时间:2017-12-11 06:36:04


1、单项选择题
如果
,根据傅氏变换的()性质,则有
。
A.时移
B.频移
C.相似
D.对称
2、问答题 简要说明如何求解测试装置动态特性的数学描述的3个函数,它们之间有何内在关系?
3、填空题 测试系统的线性度和滞后度是由()误差引起的;而重复性误差是由()误差引起的。
4、填空题 余弦函数只有()谱图,正弦函数只有()谱图。
5、填空题 确定性信号可分为周期信号和非周期信号两类,前者频谱特点是()的,后者频谱特点是()的。
6、填空题 信号分析的过程主要包括:()、()。
7、填空题 光线示波器的使用频率范围是(),磁带记录仪的使用频率范围是(),X—Y函数记录仪的使用频率范围()。
8、填空题
试装置在稳态下,其输出信号的变化量
与其输入信号的变化量
之比值,称为(),如果它们之间的量纲一致,则又可称为()。
9、填空题 振动子电路电阻匹配的目的,从测量电路来看是希望(),从振动子本身角度来看是为了()。
10、单项选择题 对连续信号进行采样时,采样频率越高,当保持信号的记录的时间不变时,则()。
A.泄漏误差就越大
B.量化误差就越小
C.采样点数就越多
D.频域上的分辨率就越低
11、填空题 传感器按信号变换特性可分为()、()。
12、判断题 传递函数不仅反映了系统的稳态过程,还反映了系统响应的过渡过程。(T)
13、单项选择题
两个函数
,把运算式
称为这两个函数的()。
A.自相关函数
B.互相关函数
C.卷积
14、填空题 高输入阻抗测量放大电路具有高的共模抑制比,即对共模信号有抑制作用,对()信号有放大作用。
15、问答题 重复性误差和迟滞误差有何区别?
16、填空题 已知输入信号x(t)=30cos(30t+30°),这时一阶装置的A(ω)=0.87,=-21.7°,则该装置的稳态输出表达式是:y(t)=()。
17、单项选择题 测试装置的脉冲响应函数与它的频率响应函数间的关系是()。
A、卷积
B、傅氏变换对
C、拉氏变换对
D、微分
18、填空题 相关分析在工业中的主要应用有()、()和()等应用。
19、问答题 试说明二阶测试系统的阻尼度大多采用的原因。
20、单项选择题 两个不同频率的简谐信号,其互相关函数为()。
A.周期信号
B.常数
C.零
21、单项选择题
如果一信号的自相关函数
呈现一定周期的不衰减,则说明该信号()。
A.均值不为0
B.含有周期分量
C.是各态历经的
22、单项选择题 为了使油阻尼的振子不受温度影响,应采用的方法是()。
A.冷却恒温
B.加热恒温
C.冷却
D.加热
23、单项选择题 重复频率为1000Hz的方波,经过一截止频率为2000Hz的理想低通滤波器后的输出量为()。
A.1000Hz的失真的方波
B.1000Hz的正弦波
C.2000Hz的正弦波
D.不知是什么波形
24、填空题 在相关分析中,自相关函数Rx(t),保留了原信号x(t)的()信息,丢失了()信息,互相关函数Rxy(t)则保留了()信息。
25、填空题 磁带记录仪一般由()、()和()组成。光线示波器由()、()、()和()。
26、填空题
信号
,输入τ=0.5的一阶装置,则该装置的稳态输出幅值A=(),相位滞后φ=()。
27、单项选择题 变极距型电容传感器的输出与输入,成()关系。
A、非线性
B、线性
C、反比
D、平方
28、填空题 压控振荡器的输出电压是方波信号,其()与输入的控制电压成线性关系。
29、填空题 信号可分为()和()两大类。
30、填空题 测试系统的静态特性指标有()、()、()。
31、问答题 简述信号不失真条件。
32、判断题 用二阶系统作测量装置时,影响幅值测量误差大小的参数有灵敏度。()
33、填空题
周期方波的傅氏级数:
周期三角波的傅氏级数:
,它们的直流分量分别是()和()。信号的收敛速度上,方波信号比三角波信号()。达到同样的测试精度要求时,方波信号比三角波信号对测试装置的要求有更宽的()。
34、问答题 用一个时间常数为0、35s的一阶测试系统,测量周期分别为5s、1s、2s的正弦信号,求测量的幅值误差各是多少?
35、判断题 前置放大器在电路中起到了放大传感器微弱信号和将传感器的低阻抗输出变换为高阻抗输出的作用。()
36、填空题 同频率的正弦信号和余弦信号,其互相关函数Rxy(t)=()。
37、问答题 以二阶系统为例,简述求解具体系统频谱特性的一般步骤,并简要说出二阶系统的特性。
38、填空题 测试装置输出波形无失真但有时间延迟的不失真测试条件是:装置的幅频特性为(),相频特性为φ()。
39、填空题 信号可分为确定性信号和(),也可分为模拟信号和()。
40、判断题 周期信号频谱具有发散性、谐波性、离散性。()
41、填空题 频率不同的两个正弦信号,其互相关函数Rxy(t)=()。
42、单项选择题 调制可以看成是调制信号与载波信号()。
A.相乘
B.相加
C.相减
D.相除
43、单项选择题 不能用确定函数关系描述的信号是()。
A.复杂的周期信号
B.瞬变信号
C.随机信号
44、单项选择题 幅值调制装置实质是一个()
A、低通滤波器
B、高通滤波器
C、乘法器
D、振荡器
45、填空题 测试装置的输出信号拉氏变换与输入信号拉氏变换之比称为装置的()。
46、填空题 当τ=0时,信号的自相关函数值为(),它也等于信号x(t)的()。
47、单项选择题 不失真测试条件中,要求幅频特性为常数,而相频特性为()。
A.线形
B.常数
C.是频率的函数
48、填空题 建立滤波器正确工作状态所需的上升时间**与滤波器的()成正比,它们的乘积取值在()为好。
49、填空题 余弦函数只有()谱图,正弦函数只有虚频谱图。
50、填空题 当()时,可变磁阻式电感传感器的输出和输入成近似线性关系,其灵敏度S趋于()。
51、问答题
计算题:用电阻应变片及双臂电桥悬臂梁的应变ε。其贴片及组桥方法如图所示。已知图中
,上下贴片位置对称,应变片的灵敏度系数K=2。应变值ε=10*10-3,电桥供桥电压Ui=3V。试分别求出如图组成桥路时的输出电压U0=?

52、填空题 调幅波经过相敏检波后,既能恢复信号电压的(),又能反映其()。
53、填空题 采样定理的表达式是(),其目的是为了避免信号在频域内发生混叠现象。混叠发生在()频率处。
54、填空题 周期信号的频谱是离散的,而非周期信号的频谱是()的。
55、填空题 某位移传感器测量的最小位移为0.01mm,最大位移为1mm,其动态线形范围是()dB。
56、填空题 调幅信号由载波的幅值携带信号的信息,而调频信号则由载波的()携带信号的信息。
57、单项选择题 时域信号的时间尺度压缩时,则其频带的变化为()。
A、频带变窄、幅值增高
B、频带变宽、幅值压低
C、频带变窄、幅值压低
D、频带变宽、幅值增高
58、单项选择题
下列微分方程中()是线形系统的数学模型。

A、A
B、B
C、C
59、填空题 发电式传感器有()、()等,而参量式的传感器主要是()、()和()等。
60、填空题 满足测试装置不失真测试的频域条件是()和()。
61、问答题 金属电阻丝应变片与半导体应变片在工作原理上有何区别?各有何特点?
62、填空题 对周期信号进行()截断,这是获得准确频谱的先决条件。
63、问答题 选用传感器的基本原则是什么?
64、填空题 如信号的自相关函数为Acosωτ,则其均方值Ψx2=()。
65、单项选择题 信号x(t)和y(t)的互谱Rxy(f)是()。
A.x(t)与y(t)的卷积的傅氏变换
B.x(t)和y(t)的傅氏变换的乘积
C.x(t)•y(t)的傅氏变换
D.互相关函数Rxy(t)的傅氏变换
66、单项选择题 用常系数微分方程描述的系统称为()系统。
A.相似
B.物理
C.力学
D.线形
67、填空题 线形系统中的两个最重要的特性是指()和()。
68、填空题 根据滤波器的选频作用分,滤波器可分为()()()()。
69、问答题 计算题:试计算一阶低通RC滤波器的频率特性函数,并推导出滤波器的截止频率。
70、填空题 测试技术是测量和实验技术的统称。工程测量可分为()和()。
71、单项选择题 正弦信号的自相关函数是(),余弦函数的自相关函数是()。
A.同频余弦信号
B.脉冲信号
C.偶函数
D.正弦信号
72、填空题
已知某信号的自相关函数Rx(t)=
,则该信号的均方值Ψ2x =()。
73、填空题 动劝磁电式振动传感器,输出感应电势e与线圈运动的()成正比,如在测量电路中接入()电路和()电路时,则可用来测量振动的位移和加速度。
74、单项选择题 石英晶体沿机械轴受到正应力时,则会在垂直于()的表面上产生电荷量。
A.机械轴
B.电轴
C.光轴
75、判断题 霍尔式传感器是目前国内外应用最广的一种磁敏传感器之一,其工作原理为霍尔效应。()
76、单项选择题 用二阶系统作测量装置时,为获得较宽的工作频率范围,则系统的阻尼比应()
A、愈大愈好
B、愈小愈好
C、接近1/2
D、接近1/√2
77、问答题 什么是不失真测试,不失真测试的条件是什么?
78、判断题 选择好的窗函数对信号进行截断,可以减少能量泄漏。()
79、填空题 传感器按结构可分为()、()等。
80、单项选择题 自相关函数一定是()函数。
A、奇
B、偶
C、周期
D、非周期
81、问答题 什么是调制和解调?为什么要调制?
82、单项选择题 线形装置的灵敏度是()。
A.随机变量
B.常数
C.时间的线形函数
83、单项选择题 一般来说,测试系统的灵敏度越高,其测量范围()。
A.越宽
B.越窄
C.不变
84、填空题
周期信号可按三角函数分解成下列形式:

85、问答题 有人在使用电阻应变仪时,发现灵敏度不够,于是试图在工作电桥上增加电阻应变片数以提高灵敏度。试问,在下列情况下,是否可提高灵敏度?说明为什么?
86、填空题 滤波器的()和()要求是相互矛盾的。
87、单项选择题 测试装置的频响函数H(jω)是装置动态特性在()中的描述。
A.幅值域
B.时域
C.频率域
D.复数域
88、问答题
计算题:对称方波的波形图如图所示。求傅里叶级数的三角形式展开,并画出频谱。
89、单项选择题 在测量位移的传感器中,符合非接触测量,而且不受油污等介质影响的是()
A、电容式
B、压电式
C、电阻式
D、电涡流式
90、填空题 金属应变片是根据()原理工作的。
91、填空题 光线示波器记录f=500Hz的方波信号时,考虑到五次谐波成分,记录误差不大于5℅时,则应选用振动子的固有频率为()的振动子。
92、单项选择题
下列信号中,()信号的频谱是连续的。

A、A
B、B
C、C
93、单项选择题
信号
,则该信号是().
A.周期信号
B.随机信号
C.瞬变信号
94、单项选择题 为使电缆的长度不影响压电式传感器的灵敏度,应选用()放大器。
A、电压
B、电荷
C、微分
D、积分
95、单项选择题 不能用确定的数学公式表达的信号是()信号。
A、复杂周期
B、瞬态
C、非周期
D、随机
96、填空题 在数据采集系统中,常采用()放大器。
97、单项选择题
已知
为单位脉冲函数,则积分
的函数值为()。
A.6
B.0
C.12
D.任意值
98、填空题& nbsp;
两个时域函数
、的卷积定义为()。
99、填空题 调频波的解调电路称为()。
100、填空题 一个理想的测试装置应具有单站值的、确定的()。
101、单项选择题 为提高电桥的灵敏度,可采取的方法是()
A.半桥双臂各串联一片电阻应变片
B.半桥双臂各并联一片电阻应变片
C.适当提高电桥的电源电压
D.增大应变片的初始电阻值
102、判断题 周期信号的频谱是由无限多条离散谱线组成,每一条谱线代表一个谐波分量。()
103、多项选择题 两个正弦信号间存在下列关系:同频()相关,不同频()相关。
A.一定
B.不一定
C.一定不
104、单项选择题 知信号的自相关函数为,则该信号的均方根值为()。
A.9
B.3
C.
D.6
105、填空题 动态应变仪上同时设有电阻和电容平衡旋钮,原因是导线间存在()。
106、单项选择题 在选用振子时,除 了使阻尼比接近0.7外,应使被测正弦信号的最高频率fm()振动子的固有频率fn
A、等于
B、>2倍
C、≤(0.5-0.6)
D、<0.1倍
107、填空题 一个时间常数τ=5s的温度计,插入一个以15℃/min速度线形降温的烘箱内,经半分钟后取出,温度计指示值为90℃,这时,烘箱内的实际温度应为()。
108、填空题 具有()的材料称为压电材料,常用的压电材料有()和()。
109、填空题 能用确切数学式表达的信号称为()信号,不能用确切数学式表达的信号称为信号。
110、多项选择题 经测得某信号的相关函数为一余弦曲线,则其()是正弦信号的()。
A.可能
B.不可能
C.必定
D.自相关函数
111、填空题 滤波器的通频带宽和响应时间成()关系。
112、单项选择题
时间常数为τ的一阶装置,输入频率为
的正弦信号,则其输出与输入间的相位差是()。
A.-45°
B-90°
C-180°
113、问答题 简述压电效应现象;石英晶体所产生的横向和纵向压电效应产生的电荷聚集在哪里?其大小分别如何计算?
114、单项选择题 在电桥测量电路中,由于电桥接法不同,输出的电压灵敏度也不同,()接法可以获得最大的输出。
A、单臂电桥
B、差动半桥
C、补偿电桥
D、全桥
115、单项选择题 描述周期信号的数学工具是()。
A.相关函数
B.拉氏变换
C.傅氏变换
D.傅氏级数
116、单项选择题 电涡流式传感器是利用()材料的电涡流效应工作的。
A.金属导电
B.半导体
C.非金属
D.PVF2
117、单项选择题 理想滤波器在通带内的幅频特性为()
A、常数
B、零
C、零或常数
D、无法确定
118、填空题 测试系统通常由(),()及()所组成。
119、单项选择题 二阶装置引入合适阻尼的目的是()。
A、使系统不发生共振
B、使得读数稳定
C、获得较好的幅频、相频特性
120、判断题 任意函数和δ函数的卷积,就是将该函数在自己的横轴上平移到δ函数所对应的位置。()
121、单项选择题 当τ→∞时,信号x(t)的自相关函数Rx(τ)呈周期性变化,说明该信号()。
A、为周期信号
B、含有周期成份
C、为离散信号
D、为非周期信号
122、判断题 变面积型电容传感器的灵敏度不为常数。()
123、单项选择题
下列函数表达式中,()是周期信号。

A、A
B、B
C、C
124、填空题 自相关函数能将淹没在噪声中的()信号提取出来,其()保持不变,而丢失了()信息。
125、判断题 在直流电桥中,只要满足任意两相邻桥臂的阻值之乘积等于另外两相邻桥臂阻值的乘积,则电桥一定处于平衡。()
126、单项选择题 非线形度是表示定度曲线()的程度。
A.接近真值
B.偏离其拟合直线
C.正反行程的不重合
127、填空题 带通滤波器的中心频率F=500HZ,负3分贝点的带宽B=10HZ,则该滤波器的品质因数Q=()。
128、填空题 δ函数的频谱是()谱。
129、问答题 什么是测试?简述测试技术的含义。
130、单项选择题 把连续时间信号进行离散化时产生混叠的主要原因是()。
A.记录时间太长
B.采样间隔太宽
C.记录时间太短
D.采样间隔太窄
131、单项选择题 线形系统的叠加原理表明()。
A.加于线形系统的各个输入量所产生的响应过程互不影响
B.系统的输出响应频率等于输入激励的频率
C.一定倍数的原信号作用于系统所产生的响应,等于原信号的响应乘以该倍数
132、填空题 非周期信号可分为瞬变非周期信号和()信号。
133、问答题 有人在使用电阻应变片时,发现灵敏度不够,于是试图在工作电桥上增加电阻应变片数以提高灵敏度。试问,在半桥上各串联一片的情况下,是否可以提高灵敏度?为什么?
134、单项选择题
对某二阶系统输入周期信号
,则其输出信号将保持()。
A.幅值不变,频率、相位改变
B.相位不变,幅值、频率改变
C.频率不变,幅值、相位改变
135、填空题 电容式传感器有()、()和()3种类型,其中()型的灵敏度最高。
136、填空题 周期信号的频谱是()的,而非周期信号的频谱是连续的。
137、单项选择题 下列传感器中()是基于压阻效应的。
A.金属应变片
B.半导体应变片
C.压敏电阻
138、单项选择题 光线示波器高频振子的阻尼率达到0.7的方法是()。
A.充入硅油
B.保证要求的外电阻
C.串联合适的电阻
D.并联合适的电阻
139、填空题 信号当时间尺度在压缩时,则其频带()其幅值()。例如将磁带记录仪()即是例证。
140、单项选择题 电阻应变仪常用交流供桥的原因是()。
A.为了提高电桥的灵敏度
B.为了使放大器设计简单及提高抗电源干扰能力
C.可以使用相敏检波电路
141、单项选择题 石英晶体的压电系数比压电陶瓷的()。
A.大得多
B.相接近
C.小得多
142、填空题 确定性信号可分为()和()两类,前者的频谱特点是()。后者的频谱特点是()。
143、填空题 为了提高便极距型电容传感器的灵敏度,线形度及减小外部条件对测量精度的影响,实际应用时常常采用()作方式
144、单项选择题 压电式加速度传感器的工作频率应该()其固有频率。
A.远高于
B.等于
C.远低于
145、填空题 连续信号X(t)与δ(t-t0)进行卷积其结果是:X(t)*δ(t-t0)=X(t-t0)。其几何意义是()
146、多项选择题 后张有粘结预应力混凝土结构中,预应力筋的孔道应满足如下要求()。
A.足够的强度
B.足够的刚度
C.壁厚要求
D.不允许漏浆
E.能按要求传递粘结力
147、问答题 计算题:求周期信号x(t)=cos10t+sin(100t-45°)通过时间常数为0.005s的一阶系统的输出信号。
148、单项选择题 为了记录变量X与Y之间的关系,应选用()。
A.检流计式
B.光线示波器
C.磁带机
D.X—Y函数记录仪
149、单项选择题
二阶装置,用相频特性中
时所对应的频率作为系统的固有频率的估计值,该值与系统阻尼率的大小()。
A、有关
B、无关
C、略有关系
D、有很大关系
150、多项选择题 倍频程滤波器是一种()滤波器,跟踪滤波器是一种()滤波器。
A.高通
B.低通
C.恒带宽
D.恒带宽比
151、问答题 试叙述信号的采样和截断的过程是怎样实现的,结果如何?
152、填空题 调频波的解调又称(),其解调电路称为()。
153、单项选择题 正弦信号的自相关函数,使原有的相位信息()
A、不变
B、丢失
C、移相
D、一定变为90°
154、多项选择题 高频反射式涡流传感器是基于()和()的效应来实现信号的感受和变化的。
A.涡电流
B.纵向
C.横向
D.集肤
155、单项选择题 滤波器的带宽B和建立时间Te的乘积是()。
A.常数
B.信号频率的函数
C.随机变量
156、判断题 测试工作的任务主要是要从复杂的信号中提取有用信息。()
157、填空题 测试装置的静态特性指标有()、()和()。
158、填空题 带通滤波器可由低通滤波器(fc2)和高通滤波器(fc1)()而成(fc2>fc1)。
159、填空题 根据载波受调制的参数的不同,调制可分为()、()、()。
160、填空题 单位脉冲函数的频谱为(),它在所有频段上都是(),这种信号又称()。
161、填空题 压电传感器中的压电片并联时可提高()灵敏度,后接()放大器。而串联时可提高()灵敏度,应后接()放大器。
162、单项选择题 对二阶系统输入信号x(t)=A1sinw1t+A2sinw2t,则系统稳态输出方程的通式为()
A、A1sin(w1t+φ1)+A2sin(w2t+φ2)
B、A1A2sinw1tsinw2t
C、A1'sinw1t+A2'sinw2t
D、A1'sin(w1t+φ'1)+A2'sin(w2t+φ2')
163、填空题 描述测试装置动态特性的数学模型有()、()、()等。
164、单项选择题 自动平衡式记录仪适宜与记录的频程范围()
A.0~2.5
B.2.5~30
C.0~100
165、问答题 何谓压电效应?压电式传感器对测量电路有何特殊要求?为什么?
166、问答题 计算题:二阶系统的阻尼比ξ=0.2,求ω=ωn时的幅值误差和相位误差,如果使幅值误差不大于20%,应取多大阻尼比?
167、单项选择题 数字信号的特征是()。
A、时间上离散、幅值上连续
B、时间、幅值上均离散
C、时间、幅值上都连续
D、时间上连续、幅值上量化
168、填空题 在同频检测技术中,两信号的频率的相关关系可用()、()来进行概括。
169、问答题
计算题:求如图所示三角脉冲信号的频谱。
170、单项选择题 一个相邻双臂工作的测力电桥,如果将两工作臂的一个应变片均改为两个应变片串联,则电桥的输出电压()
A、加大一倍
B、减小一倍
C、不变
D、加大两倍
171、单项选择题 压电式振动传感器输出电压信号与输入振动的()成正比。
A.位移
B.速度
C.加速度
172、填空题 频率混叠是由于()引起的,泄漏则是由于()引起的。
173、单项选择题 压电式传感器的转换原理是利用晶体材料的()
A、电阻应变效应
B、压电效应
C、电磁感应
D、霍尔效应
174、填空题 系统动态特性在时域可用()来描述,在复数域可用()来描述,在频域可用()来描述。
175、填空题 信号的有效值又称为(),有效值的平方称为(),它描述测试信号的强度(信号的平均功率)
176、判断题 当τ=0时,自相关函数值最小值。()
177、单项选择题 多种信号之和的频谱是()。
A、离散的
B、连续的
C、随机的
D、周期的
178、填空题
计算积分值:
=()
179、问答题 现有电阻R1和R2,电感L和电容C,连结成四臂交流电桥,试画出能满足电桥平衡的正确接桥方法,并写出该电桥的平衡条件。(设激励为Ui,输出为U0)。
180、问答题 器式传感器包括哪几种,各自的工作原理如何?
181、单项选择题 傅氏级数中的各项系数是表示各谐波分量的()。
A.相位
B.周期
C.振幅
D.频率
182、单项选择题 在动态测试中,电桥的输出量通常采用()。
A.电阻量
B.电压量
C.电流量
D.电感量
183、单项选择题 1/3倍频程滤波器是一种恒带宽比滤波器,因此当分析的频率范围越高时它的分辨率()。
A.越高
B.越低
C.不随分析频率的变化而变化
184、填空题 输入x(t),输出y(t),装置的脉冲响应函数h(t),它们三者之间的关系是()。
185、单项选择题 不能用涡流式传感器进行测量的是()。
A、位移
B、材质鉴别
C、探伤
D、非金属材料
186、填空题 若信号满足关系式y(t)=kx(t)(式中k为常数)则其互相关函数Pxy(t)()。
187、问答题 计算题:已知RC低通滤波器的R=1KΩ,C=1MF,当输入信号μx=100sin1000t时,求输出信号μy。
188、问答题
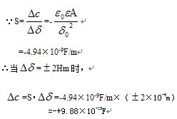
计算题:一电容传感器,其圆形极板r=4mm,工作初始间隙δ0=0.3mm,
(1)工作时如果传感器的工作间隙变化Δδ=±2μm,求电容的变化量。
(2)如果测量电路灵敏度S1=100mv/pF,读数仪表灵敏度S2=5格/mv,在Δδ=±2μm时,读数仪表的指示值变化多少格?(ε0=8.85×10-12F/m)
189、判断题 测量环节作为被测量环节的负载,两环节将保持原来的传递函数。()
190、单项选择题 数字信号的特性是()。
A.时间上离散、幅值上连续
B.时间、幅值上均离散
C.时间、幅值上都连续
D.时间上连续、幅值上量化
191、填空题 调幅信号由载波的()携带信号信息,而调频信号则由载波的()携带信号信息。
192、单项选择题 只使在fe1~fe2间频率的信号通过,应采用()滤波器
A、带阻
B、带通
C、高通
D、低通
193、问答题 试用相关分析的知识说明如何确定深埋在地下的输油管裂损的位置。
194、单项选择题 将两个中心频率相同的滤波器串联,可以()。
A.使分析频带扩大
B.使滤波器的选择性变好,但使相移增加
C.幅频、相频都得到改善
195、单项选择题 压电式传感器前置放大器的主要作用是()。
A、把传感器的低阻抗输出变换为高阻抗输出
B、把传感器的高阻抗输出变换为低阻抗输出
C、调制传感器的输出信号
D、对传感器的输出信号尽行检波
196、填空题 差动变压器式传感器的两个次级线圈在连接时应()。
197、单项选择题 对于单向应力状态的测量,贴应变片时,应变片的方向与主应力方向应该相交成()
A、0°
B、45°
C、90°
D、30°
198、单项选择题 光敏晶体管的工作原理是基于()效应。
A.外光电
B.内光电
C.光生电动势
199、单项选择题 光线示波器的振子的固有频率越高,其电流灵敏度()。
A.越高
B.越低
C.不变
200、单项选择题 传感器的静态特性中,输出量的变化量与引起此变化的输入量的变化量之比称为().
A、线性度
B、灵敏度
C、稳定性
D、回程误差