手机用户可
保存上方二维码到手机中,在
微信扫一扫中右上角选择“从
相册选取二维码”即可。
	       
1、问答题  简述耗氧量的测定方法及其适用条件。
                    
 
	
	点击查看答案
 本题答案:第一种为:酸性高锰酸钾滴定法,适用于氯化物质量浓度低于
本题解析:试题答案第一种为:酸性高锰酸钾滴定法,适用于氯化物质量浓度低于300mg/L(以氯离子计)的生活饮用水及其水源水中耗氧量的测定;
第二种为:碱性高锰酸钾滴定法适用于氯化物质量浓度高于300mg/L(以氯离子计)的生活饮用水及其水源水中耗氧量的测定。
	
	
	        2、问答题  液氯钢瓶在使用过程中,有哪些安全注意事项?
                    
 
	
	点击查看答案
 本题答案:(1)氯瓶不能在烈日下曝晒,不能靠近炉火或高温处,以免
本题解析:试题答案(1)氯瓶不能在烈日下曝晒,不能靠近炉火或高温处,以免迅速气化时发生意外。液氯钢瓶上装有一只或数只低熔点安全塞,由熔点为70%:左右的合金制成,一旦氯瓶超温.安全塞自行熔化,氯气从钢瓶内逸出,不致引起钢瓶爆炸。钢瓶内的液氯不装满,一般只装80%~85%左右,其中15%一20%为气态氯空间。
(2)卧式氯瓶上有两只出氯气总阀,使用时,一个阀在上,一个阀在下。氯气是从上面一只总阀接人加氯机的,其简单构造如图所示。
(3)氯瓶的总阀外边,要装保护帽,防止运输和使用时碰坏。氯瓶上的螺纹全部都是右旋螺纹,使用时应注意旋转方向。
(4)氯瓶外壳要安装喷淋水装置,以供给液氯气化时的热量。
(5)氯瓶在使用时,不可把氯全部用光,要留10~15kg余量,或30~50kPa(O-3—0.5kgf/cm2)余压。更不能抽成真空,以免水倒回,引起腐蚀。
(6)在氯瓶与加氯机之间要设置中间缓冲槽,可使氯气中的杂质沉落在缓冲槽中。万一加氯机发生故障,中间缓冲槽可以起保护作用,以防止水回到氯瓶中。
(7)严防氯瓶碰撞。要轻装轻卸,不要滚动,严禁采用抛、滑及其他引起碰撞的方法装卸,以免发生事故。(8)按规定期限进行氯瓶的检查和试压,严格执行氯瓶使用安全规程。
(9)使用氯瓶的周围场所,不得有火种和易燃物。放置地点的气温应低于40℃。
(10)使用氯瓶时,如发生瓶阀冻结,严禁用火、开水、蒸汽等直接加热瓶体,以免发生爆炸。只可用35qc以下的温水或湿布加热。
	
	
	        3、填空题  刻度非常均匀是()系仪表的主要特征。
                    
 
	
	点击查看答案
 本题答案:磁电
本题解析:试题答案磁电
	
	
	        4、填空题  选择水泵首先应满足最大工况时的要求,即应满足供水对象所需最大()和最高()的要求。
                    
 
	
	点击查看答案
 本题答案:流量、水压
本题解析:试题答案流量、水压
	
	
	        5、填空题  电流互感器的变流比,就是一次线圈的()与二次线圈的()之比。
                    
 
	
	点击查看答案
 本题答案:额定电流、额定电流
本题解析:试题答案额定电流、额定电流
	
	
	        6、问答题  泵站值班工人要搞好“四防”的内容是什么?
                    
 
	
	点击查看答案
 本题答案:“四防”:防火、防洪、防盗、防
本题解析:试题答案“四防”:防火、防洪、防盗、防止人身触电。
	
	
	        7、判断题  MF型污水泵启动时应关闭出口管路上的截止阀。
                    
 
	
	点击查看答案
 本题答案:对
本题解析:暂无解析
	
	
	        8、问答题  水泵运行时哪些故障会使电动机电流城减少?
                    
 
	
	点击查看答案
 本题答案:水泵吸入宅气或空转,出水阀未打开。
总扬程高
本题解析:试题答案水泵吸入宅气或空转,出水阀未打开。
总扬程高于额定扬程,吸水扬程高于允许吸上高度,泵内有软性异物,叶轮损坏,封水圈与叶轮间隙过大,叶轮切削等。
	
	
	        9、填空题  压力表装在泵口出水管或泵口法兰盘上方,以供运行人员观测该泵运行时泵的()。
                    
 
	
	点击查看答案
 本题答案:出水压力
本题解析:试题答案出水压力
	
	
	        10、问答题  异步电动机为何达不到同步转数?
                    
 
	
	点击查看答案
 本题答案:异步电动机所以能够转动,是由于定子的旋转磁场切割转子导
本题解析:试题答案异步电动机所以能够转动,是由于定子的旋转磁场切割转子导体,在其产生感应电流,再与定子旋转磁场相互作用所致。如果达到同步转数,定子旋转磁场和转子间无相对运动,即不能产生感应电流,所以也不能产生转矩。
	
	
	        11、填空题  嗅和味、肉眼可见物、色度、浑浊度都属于()性状和()指标。
                    
 
	
	点击查看答案
 本题答案:感官、物理
本题解析:试题答案感官、物理
	
	
	        12、填空题  变频调速就是用改变()的方法来改变电动机的转速。
                    
 
	
	点击查看答案
 本题答案:电源频率
本题解析:试题答案电源频率
	
	
	        13、判断题  水泵的效率与水质的变化无关。
                    
 
	
	点击查看答案
 本题答案:错
本题解析:暂无解析
	
	
	        14、填空题  为防止泵内()流出泵外或外部空气流入泵内,在泵与泵壳之间设置()。
                    
 
	
	点击查看答案
 本题答案:液体、轴封
本题解析:试题答案液体、轴封
	
	
	        15、判断题  凡是使用了两个电源的场所都要进行核相。
                    
 
	
	点击查看答案
 本题答案:对
本题解析:暂无解析
	
	
	        16、问答题  电路有几部分组成?
                    
 
	
	点击查看答案
 本题答案:电路一般有电源负载及中间环节组成,电源是供应电能的装置
本题解析:试题答案电路一般有电源负载及中间环节组成,电源是供应电能的装置,负载是取用电能的装置,中间环节是传送、分配和控制电能的部分。
	
	
	        17、填空题  ()是在电动机等电气设备过载时起保护作用的一种自动控制电器。
                    
 
	
	点击查看答案
 本题答案:热继电器
本题解析:试题答案热继电器
	
	
	        18、问答题  为什么不宜将氯瓶内的液氯都用光?
                    
 
	
	点击查看答案
 本题答案:氯气在干燥的时候,化学性质不活泼,不会燃烧。但在遇水或
本题解析:试题答案氯气在干燥的时候,化学性质不活泼,不会燃烧。但在遇水或受潮后对金属有严重腐蚀性,化学性质十分活泼。因此,在氯气的使用过程中,特别要注意盛氯钢瓶不能进水,以免钢瓶腐蚀,发生事故。所以使用时,钢瓶内的液氯不宜全部用光,要留10~15kg。更不宜抽空,以防止漏人空气和带进水而产生腐蚀和发生事故。
	
	
	        19、问答题  预防和减少水泵汽蚀的措施有哪些?
                    
 
	
	点击查看答案
 本题答案:(1)降低泵的安装高度或提高吸水井水位,使泵的吸程降低
本题解析:试题答案(1)降低泵的安装高度或提高吸水井水位,使泵的吸程降低;
(2)减小水泵吸水管的阻力,如加大管径,减少管路附件,如底阀、弯管、闸阀等。
(3)降低所输送液体的温度,以降低汽化压力;
(4)避免在进口管路采用闸阀节流;
(5)在流量、扬程相同的条件下,采用双吸泵;
(6)提高过流部件表面的 光洁度和采用抗汽蚀材料等;
(7)在满足流量、扬程的条件下,降低泵的转数;
(8)在泵进口处加诱导轮;
(9)对叶片可调的混流泵、轴流泵可采用调节叶片安装角度的办法。
	
	
	        20、判断题  自灌式泵站,水泵无需引水,可以直接启动。
                    
 
	
	点击查看答案
 本题答案:错
本题解析:暂无解析
	
	
	        21、问答题  电动机启动时的注意事项有哪些?
                    
 
	
	点击查看答案
 本题答案:(1)电动机接通电源后,如发现电动机不能启动或启动时转
本题解析:试题答案(1)电动机接通电源后,如发现电动机不能启动或启动时转速很低以及声音不正常等现象,应立即切断电源检查原因;对新安装或检修后初次投入运行的电动机,应注意电动机的转向;
(2)启动多台电动机时,应按容量从大到小一台一台启动.不能同时启动。以免启动电流过大使断路器跳闸;
(3)电动机应避免频繁起动或尽量减少启动次数,防止因启动频繁而使电动机发热,影响电动机的使用寿命。规定如下:在冷态下,连续启动不得超过3次,在热态下连续启动不得超过2次,启动间隔时间不得小于5分钟。
(4)电机启动后.应检查电机有无异常现象,电流表、电压表读数是否正常。
	
	
	        22、问答题  电动机启动后,声音异常,噪声大,有哪些方面原因?
                    
 
	
	点击查看答案
 本题答案:(1)电气方面原因;
a、电源缺相运行;本题解析:试题答案(1)电气方面原因;
a、电源缺相运行;
b、定子绕组有短路、断路的地方,使三相电流不平衡;
c、定子绕组可能接错。
(2)机械方面原因;
a、轴承磨损或破碎,使轴承与转轴或轴承室配合不当;
b、轴承缺润滑油或润滑脂中混入金属屑之类的杂物,或轴承被水或其它腐蚀性气体锈蚀造成轴承表面起麻点;
c、风扇歪斜或损坏;
d、转子不平衡或转子扫膛;
e、机壳裂纹或地脚螺丝松动等。
	
	
	        23、判断题  异步电动机的同步转数与磁极对数成正比。
                    
 
	
	点击查看答案
 本题答案:错
本题解析:暂无解析
	
	
	        24、填空题  变电所采用()来防止直接雷击;采用()来防止雷电波的侵袭;采用避雷线来防止进线段直接雷击。
                    
 
	
	点击查看答案
 本题答案:避雷针、阀型避雷器
本题解析:试题答案避雷针、阀型避雷器
	
	
	        25、填空题  隔离开关的主要作用是(),就是将需要检修的电气设备与带电系统(),以保证检修工作人员的安全。
                    
 
	
	点击查看答案
 本题答案:隔离电源、可靠地隔离
本题解析:试题答案隔离电源、可靠地隔离
	
	
	        26、问答题  电动机端部轴承过热的原因都有哪些?
                    
 
	
	点击查看答案
 本题答案:①轴承损坏或内部有异物卡阻;
②润滑油过少或
本题解析:试题答案①轴承损坏或内部有异物卡阻;
②润滑油过少或油质不好或混入杂物;
③电动机轴与外鄙传动机械连接不同心;
④电动机轴弯曲变形;
⑤转子不平衡;
⑥轴承与端盖配合不适度。
	
	
	        27、填空题  ()是离心泵轴上采用的一种新密封形式。
                    
 
	
	点击查看答案
 本题答案:机械密封
本题解析:试题答案机械密封
	
	
	        28、单项选择题  水平敷设的交流母线相序排列顺序是()。
                    
	A、ABC由内至外
	B、ABC由外至内
	C、CAB由内至外
	D、CAB由外至内
 
	
	点击查看答案
 本题答案:A
本题解析:暂无解析
	
	
	        29、名词解释  有功功率
                    
 
	
	点击查看答案
 本题答案:又叫平均功率,即瞬时功率在一个周期内的平均值,它是电路
本题解析:试题答案又叫平均功率,即瞬时功率在一个周期内的平均值,它是电路中电阻部分消耗的功率,用P表示。单位:瓦(W)。
	
	
	        30、判断题  雨水泵站的水泵工作状态是并联工作。
                    
 
	
	点击查看答案
 本题答案:对
本题解析:暂无解析
	
	
	        31、问答题  城市地下水污染的主要原因是什么?
                    
 
	
	点击查看答案
 本题答案:是人类生产和生活活动造成的
本题解析:试题答案是人类生产和生活活动造成的
	
	
	        32、填空题  当流速一定时,流量与管道内径的()成正比。
                    
 
	
	点击查看答案
 本题答案:平方
本题解析:试题答案平方
	
	
	        33、单项选择题  ()是同时具备短路、过载和欠压保护的开关电器。
                    
	A.GN2-10
	B.FN2-10
	C.DW10
	D.DZ10
 
	
	点击查看答案
 本题答案:C
本题解析:暂无解析
	
	
	        34、问答题  水厂电气设备管理与维护的总要求是什么?
                    
 
	
	点击查看答案
 本题答案:水厂电气设备运行是否可靠,决定水厂能否正常生产。
本题解析:试题答案水厂电气设备运行是否可靠,决定水厂能否正常生产。
使一切电气设备保持安全、可靠、经济的运转,做到安全用电、合理用电、节约用电。
	
	
	        35、判断题  电动机的额定功率就是电动机的输入功率。
                    
 
	
	点击查看答案
 本题答案:错
本题解析:暂无解析
	
	
	        36、判断题  有功功率是电源供给的,而无功功率则不是电源供给的。
                    
 
	
	点击查看答案
 本题答案:错
本题解析:暂无解析
	
	
	        37、填空题  滴定管读数应记录到小数点后第()位,用移液管移取25mL溶液记录为(),吸光度读数应记录到小数后第()位。
                    
 
	
	点击查看答案
 本题答案:二、25.00、三
本题解析:试题答案二、25.00、三
	
	
	        38、问答题  离心泵的叶轮按其吸入方式分为哪两种?
                    
 
	
	点击查看答案
 本题答案:(1)单吸式离心泵:液体从一侧进入叶轮。
(
本题解析:试题答案(1)单吸式离心泵:液体从一侧进入叶轮。
(2)双吸式离心泵:液体从两侧进入叶轮。
	
	
	        39、判断题  改变管道性能曲线最好的方法就是调节阀门的开启度。
                    
 
	
	点击查看答案
 本题答案:错
本题解析:暂无解析
	
	
	        40、问答题  什么叫触电?触电对人体有哪些伤害?
                    
 
	
	点击查看答案
 本题答案:当人体触及带电体,电流流过人体到大地或其他导体,形成闭
本题解析:试题答案当人体触及带电体,电流流过人体到大地或其他导体,形成闭合回路,这种情况叫做触电。
触电使人体受到的伤害分为电击和电灼伤两种:
(1)电击,人体相当于一个电阻,当电压施加于人体时便形成电流,人体在电流作用下组织细胞受到破坏,控制心脏和呼吸器官的中枢神经会麻痹,造成休克(假死)或死亡;
(2)电灼伤,电灼伤是指由于电流的热效应、化学效应、机械效应以及电流的作用下,使熔化和蒸发的金属微粒等侵袭人体皮肤,使皮肤局部发红起泡、烧焦或组织破坏,严重时也可以致死。
	
	
	        41、单项选择题  水泵进水口真空表表示的是()。
                    
	A、绝对压强
	B、相对压强
	C、真空度
 
	
	点击查看答案
 本题答案:C
本题解析:暂无解析
	
	
	        42、问答题  后台机复位有什么作用?
                    
 
	
	点击查看答案
 本题答案:复位是使后台机CPU冷复位,中断CPU的一切工作,强迫
本题解析:试题答案复位是使后台机CPU冷复位,中断CPU的一切工作,强迫程序从头开始重新执行。
	
	
	        43、填空题  ()是能量转换的主要零件,它一般由高牌号灰铸铁或铸造青铜制成。
                    
 
	
	点击查看答案
 本题答案:叶轮
本题解析:试题答案叶轮
	
	
	        44、填空题  泵站压水管路,管径小于250mm时,其设计流速一般不得高于()米/秒;管径大于或等于250mm时,设计流速一般不得高于()米/秒。
                    
 
	
	点击查看答案
 本题答案:1.5~2.0、2.0~2.5
本题解析:试题答案1.5~2.0、2.0~2.5
	
	
	        45、问答题  电动机在运行中过热或冒烟都有哪些原因?
                    
 
	
	点击查看答案
 本题答案:(1)电气方面原因;
a、三相电源电压过低或
本题解析:试题答案(1)电气方面原因;
a、三相电源电压过低或过高引起电流增大;
b、电源缺相,电动机单相运行;
c、三相电压不平衡;
d、定子绕组短路、断路或接地。
(2)机械方面原因;
a、负载过重;
b、传动部分不同心;
c、电动机轴弯曲、变形;
d、转子扫膛;
c、端轴承磨损或润滑脂干涸。
(3)外部环境方面原因;
a、周围环境温度过高;
b、电动机通风散热差或风道堵塞。
	
	
	        46、填空题  用纳氏试剂分光光度法检测氨氮时,若取50mL水样测定,则最低检测质量浓度为()。
                    
 
	
	点击查看答案
 本题答案:0.02mg/L
本题解析:试题答案0.02mg/L
	
	
	        47、问答题  离心泵启动后不出水或水量过少的主要原因?
                    
 
	
	点击查看答案
 本题答案:(1)水未灌满,泵壳中存在有空气。
(2)水
本题解析:试题答案(1)水未灌满,泵壳中存在有空气。
(2)水泵转动方向不对。
(3)水泵转速太低。
(4)吸水管及填料处漏气。
(5)吸水扬程过高,发生气蚀,或水泵扬程低于实际需要扬程。
(6)叶轮磨损,或减漏环漏水。
(7)底阀、吸水管或叶轮堵塞与漏水。
(8)闸阀开得太小,止回阀有障碍或堵塞。
(9)吸水管末端淹没水深不足或吸水井水位太低。
(10)水面产生旋涡,空气带入水泵。
(11)水封管堵寨。
	
	
	        48、填空题  照明线路的零线,除规定的情况外,是不允许安装()的。
                    
 
	
	点击查看答案
 本题答案:熔断器
本题解析:试题答案熔断器
	
	
	        49、填空题  当通过人体的工频交流电流超过()毫安或直流超过()毫安时,就会使人感觉麻痹或剧痛,呼吸困难并有生命危险。
                    
 
	
	点击查看答案
 本题答案:20~25、80
本题解析:试题答案20~25、80
	
	
	        50、问答题  变压器并联运行应符合哪些条件?
                    
 
	
	点击查看答案
 本题答案:(1)电压比相等来源:91考试网 91EXAm.org,允许相差±0.5%;<
本题解析:试题答案(1)电压比相等,允许相差±0.5%;
(2)短路电压相等,允许相差±10%;
(3)接线组别相同,相位相同;
(4)变压器容量比不超过3:1。
	
	
	        51、问答题  250QJ-80-60/3型的型号含义是什么?
                    
 
	
	点击查看答案
 本题答案:250-泵适用于最小井筒内径(mm);
QJ
本题解析:试题答案250-泵适用于最小井筒内径(mm);
QJ-井用潜水泵;
80-泵的设计点流量值(m3/h);
60-泵的设计点总扬程值(m);
3-泵的级数(即叶轮个数)。
	
	
	        52、判断题  电阻并联时,总电阻值比其中任何一个电阻都小。
                    
 
	
	点击查看答案
 本题答案:对
本题解析:暂无解析
	
	
	        53、问答题  地下水的水质特点是什么?
                    
 
	
	点击查看答案
 本题答案:地下水清澈,水质稳定,但含盐量、硬度一般比地表水高,大
本题解析:试题答案地下水清澈,水质稳定,但含盐量、硬度一般比地表水高,大多数地下水一般只经过简单处理(消毒或除铁、锰)即可作为生活用水,不易人为污染。
	
	
	        54、问答题  计算机安全包括哪些?
                    
 
	
	点击查看答案
 本题答案:防止病毒感染与传播,预防黑客以及其他非法恶意攻击,保证
本题解析:试题答案防止病毒感染与传播,预防黑客以及其他非法恶意攻击,保证数据保密与安全,保证网络运行正常,防止计算机系统、计算机应用或计算机网络崩溃。
	
	
	        55、判断题  三相异步电动机的计算公式P=UIcosφη即适用于星形接线,也适用于角形接线的电动机。
                    
 
	
	点击查看答案
 本题答案:对
本题解析:暂无解析
	
	
	        56、单项选择题  水泵并联的目的是()。
                    
	A、增加扬程
	B、调节流量
	C、平衡压力
 
	
	点击查看答案
 本题答案:B
本题解析:暂无解析
	
	
	        57、问答题  在液氯钢瓶上洒水是起什么作用?
                    
 
	
	点击查看答案
 本题答案:钢瓶内的液氯,在使用的过程中,因气化挥发需吸收大量的热
本题解析:试题答案钢瓶内的液氯,在使用的过程中,因气化挥发需吸收大量的热,每气化lkg液氯,约吸收2.9x102J可(69ca1)热量,故会使氯气钢瓶外壳周围的温度降低而结露,从而阻碍了液氯的进一步气化。为此,在使用过程中,把水淋洒在氯气的钢瓶上,并不是为了冷却,而是供给液氯气化时所需要的热量。
	
	
	        5来源:91考试网 91ExaM.org8、判断题  泵站按其作用可分为:污水泵站和雨水泵站。
                    
 
	
	点击查看答案
 本题答案:错
本题解析:暂无解析
	
	
	        59、问答题  安全用电常识主要内容是什么?
                    
 
	
	点击查看答案
 本题答案:(1)不要乱拉电线,乱接用电设备,更不要用&ldquo
本题解析:试题答案(1)不要乱拉电线,乱接用电设备,更不要用“一线一地”的方式接灯。
(2)不要在电力线路附近放风筝、打鸟,不准在电线杆及拉线附近挖坑、取土。
(3)要严格按照电气操作程序操作,在操作开关时一定要合上防护外壳,以防电弧或熔丝飞溅伤人。
(4)专业电气人员带电操作时,现场应该有专职监护人员,不要擅自安装电气设备以免造成人身设备事故。
(5)发现电气故障和漏电起火时,要立即关闭电源开关:在未切断电源开关之前,不要用水或酸、碱泡沫灭火器。
(6)对中、高压(3KV以上)线路,当电线断线落地时,在落地点8—9米范围内不允许任何人员进入,发现者应该立即报告有关部门修理。
(7)不要用湿手摸灯口、开关、插座和电气设备。更换灯泡时,要先关闭开关,然后站在干燥的绝缘物上进行。
(8)如果发现有人触电,应赶快切断电源或用木棍、干竹竿等绝缘物将电线挑开,使触电者及时脱离电源。如果触电者昏迷、呼吸停止,应立即施行人工呼吸,并马上送医院进行紧急抢救。
	
	
	        60、判断题  万能表内没有电池也可以测量电压和电流,且不影响其测量准确度。
                    
 
	
	点击查看答案
 本题答案:对
本题解析:暂无解析
	
	
	        61、问答题  卧式单级双吸离心泵有哪些主要部件?
                    
 
	
	点击查看答案
 本题答案:1.叶轮。
2.密封环。
3.泵壳
本题解析:试题答案1.叶轮。
2.密封环。
3.泵壳。
4.泵轴。
5.轴封。
6.轴承体。
7.连轴器。
	
	
	        62、填空题  雷雨天气巡视室外高压设备时应穿(),并不得靠近()和避雷针。
                    
 
	
	点击查看答案
 本题答案:绝缘靴、避雷器
本题解析:试题答案绝缘靴、避雷器
	
	
	        63、单项选择题  纯电阻上消耗的功率与()成正比。
                    
	A、电阻两端的电压
	B、通过电阻的电流
	C、电阻两端电压的平方
	D、通电的时间
 
	
	点击查看答案
 本题答案:C
本题解析:暂无解析
	
	
	        64、单项选择题  单相桥式整流后,输出直流电压Ufz的大小应是整流前电压的()倍。
                    
	A.0.45
	B.0.9
	C.1
	D.1.17
 
	
	点击查看答案
 本题答案:B
本题解析:暂无解析
	
	
	        65、名词解释  真空值
                    
 
	
	点击查看答案
 本题答案:作用在液面上的绝对压强小于大气压强时,在数值上不足于大
本题解析:试题答案作用在液面上的绝对压强小于大气压强时,在数值上不足于大气压强的那一部分差值称真空值,用Pv表示。
	
	
	        66、填空题  叶轮是泵的核心,也是()的核心,泵通过叶轮对液体作功,使其能量增加。
                    
 
	
	点击查看答案
 本题答案:过流部件
本题解析:试题答案过流部件
	
	
	        67、问答题  离心泵的转数改变后,其性能曲线的变化规律如何?
                    
 
	
	点击查看答案
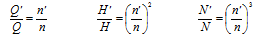
 本题答案:流量与转数成正比,扬程与转数的平方成正比,轴功率与转数
本题解析:试题答案流量与转数成正比,扬程与转数的平方成正比,轴功率与转数的立方成正比。用公式表示为:
	
	
	        68、问答题  离心泵运行管理中注意什么?
                    
 
	
	点击查看答案
 本题答案:运行管理工作最基本的是坚持正确的操作和坚持对水泵机组有
本题解析:试题答案运行管理工作最基本的是坚持正确的操作和坚持对水泵机组有效监视,维护保养和检修。
	
	
	        69、名词解释  过电流保护
                    
 
	
	点击查看答案
 本题答案:在电力系统中,当线路上发生相间短路故障或用电设备发生由
本题解析:试题答案在电力系统中,当线路上发生相间短路故障或用电设备发生由于绝缘破坏而产生的绕组间、匝间短路故障时,其主要特征之一就是绕组中的电流急剧增大,当电流超过某一预定数值(额定值)时,反映电流升高而动作的保护装置叫过电流保护装置,简称电流保护。
	
	
	        70、名词解释  互感电动势
                    
 
	
	点击查看答案
 本题答案:两个互相靠近的线圈,当一个线圈接通电源时,由于本线圈电
本题解析:试题答案两个互相靠近的线圈,当一个线圈接通电源时,由于本线圈电流的变化,将引起磁通的变化,这个变化的磁通除穿过本身线圈外,还有一部分穿过与它靠近的另一线圈,因此在另一线圈中也产生感应电动势。这个感应电动势所产生的电流是变化的,它必然又反过来在原来那个线圈中产生感应电动势。这种现象称互感现象。有互感引起的电动势叫互感电动势。互感现象应用极为广泛,变压器和互感器就是根据这一原理制成的。
	
	
	        71、问答题  泵站管理中,交接班步骤是什么?
                    
 
	
	点击查看答案
 本题答案:(1)交接班人员一起巡视机电设备的运行情况;
本题解析:试题答案(1)交接班人员一起巡视机电设备的运行情况;
(2)查点工具、安全用具、仪表等是否缺损;
(3)将查巡情况由交班人员记人交接班记录中;
(4)凡领导指令,与其他工序或电力部门联系事项,需要接班人知道的,应口头交代清楚,并记入交接班记录中;
(5)双方签名后,即完成交接手续。
	
	
	        72、判断题  相电压就是两条相线之间的电压。
                    
 
	
	点击查看答案
 本题答案:错
本题解析:暂无解析
	
	
	        73、填空题  我国电网电压的频率为()Hz,习惯上称为()。
                    
 
	
	点击查看答案
 本题答案:50、工频电压
本题解析:试题答案50、工频电压
	
	
	        74、判断题  电气事故可分为人身事故和设备事故,而且都可以因此引起二次事故。
                    
 
	
	点击查看答案
 本题答案:对
本题解析:暂无解析
	
	
	        75、问答题  交流接触器工作时,常发出噪声,这是什么原因?
                    
 
	
	点击查看答案
 本题答案:(1)动、静铁芯之问有脏物.造成铁芯吸合不紧;
本题解析:试题答案(1)动、静铁芯之问有脏物.造成铁芯吸合不紧;
(2)电源电压过低,线圈吸力不足;
(3)铁芯磁路的短路环断裂,造成震动极大,以致不能正常工作。
	
	
	        76、填空题  电气设备起火时,应使用()灭火器或1211灭火器灭火,不得使用()灭火器和水灭火。
                    
  91exam .org
	
	点击查看答案
 本题答案:干粉、泡沫
本题解析:试题答案干粉、泡沫
	
	
	        77、单项选择题  B级绝缘的电动机,其定子铁芯最高允许温度为()。
                    
	A、100℃
	B、110℃
	C、120℃
 
	
	点击查看答案
 本题答案:C
本题解析:暂无解析
	
	
	        78、问答题  离心泵的吸水高度为什么达不到10.33米?
                    
 
	
	点击查看答案
 本题答案:如果泵内叶轮中心部位绝对真空,外面的大气压力为一个标准
本题解析:试题答案如果泵内叶轮中心部位绝对真空,外面的大气压力为一个标准大气压,这台离心泵的最大吸程为10.33米,这是个理想的数值。
因为泵内的中心部位压力不可能达到绝对真空,吸水管路中流动的水因为磨擦作用需要消耗一部分能量,所以一般离心泵最大吸上真空高度在6~8米左右。
	
	
	        79、填空题  水泵在运转中,水泵进口处真空表的读数,就是水泵进口处的()高度,它应()水泵的允许吸上真空高度。
                    
 
	
	点击查看答案
 本题答案:实际真空、小于
本题解析:试题答案实际真空、小于
	
	
	        80、问答题  对水泵吸水管路的要求有哪些?
                    
 
	
	点击查看答案
 本题答案:主要有三点:
(1)不漏气。尤其是离心泵不允
本题解析:试题答案主要有三点:
(1)不漏气。尤其是离心泵不允许漏气,否则会使水泵的出水量减少,甚至吸不上水;
(2)不积气。应避免形成气囊,影响过水能力和破坏吸水真空;
(3)不吸气。吸水管进口在最低水位下淹没深度应不小于0.5~1.0米,以防止进口处产生旋涡,吸入空气。
	
	
	        81、单项选择题  离心泵的允许吸上真空高度随着流量的增加而()。
                    
	A、增大
	B、减小
	C、不变
 
	
	点击查看答案
 本题答案:B
本题解析:暂无解析
	
	
	        82、单项选择题  在操作刀闸开关时,动应()。
                    
	A、迅速
	B、缓慢
	C、平稳
 
	
	点击查看答案
 本题答案:A
本题解析:暂无解析
	
	
	        83、判断题  水在摄氏零度时密度最大。
                    
 
	
	点击查看答案
 本题答案:错
本题解析:暂无解析
	
	
	        84、问答题  简述乳化液泵站液压系统的构成。
                    
 
	
	点击查看答案
 本题答案:乳化液泵站的液压系统是由乳化液泵、压力控制装置、管路、
本题解析:试题答案乳化液泵站的液压系统是由乳化液泵、压力控制装置、管路、乳化液箱等按一定的方式组合而成。
	
	
	        85、名词解释  管道阻力(水头损失)
                    
 
	
	点击查看答案
 本题答案:由于流体流动的状态和流动的边界条件不同,在管道内流动的
本题解析:试题答案由于流体流动的状态和流动的边界条件不同,在管道内流动的液体会受到大小不同的摩擦阻力,这种摩擦阻力叫做管道阻力,也叫水头损失或压头损失。
	
	
	        86、判断题  当没有兆欧表时,可以用万能表R10K档测量电气设备的绝缘电阻。
                    
 
	
	点击查看答案
 本题答案:错
本题解析:暂无解析
	
	
	        87、问答题  运行中的断路器检查项目有哪些?
                    
 
	
	点击查看答案
 本题答案:(1)各部位的瓷绝缘有无裂纹、破损,表面脏污程度和有无
本题解析:试题答案(1)各部位的瓷绝缘有无裂纹、破损,表面脏污程度和有无放电闪络现象。
(2)联接线无松动、脱落、发热现象,接地线应完好。
(3)指示灯表示是否正确,操作保险应完好。
(4)分合闸位置指示应正确。
(5)运行中有无其它异常声响和异常气味。
(6)负荷电流是否在额定范围内。
(7)对油断路器应检查各部油面是否适中,油色是否正常,有无渗漏油现象。
	
	
	        88、填空题  在电阻电路中,电流的大小与电阻两端的电压成(),而与电阻的阻值大小成(),这就是部分电路欧姆定律。
                    
 
	
	点击查看答案
 本题答案:正比、反比
本题解析:试题答案正比、反比
	
	
	        89、填空题  选用压力表时,最高压力刻度应为工作压力的()倍左右。
                    
 
	
	点击查看答案
 本题答案:1.5
本题解析:试题答案1.5
	
	
	        90、填空题  水泵在单位时间所做的功称为()。
                    
 
	
	点击查看答案
 本题答案:功率
本题解析:试题答案功率
	
	
	        91、判断题  在固定管路中,通过的流量越大,损失的水头也越大。
                    
 
	
	点击查看答案
 本题答案:对
本题解析:暂无解析
	
	
	        92、填空题  给水处理的任务是通过必要的处理方法以改善()使之符合生活饮用或工业使用所要求的水质。
                    
 
	
	点击查看答案
 本题答案:源水水质
本题解析:试题答案源水水质
	
	
	        93、填空题  高压负荷开关可以接通或断开()电流,但不能开断线路的()电流。
                    
 
	
	点击查看答案
 本题答案:负荷、短路
本题解析:试题答案负荷、短路
	
	
	        94、判断题  电压互感器在运行中二次不允许短路。
                    
 
	
	点击查看答案
 本题答案:对
本题解析:暂无解析
	
	
	        95、问答题  什么是水泵叶轮车削定律?
                    
 
	
	点击查看答案
 本题答案:水泵叶轮外径车削后,其流量、扬程、轴功率与叶轮直径的关
本题解析:试题答案水泵叶轮外径车削后,其流量、扬程、轴功率与叶轮直径的关系称水泵叶轮车削定律。
即:流量与叶轮的直径成正比;
扬程与叶轮直径的平方成正比;
轴功率与叶轮直径的立方成正比。
	
	
	        96、问答题  电动机铭牌上标明的接线方式△/Y、220V/380V是什么意思?
                    
 
	
	点击查看答案
 本题答案:是指定子绕组的接线方式。接线方式不同,绕组所承受的电压
本题解析:试题答案是指定子绕组的接线方式。接线方式不同,绕组所承受的电压也不同。△/Y、220V/380V是指电动机定子绕组接成△形时,应接于220V线电压,接成Y形时,应接于380V线电压。
如果以承受220V电压的△形接到380V的电源上,会引起电流过大而烧毁电动机,反之,将Y形接线接到220V电源上,则绕组电压降低了倍,电动机的转矩也随着电压的降低而大大减小,这时电流必将增大而烧毁电动机,所以,对电动机的接线方式应特别注意。
	
	
	        97、填空题  止回阀只能按()方向开启。
                    
 
	
	点击查看答案
 本题答案:水泵出水
本题解析:试题答案水泵出水
	
	
	        98、名词解释  压强
                    
 
	
	点击查看答案
 本题答案:物体单位面积上所受到的垂直作用力称压强。国际单位:牛顿
本题解析:试题答案物体单位面积上所受到的垂直作用力称压强。国际单位:牛顿/米2(N/m2),用帕(Pa)表示;工程单位以公斤/厘米2(kg/cm2)表示
	
	
	        99、填空题  配电变压器低压侧中性点的接地叫(),其接地电阻一般不超过()。
                    
 
	
	点击查看答案
 本题答案:工作接地、4Ω
本题解析:试题答案工作接地、4Ω
	
	
	        100、问答题  叙述离心泵的工作原理。
                    
 
	
	点击查看答案
 本题答案:离心泵进行输水,主要是叶轮在充满水的蜗壳内高速旋转产生
本题解析:试题答案离心泵进行输水,主要是叶轮在充满水的蜗壳内高速旋转产生离心力,由于离心力的作用,使蜗壳内叶轮中心部位形成真空,吸水池内的水在大气压力的作用下,沿吸水管路,流入叶轮中心部位填补这个真空区域;
流入叶轮的水又在高速旋转中受离心力的作用被甩出叶轮,经蜗形泵壳中的流道而流入水泵的压力出水管路。这样叶轮不停地高速旋转,吸水池中的水源源不断地被大气压入水泵内,水通过水泵获得能量,而被压出水泵进入出水管路,就这样,完成了水泵的连续输水过程。
	
	
	        101、问答题  试述轴流泵性能曲线的特点。
                    
 
	
	点击查看答案
 本题答案:Q-H曲线,即流量扬程曲线,其特点是H与Q成反比,有不
本题解析:试题答案Q-H曲线,即流量扬程曲线,其特点是H与Q成反比,有不稳定区域;
Q-N曲线,即流量-功率曲线,其特点是N与Q成反比,有不稳定区域;
Q-η曲线,即流量-效率曲线,其特点是曲线陡直,最高效率与一般效率相差甚远。
	
	
	        102、单项选择题  在纯电阻电路中,电路的功率因数COSΦ为()。
                    
	A、1
	B、0.9
	C、0.6
	D、0.5
 
	
	点击查看答案
 本题答案:A
本题解析:暂无解析
	
	
	        103、填空题  一个标准大气压相应的水柱高度为()米。
                    
 
	
	点击查看答案
 本题答案:10.33
本题解析:试题答案10.33
	
	
	        104、单项选择题  一般离心泵的轴功率随着流量的增加而()。
                    
	A、增大
	B、减小
	C、不变
 
	
	点击查看答案
 本题答案:A
本题解析:暂无解析
	
	
	        105、判断题  流量的常用单位“米/小时”和“吨/小时”,表示方法不同,但其概念和表示的数值是相同的。
                    
 
	
	点击查看答案
 本题答案:错
本题解析:暂无解析
	
	
	        106、填空题  潜水泵的潜水电动机的()和()表面,均进行防锈处理。
                    
 
	
	点击查看答案
 本题答案:定子、转子
本题解析:试题答案定子、转子
	
	
	        107、填空题  反映离心泵理论扬程与液体在叶轮中运动状态关系的方程式叫()。
                    
 
	
	点击查看答案
 本题答案:离心泵的基本方程式
本题解析:试题答案离心泵的基本方程式
	
	
	         108、名词解释  停泵水锤
                    
 
	
	点击查看答案
 本题答案:所谓停泵水锤是指水泵机组因突然停电或其它原因造成开阀停
本题解析:试题答案所谓停泵水锤是指水泵机组因突然停电或其它原因造成开阀停车时,在水泵及管路中水流速度发生变化而引起的压力突变现象。
	
	
	        109、单项选择题  水泵并联的条件是()。
                    
	A、型号相同
	B、扬程相等
	C、流量相等
 
	
	点击查看答案
 本题答案:B
本题解析:暂无解析
	
	
	        110、问答题  地下水污染的危害性有哪些?
                    
 
	
	点击查看答案
 本题答案:有以下三个方面:
(1)对人体健康的危害:地
本题解析:试题答案有以下三个方面:
(1)对人体健康的危害:地下水中含有有害物质,会使人中毒,含有病毒、病菌、微生物的地下水,吃了会使人发病、死亡。
(2)对工业的危害:工业采用被污染的地下水,不但腐蚀各种机械设备,而且会大大降低产品的质量,影响工业正常生产。
(3)对农业的危害:用被污染的地下水灌溉农出,不仅会降低农用设备的功能,而且将使土壤恶化,改变土壤物理、化学性质而抑制农作物正常生长,甚至直接致死的作用。
	
	
	        111、单项选择题  变电所的直流回路所安装的仪表,一般不应低于()。
                    
	A、0.5级
	B、1.0级
	C、1.5级
 
	
	点击查看答案
 本题答案:C
本题解析:暂无解析
	
	
	        112、问答题  变压器并联运行,为何规定容量比不超过3:1?
                    
 
	
	点击查看答案
 本题答案:这是因为不同容量的变压器短路电压值相差很大,负荷分配极
本题解析:试题答案这是因为不同容量的变压器短路电压值相差很大,负荷分配极不平衡,运行很不经济。同时,在运行方式改变和事故检修时,容量小的变压器将起不到备用作用。
	
	
	        113、名词解释  自感电动势
                    
 
	
	点击查看答案
 本题答案:当线圈中电流大小发生变化时,由这个变化的电流所产生的磁
本题解析:试题答案当线圈中电流大小发生变化时,由这个变化的电流所产生的磁通也将随着变化,这个变化的慈通将在线圈中产生感应电动势,由于这个电动势是由线圈本身的电流变化而产生的,所以叫自感电动势。
	
	
	        114、单项选择题  离心泵的流量与()成正比。
                    
	A、转数
	B、转数的平方
	C、转数的立方
 
	
	点击查看答案
 本题答案:A
本题解析:暂无解析
	
	
	        115、名词解释  水泵的轴功率
                    
 
	
	点击查看答案
 本题答案:又称水泵的输入功率,是原动机传给水泵的功率,单位:kw
本题解析:试题答案又称水泵的输入功率,是原动机传给水泵的功率,单位:kw。
	
	
	        116、单项选择题  如果水泵流量不变,管道截面积减少,则流速()。
                    
	A.增加
	B.减少
	C.不变
	D.无关
 
	
	点击查看答案
 本题答案:A
本题解析:暂无解析
	
	
	        117、判断题  凡是接零保护系统,均应对保护零线作重复接地。
                    
 
	
	点击查看答案
 本题答案:对
本题解析:暂无解析
	
	
	        118、判断题  有轴向流和斜向流叶轮的水泵都称为离心泵。
                    
 
	
	点击查看答案
 本题答案:错
本题解析:暂无解析
	
	
	        119、问答题  什么是变电所的一次主接线?
                    
 
	
	点击查看答案
 本题答案:变电所的一次主接线是汇集和分配电能的通路,它表明用什么
本题解析:试题答案变电所的一次主接线是汇集和分配电能的通路,它表明用什么样的方式来连接电源、变压器和馈出线路,以及避雷器、互感器等设备的安装位置。
	
	
	        120、问答题  污染城市供水水源的污水,根据其形成和产生途径可分为哪几种?
                    
 
	
	点击查看答案
 本题答案:可分为生活污水、城市工业污水和径流污水等三类。
本题解析:试题答案可分为生活污水、城市工业污水和径流污水等三类。
	
	
	        121、填空题  单吸式离心泵由于叶轮缺乏(),工作时叶轮两侧作用的力大小不相等。
                    
 
	
	点击查看答案
 本题答案:对称性
本题解析:试题答案对称性
	
	
	        122、单项选择题  有径向流叶轮的水泵称为()。
                    
	A、离心泵
	B、轴流泵
	C、混流泵
 
	
	点击查看答案
 本题答案:A
本题解析:暂无解析
	
	
	        123、判断题  工业用水水质的主要指标就是浊度。
                    
 
	
	点击查看答案
 本题答案:错
本题解析:暂无解析
	
	
	        124、问答题  单级双吸离心泵由哪些主要部件组成?
                    
 
	
	点击查看答案
 本题答案:(1)叶轮;
(2)密封环;
(3
本题解析:试题答案(1)叶轮;
(2)密封环;
(3)泵壳;
(4)泵轴;
(5)轴承;
(6)封装置;
(7)联轴器等。
	
	
	        125、问答题  什么低压屏用了空气开关,还要串接交流接触器?
                    
 
	
	点击查看答案
 本题答案:空气开关有过流、短路、失压保护作用,但其结构上是着重提
本题解析:试题答案空气开关有过流、短路、失压保护作用,但其结构上是着重提高灭弧性能,不适应于频繁操作,而交流接触器在结构r没有过流、短路、失压保护作用,适用于频繁操作电路。
专门用来承担工作电流的接通与断开。
	
	
	        126、问答题  变压器并联运行为什么要求接线组别必须相同?
                    
 
	
	点击查看答案
 本题答案:如果两台变压器接线组别不一致,变压器的二次电压相位就不
本题解析:试题答案如果两台变压器接线组别不一致,变压器的二次电压相位就不同,至少相差30°,因此会产生很大的电压差。在这个电压差的作用下,将会产生几倍于额定电流的循环电流,这个循环电流会使变压器烧坏。所以接线组别不同的变压器是绝对不允许并联运行的。
	
	
	        127、问答题  中央信号装置包括哪几种信号?
                    
 
	
	点击查看答案
 本题答案:事故信号、预告信号。
本题解析:试题答案事故信号、预告信号。
	
	
	        128、填空题  电动机的起动试验般分为()起动和()起动两种。
                    
 
	
	点击查看答案
 本题答案:直接、降压
本题解析:试题答案直接、降压
	
	
	        129、填空题  装设()是为防止工作地点突然来电时保证人身安全的可靠措施。
                    
 
	
	点击查看答案
 本题答案:接地线
本题解析:试题答案接地线
	
	
	        130、填空题  水泵常用的轴承根据其结构的不同可以分为()轴承和()轴承两大类。
                    
 
	
	点击查看答案
 本题答案:滚动、滑动
本题解析:试题答案滚动、滑动
	
	
	        131、单项选择题  三相变压器采用Y-△接法时,可以()。
                    
	A.使绕组导线截面增大
	B.增大输出功率
	C.增大输入功率
	D.降低线圈绝缘要求
 
	
	点击查看答案
 本题答案:D
本题解析:暂无解析
	
	
	        132、问答题  变电所的直流系统为什么要进行绝缘监视?
                    
 
	
	点击查看答案
 本题答案:变电所的直流装置中发生一极接地并不引起严重的后果,但不
本题解析:试题答案变电所的直流装置中发生一极接地并不引起严重的后果,但不允许在一极接地的情况下长期运行。因为接地极的另一点再发生接地时,可能造成信号装置、继电保护和控制电路误动作,使开关跳闸。为此,必须装设直流系统的绝缘监察装置,以便及时发现直流系统的接地故障。
	
	
	        133、判断题  手提灯可以使用自耦变压器做电源。
                    
 
	
	点击查看答案
 本题答案:错
本题解析:暂无解析
	
	
	        134、填空题  水样中总大肠菌群数的含量表明水被()污染的程度,而且间接表明有肠道致病菌存在的可能性。
                    
 
	
	点击查看答案
 本题答案:粪便
本题解析:试题答案粪便
	
	
	        135、判断题  水泵拆卸前,必须做到二级隔离,挂警告牌。
                    
 
	
	点击查看答案
 本题答案:对
本题解析:暂无解析
	
	
	        136、问答题  二次回路的任务是什么?
                    
 
	
	点击查看答案
 本题答案:二次回路的任务是通过对一次回路的监察、测量来反映一次回
本题解析:试题答案二次回路的任务是通过对一次回路的监察、测量来反映一次回路的工作状态,并控制一次系统。当一次回路发生故障时,继电保护能够将故障部分迅速切除,并发出信号,以保证一次设备安全、可靠、经济、合理地运行。
	
	
	        137、单项选择题  水泵串联的目的是为了()。
                    
	A、增加流量
	B、增加扬程
	C、减小流量
	D、减小扬程
 
	
	点击查看答案
 本题答案:B
本题解析:暂无解析
	
	
	        138、判断题  电动机试运转时,允许其电流值大于额定值。
                    
 
	
	点击查看答案
 本题答案:错
本题解析:暂无解析
	
	
	        139、问答题  水泵一级保养和二级保养周期为多少?
                    
 
	
	点击查看答案
 本题答案:水泵一级保养每天进行,由操作人员承担。
二级
本题解析:试题答案水泵一级保养每天进行,由操作人员承担。
二级保养待水泵运行720小时进行一次(约运行一个月)。
	
	
	        140、问答题  尖端放电的工作原理是什么?
                    
 
	
	点击查看答案
 本题答案:如果把导体放到电场中,由于静电感应的结果,在导体中会出
本题解析:试题答案如果把导体放到电场中,由于静电感应的结果,在导体中会出现感应电荷。感应电荷在导体表面的分布情况决定于导体表面的形状,导体凸出程度愈大的地方,所聚集的电荷就愈多,平坦的地方电荷聚集就少,在导体尖端的地方由于电荷密集,电场很强,在一定的条件下,即可导致击穿而发生“尖端放电”现象。
变电所和高大建筑物所安装的避雷针,就是利用尖端放电原理而设置的。
	
	
	        141、问答题  交直流回路是否可共用一条电缆?
                    
 
	
	点击查看答案
 本题答案:交直流回路都是独立系统。直流回路是绝缘系统,而交流回路
本题解析:试题答案交直流回路都是独立系统。直流回路是绝缘系统,而交流回路是接地系统,若共用一条电缆,两者容易发生短路,发生互相干扰,降低对直流回路的绝缘电阻。所以交直流回路不能共用一条电缆。
	
	
	        142、填空题  酸性高锰酸钾滴定法测定耗氧量时,当滴定溶液呈()色时即为终点。
                    
 
	
	点击查看答案
 本题答案:微红
本题解析:试题答案微红
	
	
	        143、判断题  水泵关闭阀门后停机的目的是为了减少断路器的开断电流。
                    
 
	
	点击查看答案
 本题答案:错
本题解析:暂无解析
	
	
	        144、单项选择题  填料是对旋转的泵轴和固定的泵体之间的间隙起()。
                    
	A.密封作用
	B.固定作用
	C.润滑作用
	D.冷却作用
 
	
	点击查看答案
 本题答案:A
本题解析:暂无解析
	
	
	        145、问答题  什么是苦咸水?
                    
 
	
	点击查看答案
 本题答案:碱度大于硬度的水,并含大量中性盐,PH值大于7。
本题解析:
试题答案碱度大于硬度的水,并含大量中性盐,PH值大于7。
	
	
	        
146、问答题  离心泵叶轮的作用是什么?
                    
 
	
	点击查看答案
 本题答案:叶轮是泵的核心,也是过流部件的核心,泵通过叶轮对液体做
本题解析:试题答案叶轮是泵的核心,也是过流部件的核心,泵通过叶轮对液体做功,使其能量增加。
	
	
	        147、问答题  卧式离心泵的填料室为什么要求有水滴出?如何掌握滴出水量?
                    
 
	
	点击查看答案
 本题答案:是为了提高水泵的容积效率和防止水封进气;减小轴套与填料
本题解析:试题答案是为了提高水泵的容积效率和防止水封进气;减小轴套与填料之间的摩擦损失,避免发生过热而产生抱轴故障,故运行人员巡检中要注意填料室是否时时有水滴出,必要时应调整水封管上节门,保证即有水封,有做到滴水不成流,达到既运行安全又节能之目的。按规程要求,填料室滴水每分钟约30~60滴。
	
	
	        148、判断题  运行中的水泵增开出口阀门时,流量扬程都随之增大。
                    
 
	
	点击查看答案
 本题答案:错
本题解析:暂无解析
	
	
	        149、问答题  简述合流泵站的作用及其形式。
                    
 
	
	点击查看答案
 本题答案:合流泵站又称为截流泵站,其作用是在合流制排水系统中,除
本题解析:试题答案合流泵站又称为截流泵站,其作用是在合流制排水系统中,除接纳泄水区域管渠内的污水外,还要收集、输送沿线城市污水的排水泵站。
	
	
	        150、名词解释  沉淀
                    
 
	
	点击查看答案
 本题答案:是固液分离或液液分离的过程,在重力作用下,依靠悬浮颗粒
本题解析:试题答案是固液分离或液液分离的过程,在重力作用下,依靠悬浮颗粒或液滴与水的密度差进行分离。
	
	
	        151、判断题  管路上安装了水锤消除器,就可以避免水锤现象的发生。
                    
 
	
	点击查看答案
 本题答案:错
本题解析:暂无解析
	
	
	        152、单项选择题  麻花钻在主截面中,测量的基面与前刀面之间的夹角叫()
                    
	A.顶角
	B.螺旋角
	C.前角
	D.后角
 
	
	点击查看答案
 本题答案:C
本题解析:暂无解析
	
	
	        153、填空题  水中总大肠菌群系以100ml水样中所污染的总大肠菌群的[最大可能数()表示。
                    
 
	
	点击查看答案
 本题答案:MPN
本题解析:试题答案MPN
	
	
	        154、问答题  什么叫离心力?
                    
 
	
	点击查看答案
 本题答案:任何一个物体围绕一个中心做圆周运动都会产生离心力(如洗
本题解析:试题答案任何一个物体围绕一个中心做圆周运动都会产生离心力(如洗衣机的脱水筒就是利用离心力的原理工作的)。这个力的大小与旋转速度、旋转半径、物体质量成正比。这个力的方向垂直于旋转轴心线、指向四周。
	
	
	        155、单项选择题  叶轮与泵轴是用平键联接的,平键的()传递扭矩。
                    
	A.一侧面
	B.两侧面
	C.上底面
	D.下底面
 
	
	点击查看答案
 本题答案:B
本题解析:暂无解析
	
	
	        156、问答题  试述加氢部分的开工步骤?
                    
 
	
	点击查看答案
 本题答案:(1)开工前的准备工作。
(2)开工前的准备
本题解析:试题答案(1)开工前的准备工作。
(2)开工前的准备。
(3)氢气气密。
(4)催化剂干燥。
(5)催化剂预硫化。
(6)进原料油,调整操作。
	
	
	        157、填空题  每张倒闸操作票只能填写()个操作任务。
                    
 
	
	点击查看答案
 本题答案:一
本题解析:试题答案一
	
	
	        158、问答题  什么是地表水?
                    
 
	
	点击查看答案
 本题答案:地表水是指存在或运动于地球表面上的江河、湖泊、沼泽、冰
本题解析:试题答案地表水是指存在或运动于地球表面上的江河、湖泊、沼泽、冰川的水。
	
	
	        159、填空题  叶片式水泵根据叶轮出水的水流方向可分为()、轴向流和()三种。
                    
 
	
	点击查看答案
 本题答案:径向流、斜向流
本题解析:试题答案径向流、斜向流
	
	
	        160、填空题  水泵并联工作时,流量()而()不变。
                    
 
	
	点击查看答案
 本题答案:增加、扬程
本题解析:试题答案增加、扬程
	
	
	        161、多项选择题  生活饮用水卫生标准规定了()。
                    
A.生活饮用水水质卫生要求及水源水质卫生要求  
B.集中式供水单位卫生要求及二次供水卫生要求  
C.涉及生活饮用水卫生安全产品卫生要求  
D.水质监测和水质检验方法
 
	
	点击查看答案
 本题答案:A, B, C, D
本题解析:暂无解析
	
	
	        162、判断题  电气设备中,铜铝接头不能直接连接。
                    
 
	
	点击查看答案
 本题答案:对
本题解析:暂无解析
	
	
	        163、问答题  水泵串联工作有哪些特点?
                    
 
	
	点击查看答案
 本题答案:(1)增加总扬程。被输送的水所获得的总扬程是各串联水泵
本题解析:试题答案(1)增加总扬程。被输送的水所获得的总扬程是各串联水泵实际机工作扬程之和;
(2)一台水泵有问题,其它水泵不能工作;
(3)水泵串联工作可以用多级泵代替,所以在工程中很少有水泵串联工作的。
	
	
	        164、问答题  根据不同埋藏条件,地下水可分为哪几种类型?
                    
 
	
	点击查看答案
 本题答案:可分为上层滞水、潜水和层间水三种类型。
本题解析:试题答案可分为上层滞水、潜水和层间水三种类型。
	
	
	        165、问答题  余氯可分为哪几种形态?
                    
 
	
	点击查看答案
 本题答案:余氯可分为下列三种:总余氯、游离性余氯和化合性余氯,其
本题解析:试题答案余氯可分为下列三种:总余氯、游离性余氯和化合性余氯,其中游离性余氯杀菌力及氧化力强。
	
	
	        166、问答题  电动机可逆控制电路为什么要加装连锁保护?
                    
 
	
	点击查看答案
 本题答案:如果正反转回路因误操作而同时合闸时,将造成主回路两相短
本题解析:试题答案如果正反转回路因误操作而同时合闸时,将造成主回来源:91考试网 www.91eXam.org路两相短路事故。因此,需在正反转控制回路中各串接一连锁接点,这样,当正转合闸时,将反转控制回路断开;反转合闸时,将正转控制回路断开,以避免同时合闸的现象发生。
	
	
	        167、单项选择题  交流电流表、电压表指示的数值是()。
 来源:91考试网 91EXAm.org                   
	A、平均值
	B、最大值
	C、有效值
 
	
	点击查看答案
 本题答案:C
本题解析:暂无解析
	
	
	        168、问答题  电动机在运行中如果出现哪些情况之一,应立即切断电源,停机检查?
                    
 
	
	点击查看答案
 本题答案:(1)发生人身事故时;
(2)水泵及其附属设
本题解析:试题答案(1)发生人身事故时;
(2)水泵及其附属设备发生故障或损坏而不能送水时;
(3)电动机冒烟起火;
(4)轴承温度超过许可值;
(5)电流超过额定值或运行中电流猛增时;
(6)振动强烈、发热、转速急剧下降;
(7)同步电动机出现异步运行;
(8)滑环严重灼伤;滑环与电刷产生严重火花及电刷剧烈振动;
(9)励磁机整流子环火;
(10)电动机扫膛。
	
	
	        169、问答题  常用防雷装置有几种?其主要构件是什么?
                    
 
	
	点击查看答案
 本题答案:(1)传统避雷装置:由接闪器、引下线、接地体组成。接闪
本题解析:试题答案(1)传统避雷装置:由接闪器、引下线、接地体组成。接闪器又称“受雷装置”,是接受雷电流的金属导体,常指避雷针、避雷带或避雷网。
(2)避雷器:主要有阀型避雷器、管型避雷器、金属氧化物避雷器等几种。
(3)消雷器:消雷器是近三十年才发展起来的新型防雷装置,目前还在进一步研究、完善、试用阶段。
	
	
	        170、问答题  城市区域性地下水水位下降的原因是什么?
                    
 
	
	点击查看答案
 本题答案:原因是:
(1)过频开采;
(2)
本题解析:试题答案原因是:
(1)过频开采;
(2)补给量减少;
(3)工程施工及矿区疏干排水。
	
	
	        171、判断题  导体在磁场中运动,就会产生感应电动势。
                    
 
	
	点击查看答案
 本题答案:错
本题解析:暂无解析
	
	
	        172、判断题  导体的电阻只与导体的材料有关。
                    
 
	
	点击查看答案
 本题答案:错
本题解析:暂无解析
	
	
	        173、判断题  中性点不接地系统中使用的电气设备,其金属外壳或构架只能做接地保护。
                    
 
	
	点击查看答案
 本题答案:对
本题解析:暂无解析
	
	
	        174、问答题  加氯操作要注意哪些安全事项?
                    
 
	
	点击查看答案
 本题答案:(1)套在氯瓶阀上的安全帽应当旋紧,不可随意去掉,吊运
本题解析:试题答案(1)套在氯瓶阀上的安全帽应当旋紧,不可随意去掉,吊运及上、下车操作都要小心轻放。
(2)在加氯操作前,应先用10%,氨水检查氯瓶是否漏氯,如发现有白色烟雾时,表示有漏氯,要处理好后再运行。
(3)加氯机和氯瓶不要放在阳光下或靠近其他热源附近。
(4)如操作氯瓶的出氯总阀,发现阀芯过紧,难以开启时,不允许用都头敲击,也不能用长扳手硬扳,以免扭断阀颈。
(5)如发现加氯机的氯气管有阻塞,须用钢丝疏通,再用打气筒吹掉杂物,切不可用水冲洗。
(6)开启氯瓶出氯总阀时,应先缓慢开半圈,随即用10%氨水检查有否漏气。
(7)如发现大量漏氯气时,首先,人要居上风侧,并立即组织抢救。抢救人员必须戴好防毒面具,漏氯部位先用竹签塞堵,并将氯瓶移至附近水体中,用大量自来水(或碱水)喷淋,使氯气溶于水中,排入污水管道,以减少对空气的污染。
(8)加氯的过程中,如水射器的压力水突然中断时,应迅速关闭氯瓶的出氯总阀。
(9)使用中的氯瓶应挂上“正在使用”的标牌;氯瓶用完后应挂上“空瓶”标牌;新运来的应挂上“满瓶”标牌,以便识别。,瓶子要求专瓶专用,不可混用。
(10)在加氯间应备有专用工具和防毒面具,供意外时使用。
(11)有条件的单位,应结合岗位责任制,设立专人专职加氯和维修。
	
	
	        175、多项选择题  轴封装置的作用是()。
                    
	A、防止外部空气进入泵内
	B、泵内液体向外泄漏
	C、防止内部空气逸出泵外
	D、支撑泵轴
 
	
	点击查看答案
 本题答案:A, B
本题解析:暂无解析
	
	
	        176、单项选择题  三相电动机当转差率为1时,此电动机为()。
                    
	A、制动状态
	B、同步运行状态
	C、启动状态
 
	
	点击查看答案
 本题答案:C
本题解析:暂无解析
	
	
	        177、问答题  预告信号的作用是什么?
                    
 
	
	点击查看答案
 本题答案:当本所设备和任何回路发生故障或某种不正常情况时,中央信
本题解析:试题答案当本所设备和任何回路发生故障或某种不正常情况时,中央信号装置能发出音响(警铃)信号,通知值班人员,并且光字牌灯亮,使值班人员了解发生不正常工作状态的设备及性质,以便采取适当措施消除这些不正常现象,以免酿成事故。
	
	
	        178、问答题  为什么电容器能隔直流?
                    
 
	
	点击查看答案
 本题答案:虽然电容器在充电时间内,电路中有充电电流流过,但充电的
本题解析:试题答案虽然电容器在充电时间内,电路中有充电电流流过,但充电的时间极为短暂,常在千分之一秒左右,故称暂态电流。当充电电流结束后,电路中便不再有电流通过,所以,我们常在不专门研究暂态过程的情况下,说直流不能通过电容器。即:电容器能隔直流。
	
	
	        179、问答题  发生触电的原因有哪些?
                    
 
	
	点击查看答案
 本题答案:(1)违反各种规章制度及安全操作规程。
(2
本题解析:试题答案(1)违反各种规章制度及安全操作规程。
(2)电气设备安装不合格,带电体的对地距离不够。
(3)人体触及到因绝缘损坏而外壳带电的设备和与之相连接的金属构架。
(4)不懂电气知识的人到处乱接电线、乱装电气设备。
	
	
	        180、问答题  什么现象叫汽蚀?
                    
 
	
	点击查看答案
 本题答案:水泵把低处的水吸上来,就必须使水泵叶轮进口处形成真空(
本题解析:试题答案水泵把低处的水吸上来,就必须使水泵叶轮进口处形成真空(即该处的绝对压力小于大气压力),这就为水的汽化创造了条件。在一定温度下,当叶轮进口处的压力低到一定程度时,进入水泵的水就开始汽化,产生大量汽泡。这些汽泡和少量溶解于水中的气体,随水一起进入叶轮中。水在水泵叶轮流道中流动时,压力是变化的。所以,当水流把汽泡从低压区带到高压区时,在高压作用下汽泡又重新凝结成水而消失。在汽泡消失时,周围的水就以很高的速度向汽泡破裂的地方冲击,像无数颗小弹头一样连续打击在金属表面上。叶轮壁面在高速水流连续打击下,久而久之就出现蜂窝状的凹洞,这种现象就叫汽蚀。
	
	
	        181、问答题  什么是水资源?
                    
 
	
	点击查看答案
 本题答案:水资源是指有使用价值、有长期补给保证的水体。
本题解析:试题答案水资源是指有使用价值、有长期补给保证的水体。
	
	
	        182、问答题  离心泵启动前应作哪些检查?
                    
 
	
	点击查看答案
 本题答案:(1)盘车检查,检查联轴器转动是否灵活;
(
本题解析:试题答案(1)盘车检查,检查联轴器转动是否灵活;
(2)检查轴承中润滑脂或润滑油是否清洁、适量,油位是否符合标志线,填料函水封冷却阀是否打开,压盖松紧是否适宜;
(3)检查吸水井水位及吸水管上各阀门是否处于正常状态;
(4)检查电流表、电压表、真空表、压力表是否正常;
(5)外部条件检查,对新安装的水泵、长期停用的水泵,还要检查电机和泵转向是否一致,各螺栓连接处是否完好。通过以上检查,确信都属正常,方可启动水泵。
	
	
	        183、问答题  什么叫二次回路?
                    
 
	
	点击查看答案
 本题答案:将承担一次回路的操作、控制、测量、信号、保护等任务工作
本题解析:试题答案将承担一次回路的操作、控制、测量、信号、保护等任务工作的设备、元件,用导线或控制电缆按一定要求连接在一起的回路称为二次回路。
	
	
	        184、问答题  泵站值班人员要做好“四不漏”和“四净”的内容是什么?
                    
 
	
	点击查看答案
 本题答案:“四不漏”是:不漏油、不漏水、
本题解析:试题答案“四不漏”是:不漏油、不漏水、不漏气、不漏电。
“四净”是:油、水、机泵、电气设备干净。
	
	
	        185、填空题  水泵按其工作原理可分为()、容积式和()三大类。
                    
 
	
	点击查看答案
 本题答案:叶片式、其它类型
本题解析:试题答案叶片式、其它类型
	
	
	        186、问答题  泵房中的剩水是从哪里来的?
                    
 
	
	点击查看答案
 本题答案:泵房中的剩水主要是水泵运行时轴承油箱的冷却水;填料和压
本题解析:试题答案泵房中的剩水主要是水泵运行时轴承油箱的冷却水;填料和压水管路上闸阀的漏水;停泵检修时排空放水以及冲洗地板等排水。
	
	
	        187、填空题  ()是水厂常规净化中于沉淀或澄清池之后的工艺过程,是去除悬浮物质的最后一道工序。
                    
 
	
	点击查看答案
 本题答案:过滤
本题解析:试题答案过滤
	
	
	        188、问答题  什么叫余氯?
                    
 
	
	点击查看答案
 本题答案:水中投氯,经一定时间接触后,在水中余留的游离性氯和结合
本题解析:试题答案水中投氯,经一定时间接触后,在水中余留的游离性氯和结合性氯的总和。
	
	
	        189、判断题  自动空气开关的瞬时脱扣,在线路上是过载保护。
                    
 
	
	点击查看答案
 本题答案:错
本题解析:暂无解析
	
	
	        190、单项选择题  操作术语规定隔离开关的操作统称()。
                    
	A、停电、送电
	B、合、切
	C、合上、拉开
 
	
	点击查看答案
 本题答案:C
本题解析:暂无解析
	
	
	        191、问答题  离心泵启动后不出水或水量过少故障排除措施有哪些?
                    
 
	
	点击查看答案
 本题答案:(1)将泵内空气抽尽,或向泵内灌水。
(2)
本题解析:试题答案(1)将泵内空气抽尽,或向泵内灌水。
(2)改变电动机三相进线接线。
(3)检查水泵或更换电机。
(4)压紧填料,修补吸水管。
(5)更换扬程适用的水泵。
(6)更换磨损严重的叶轮。
(7)清除堵塞杂物。
(8)检查闸阀和止回阀是否正常,排除故障。
(9)清除水封管堵塞物。
(10)根据水位重新安装或更换水泵。
(11)分析产生旋涡原因,并采取相应措施。
	
	
	        192、问答题  什么是水污染?
                    
 
	
	点击查看答案
 本题答案:水污染是指水体因某种物质的介入,而导致其物理、化学、生
本题解析:试题答案水污染是指水体因某种物质的介入,而导致其物理、化学、生物或放射件等方面的改变,从而影响水的有效利用,危害人体健康或破坏生态环境,造成水质恶化的现象。
	
	
	        193、填空题  离心泵的过流部件有()、()和压出室。
                    
 
	
	点击查看答案
 本题答案:吸入室、叶轮
本题解析:试题答案吸入室、叶轮
	
	
	        194、填空题  改变离心泵本身的()常用改变泵的转速或切削叶轮外径的方法。
                    
 
	
	点击查看答案
 本题答案:性能曲线
本题解析:试题答案性能曲线
	
	
	        195、问答题  常用加氯装置有哪些主要类型?
                    
 
	
	点击查看答案
 本题答案:有转子加氯机、真空加氯机、水力引射加氯机等。
本题解析:试题答案有转子加氯机、真空加氯机、水力引射加氯机等。
	
	
	        196、问答题  泵站设备“二级保养”的主要内容和要求有哪些?
                    
 
	
	点击查看答案
 本题答案:(1)根据设备的特点和状况,以泵机运转小时为主要参考依
本题解析:试题答案(1)根据设备的特点和状况,以泵机运转小时为主要参考依据,对泵站的动力设备和配电设备进行的保养。如汛后的少油量断路器调换脏油及动、静触头的检查;隔弧板的检查;空气开关的整体分解保养等等。
(2)泵站的“二级保养”应由班组长、中级技术等级以上的工人负责,并做到全员参加。
(3)泵站的“二级保养”应制定设备修理计划,该计划应包括:保养设备名称,实施保养人员,保养要求,保养实施日期,安全措施等内容。高压装置内所有设备的保养、清扫均应填写倒闸操作票,得到允许后方可进行工作。
	
	
	        197、问答题  SCADA系统是由什么组成的?
                    
 
	
	点击查看答案
 本题答案:SCADA系统又称计算机监控管理系统,它由调度中心和若
本题解析:试题答案SCADA系统又称计算机监控管理系统,它由调度中心和若干个现场执行单元组成,调度中心负责管理和协调整个系统的运行;现场执行单元控制工业现场设备的运行,监测设备的运行状况;收集和存贮各种数据;执行调度中心的各项命令。
	
	
	        198、问答题  汽蚀现象对水泵有什么危害?
                    
 
	
	点击查看答案
 本题答案:水泵在运行中,有时产生噪音,振动,并伴有流量、扬程、效
本题解析:试题答案水泵在运行中,有时产生噪音,振动,并伴有流量、扬程、效率的降低,有时甚至不能正常工作。工作检修时,常常可以发现水泵叶片入口边靠近前盖板处及叶片入口边附近有麻点或蜂窝状破坏,严重时整个叶片和前后盖板都有这种现象,甚至产生穿透,这是由于汽蚀现象所引起的破坏。
	
	
	        199、多项选择题  ()可带负荷分合。
                    
	A.负荷开关
	B.隔离开关
	C.真空断路器
	D.SF6断路器
 
	
	点击查看答案
 本题答案:A, C, D
本题解析:暂无解析
	
	
	        200、单项选择题  不需要引水设备的是()泵房。
                    
	A.污水
	B.自灌式
	C.水泵
	D.风机
 
	
	点击查看答案
 本题答案:B
本题解析:暂无解析
	
	
	        
		  
      
      题库试看结束后
微信扫下方二维码即可打包下载完整版《★泵站操作工考试》题库
手机用户可保存上方二维码到手机中,在微信扫一扫中右上角选择“从相册选取二维码”即可。
题库试看结束后微信扫下方二维码即可打包下载完整版《泵站操作工考试:泵站操作工考试》题库,分栏、分答案解析排版、小字体方便打印背记!经广大会员朋友实战检验,此方法考试通过率大大提高!绝对是您考试过关的不二利器!
手机用户可保存上方二维码到手机中,在微信扫一扫中右上角选择“从相册选取二维码”即可。
  微信搜索关注"91考试网"公众号,领30元,获取公务员事业编教师考试资料40G