同参加指定的工作,但不得单独工作。对外单位派来支援的电气工作人员,工作前应介绍现场()和()。
点击查看答案
本题答案:每年;三个月以上;专门培训;考试合格;领导批准后;干部、临时
本题解析:试题答案每年;三个月以上;专门培训;考试合格;领导批准后;干部、临时工等;电气设备接线情况;有关安全措施
68、填空题 根据润滑剂的物质形态分类可分为()、()、()、()。
点击查看答案
本题答案:气体润滑;液体润滑;半固体润滑;固体润滑
本题解析:试题答案气体润滑;液体润滑;半固体润滑;固体润滑
69、判断题 在定期维护中,不必对叶片进行检查。()
点击查看答案
本题答案:错
本题解析:暂无解析
70、问答题 &n来源:91考试网bsp;在原工作票的停电范围内增加工作任务或增设安全措施时,怎样办理?
点击查看答案
本题答案:在原工作票的停电范围内增加工作任务时,应由工作负责人征
本题解析:试题答案在原工作票的停电范围内增加工作任务时,应由工作负责人征得工作票签发人和工作许可人同意,并在工作票上增填工作项目。若需变更或增设安全措施者应填用新的工作票,并重新履行工作许可手续。
71、名词解释 英译汉:replace
点击查看答案
本题答案:取代
本题解析:试题答案取代
72、判断题 风电场选址只要考虑风速这一项要素即可。()
点击查看答案
本题答案:错
本题解析:暂无解析
73、填空题 传动系统包括()、()和()。
点击查看答案
本题答案:主轴;齿轮箱;联轴节(器)
本题解析:试题答案主轴;齿轮箱;联轴节(器)
74、填空题 所有生产人员必须熟练掌握()方法,所有职工必须掌握()方法。
点击查看答案
本题答案:触电现场急救;消防器材使用
本题解析:试题答案触电现场急救;消防器材使用
75、填空题 事故抢休处理可不用操作票,但应记入()和()内。
点击查看答案
本题答案:操作记录簿;运行记录
本题解析:试题答案操作记录簿;运行记录
76、判断题 交接班会议结束后交接班人员应共同到场内进行一次巡视。()
点击查看答案
本题答案:对
本题解析:暂无解析
77、问答题 计算题:测得某风电场一年内不小于10而不大于15m/s这一风速段内的吹刮频率为15%,求这一风速段内的年吹刮时数是多少?
点击查看答案
本题答案:某一风速区段内的年吹时数=某一风速段内吹刮频率&tim
本题解析:试题答案某一风速区段内的年吹时数=某一风速段内吹刮频率×年小时数=15%×8760=1314(h)
这一风速段的吹刮时数为1314h。
78、填空题 断路器的用途是:正常时能()或()电路;发生故障时与继电保护配合能自动()故障电流;需要时能自动()。
点击查看答案
本题答案:接通;断开;切断;重合
本题解析:试题答案接通;断开;切断;重合
79、问答题 风力发电机组需要油脂润滑的部位有哪些?
点击查看答案
本题答案:主轴轴承、发电机轴承、偏航回转轴承、偏航齿圈的齿面、偏
本题解析:试题答案主轴轴承、发电机轴承、偏航回转轴承、偏航齿圈的齿面、偏航齿盘表面。
80、问答题 填用变电第二种工作票的工作为哪些?
点击查看答案
本题答案:(1)控制盘和低压配电盘、配电箱、电源干线上的工作。<
本题解析:试题答案(1)控制盘和低压配电盘、配电箱、电源干线上的工作。
(2)二次系统和照明等回路上的工作,无需将高压设备停电者或做安全措施者。
(3)转动中的发电机、同期调相机的励磁回路或高压电动机转子电阻回路上的工作。
(4)非运行人员用绝缘棒和电压互感器定相或用钳型电流表测量高压回路的电流。
(5)大于设备不停电时的安全距离的相关场所和带电设备外壳上的工作以及无可能触及带电设备导电部分的工作。
(6)高压电力电缆不需停电的工作。
(7)换流变压器、直流场设备及阀厅设备上工作,无需将直流单、双 91ExAM.org级或直流滤波器停用者。
(8)直流保护控制系统的工作,无需将高压直流系统停用者。
(9)换流阀水冷系统、阀厅空调系统、火灾报警系统及图像监视系统等工作,无需将高压直流系统停用者。
81、填空题 ()和()是风力发电机组的主要承载部件。
点击查看答案
本题答案:塔架;基础
本题解析:试题答案塔架;基础
82、填空题 叶根的结构形式:①()②()。
点击查看答案
本题答案:螺纹件预埋式;钻孔组装式
本题解析:试题答案螺纹件预埋式;钻孔组装式
83、判断题 风力发电机组若在运行中发现有异常声音,可不做检查继续运行。()
点击查看答案
本题答案:错
本题解析:暂无解析
84、判断题 洗刷设备时可以用汽油,不可以用煤油。()
点击查看答案
本题答案:错
本题解析:暂无解析
85、填空题 调向系统应设有()和()装置。在寒冷地区,测风装置必须有()措施。
点击查看答案
本题答案:自动解缆;扭缆保护;防冰冻
本题解析:试题答案自动解缆;扭缆保护;防冰冻
86、判断题 风轮在塔架的前面迎风旋转,叫做“逆风向风力机”。()
点击查看答案
本题答案:对
本题解析:暂无解析
87、名词解释 英译汉:output
点击查看答案
本题答案:输出
本题解析:试题答案输出
88、单项选择题 工作篇应一式两份,两份工作票中的一份由()收执,另一份由值班员收执,按值移交。
A.工作许可人
B.工作负责人
C.工作票签发人
D.工作班成员
点击查看答案
本题答案:B
本题解析:暂无解析
89、填空题 变速恒频控制系统的功能划分:()、降风控制、()、功率控制、()、()。
点击查看答案
本题答案:正常运行控制;最佳运行控制;安全保护控制;变桨距控制
本题解析:试题答案正常运行控制;最佳运行控制;安全保护控制;变桨距控制
90、填空题 故障检查处理必须严格贯彻()的原则。
点击查看答案
本题答案:“应修必修,修必修好”
本题解析:试题答案“应修必修,修必修好”
91、填空题 大气环流主要由两种自然现象引起的,()和()。
点击查看答案
本题答案:太阳辐射;地球自转
本题解析:试题答案太阳辐射;地球自转
92、填空题 运行人员登塔检查维护应不少于()人,但不能()登塔。
点击查看答案
本题答案:两;同时
本题解析:试题答案两;同时
93、填空题 变压器短路故障后备保护主要是作为相邻元件及()的后备保护。
点击查看答案
本题答案:变压器内部
本题解析:试题答案变压器内部
94、问答题 轮系的定义?
点击查看答案
本题答案:为了获得很大的传动比,或者为了将输入轴的一种转速变换为
本题解析:试题答案为了获得很大的传动比,或者为了将输入轴的一种转速变换为输出轴的多种转速等原因,常采用一系列互相啮合的齿轮将输入轴和输出轴连接起来。这种由一系列齿轮组成的传动系统称为轮系。
95、填空题 合成油的主要优点是,在极低温度状况下具有较好的();在高温时的化学稳定性好并可抑制()降低。
点击查看答案
本题答案:流动性;粘度
本题解析:试题答案流动性;粘度
96、填空题 在电阻、电感、电容组成的电路中,只有()元件是消耗电能的,而和电容元件是进行能量交换的,不消耗电能。
点击查看答案
本题答案:电阻;电感
本题解析:试题答案电阻;电感
97、填空题 PLC(可编程逻辑控制器,ProgrammableLogicController):由()、()、()、()、()、()等模块配置。
点击查看答案
本题答案:CPU;I/O;模入/模出;计数器;通讯;电源
本题解析:试题答案CPU;I/O;模入/模出;计数器;通讯;电源
98、填空题 在风力发电机组中,常采用()联轴器、()联轴器两种方式。
点击查看答案
本题答案:刚性;弹性
本题解析:试题答案刚性;弹性
99、填空题 风能密度是指()。
点击查看答案
本题答案:通过单位截面积的风所含的能量
本题解析:试题答案通过单位截面积的风所含的能量
100、问答题 如何防止向停电检修设备反送电?
点击查看答案
本题答案:检修设备停电,应把各方面的电源完全断开(任何运用中的星
本题解析:试题答案检修设备停电,应把各方面的电源完全断开(任何运用中的星形接线设备的中性点,应视为带电设备)。禁止在只经断路器(开关)断开电源的设备上工作。应拉开隔离开关(刀闸),手车开关应拉至试验或检修位置,应使各方面有一个明显的断开点(对于有些设备无法观察到明显断开点的除外)。与停电设备有关的变压器和电压互感器,应将设备各侧断开,防止向停电检修设备反送电。
101、判断题 风电场选址时一个很复杂的过程,涉及的问题比较多。()
点击查看答案
本题答案:对
本题解析:暂无解析
102、填空题 定桨距风电机组的优点:①()②()。缺点:①()②()③()④()⑤()。
点击查看答案
本题答案:机械结构简单,易于制造;控制原理简单,运行可靠性高;额定风速
本题解析:试题答案机械结构简单,易于制造;控制原理简单,运行可靠性高;额定风速高,风轮转换效率低;转速恒定,机电转换效率低;对电网影响大;常发生过发电现象,加速机组的疲劳损坏;叶片复杂,重量大,制造较难,不宜制造大风电机组
103、判断题 在一个封闭的环境中,可以用二氧化碳灭火器灭火。()
点击查看答案
本题答案:错
本题解析:暂无解析
104、问答题 什么叫切入风速?
点击查看答案
本题答案:风力发电机开始发电时的最低风速。
本题解析:试题答案风力发电机开始发电时的最低风速。
105、判断题 列入特许经营权项目,就意味着列入了国家风电发展计划。()
点击查看答案
本题答案:对
本题解析:暂无解析
106、判断题 封闭的谷地,风速比平地小。()
点击查看答案
本题答案:对
本题解析:暂无解析
107、填空题 我国风能资源储量居世界第()位,仅次于()和(),仅陆上可开发的装机容量就达2.5亿千瓦。
点击查看答案
本题答案:三;俄罗;美国
本题解析:试题答案三;俄罗;美国
108、填空题 偏航系统一般由()、()、()、()、()、()等几个部分组成。
点击查看答案
本题答案:偏航轴承;偏航驱动装置;偏航制动器;偏航计数器;纽缆保护装置
本题解析:试题答案偏航轴承;偏航驱动装置;偏航制动器;偏航计数器;纽缆保护装置;偏航液压回路
109、填空题 风电生产准备期一 般指从项目公司成立开始,到本工程最后一台风力发电机组完成()小时试运行,进入试生产为止。
点击查看答案
本题答案:240
本题解析:试题答案240
110、问答题 什么是常闭式制动器?什么是常开式制动器?
点击查看答案
本题答案:常开式制动器一般是指有液压力或电磁力拖动时,制动器处于
本题解析:试题答案常开式制动器一般是指有液压力或电磁力拖动时,制动器处于锁紧状态的制动器;
常闭式制动器一般是指有液压力或电磁力拖动时,制动器处于松开状态的制动器。
111、填空题 高压室的钥匙至少应有三把,由配电值班人员负责保管,按值移交。一把供()使用,一把专供()使用,其他可以借给()和()使用,但必须登记签名,当日交回。
点击查看答案
本题答案:紧急时;值班员;许可单独巡视高压设备的人员;工作负责人
本题解析:试题答案紧急时;值班员;许可单独巡视高压设备的人员;工作负责人
112、填空题 紧急救护的基本原则是在现场采取积极措施,(),减轻伤情,减少痛苦,并根据伤情需要,迅速与医疗急救中心联系救治。急救成功的关键是(),()。任何拖延和操作错误都会导致伤员伤情加重或死亡。
点击查看答案
本题答案:保护伤员的生命;动作快;操作正确
本题解析:试题答案保护伤员的生命;动作快;操作正确
113、单项选择题 当电网中并入的风力电量达到一定程度,会引起电压不稳定,一般建议不大于()。
A、5%
B、10%
C、15%
D、25%
点击查看答案
本题答案:B
本题解析:暂无解析
114、问答题 风力发电机控制系统执行部分的工作原理及其组成?
点击查看答案
本题答案:执行部分即将控制器所发出的指令通过各类设备转换为相应的
本题解析:试题答案执行部分即将控制器所发出的指令通过各类设备转换为相应的执行动作,实现所需达到的动作;基本工作原理:通过指令控制各继电器或开关的断与合,使电动机、液压阀等动作,相应机构动作;
主要包括:
(1)软并网装置(或为变频装置)
(2)变桨机构(电机或液压装置)
(3)偏航机构
(4)制动装置
(5)冷却系统
115、问答题 变电一张工作票中,哪三中人不得互相兼任?
点击查看答案
本题答案:工作票签发人、工作负责人和工作许可人三者不得兼任。
本题解析:试题答案工作票签发人、工作负责人和工作许可人三者不得兼任。
116、单项选择题 在正常工作条件下,风力发电机组的设计要达到的最大连续输出功率叫()。
A.平均功率;
B.最大功率;
C.额定功率;
D.最小功率。
点击查看答案
本题答案:C
本题解析:暂无解析
117、问答题 从控制结构上来划分,电控系统可以分为哪四个部分?
点击查看答案
本题答案:(1)电网级控制部分:主要包括总的有功和无功控制,远程
本题解析:试题答案(1)电网级控制部分:主要包括总的有功和无功控制,远程监控等。
(2)整机控制部分:主要包括最大功率跟踪控制,速度控制,自动偏航控制等。
(3)变流器部分:主要包括双馈发电机的并网控制,有功无功解耦控制,亚同步和超同步运行控制等。
(4)变桨控制部分:又分为统一变桨控制和独立变桨控制两种,大型风电机组大多采用了独立变桨方式。
118、问答题 基于现场总线的自动化监控及信息集成系统主要优点是什么?
点击查看答案
本题答案:(1)增强了现场级信息集成能力;
(2)开放
本题解析:试题答案(1)增强了现场级信息集成能力;
(2)开放式、互操作性、互换性、可集成性;
(3)系统可靠性高、可维护性好;
(4)降低了系统及工程成本。
119、判断题 在沿海地区,选址要避开台风经常登陆的地点和雷暴易发生的地区。()
点击查看答案
本题答案:对
本题解析:暂无解析
120、填空题 风力发电系统模型具有很强的()、()和()等特点。
点击查看答案
本题答案:非线性;不确定性;多干扰
本题解析:试题答案非线性;不确定性;多干扰
121、填空题 能量吸收器是()的组成部分,它是负责降低坠落时对()()和()的冲击力。
点击查看答案
本题答案:个人防坠落保护设备;人体;安全带;定位设备
本题解析:试题答案个人防坠落保护设备;人体;安全带;定位设备
122、判断题 电气第一种工作票应在工作前一日交给值班员。()
点击查看答案
本题答案:对
本题解析:暂无解析
123、问答题 风力发电机组选型和布置有哪些要求?
点击查看答案
本题答案:(1)风力发电机布置要综合考虑地形、地质、运输、安装和
本题解析:试题答案(1)风力发电机布置要综合考虑地形、地质、运输、安装和联网等条件。应根据风电场风向玫瑰图和风能密度玫瑰图显示的盛行风向,年平均风速等条件,确定主导风向,风力机排列应与主导风向垂直。对平坦、开阔的场地,风力机可布置成单列型、双列型和多列型。多列布置时应呈“梅花型”,以尽量减少风力机之间尾流的影响。
(2)多种布置方案计算表明;当风电场平均风速为6.0~7.0m/s时,单列型风力机的列距约为3D(D为风轮直径);双列型布置的行距约为6D,列距约为4.5D;多列型布置的行列距约为7D。风电场平均风速越大,布置风力机的间距可以越小。
(3)前后排风力发电机之间应有5D以上的间隔。
124、问答题 什么是定轴轮系和周转轮系?
点击查看答案
本题答案:传动时每个齿轮的几何轴线都是固定的,这种轮系称为定轴轮
本题解析:试题答案传动时每个齿轮的几何轴线都是固定的,这种轮系称为定轴轮系。至少有一个齿轮的几何轴线绕另一齿轮的几何轴线转动的轮系,称为周转轮系。
125、问答题 使用喷灯时有何要求?
点击查看答案
本题答案:使用携带型火炉或喷灯时,火焰与带电部分的距离:电压在1
本题解析:试题答案使用携带型火炉或喷灯时,火焰与带电部分的距离:电压在10kV及以下者,不得小于1.5m;电压在10kV以上者,不得小于3m。不得在带电导线、带电设备、变压器、油开关附近以及在电缆夹层、隧道、沟洞内对火炉或喷灯加油及点火。
126、填空题 不同的风场条件具有不同的(),()等外部条件,因此风电机组根据不同的现场条件有不同的设计要求及相应的()。
点击查看答案
本题答案:风况;气候因;安全等级
本题解析:试题答案风况;气候因;安全等级
127、问答题 为什么说内蒙古是我国北部地区极具有风能发电开发价值的区域?
点击查看答案
本题答案:内蒙古是我国北部地区的风能富集区,可开发的风能储量为1
本题解析:试题答案内蒙古是我国北部地区的风能富集区,可开发的风能储量为1.01亿千瓦,占全国风能储量的40%,居全国之首。内蒙古的风能分布范围广、面积大、稳定性高、连续性好、无破坏性风速等优良品位。经测定,10米高度年平均风速在6米/秒以上,年可利用4400~7800小时,开发条件十分优越。
128、填空题 ()首先研制了风力发电机。()年,丹麦建成了世界上第一座风力发电站。
点击查看答案
本题答案:丹麦人;1891
本题解析:试题答案丹麦人;1891
129、填空题 根据气体的伯努力方程知叶片上侧是(),叶片下侧是()。叶片获得垂直于气流方向的()。
点击查看答案
本题答案:低压区;高压区;升力
本题解析:试题答案低压区;高压区;升力
130、单项选择题 对于某设计风速有一最佳的转速,风速愈高最佳的转速愈(),这是风轮机设计的关键点。
A、低
B、高
点击查看答案
本题答案:B
本题解析:暂无解析
131、填空题 变压器是依据()原理,把一种交流电的电压和电流变为()相同,但数值不同的电压和电流。
点击查看答案
本题答案:电磁感应;频率
本题解析:试题答案电磁感应;频率
132、填空题 为了描述风的速度和方向的分布特点,我们可以利用观测到的风速和风向数据画出()。
点击查看答案
本题答案:风向玫瑰图
本题解析:试题答案风向玫瑰图
133、单项选择题 风力机发电机组功率调节方式主要有()种调节方式。
A、3
B、2
C、4
D、5
点击查看答案
本题答案:A
本题解析:暂无解析
134、问答题 偏航液压系统的作用?
点击查看答案
本题答案:并网型风力发电机组的偏航系统一般都设有液压装置,液压装
本题解析:试题答案并网型风力发电机组的偏航系统一般都设有液压装置,液压装置的作用是控制偏航制动器松开或锁紧。一般液压管路应采用无缝钢管制成,柔性管路连接部分应采用合适的高压软管。
135、判断题 前后排风力发电机之间应有3D以上的间隔。()
点击查看答案
本题答案:错
本题解析:暂无解析
136、填空题 侧比叶片下侧的气流速度要大,这就导致叶片两侧产生压力差。根据气体的伯努力方程知叶片上侧是()压区,叶片下侧是()压区。叶片获得垂直于气流方向的()力。
点击查看答案
本题答案:低;高;升
本题解析:试题答来源:91考试网 91ExaM.org案低;高;升
137、问答题 一般常用的轮毂形式有哪几种及其特点?
点击查看答案
本题答案:刚性轮毂:
刚性轮毂的制造成本低、维护少、没
本题解析:试题答案刚性轮毂:
刚性轮毂的制造成本低、维护少、没有磨损,三叶片风轮大部分采用刚性轮毂,也是目前使用最广泛的一种形式。
铰链式轮毂:
铰链式轮毂常用于单叶片和二叶片风轮,铰链轴和叶片轴及风轮旋转轴互相垂直,叶片在挥舞方向、摆振方向和扭转方向上都可以自由活动,也可以称为柔性轮毂。
138、判断题 风速超过12m/s仍可打开机舱盖。()
点击查看答案
本题答案:错
本题解析:暂无解析
139、问答题 什么是变浆距?有何特点?
点击查看答案
本题答案:变浆距风轮的叶轮与轮毂通过轴承连接。
虽然结
本题解析:试题答案变浆距风轮的叶轮与轮毂通过轴承连接。
虽然结构比较复杂,但能够获得较好的性能,而且叶轮承受的载荷较小、重量轻。
140、问答题 已知某风力发电风轮直径D为60m,试求该风轮的扫掠面积(计算结果保留到整数)。
点击查看答案
本题答案:解:已知风轮直径D=60m,则扫掠面积为
本题解析:试题答案解:已知风轮直径D=60m,则扫掠面积为
141、填空题 润滑油的常用指标:粘度、()、抗乳化性、()。
点击查看答案
本题答案:测定;总酸值∕总碱值
本题解析:试题答案测定;总酸值∕总碱值
142、判断题 风能的功率与风速成正比。()
点击查看答案
本题答案:错
本题解析:暂无解析
143、问答题 如何根据风轮机的额定功率、设计风速、高速特性曲线、风场风能密度设计风轮机的转速和风轮直径?
点击查看答案
本题答案:按最佳风能利用系数设计,取相应的叶片。
(1
本题解析:试题答案按最佳风能利用系数设计,取相应的叶片。
(1)由图查得对应λopt的风能利用系数Cp
(2)计算风轮半径:
(3)计算风轮直径:D=2r
(4)计算风轮机转速:
144、填空题 高速风力机的风轮,叶片特别少,一般由()个叶片和轮毂组成。
点击查看答案
本题答案:2~3
本题解析:试题答案2~3
145、填空题 变速恒频风电机组的优点:①()②()③()。缺点:①()②()③()。
点击查看答案
本题答案:机电转换效率高;不会发生过发电现象;对电网影响小;电机结构较
本题解析:试题答案机电转换效率高;不会发生过发电现象;对电网影响小;电机结构较为复杂;风轮转速和电机控制较复杂,运行维护难度较大;增加一套电子变流设施
146、填空题 风轮仰角是指()。作用:()。
点击查看答案
本题答案:风轮的旋转轴线和水平面的夹角;是避免叶尖和塔架的碰撞
本题解析:试题答案风轮的旋转轴线和水平面的夹角;是避免叶尖和塔架的碰撞
147、填空题 变浆变速风力发电机的优点:()。缺点:()。
点击查看答案
本题答案:发电效率高,超出定桨距风电机组10%以上;机械、电气、控制部
本题解析:试题答案发电效率高,超出定桨距风电机组10%以上;机械、电气、控制部分都比较复杂
148、填空题 运行中点检即机组在运行状态下进行检查,以“()”表示,停机点检即机组需要停机才能检查,并以“()”表示。
点击查看答案
本题答案:○;△
本题解析:试题答案○;△
149、单项选择题 风力发电机组规定的工作风速范围一般是()。
A.0~18m/s;
B.0~25m/s;
C.3~25m/s;
D.6~30m/s。
点击查看答案
本题答案:C
本题解析:暂无解析
150、问答题 风力发电机传动系统构成?
点击查看答案
本题答案:主轴、齿轮箱、联轴器。
本题解析:试题答案主轴、齿轮箱、联轴器。
151、问答题 巡回检查制度对巡回检查是如何规定的?
点击查看答案
本题答案:1.巡回检查制度事先制定巡检表,明确巡视路线。
本题解析:试题答案1.巡回检查制度事先制定巡检表,明确巡视路线。
2.巡视人员应经过培训,能正确判断设备的异常情况。
3.检查内容结合点检的标准逐项进行,不得漏检项目。
4.巡检按巡视检查路线,不得漏检设备。
5.每天对升压站至少巡视一次,风力机至少一周一次,上塔至少每月一次。
6.巡回检查工作应通过,耳听、鼻闻、手摸、仪器测量等手段,全面掌握设备运行情况,采用比较分析方法,判断设备的状态。
7.单人巡视不得攀登电气设备,不准移开进入遮拦内,不准触动操作机构和易造成吴动的运行设备。
8.每次巡视应做好记录9除了周期性巡视还针对设备特点和运行方式,负荷情况自然条件的变化进行特巡。
152、问答题 对巡回检查时间是如何规定的?
点击查看答案
本题答案:1.值班人员在交班时,按规定巡视设备一次,交接班人员一
本题解析:试题答案1.值班人员在交班时,按规定巡视设备一次,交接班人员一起去。
2.每天应对升压站设备进行一次巡视检查;至少一次,对风力发电机每周运行人员至少全场巡视一次。
3.每周对升压站进行夜间熄灯检查一次。主要对电气连接点发热和电气设备外绝缘放电情况进行检查。
153、填空题 齿轮箱的功率损失主要包括()、()、()和()、()和其他机件阻尼等。
点击查看答案
本题答案:齿轮啮合;轴承摩擦;润滑油飞溅;搅拌损失;风阻损失
本题解析:试题答案齿轮啮合;轴承摩擦;润滑油飞溅;搅拌损失;风阻损失
154、填空题 220kV主变压器的主保护配置两套不同原理的()和(),后备保护配置复合起动的()。还配置(),(零序电压)和()、()、()、()等。
点击查看答案
本题答案:差动保护;瓦斯保护;过流保护;零序电流保护;间隙放电电流的零
本题解析:试题答案差动保护;瓦斯保护;过流保护;零序电流保护;间隙放电电流的零序电流电压保护;温度保护;风扇故障保护;过负荷保护
155、填空题 世界风能利用排在前四位的是()、()、()和()。
点击查看答案
本题答案:德国;美国;西班牙;丹麦
本题解析:试题答案德国;美国;西班牙;丹麦
156、名词解释 空气密度与叶轮扫风面积
点击查看答案
本题答案:风力发电机通过把风力转化为作用在叶片上的转矩获得能量,
本题解析:试题答案风力发电机通过把风力转化为作用在叶片上的转矩获得能量,这部分能量取决于流过叶轮的空气的密度,叶轮的扫风面积和风速。
157、填空题 空气流动形成风,假设空气密度为ρ,风速为V,扫风面积为A,则风压P=()风能E=()。
点击查看答案
本题答案:1/2ρAV2;1/2ρAV3
本题解析:试题答案1/2ρAV2;1/2ρAV3
158、填空题 理论上,风中含有的气流能量最大可以获取()%。
点击查看答案
本题答案:59.3
本题解析:试题答案59.3
159、填空题 风轮实度是指()。
点击查看答案
本题答案:叶片在风轮旋转平面上投影面积的总和与风轮扫掠面积的比值
本题解析:试题答案叶片在风轮旋转平面上投影面积的总和与风轮扫掠面积的比值
160、问答题 在什么情况下,应加装接地线或使用个人保安线?
点击查看答案
本题答案:对于因平行或邻近带电设备导致检修设备可能产生感应电压时
本题解析:试题答案对于因平行或邻近带电设备导致检修设备可能产生感应电压时,应加装接地线或工作人员使用个人保安线,加装的接地线应登录在工作票上,个人保安线由工作人员自装自拆。
161、填空题 复合材料的优点:①()②易成型性好③()④()。
点击查看答案
本题答案:可设计性强;耐腐蚀性强;维护少、以修补
本题解析:试题答案可设计性强;耐腐蚀性强;维护少、以修补
162、判断题 长而平直的谷地,当风沿谷地吹时,其风速比平地加强,即产生狭管效应,风速增大。()
点击查看答案
本题答案:对
本题解析:暂无解析
163、问答题 风电场安全管理工作的主要内容是什么?
点击查看答案
本题答案:根据现场实际,建立和健全安全监督机构和安全管理网络;安
本题解析:试题答案根据现场实际,建立和健全安全监督机构和安全管理网络;安全教育要常抓不懈,做到全员教育,全面教育,全过程教育,并掌握好教育的时间和方法,达到好的教育效果;严肃认真地贯彻执行各项规章制度;建立和完善安全生产责任制;事故调查要坚持四不放过的原则;要认真编制并完成好安全技术劳动保护措施计划和反事故措施计划。
164、名词解释 英译汉:windspeed
点击查看答案
本题答案:风速
本题解析:试题答案风速
165、填空题 一般推荐在极端载荷下的静承载能力系数ƒs应不小于()。
点击查看答案
本题答案:2.0
本题解析:试题答案2.0
166、填空题 叶轮旋转时叶尖运动所生成圆的投影面积称为()。
点击查看答案
本题答案:扫掠面积
本题解析:试题答案扫掠面积
167、填空题 ()对于监视风电场安全稳定运行负有()。()应及时发现问题,查明原因,防止事故扩大,减少经济损失。
点击查看答案
本题答案:运行人员;直接责任;运行人员
本题解析:试题答案运行人员;直接责任;运行人员
168、问答题 风电场220kV升压站系统继电保护种类?
点击查看答案
本题答案:(1)220kV线路保护;
(2)220kV
本题解析:试题答案(1)220kV线路保护;
(2)220kV母线保护;
(3)220kV故障录波器;
(4)保护及故障信息远传系统。
169、问答题 当风力发电机组在运行中发生主开关跳闸现象,应如何检查处理?
点击查看答案
本题答案:目测检查主回路元件外观及电缆接头处有无异常;在拉开台变
本题解析:试题答案目测检查主回路元件外观及电缆接头处有无异常;在拉开台变侧开关后应当测量发电机主回路绝缘以及可控硅是否正常,若无异常可重新试送电;借助就地监控机提供的有关故障信息进一步检查主开关动作的原因,若有必要应考虑检查就地监控机跳闸信号回路及主开关自动跳闸机构是否正常;经检查处理并确认无误后,才允许重新启动风电机组。
170、填空题 风力发电机组的偏航系统的主要作用是与其控制系统配合,使风电机的风轮在正常情况下处于()。
点击查看答案
本题答案:迎风状态
本题解析:试题答案迎风状态
171、问答题 与其他传动方式相比,液压传动有哪些优缺点?
点击查看答案
本题答案:优点有传动平稳,易于频繁换向;质量轻体积小,动作灵敏;
本题解析:试题答案优点有传动平稳,易于频繁换向;质量轻体积小,动作灵敏;承载能力大;调速范围大,易于实现无级调速;易于实现过载保护;液压元件能够自动润滑,元件的使用寿命长;容易实现各种复杂的动作;简化机械结构;便于实现自动化控制;便于实现系列化、标准化和通用化。
缺点有液压元件制造精度要求高;实现定比传动困难;油液易受温度影响;不适宜远距离传动动力;油液中混入空气容易影响工作性能;油液容易被污染;发生故障不容易检查和排除。
172、判断题 对于某设计风速有一最佳的转速,是风轮机设计的关键点!()
点击查看答案
本题答案:对
本题解析:暂无解析
173、填空题 控制系统的主要技术参数:()、()、()、()、()、()、()、()、()、()、()、()。
点击查看答案
本题答案:主发电机输出功率;发电机最大输出功率;工作风速范围;额定风速
本题解析:试题答案主发电机输出功率;发电机最大输出功率;工作风速范围;额定风速;切入风速;切出风速;风轮转速;发电机并网转速;发电机输出电压;发电机发电频率;并网最大冲击电流;电容补偿后功率因素
174、判断题 风电场场长(值长)应负责对外来工作人员的安全教育。()
点击查看答案
本题答案:错
本题解析:暂无解析
175、填空题 风电场的35kV架空线路防雷保护采用()保护;在海拔较低的地区,可采用()保护,在入升压站段采用()。
点击查看答案
本题答案:全程避雷线;避雷;部分避雷线
本题解析:试题答案全程避雷线;避雷;部分避雷线
176、填空题 电气设备的检修为三种,即()、()、()。
点击查看答案
本题答案:大修;小修;临时性检修
本题解析:试题答案大修;小修;临时性检修
177、填空题 我国次最大风能资源区:()。
点击查看答案
本题答案:内蒙古和甘肃北部
本题解析:试题答案内蒙古和甘肃北部
178、填空题 倒闸操作必须由()执行,其中一人对设备较为熟悉者作()。()的变电所倒闸操作可由一人执行。特别重要和复杂的倒闸操作,由熟练的()操作,()或()。
点击查看答案
本题答案:两人;监护;单人值班;值班员;值班负责人;值长监护
本题解析:试题答案两人;监护;单人值班;值班员;值班负责人;值长监护
179、填空题 电气性能是指()方式。双馈电机还包括()方式。永磁电机还包括()。
点击查看答案
本题答案:电机类型、工作制、额定功率、额定电压、极数、相数、额定转速、
本题解析:试题答案电机类型、工作制、额定功率、额定电压、极数、相数、额定转速、发电机转速范围、额定效率、功率因数、定子接线;转子电压、转子堵转电压、转子接线;励磁方式
180、填空题 遇有电气设备着火时应立即将有关()的电源切断,然后再进行()。
点击查看答案
本题答案:设备;灭火
本题解析:试题答案设备;灭火
181、名词解释 英译汉:maximum
点击查看答案
本题答案:最大值
本题解析:试题答案最大值
182、填空题 综合厂用电量即()。它等于()。
点击查看答案
本题答案:电厂全部耗用电量;发电量+购网电量-上网电量
本题解析:试题答案电厂全部耗用电量;发电量+购网电量-上网电量
183、填空题 风电机组可分为八个系统,分别是:塔架、()、()、发电机、()、()、叶轮、其它。
点击查看答案
本题答案:偏航系统;传动系统;电控系统;液压系统
本题解析:试题答案偏航系统;传动系统;电控系统;液压系统
184、单项选择题 由一系列齿轮组成的传动系统称为。()
A、减速机
B、齿轮箱
C、变速箱
D、轮系
点击查看答案
本题答案:D
本题解析:暂无解析
185、判断题 风力发电机组的平均功率和额定功率一样。()
点击查看答案
本题答案:错
本题解析:暂无解析
186、填空题 失速控制主要是()来实现的。
点击查看答案
本题答案:通过确定叶片翼型的扭角分布,是风轮功率达到额定点后,减少升力
本题解析:试题答案通过确定叶片翼型的扭角分布,是风轮功率达到额定点后,减少升力提高阻力
187、填空题 风电机组至少应具有两种()的制动系统。
点击查看答案
本题答案:不同原理的能独立有效制动
本题解析:试题答案不同原理的能独立有效制动
188、填空题 在原工作票的停电范围内增加工作任务时,应由()征得()和()同意,并在工作票上增填工作项目。若需变更或增加安全措施者应()。
点击查看答案
本题答案:工作负责人;工作票签发人;工作许可人;填用新的工作票,并重新
本题解析:试题答案工作负责人;工作票签发人;工作许可人;填用新的工作票,并重新履行工作许可手续
189、问答题 倒闸操作应如何执行?
点击查看答案
本题答案:倒闸操作应根据值班调度员或运行值班负责人的指令,受令人
本题解析:试题答案倒闸操作应根据值班调度员或运行值班负责人的指令,受令人复诵无误后执行。发布指令应准确、清晰,使用规范的调度术语和设备双重名称,即设备名称和编号。发令人和受令人应先互报单位和姓名,发布指令的全过程(包括对方复诵指令)和听取指令的报告时双方都要录音并作好记录。操作人员(包括监护人)应了解操作目的和操作顺序。对指令有疑问时应向发令人询问清楚无误后执行。
190、判断题 丹麦NEGMicon提供的风力机容量范围自600kW至2MW,每个机组都确保操作简易,使用效率高,性能最优化。()
点击查看答案
本题答案:对
本题解析:暂无解析
191、单项选择题 风力发电机开始发电时,轮毂高度处的最低风速叫()。
A.额定风速;
B.平均风速;
C.切出风速;
D.切入风速。
点击查看答案
本题答案:D
本题解析:暂无解析
192、问答题 低压触电采用哪些方法使触电者脱离电源?
点击查看答案
本题答案:(1)如果触电地点附近有电源开关或电源插座,可立即拉开
本题解析:试题答案(1)如果触电地点附近有电源开关或电源插座,可立即拉开开关或拔出插头,断开电源。但应注意到拉线开关或墙壁开关等只控制一根线的开关,有可能因安装问题只能切断零线而没有断开电源的火线。
(2)如果触电地点附近有电源开关或电源插座(头),可能有绝缘柄的电工钳或干燥木柄的斧头切断电线,断开电源。
(3)当电线搭在触电者身上或压在身下时,可用干燥的衣服、手套、绳索、皮带、木板、木棒等绝缘物作为工具,拉开触电者或挑开电线,使触电者脱离电源。
(4)如果触电者的衣服是干燥的,又没有紧缠在身上,可以用一只手抓住他的衣服,拉离电源。但历触电者的身体是带电的,其鞋的绝缘也可能遭到破坏,救护人不得接触触电者的皮夫,也不能抓他的鞋。
(5)若触电发生在低压带电的架空线路上或配电台架、进户线上,对可立即切断电源的,则应迅速断开电源,救护者迅速登杆或登至可靠地方,并做好自身防触电、防坠落安全措施,用带有绝缘胶柄的钢丝钳、绝缘物体或干燥不导电物体等工具将触电者脱离电源。
193、问答题 SF6配电装置室及SF6气体试验室,通风有何要求?
点击查看答案
本题答案:装有SF6设备的配电装置室和SF6气体实验室,应装设强
本题解析:试题答案装有SF6设备的配电装置室和SF6气体实验室,应装设强力通风装置,风口应设置在室内底部,排风口不应朝向居民住宅或行。
194、填空题 ()是评定风轮气动特性优劣的主要参数。
点击查看答案
本题答案:风能利用系数
本题解析:试题答案风能利用系数
195、问答题 安全生产目标四级控制的内容是什么?
点击查看答案
本题答案:(1)企业控制重伤和事故,不发生人身死亡、重大设备损坏
本题解析:试题答案(1)企业控制重伤和事故,不发生人身死亡、重大设备损坏和重大火灾事故。
(2)部门控制轻伤和障碍,不发生重伤和事故。
(3)班组控制未遂和异常,不发生轻伤和障碍。
(4)个人控制失误和差错,不发生人身未遂和异常。
196、问答题 为什么利用风能发电有助于减缓温室效应?
点击查看答案
本题答案:风力发电不会产生二氧化碳气体等污染物的释放,完全可以抵
本题解析:试题答案风力发电不会产生二氧化碳气体等污染物的释放,完全可以抵消掉在制造过程中少量有害气体的排放。因此风力发电有利于减少二氧化碳等有害气体进入大气中的增加速度,有助于减缓温室效应的产生。
197、判断题 轴承的温度增加,加速了油的劣化。()
点击查看答案
本题答案:对
本题解析:暂无解析
198、问答题 计算题:有一台1500kW的风力发电机组,其年实际发电量为350万kWh,求该台机组的年容量系数是多少(计算结果保留两位小数)?
点击查看答案
本题答案:解:根据公式
本题解析:试题答案解:根据公式
该机组年容量系数是0.27。
199、填空题 风力发电机组的工作状态①();②();③();④()。
点击查看答案
本题答案:运行状态;暂停状态;停机状态;紧急停机状态
本题解析:试题答案运行状态;暂停状态;停机状态;紧急停机状态
200、单项选择题 风力发电机电源线上,并联电容器组的目的是()。
A、减少无功功率;
B、减少有功功率;
C、提高功率因数;
D、减少由有功功率。
点击查看答案
本题答案:C
本题解析:暂无解析
题库试看结束后
微信扫下方二维码即可打包下载完整版《★风电专业知识考试》题库
手机用户可保存上方二维码到手机中,在微信扫一扫中右上角选择“从相册选取二维码”即可。
题库试看结束后微信扫下方二维码即可打包下载完整版《风电专业知识考试:风电专业知识考试》题库,分栏、分答案解析排版、小字体方便打印背记!经广大会员朋友实战检验,此方法考试通过率大大提高!绝对是您考试过关的不二利器!
手机用户可保存上方二维码到手机中,在微信扫一扫中右上角选择“从相册选取二维码”即可。
微信搜索关注"91考试网"公众号,领30元,获取公务员事业编教师考试资料40G