手机用户可
保存上方二维码到手机中,在
微信扫一扫中右上角选择“从
相册选取二维码”即可。
1、单项选择题 船舶交通调查时采用发放调查表的方法,一般用于调查()。
A、船舶交通实况
B、船员操船行为
C、一个水域的船舶航迹
D、航海日志记录的船舶交通情况
点击查看答案
本题答案:B
本题解析:暂无解析
2、单项选择题 在水上交通工程中,船舶速度是指()。
A、船舶对水速度
B、船舶对地速度
C、计程仪船速
D、船舶的总体速度
点击查看答案
本题答案:D
本题解析:暂无解析
3、填空题 水流过坝后具有()现象,水舌入水处单位面积能量大,造成集中冲刷,因此消能防冲设计要防止发生危害性的河床集中冲刷。
点击查看答案
本题答案:向心集中
本题解析:试题答案向心集中
4、填空题 河道常用的防洪体系为()。
点击查看答案
本题答案:“拦下排,两岸分滞”
本题解析:试题答案“拦下排,两岸分滞”
5、单项选择题 根据交通流模型,在一个水域中,当船舶交通密度小于最佳密度时,()。
A、船舶交通量的变化近似与船舶密度变化成反比
B、船舶交通量的变化近似与船舶密度变化成正比
C、船舶交通流速度的变化近似与船舶密度变化成正比
D、船舶交通流速度越快,船舶越拥挤
点击查看答案
本题答案:B
本题解析:暂无解析
6、单项选择题 船舶领域(ShipSafetyDomain)(避碰领域)的大小与()因素有关。Ⅰ、水深;Ⅱ、船舶的大小;Ⅲ、船速和运动状态;Ⅳ、船舶的操纵与运动性能;Ⅴ、船舶会遇态势;Ⅵ、操船者的心理因素;Ⅶ、水域类型;Ⅷ、水文气象。
A、Ⅰ~Ⅷ
B、Ⅰ~Ⅴ
C、Ⅱ~Ⅷ
D、Ⅲ~Ⅴ
点击查看答案
本题答案:C
本题解析:暂无解析
7、问答题 什么是渠道的实用经济断面?
点击查看答案
本题答案:对于常用的梯形渠道,按水力最佳断面设计的渠道断面往往是窄深式
本题解析:试题答案对于常用的梯形渠道,按水力最佳断面设计的渠道断面往往是窄深式的。对土渠来说,这种窄深式渠道对施工是很不利的,不能达到经济的目的,在实际应用中有很大的局限性。为此,应求一个宽浅式的梯形断面,使其水深和底宽有一个较广的选择范围以适应各种情况的需要,而在此范围内又能基本上满足水力最佳断面的要求,这种断面称为实用经济断面。
8、判断题 无压隧洞断面尺寸的确定,主要是满足泄流能力和洞内水面线的要求。()
点击查看答案
本题答案:对
本题解析:暂无解析
9、多项选择题 弹性抗力与()有关。
A、围岩的强度。
B、围岩的稳定性。
C、围岩的厚度。
D、衬砌的刚度。
点击查看答案
本题答案:B, D
本题解析:暂无解析
10、单项选择题 具有雷达信息处理系统(RDP)和交通数据处理系统(TDP)的船舶交通管理系统首先()。
A、在美国的旧金山
B、在日本的东京
C、在英国的利物浦港
D、在德国的汉堡
点击查看答案
本题答案:A
本题解析:暂来源:91考试网 91eXAm.org无解析
11、单项选择题 航速为14~23kn的航行船,AIS船舶报告的频度为();当其改向时,报告的频度为()。
A、每12s,每6s
B、每3s,每2s
C、每6s,每2s
D、每12s,每4s
点击查看答案
本题答案:C
本题解析:暂无解析
12、名词解释 接触冲刷
点击查看答案
本题答案:渗流沿两种不同土壤的接触面流动时,把其中细颗粒带走的现
本题解析:试题答案渗流沿两种不同土壤的接触面流动时,把其中细颗粒带走的现象称为接触冲刷。
13、多项选择题 溢流重力坝可能是()。
A、挡水建筑物
B、泄水建筑物
C、整治建筑物
D、取水建筑物
点击查看答案
本题答案:A, B
本题解析:暂无解析
14、问答题 泄水洞进口建筑物由哪些部分组成?各部分的作用是什么?
点击查看答案
本题答案:①进口喇叭口段。
作用:使水流平顺,减少水头
本题解析:试题答案①进口喇叭口段。
作用:使水流平顺,减少水头损失,控制负压生产。体型应符合流线型。
②通气孔。
作用:有压洞,关闭工作门,向两闸门间充水时,向孔外排气。
无压洞,向明流段充气。
③平压管。
作用:由水库向两闸门间充水,减少检修闸门的启门力。
④拦污栅。
作用,阻止较大的漂浮物进入遂洞。
⑤压坡段。
作用:在泄水孔出口应受缩断面,改善出口压力分布,以保证洞内为满流状态。压坡段顶部坡率一般采用1:4~1:6之间,其长度一般为3m~6m。
15、单项选择题 在V形和接近V形河谷中,多采用()。
A、等半径拱坝。
B、等中心角拱坝。
C、变半径、变中心角拱坝。
D、双曲拱坝。
点击查看答案
本题答案:D
本题解析:暂无解析
16、问答题 拦污栅栅条间距根据什么确定?如何计算?
点击查看答案
本题答案:拦污栅栅条间距除了冲击式水轮机是根据喷嘴出口尺寸确定外
本题解析:试题答案拦污栅栅条间距除了冲击式水轮机是根据喷嘴出口尺寸确定外,其他是根据水轮机转轮直径确定的。
轴流式水轮机,拦污栅栅条间距是水轮机转轮直径的亚/20,贯流式水轮机时可以参照上述规定。
混流式水轮机拦污栅栅条间距是水轮机转轮直径的1/30,即拦污珊珊条间距不小于转轮叶片最小间距。
17、问答题 CT系列调速器主要由哪些部分组成?
点击查看答案
本题答案:(1)自动调节机构包括离心摆与引导阀、辅助接力器与主配
本题解析:试题答案(1)自动调节机构包括离心摆与引导阀、辅助接力器与主配压阀、生接力器、暂态调差机构、缓冲器及其传递杠杆、加速装置及其传递杠杆、局部反馈调节机构及其传递杠杆、油路系统。
(2)控制机构包括开度限制机构、变速机构。
(3)保护装置包括开度限制机构与变速机构的行程限位开关、紧急停机电磁阀、压力信号器、安全阀、接力器锁锭装置。
(4)监视仪表及其他包括开度限制机构、变速机构及永态调差机构指示盘,反映离心摆转速的电气转速表、压力表、滤油器、油管路及其附件,电气线路。
(5)油压设备包括回油箱、压力油罐及滤油阀、螺旋油泵、止回阀及截止阀。
18、判断题 重力坝的剖面尺寸大,与地基接触面积大,材料的强度能充分发挥。()
点击查看答案
本题答案:错
本题解析:暂无解析
19、名词解释 渡槽
点击查看答案
本题答案:输送水流跨越渠道、河流、道路、山冲、谷口等的架空输水建
本题解析:试题答案输送水流跨越渠道、河流、道路、山冲、谷口等的架空输水建筑物。
20、单项选择题 图式和的主要区别是()。
A、前者表示指定的交通流向,后者为推荐的,两者都在分道通航制中使用
B、前者表示推荐的交通流向,后者为指定的,两者都在分道通航制中使用
C、前者表示指定的交通流向,后者为推荐的,后者在分道通航制中使用
D、前者表示指定的交通流向,后者为推荐的,前者在分道通航制中使用
点击查看答案
本题答案:D
本题解析:暂无解析
21、单项选择题 渡槽、倒虹吸和涵洞,属于()。
A、控制建筑物
B、落差建筑物
C、交叉建筑物
D、泄水建筑物
点击查看答案
本题答案:C
本题解析:暂无解析
22、判断题 地下水活动状态与围岩裂隙发育程度有关。()
点击查看答案
本题答案:对
本题解析:暂无解析
23、单项选择题 在计算土石材料的自重时,一般应根据其所在位置与浸润线和水位的关系,采用不同的容重。()
A.浸润线之上采用土体的自然容重,浸润线之下采用土体的饱和容重
B.浸润线之上采用土体的干容重,浸润线之下采用土体的浮容重
C.浸润线之上采用土体的干容重,浸润线之下采用土体的饱和容重
D.浸润线之上采用土体的自然容重,浸润线之下采用土体的浮容重
点击查看答案
本题答案:D
本题解析:暂无解析
24、问答题 什么是体内消能?什么是体外消能?
点击查看答案
本题答案:泄水建筑物的消能方式分为体内消能和体外消能。
本题解析:试题答案泄水建筑物的消能方式分为体内消能和体外消能。
体内消能是在建筑物表面或内部产生水流紊动消能,如阶梯式消能工、宽尾墩消能工等辅助消能工。
体外消能是在泄水建筑物的下游某一指定地方通过一定方式消刹水能,常用的有底流消能、挑流消能、面流消能和戽流消能。
25、单项选择题 下列渠系建筑物中,属于控制建筑物的是()。
A、节制闸
B、渡槽
C、跌水陡坡
D、泄水闸
点击查看答案
本题答案:A
本题解析:暂无解析
26、判断题 排水设施应具有充分的排水能力,不至被泥沙堵塞,以保证在任何情况下都能自由地排出全部渗水。()
点击查看答案
本题答案:对
本题解析:暂无解析
27、判断题 泄水建筑物是为灌溉、发电和供水的需要,从上游向下游放水用的建筑物。()
点击查看答案
本题答案:错
本题解析:暂无解析
28、问答题 简述土石坝渗流的特性。
点击查看答案
本题答案:主要有以下特性:
①均为无压流,有浸润线存在
本题解析:试题答案主要有以下特性:
①均为无压流,有浸润线存在;
②大多为稳定渗流,偶有非稳定渗流;
③土质坝体渗透通常遵循达西定律;砾石、卵石有一定偏差;
④均质土坝渗透系数各向同性,非均质坝需考虑各向异性;
⑤宽谷河段土石坝渗流场接近二维,峡谷河段则为三维渗流场。
29、单项选择题 暗适应的时间长度与人在明处的亮度有关,明处的光线越(),则暗适应的时间越()。
A、亮,短
B、亮,长
C、暗,长
D、不能确定
点击查看答案
本题答案:B
本题解析:暂无解析
30、单项选择题 采用发放调查表的方法进行船舶交通调查时,判断调查质量的一个重要标志是()。
A、调查表的回收率
B、调查表的回答有不少的独特见解
C、调查表以选择题为主
D、调查表以选择题和是非题为主
点击查看答案
本题答案:A
本题解析:暂无解析
31、判断题 无压隧洞要避免出现明满流交替出现的情况。()
点击查看答案
本题答案:对
本题解析:暂无解析
32、问答题 闸下游设置海漫的目的是什么?对海漫材料提出什么要求?
点击查看答案
本题答案:海曼的作用:
以使水流均匀扩散,调整流速分布
本题解析:试题答案海曼的作用:
以使水流均匀扩散,调整流速分布,保护河床不受冲刷。
对海曼的要求:
①表面有一定的粗糙度,以利进一步消除余能;
②具有一定的透水性,以使渗水自由排除降低扬压力;
③具有一定的柔性,以适应下游河床可能的冲刷变形。
33、问答题 通过坝肩稳定分析,如发现局部或整体稳定性不能满足要求时,可采取哪些工程措施?
点击查看答案
本题答案:①加强地基处理,通过挖除某些不利的软弱部位和加强固结灌浆等坝
本题解析:试题答案①加强地基处理,通过挖除某些不利的软弱部位和加强固结灌浆等坝基处理措施来提高基岩抗剪强度。
②加强坝肩岩体的帷幕灌浆及排水措施,减小岩体内的渗透压力。
③将拱端向岸壁深挖嵌进,以扩大下游的抗滑岩体,也可避开不利的滑裂面。
④改进拱圈设计,如采用三心圆拱或抛物线等,使拱推力尽可能转向正交于安坡。
⑤如坝基承载力较差,可采用局部扩大拱端厚度,增设重力墩等措施。
34、判断题 弹性抗力是主动力。()
点击查看答案
本题答案:对
本题解析:暂无解析
35、问答题 简述土石坝发生渗透变形形式和防止渗透变形的工程措施各有哪些?
点击查看答案
本题答案:渗透变形的类型有管涌、流土、接触冲刷、接触管涌和接触流
本题解析:试题答案渗透变形的类型有管涌、流土、接触冲刷、接触管涌和接触流土。
防止渗透变形的工程措施有以下几种:
(1)设置防渗设施;
(2)设置排水沟或减压井;
(3)设置反滤层。
36、问答题 简述温度裂缝的类型和温度控制的措施。
点击查看答案
本题答案:温度裂缝的类型主要有:
①贯穿性裂缝:
本题解析:试题答案温度裂缝的类型主要有:
①贯穿性裂缝:
含横向贯穿性裂缝、纵向贯穿性裂缝、水平向贯穿性裂缝。
②表面裂缝:
温度控制的措施主要有:
①降低砼的入仓温度Tj。
②降低砼的水热化温升Tr。
③加强砼表面的养护。
37、问答题 溢流重力坝通常设计成等同的奇数孔,为什么?
点击查看答案
本题答案:采用相同闸孔诣在检修闸门、启闭设备等设施可共用,且泄流量相同
本题解析:试题答案采用相同闸孔诣在检修闸门、启闭设备等设施可共用,且泄流量相同可对称泄流。采用奇数孔目的在于闸门对称布置,可对称泄流以减轻消能负担,避免折冲水流等。
38、判断题 铺盖具有较好的防渗效果,所以越长越好。()
点击查看答案
本题答案:错
本题解析:暂无解析
39、判断题 在渗流作用下,坝体或坝基中的细小颗粒被渗流带走逐步形成渗流通道的现象称为流土。()
点击查看答案
本题答案:错
本题解析:暂无解析
40、判断题 饱和土孔隙水对土粒作用力的平均值近似取用孔隙水压力值。()
点击查看答案
本题答案:对
本题解析:暂无解析
41、单项选择题 潜孔平板闸门的侧止水应设置在闸门()。
A、上游侧。
B、下游侧。
C、闸门槽内。
点击查看答案
本题答案:C
本题解析:暂无解析
42、单项选择题 “中华人民共和国船舶交通管理系统安全监督管理规则”规定,船舶在VTS区域内航行时()。
A、应慢速行驶,必要时要遵守交通部和主管机关的限速规定
B、应用安全航速行驶,并应遵守交通部和主管机关的限速规定
C、除应遵守国际海上避碰规则外,还应遵守《中华人民共和国内河避碰规则》
D、应减速行驶,需要时应遵守交通部和主管机关的限速规定
点击查看答案
本题答案:B
本题解析:暂无解析
43、单项选择题 根据交通部《水上交通事故统计办法》(2002年),下列()原因引起的火灾、爆炸属于火灾、爆炸事故进行统计。Ⅰ、船员房间失火;Ⅱ、雷电;Ⅲ、船上油气;Ⅳ、船员电焊;Ⅴ、厂修中船上失火。
A、Ⅰ~Ⅳ
B、Ⅰ,Ⅲ~Ⅳ
C、Ⅲ~Ⅴ
D、Ⅰ~Ⅴ
点击查看答案
本题答案:A
本题解析:暂无解析
44、问答题 为什么要进行荷载组合?什么是基本荷载和基本荷载组合,什么是特殊荷载和特殊荷载组合?
点击查看答案
本题答案:荷载组合:将具有合理的同时出现机率的荷载进行最不利组合,作为
本题解析:试题答案荷载组合:将具有合理的同时出现机率的荷载进行最不利组合,作为建筑物上的设计荷载。
基本荷载:
①坝体及其上永久性设备重;
②正常蓄水位或设计洪水位时的静水压力(选择一种控制情况);
③相应于正常蓄水位或设计洪水位时的扬压力;
④泥砂压力;
⑤相应于来源:91考试网 91Exam.org正常蓄水位或设计洪水位时的浪压力;
⑥冰压力;
⑦土压力;
⑧相应于设计洪水位时的动水压力;
⑨其他出现机会较多的荷载。
特殊荷载:
①校核洪水位时的静水压力;
②相应于校核洪水位时的扬压力;
③相应于校核洪水位时的浪压力;
④相应于校核洪水位时的动水压力;
⑤地震荷载;
⑥其他出现机会较少的荷载。
基本组合:由基本荷载组合。
特殊组合:由基本荷载和一种或几种特殊荷载组合。
45、判断题 碾压混凝土坝一般不设横缝。()
点击查看答案
本题答案:错
本题解析:暂无解析
46、填空题 泄洪洞与发电洞合一布置时,为防止(),当主洞泄洪时,出口面积收缩比宜()0.85;支洞泄洪时,出口面积收缩比()0.7。
点击查看答案
本题答案:岔尖发生空蚀;小于等于;小于等于
本题解析:试题答案岔尖发生空蚀;小于等于;小于等于
47、单项选择题 船舶航行中确定本船的船舶领域大小,应考虑()。
A、本船的吨位和尺寸
B、本船大小及其运动、航行环境等多种因素
C、本船的速度
D、本船的运动状态
点击查看答案
本题答案:B
本题解析:暂无解析
48、问答题 迷宫堰为折线型堰,是为了获得什么?
点击查看答案
本题答案:为了获得较长的溢流前沿。
本题解析:试题答案为了获得较长的溢流前沿。
49、填空题 静水压力是坝体上的最主要荷载,应由拱、梁系统共同承担,可通过()来确定拱系和梁系上的荷载分配。
点击查看答案
本题答案:拱梁分载法
本题解析:试题答案拱梁分载法
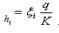
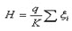
50、问答题 改进阻力系数法认为任一流段的水头损失为
,此式怎样推导来的?
点击查看答案
本题答案:①由地下轮廓线上的角点、板桩的尖点的等水头线,将渗流区
本题解析:试题答案①由地下轮廓线上的角点、板桩的尖点的等水头线,将渗流区分为若干:进口段、水平段、垂直段、出口段。
②求解每个典型段的渗流阻力系数。
根据达西定律:任一段的单宽流量为:
:通过该渗流段的渗透水头损失;
:该渗流段的平均流线长度;
:该渗流段的阻力系数,只与该渗流段的几何形状有关。
③由水流的连续条件,流经各渗流段的单宽流量相
等,则任一流段的水头损失
为:
④总水头差应为各段水头损失的总和:
⑤各段水头损失:
51、填空题 引水结构是指从河道取水的水利枢纽。分为()和()两大类。
点击查看答案
本题答案:有闸坝引水;无闸坝引水
本题解析:试题答案有闸坝引水;无闸坝引水
52、单项选择题 《中华人民共和国船舶交通管理系统安全监督管理规则》中关于船舶报告的规定指出:船舶发现()。①助航标志异常、②有碍航行安全的障碍物、③漂流物或④其他妨碍航行安全的异常情况时,应迅速向VTS中心报告。
A、孤立的暗礁
B、影响航行的浅滩
C、露出水面的沉船
D、助航标志异常
点击查看答案
本题答案:D
本题解析:暂无解析
53、判断题 坝内水平截面上的剪应力τ呈三次抛物线分布。()
点击查看答案
本题答案:错
本题解析:暂无解析
54、判断题 当封拱温度较低时,此后温度升高,拱轴线伸长,变位方向与水压引起的相反。()
点击查看答案
本题答案:对
本题解析:暂无解析
55、单项选择题 当船舶航行在环行航道区域时,应()。环行航道区域旧象马路上的圆圈,进入右转进入然后沿逆时针行驶。
A、在环行航道内,船舶按逆时针方向绕分隔点或圆形分隔带航行
B、在环行航道内,船舶按顺时针方向绕分隔点或圆形分隔带航行
C、在环行航道内,船舶向左绕分隔点或圆形分隔带航行
D、在环行航道内,船舶出口时向左、进口时向右绕分隔点或圆形分隔带航行
点击查看答案
本题答案:A
本题解析:暂无解析
56、问答题 简述双环型和迷宫型密封环的特点。
点击查看答案
本题答案:1)双环型:即再相同的径向间隙条件下,它的泄漏量相对少
本题解析:试题答案1)双环型:即再相同的径向间隙条件下,它的泄漏量相对少于其他形式的密封环,但他要控制两个环的配合精度,还要有一定的轴向间隙,其测量较麻烦,因而用得较少。
2)迷宫型:其结构复杂,精度要求高,因而多在高压泵上采用这种密封形式。
57、单项选择题 船舶速度分布表征一个水域中的航行船舶之间发生追越会遇的机率,速度分布(),追越会遇的机率()。
A、越离散,越小
B、越集中,越大
C、越离散,越大
D、分布与追越机率无关
点击查看答案
本题答案:C
本题解析:暂无解析
58、判断题 拱坝的中心角越大对坝肩岩体稳定越有利。()
点击查看答案
本题答案:错
本题解析:暂无解析
59、名词解释 土石坝
点击查看答案
本题答案:指由当地土料、石料或混合料,经过抛填、碾压等方法堆砌成
本题解析:试题答案指由当地土料、石料或混合料,经过抛填、碾压等方法堆砌成的挡水坝。
60、问答题 围岩压力与弹性抗力有何不同?
点击查看答案
本题答案:隧洞的开挖破坏了岩体本来的平衡状态,从而引起围岩的应力
本题解析:试题答案隧洞的开挖破坏了岩体本来的平衡状态,从而引起围岩的应力重分布,并随之产生相应的变形。隧洞开挖后因围岩变形或塌落作用在支护上的压力称为山岩压力。
在荷载的作用下,衬砌向外变形时受到围岩的抵抗,这种围岩抵抗衬砌变形的作用力,称为围岩的弹性抗力。
围岩压力是作用在衬砌上的主动力,而弹性抗力则是被动力,并且是有条件的。围岩考虑弹性抗力的重要条件是岩石本身的承载能力,而充分发挥弹性抗力作用的主要条件是围岩与衬砌的接触程度。弹性抗力的作用表明围岩能与衬砌共同承受荷载,从而使衬砌的内力得以减小,所以对衬砌的工作状态是有利的。
61、单项选择题 AIS所接收到的某船信息可能并不完整,这是因为()。
A、周围有明礁的存在,不能接收得其后面船的AIS信息
B、该船未安装或未连接传感器或传感器(如陀螺仪)无法提供数据
C、周围有船舶可能临时关闭或未开启AIS
D、本船的AIS性能欠佳
点击查看答案
本题答案:B
本题解析:暂无解析
62、单项选择题 梁式渡槽的支承形式有墩式和排架式两种,排架式支承结构一般有()。
A、单排架、双排架、
B、U型排架、组合式排架
C、升卧式排架;
D、半地下式排架。
点击查看答案
本题答案:A
本题解析:暂无解析
63、判断题 溢流重力坝设计中动水压力对坝体稳定有利。()
点击查看答案
本题答案:对
本题解析:暂无解析
64、单项选择题 宽顶堰型控制堰()。
A.自由泄流范围小,流量系数大;
B.自由泄流范围小,流量系数小;
C.自由泄流范围大,流量系数大;
D.自由泄流范围大,流量系数小。
点击查看答案
本题答案:D
本题解析:暂无解析
65、判断题 取(引)水建筑物是输水建筑物的首部建筑,如:引水隧洞的进口段、灌溉渠首和供水用的进水闸、扬水站等。()
点击查看答案
本题答案:对
本题解析:暂无解析
66、单项选择题 堆石棱体排水()。
A.能降低坝体浸润线;
B.不能降低坝体浸润线;
C.对坝体浸润线不影响;
D.提高了坝体浸润线。
点击查看答案
本题答案:A
本题解析:暂无解析
67、判断题 在拱坝的应力分析方法中,拱冠梁法在荷载分配时仅考虑了径向变位的调整。()
点击查看答案
本题答案:对
本题解析:暂无解析
68、判断题 有压洞全线在最不利条件下,洞顶内水压力水头不小于2m。()
点击查看答案
本题答案:对
本题解析:暂无解析
69、判断题 重力坝依靠坝体自重在水平截面上产生的压应力来抵消由于水压力所引起的拉应力,以满足强度的要求。()
点击查看答案
本题答案:对
本题解析:暂无解析
70、判断题 修建渡槽,比修建填方渠道的涵洞过流能力大,但是,比修建倒虹吸管水头损失也大。()
点击查看答案
本题答案:对
本题解析:暂无解析
71、问答题 水工隧洞按用途如何分类?
点击查看答案
本题答案:泄洪洞:配合溢洪道宣泄洪水,保证枢纽安全。
引水
本题解析:试题答案泄洪洞:配合溢洪道宣泄洪水,保证枢纽安全。
引水洞:引水发电,灌溉或洪水。
排沙洞:排放水库泥沙,延长水库使用年限。
放空洞:在必要的情况下,放空水库,用于人防或检修大坝。
导流洞:在水利枢纽的建设施工期用来施工导流。
72、名词解释 永久性建筑物
点击查看答案
本题答案:工程运行期间使用的建筑物。
本题解析:试题答案工程运行期间使用的建筑物。
73、单项选择题 船舶交通观测的时间长度要求,一般为()。
A、持续观测时间至少达到72小时
B、选取典型时间段观测达到72小时
C、持续观测时间达到72小时即可
D、以上都对
点击查看答案
本题答案:A
本题解析:暂无解析
74、填空题 溢流坝大孔口溢流式泄水是在闸墩上部设置胸墙,即可利用胸墙挡水,也可()和()。
点击查看答案
本题答案:减少闸门高度;降低堰顶高程
本题解析:试题答案减少闸门高度;降低堰顶高程
75、单项选择题 潜孔弧形闸门的侧止水应设置在闸门()。
A、上游侧。
B、下游侧。
C、侧面。
点击查看答案
本题答案:C
本题解析:暂无解析
76、填空题 数学模型的分析方法有:()、()、()。
点击查看答案
本题答案:解析法;差分法;有限元法
本题解析:试题答案解析法;差分法;有限元法
77、问答题 为何土石坝稳定分析只进行局部稳定验算,而不进行整体稳定验算?土石坝失稳的原因有哪些?
点击查看答案
本题答案:土石坝的坝坡较缓,在外荷载及自重作用下,不会产生整体水
本题解析:试题答案土石坝的坝坡较缓,在外荷载及自重作用下,不会产生整体水平滑动。由于其坝体材料为散粒体,如果剖面尺寸不当或坝体、坝基材料的抗剪强度不足,在一些不利荷载组合下有可能发生坝体或坝体连同部分坝基一起局部滑动的现象,造成失稳。
土石坝失稳的原因:
土石坝产生滑坡的原因往往是由于坝体抗剪强度太小,坝坡偏陡,滑动土体的滑动力超过抗滑力,或由于坝基土的抗剪强度不足因而会连同坝体一起发生滑动。滑动力大小主要与坝坡的陡缓有关,坝坡越陡,滑动力越大。
78、单项选择题 重症肌无力的自身抗原是()
A.Ⅳ型胶原蛋白
B.红细胞
C.血小板
D.DNA
E.乙酰胆碱受体
点击查看答案
本题答案:E
本题解析:暂无解析
79、问答题 什么叫水泵的扬程曲线?它有何特点?
点击查看答案
本题答案:1)表示扬程与水泵流量之间的关系曲线称为流量-扬程曲线
本题解析:试题答案1)表示扬程与水泵流量之间的关系曲线称为流量-扬程曲线,简称扬程曲线,用Q---H表示。
2)Q—H曲线总的变化趋势是:随着Q的增加H下降,H下降的快慢与水泵的ns有关。Ns小,H下降的慢一些,曲线比较平坦;ns大,H下降快一些,曲线就显的陡一些;但有的水泵(离心泵)在曲线上会出现驼峰形,水泵在驼峰区运转不稳定,应尽量避免。
80、单项选择题 土石坝边坡稳定分析计算方法中,()。
A.瑞典圆弧法考虑了土条间相互作用力的影响;
B.瑞典圆弧法没有考虑了土条间相互作用力的影响;
C.毕肖普法没有考虑了土条间相互作用力的影响;
D.瑞典圆弧法和毕肖普法都考虑了土条间相互作用力的影响。
点击查看答案
本题答案:B
本题解析:暂无解析
81、填空题 水闸是一种低水头的水工建筑物,兼有()和()的作用,用以()、(),以满足水利事业的各种要求。
点击查看答案
本题答案:挡水;泄水;调节水位;控制流量
本题解析:试题答案挡水;泄水;调节水位;控制流量
82、问答题 为什么要对水利水电枢纽工程分等和对水工建筑物分级,分等分级的原则、方法是什么,分等分级有哪些作用?
点击查看答案
本题答案:水利水电枢纽工程的分等就是根据其工程规模、效益和在国民经济中
本题解析:试题答案水利水电枢纽工程的分等就是根据其工程规模、效益和在国民经济中的重要性,如水库的总库容、防洪(下游城镇、工业区的重要性;保护农田的面积)、灌溉面积、治涝、供水(供给城镇及矿区的重要性)、发电(装机容量)分为五等。
水利水电枢纽工程分级就是为了将水利水电工程中的水工建筑物(永久性建筑物和临时性建筑物),根据所属枢纽工程的等别及在工程中的作用和重要性,划分为五级。
水利枢纽工程分等和水工建筑物分级的意义:规范地划分工程等别和水工建筑物级别,并使建筑物的设计基准期、安全性、可靠性及抗御灾害能力等方面与建筑物的级别(反应其在所属枢纽工程中的作用和重要性)相称,如洪水标准、强度与稳定计算的安全系数、建筑材料的品质等,使工程达到既安全又经济的目的。
83、单项选择题 根据视觉的环境特点,驾驶员在夜间的视觉信息获取程度与()成反比,而与()成正比。
A、驾驶员周围的环境亮度,物体(目标)周围的环境亮度
B、物体(目标)周围的环境亮度,驾驶员周围的环境亮度
C、驾驶员周围的环境亮度,物体(目标)远处的背景亮度
D、物体(目标)远处的背景亮度,驾驶员周围的环境亮度
点击查看答案
本题答案:A
本题解析:暂无解析
84、问答题 电力电缆的优点。
点击查看答案
本题答案:1)其主要优点是质量轻,弯曲性能好,接头制造简便。本题解析:试题答案1)其主要优点是质量轻,弯曲性能好,接头制造简便。
2)耐油、耐酸碱、不延燃,具有内铠装结构,使钢带或铜丝免受腐蚀,价格便宜。
85、单项选择题 温降时拱坝的轴线缩短,拱坝向下游变位()。
A.对坝体应力不利;
B.对坝体应力有利;
C.对坝肩稳定有利;
D.对坝肩稳定不利。
点击查看答案
本题答案:A
本题解析:暂无解析
86、判断题 水闸出流平台上小坎的作用是为了形成淹没式水跃。
点击查看答案
本题答案:错
本题解析:暂无解析
87、单项选择题 题干根据船舶交通工程学知识,一个水域的船舶最佳密度(m)是()。
A、阻塞密度
B、阻塞密度的一半
C、阻塞密度的三分之一
D、随船舶交通量而变
点击查看答案
本题答案:B
本题解析:暂无解析
88、问答题 如何对水工建筑物分类?
点击查看答案
本题答案:水工建筑物可分为:
①一般性(通用性)建筑物
本题解析:试题答案水工建筑物可分为:
①一般性(通用性)建筑物:
拦、蓄、挡——坝、水闸、堤防
泄——溢洪道、坝身泄水孔、泄洪隧洞
取——进水闸、电站引水系统(坝身引水、管道引水)、引水隧洞
输——渠道、隧洞、涵洞、管道
河道整治——护岸工程、导流堤、丁坝
②专门性建筑物:电站厂房、船闸、鱼道、筏道等。
89、问答题 正确理解结构功能函数Z=R-S的意义,Z<0安全吗?
点击查看答案
本题答案:结构功能函数Z=R-S中的Z表示结构功能,R表示结构抗
本题解析:试题答案结构功能函数Z=R-S中的Z表示结构功能,R表示结构抗力,S表示作用效应。Z<0表示结构抗力小于作用效应,已不安全。
90、判断题 检修闸门在动水中关闭,在静水中开启。()
点击查看答案
本题答案:错
本题解析:暂无解析
91、名词解释 胸墙
点击查看答案
本题答案:位于闸孔上部,处于闸室胸位的当水墙。
本题解析:试题答案位于闸孔上部,处于闸室胸位的当水墙。
92、填空题 水利工程按所承担的任务可分为()、()、()、供水和排水工程、航运及港口工程工程和环境水利工程。
点击查看答案
本题答案:防洪工程;农田水利工程;水力发电工程
本题解析:试题答案防洪工程;农田水利工程;水力发电工程
93、单项选择题 采用多种材料筑坝()。
A.其材料的透水性可由上游向下游侧逐渐增小;
B.其材料的透水性可由上游向下游侧逐渐增大;
C.其材料的透水性可由下游向上游侧逐渐增大;
D.其材料的透水性可由上游向下游侧逐渐变化。
点击查看答案
本题答案:B
本题解析:暂无解析
94、问答题 挑流消能的原理是什么?
点击查看答案
本题答案:利用下泄水流所挟带的巨大动能,因势利导将水流挑射远离建
本题解析:试题答案利用下泄水流所挟带的巨大动能,因势利导将水流挑射远离建筑物的下游。在挑射过程中,水流受到空气的阻力而扩散,掺入大量空气,降落到下游水面后,又受到下游水体的阻力,形成激烈的漩滚而消能。
95、判断题 如果拱坝封拱时混凝土温度过高,则以后温降时拱轴线收缩对坝体应力不利。()
点击查看答案
本题答案:对
本题解析:暂无解析
96、单项选择题 IMO的“VTS指南”阐述了VTS的六大功能,其中数据收集功能是指()。①收集航道和交通情况的数据;②气象台站的中长期天气预报③从遇险频道上得到信息;④从船舶报告获得信息;⑤其它诸如船、机、设备或人员的状况报告;⑥装载有毒的或危险货物的报告;⑦收集港章的规定变化信息。
A、①~⑦
B、①,③,⑥
C、①~③,⑤~⑦
D、①,③~⑥
点击查看答案
本题答案:D
本题解析:暂无解析
97、单项选择题 船舶交通系统的构成要素有()。Ⅰ、水域;Ⅱ、航路;Ⅲ、船员(驾驶人员);Ⅳ、船舶;Ⅴ、交通环境;Ⅵ、自然因素。
A、Ⅰ~Ⅵ
B、Ⅱ~Ⅳ
C、Ⅲ~Ⅵ
D、Ⅲ~Ⅴ
点击查看答案
本题答案:D
本题解析:暂无解析
98、判断题 饱和土孔隙水对土粒作用力的平均值(即孔隙水对计算截面作用力的平均值)略小于孔隙水压力。()
点击查看答案
本题答案:对
本题解析:暂无解析
99、单项选择题 CHISREP规定,超过规定报告时间或约定报告时间()未报的船舶,将对船舶所有人、经营人、代理人及可能见过该船或该船舶联系过的其它船舶进行查询,核实该船是否安
A、24h
B、18h
C、12h
D、6h
点击查看答案
本题答案:C
本题解析:暂无解析
100、问答题 闸孔型式有哪几种?各自优缺点及适用条件是什么?
点击查看答案
本题答案:闸孔型式有:开敞式不带胸墙闸孔、开敞式带胸墙闸孔、涵洞式闸孔
本题解析:试题答案闸孔型式有:开敞式不带胸墙闸孔、开敞式带胸墙闸孔、涵洞式闸孔。
(1)开敞式不带胸墙闸孔
①可泄洪、排冰、过木或其他漂浮物等,用于分洪闸、拦河闸;
②过闸水流为堰流;
③位于河道、渠道的过水断面上。
(2)开敞式带胸墙闸孔
适于挡水位高于引水水位、排水水位,如进水闸、排水闸。
减少活动闸门的高度。
(3)涵洞式闸孔:适合于位于河渠、堤防之下的取水、排水水闸。
101、问答题 如何确定发电机层的地面高程?
点击查看答案
本题答案:根据水轮机层地面高程加上水轮机层的高度,再加上发电机层地板的
本题解析:试题答案根据水轮机层地面高程加上水轮机层的高度,再加上发电机层地板的厚度,即得出发电机层的地面高程。
102、判断题 有效应力远大于土粒骨架之间的接触应力。()
点击查看答案
本题答案:错
本题解析:暂无解析
103、单项选择题 “中华人民共和国船舶交通管理系统安全监督管理规则”适用于在规则规定水域内()。
A、航行、停泊和作业的船舶、设施及其所有人、经营人和代理人
B、航行、停泊和作业的船舶、设施及其所有人和代理人
C、航行的船舶、设施及其所有人、经营人和代理人
D、航行的船舶、设施及其所有人和代理人
点击查看答案
本题答案:A
本题解析:暂无解析
104、判断题 隧洞衬砌的主要目的是为了防渗。()
点击查看答案
本题答案:错
本题解析:暂无解析
105、单项选择题 菅涌()。
A.发生在粘性土中。从发生到破坏,持续较长的时间;
B.发生在无粘性砂土,砾石中。从发生到破坏,持续较短的时间;
C.发生在无粘性砂土,砾石中。从发生即破坏;
D.发生在无粘性砂土,砾石中。从发生到破坏,持续较长的时间。
点击查看答案
本题答案:D
本题解析:暂无解析
106、问答题 水轮发电机组并车,遇有哪些情况时禁止并列合闸?
点击查看答案
本题答案:(1)整步表回转过快,不易控制时间。
(2)
本题解析:试题答案(1)整步表回转过快,不易控制时间。
(2)指针接近红线时停止不动。
(3)指针有跳动现象。
(4)整步表失灵。
(5)操作者情绪紧张,四肢抖动,应暂时停止操作。
107、填空题 单宽流量的大小是溢流坝设计中一个很重要的控制指标。如果单宽流量越大,对()不利,但对()有利。
点击查看答案
本题答案:消能防冲;枢纽布置
本题解析:试题答案消能防冲;枢纽布置
108、单项选择题 船舶交通密度是指一个水域中的(),一般用()表示。
A、某个时段内存在的船舶数,单位时段内的量
B、某个单位时段内的船舶数,单位水域内的量
C、某个时段内通过的船舶数,单位时段内的量
D、某个瞬时存在的船舶数,单位水域内的量
点击查看答案
本题答案:D
本题解析:暂无解析
109、单项选择题 砂砾石地基处理的主要要解决的问题是:()。
A.砂砾石地基透水性小;
B.砂砾石地基强度低;
C.砂砾石地基透水性大;
D.砂砾石地基的液化。
点击查看答案
本题答案:C
本题解析:暂无解析
110、单项选择题 有些进出口航道不仅会受水流影响,还需乘潮进出港,()。
A、缩短了进出口的时间,有利于航行安全
B、增加了某些时间段的交通拥挤度,增加了操船难度
C、充分利用了水深,提高了交通效率
D、需要计算潮汐,增加了工作量
点击查看答案
本题答案:B
本题解析:暂无解析
111、判断题 溢流重力坝设计中动水压力对坝体稳定有利。()
点击查看答案
本题答案:对
本题解析:暂无解析
112、单项选择题 根据人对不同移动方向目标的视觉灵敏度特性,当前方船接近本船时,驾驶员估计其舷灯距离的准确度要()估计其桅灯距离的准确度(不考虑灯的亮度和颜色)。
A、高于
B、低于
C、等于
D、有时高于,有时低于
点击查看答案
本题答案:A
本题解析:暂无解析
113、判断题 隧洞中常需要临时性支护和永久性衬砌,以承受围岩压力。()
点击查看答案
本题答案:对
本题解析:暂无解析
114、单项选择题 如图示的海图图式,其意义为()。
A、船舶最大吃水为20m时可安全通过的深水航路
B、标明最浅水深的深水航路
C、标明疏浚水深的推荐航路
D、供吃水大于12m的船舶使用的深水航路
点击查看答案
本题答案:B
本题解析:暂无解析
115、名词解释 跌水
点击查看答案
本题答案:在落差建筑物中水流呈自由抛射状态跌落于下游消力池的叫跌
本题解析:试题答案在落差建筑物中水流呈自由抛射状态跌落于下游消力池的叫跌水。
可分为两种形式:单级跌水,多级跌水。
116、单项选择题 船舶所接收到的某船AIS信息的准确性取决于()。
A、该船发送的AIS信息的准确性
B、该船与本船的间距,间距越远,准确性越差
C、该船与本船间的信号传播路径
D、本船的AIS性能
点击查看答案
本题答案:A
本题解析:暂无解析
117、问答题 拱坝应力分析中为什么要计入地基变形?有哪些计算地基变形方法?
点击查看答案
本题答案:拱坝是超静定结构,地基变形对坝体的变形和应力的影响很大,所以
本题解析:试题答案拱坝是超静定结构,地基变形对坝体的变形和应力的影响很大,所以应计入地基变形对拱坝应力的影响。
目前国内采用的是1952年由挪威F.伏格特提出的近似计算方法。由于作出了一些假定,该方法计算复杂且与实际情况有较大的出入。
118、问答题 拱坝对地形、地质条件有哪些要求?
点击查看答案
本题答案:地形条件决定拱坝的混凝土方量。兴建拱坝的地形条件应为: <
本题解析:试题答案地形条件决定拱坝的混凝土方量。兴建拱坝的地形条件应为:
①河谷的宽高比小,河谷狭窄,拱圈短而粗,刚度大,竖直梁长而细,刚度小,拱的作用大,坝体可薄。
②河谷的对称性好,避免产生附加扭转矩。
③河谷的断面形状为V形河谷,底部拱的跨度小,拱的作用大,拱圈厚度可薄。
④河谷平面形状向下游呈漏斗状。
地质条件确定拱坝的稳定性,应为基岩完整均一,地质构造简单,抗渗性能好。
119、单项选择题 水利水电工程包括()等工程。
A.防洪治河、水力发电、农田水利、给水排水、航运
B.防洪治河、农田水利、给水排水、节水灌溉、航运
C.防洪治河、水力发电、农田水利、泄洪隧洞、航运
D.防洪治河、水力发电、农田水利、泄洪隧洞、航运
点击查看答案
本题答案:A
本题解析:暂无解析
120、问答题 有压泄水洞对岩层覆盖厚度的要求是什么?
点击查看答案
本题答案:有压遂洞的围岩厚度不应小于3倍的洞径或0.4倍的压力水头。
本题解析:试题答案有压遂洞的围岩厚度不应小于3倍的洞径或0.4倍的压力水头。
121、单项选择题 CHISREP规定,超过规定报告时间或约定报告时间()未报的船舶,将对船舶所有人、经营人、代理人及可能见过该船或该船舶联系过的其它船舶进行查询,核实该船是否安
A、24h
B、18h
C、12h
D、6h
点击查看答案
本题答案:C
本题解析:暂无解析
122、单项选择题 人在期望某种事物出现时,常常将另一相似事物误以为所期望事物,称此为(),它会威胁到航行安全,必须引起注意。
A、判断错误
B、视觉错误
C、预期错觉
D、距离错觉
点击查看答案
本题答案:C
本题解析:暂无解析
123、判断题 土石坝的坝坡特征为,上部坡缓,下部坡陡。()
点击查看答案
本题答案:错
本题解析:暂无解析
124、问答题 简述什么叫水泵的功率曲线?
点击查看答案
本题答案:1)表示水泵的轴功率与流量之间关系的曲线称为流量---
本题解析:试题答案1)表示水泵的轴功率与流量之间关系的曲线称为流量----轴功率曲线,简称功率曲线。
2)用Q---N表示。
125、单项选择题 某观测者用雷达照相法观测长为2nmile的单航道,共得6张照片,各照片上的船舶数分别为:5艘、9艘、5艘、6艘、3艘、8艘。则该时间段该航道的()。
A、船舶密度为3艘/nmile
B、船舶交通量为3艘/nmile
C、船舶交通量为18艘
D、船舶密度为18艘/nmile
点击查看答案
本题答案:A
本题解析:暂无解析
126、单项选择题 为了确保AIS中船舶静态信息的正确和最新,任何时候只要需要,值班驾驶员都应检查这些数据。一般要求至少()。
A、每个航次检查一次
B、每个月检查一次
C、取A和B中时间较短者检查一次
D、取A和B中时间较长者检查一次
点击查看答案
本题答案:C
本题解析:暂无解析
127、单项选择题 动界(Arena或Superdomain)是()。
A、紧迫危险的界限
B、船舶开始采取避让行动的距离界限
C、A和B都对
D、A和B都错
点击查看答案
本题答案:B
本题解析:暂无解析
128、单项选择题 在()从管理运河开始建立的船舶交通管理系统仅使用引航员和视觉信号。
A、19世纪中后期
B、1948年前后
C、1972年之前
D、中世纪
点击查看答案
本题答案:A
本题解析:暂无解析
129、填空题 渡槽一般由()、()、()和()等部分组成。
点击查看答案
本题答案:进口段;槽身;出口段;支承结构
本题解析:试题答案进口段;槽身;出口段;支承结构
130、填空题 水力发电的两个基本要素是()、()。
点击查看答案
本题答案:落差;流量
本题解析:试题答案落差;流量
131、单项选择题 IMO对AIS的描述()。
A、AIS是船舶自动改善避碰的方法
B、AIS是VTS取得与雷达无关的交通图象的手段
C、AIS是船舶报告程序的一种方式
D、以上都是
点击查看答案
本题答案:D
本题解析:暂无解析
132、填空题 重力坝是指()。其坝轴线一般为直线,垂直于坝轴线方向设(),将坝体分成若干个坝段,每一个坝段相当于固接于地基上的()。
点击查看答案
本题答案:主要依靠坝体自重所产生的抗滑力来维持稳定的挡水建筑物;横缝;
本题解析:试题答案主要依靠坝体自重所产生的抗滑力来维持稳定的挡水建筑物;横缝;悬臂梁
133、判断题 如果拱坝封拱时混凝土温度过高,则以后温降时拱轴线收缩对坝肩岩体稳定不利。()
点击查看答案
本题答案:错
本题解析:暂无解析
134、单项选择题 船舶交通系统的构成要素有()。Ⅰ、水域;Ⅱ、航路;Ⅲ、船员(驾驶人员);Ⅳ、船舶;Ⅴ、交通环境;Ⅵ、自然因素。
A、Ⅰ~Ⅵ
B、Ⅱ~Ⅳ
C、Ⅲ~Ⅵ
D、Ⅲ~Ⅴ
点击查看答案
本题答案:D
本题解析:暂无解析
135、问答题 压力管道一般采用哪些材料制造?
点击查看答案
本题答案:压力管道一般采用钢管、混凝土(预制、现场浇筑)、木制三
本题解析:试题答案压力管道一般采用钢管、混凝土(预制、现场浇筑)、木制三种材料。
136、判断题 回填灌浆的目的是加固围岩,提高围岩的整体性,减小围岩压力,保证岩石的弹性抗力。()
点击查看答案
本题答案:错
本题解析:暂无解析
137、名词解释 作用
点击查看答案
本题答案:外界环境对水工建筑物的影响。
本题解析:试题答案外界环境对水工建筑物的影响。
138、名词解释 水流脉动
点击查看答案
本题答案:高度紊动水流其流速和压力随时间不断变化的现象。
本题解析:试题答案高度紊动水流其流速和压力随时间不断变化的现象。
139、单项选择题 进出口航道的航行一般以()。
A、叠标导航为主,叠标的设臵合理与否直接关系到船舶交通安全
B、陆标定位为主,应经常利用陆标定位
C、以浮标引航为主,浮标等助航标志的合理设臵直接关系到船舶交通安全
D、导标导航为主,导标的合理设臵直接关系到船舶交通安全
点击查看答案
本题答案:C
本题解析:暂无解析
140、判断题 检修闸门和事故闸门都只能在静水中关闭和开启。()
点击查看答案
本题答案:错
本题解析:暂无解析
141、问答题 调速器的基本作用是什么?
点击查看答案
本题答案:调速器的基本作用是:
(l)能自动调节水轮发
本题解析:试题答案调速器的基本作用是:
(l)能自动调节水轮发电机组的转速,使其保持在额定转速允许偏差内运转,以满足电网对频率质量的要求。
(2)能使水轮发电机组自动或手动快速启动,适应电网负荷的增减,正常停机或紧急停机的需要。
(3)当水轮发电机组在电力系统中并列运行时,调速器能自动承担预定的负荷分配,使各机组能实现经济运行。
(4)能满足转桨式、冲击式水轮机双重协联调节的需要。
142、单项选择题 “中华人民共和国船舶交通管理系统安全监督管理规则”规定,船舶在VTS区域内发生交通事故、污染事故或其他紧急情况时,应通过规定手段()。
A、向VTS中心报告
B、待事故原因查明后向VTS中心报告
C、船长或船舶所有人认为适当时向VTS中心报告
D、立即向VTS中心报告
点击查看答案
本题答案:D
本题解析:暂无解析
143、问答题 对发生振动压力钢管采取哪些有效措施消除振动?
点击查看答案
本题答案:(1)加装刚性环紧箍于管壁外,以改善原来管壁的椭圆度。
本题解析:试题答案(1)加装刚性环紧箍于管壁外,以改善原来管壁的椭圆度。
(2)加装刚性坏后,即改变了钢管的原来自然振动频率,使它与管内水流的压力波频率错开,不形成共振,从而消除振动。
144、单项选择题 在船舶交通研究中,凡一天中见雾(),就作为一个雾日计算。
A、2小时以上
B、二次
C、1小时以上
D、一次
点击查看答案
本题答案:D
本题解析:暂无解析
145、问答题 土石坝边坡稳定分析有哪几种计算情况?各计算情况应考虑哪些力?
点击查看答案
本题答案:对于凝聚性土类组成均质坝坡或非均质坝坡,坝坡的土体的稳定平衡
本题解析:试题答案对于凝聚性土类组成均质坝坡或非均质坝坡,坝坡的土体的稳定平衡状态遭到破坏发生滑坡时,滑裂面为圆柱面,稳定分析方法采用的是简单而实用的条分法,如瑞典圆弧法、毕肖普(B.ishop)法,坝坡稳定安全系数用滑裂面上全部抗滑力矩与滑动力矩之比来定义。无粘性土坝坡或以心墙、斜墙为防渗体的砂砾石坝体,其坝坡的稳定分析,常采用楔体平衡理论(直线法或折线法)。
146、问答题 抗空蚀的主要措施有哪些?简述掺气装置的组成和类型。
点击查看答案
本题答案:抗空蚀的措施:
掺气减蚀、优化体形、控制溢流面的
本题解析:试题答案抗空蚀的措施:
掺气减蚀、优化体形、控制溢流面的平整度、采用抗空蚀材料。
掺气装置的组成:
①掺气空间:低挑坎、跌坎等;
②通气系统:为掺气空间补气。
掺气空间的形式:
①掺气槽式;
②挑坎式;
③跌坎式;
④挑、跌联合式;
⑤挑坎与掺气槽联合式;
⑥跌坎与掺气槽联合式;
⑦突扩式和分流墩式。
147、填空题 土石坝的剖面拟定是指()、()、()、和()。
点击查看答案
本题答案:坝顶高程;宽度;坝坡;基本剖面的拟定
本题解析:试题答案坝顶高程;宽度;坝坡;基本剖面的拟定
148、名词解释 水力劈裂
点击查看答案
本题答案:库水进入裂缝后使其开度增大的现象。
本题解析:试题答案库水进入裂缝后使其开度增大的现象。
149、单项选择题 为了研究碰撞事故发生前的船员瞭望情况及操船和避碰行为,在碰撞事故的资料收集中,应着重收集()等数据。Ⅰ、两船会遇态势;Ⅱ、两船的避让关系;Ⅲ、海图水深;Ⅳ、首次采取的避碰行动及其实施时间或(和)两船间距;Ⅴ、最后采取的行动及其时间;Ⅵ、初见他船的时间和间距;Ⅶ、碰撞时的船位。
A、Ⅰ~Ⅶ
B、Ⅰ~Ⅱ,Ⅳ~Ⅴ
C、Ⅰ~Ⅱ,Ⅳ~Ⅶ
D、Ⅰ~Ⅱ,Ⅳ~Ⅵ
点击查看答案
本题答案:D
本题解析:暂无解析
150、填空题 重力坝按坝体结构形式可分为();();();()。
点击查看答案
本题答案:宽缝重力坝;空腹重力坝;大头坝;实体重力坝
本题解析:试题答案宽缝重力坝;空腹重力坝;大头坝;实体重力坝
151、问答题 简述水闸通常发生渗流的位置和危害。
点击查看答案
本题答案:通常发生渗流的位置:
①闸基;
②边
本题解析:试题答案通常发生渗流的位置:
①闸基;
②边墩背水一侧;
③翼墙背水一侧。
渗流的危害:
⑴降低闸室的抗滑稳定及边墩和翼墙的侧向稳定性;
⑵可能引起闸基的渗透变形,甚至破坏;
⑶损失水量;
⑷使闸基的可溶性物质加速溶解。
152、单项选择题 参加了搜索救助船舶报告系统,能缩短从与船舶失去联络至开始搜救活动的时间。这是因为()。
A、遇难船周围有其来源:91考试网 91eXAm.org他船舶
B、一旦接受不到船位报告,搜索救助中心立即指令他船施救
C、搜索救助中心测到了遇难船信号,便立即指派他船施救
D、船舶遇难前始终保持按时发送了船位报告
点击查看答案
本题答案:D
本题解析:暂无解析
153、问答题 固结灌浆、帷幕灌浆各有什么作用?
点击查看答案
本题答案:固结灌浆可提高基岩的整体性和强度,降低地基的透水性。<
本题解析:试题答案固结灌浆可提高基岩的整体性和强度,降低地基的透水性。
帷幕灌浆可降低渗透水压力,减少渗流量,防止坝基产生机械或化学管涌。
154、问答题 抗滑稳定安全系数若不满足《规范》的要求,有哪些改善稳定的措施?
点击查看答案
本题答案:提高闸室稳定性的措施:
①当基底压力不均匀系
本题解析:试题答案提高闸室稳定性的措施:
①当基底压力不均匀系数过大,可适当调整闸门、公路桥等上部结构的位置。
②当抗滑稳定系数偏小,可以将闸门下移,增加上游水重;加深底板上的齿墙;增加上游铺盖的长度;将铺盖作为阻滑板:满足
式中,
:作用在铺盖上的垂直力。
155、单项选择题 温变荷载对拱坝应力影响是()。
A.温降时对坝体应力有利,温升时对坝肩稳定不利
B.温降时对坝体应力不利,温升时对坝肩稳定不利
C.温降时对坝体应力不利,温升时对坝肩稳定有利
D.温降时对坝体应力有利,温升时对坝肩稳定有利
点击查看答案
本题答案:B
本题解析:暂无解析
156、单项选择题 中国船舶报告系统(CHISREP)规定,2005年后航行于CHISREP区域内()船舶强制加入CHISREP。
A、300总吨及以上的中国籍
B、1600总吨及以上的中国籍
C、300总吨及以上的中国籍船舶,且航行时间超过6h的
D、1600总吨及以上的中国籍船舶,且航行时间超过6h的
点击查看答案
本题答案:C
本题解析:暂无解析
157、问答题 渠系建筑物有哪些特点?
点击查看答案
本题答案:1.数量多,分布广;
2.单个建筑物工程量不
本题解析:试题答案1.数量多,分布广;
2.单个建筑物工程量不大,但总体工程量大;
3.同类建筑物的工作条件相似;
4.布置上受地形影响较大,与群众的生产和生活关系密切。
158、名词解释 输水建筑物
点击查看答案
本题答案:为灌溉发电和供水的需要,从上游向下游输水用的建筑物,如引水隧
本题解析:试题答案为灌溉发电和供水的需要,从上游向下游输水用的建筑物,如引水隧洞、涵洞、渠道、渡槽等。
159、填空题 验算水闸的过流能力时,计算的过流能力与设计流量的差值不得超过()。
点击查看答案
本题答案:±5%
本题解析:试题答案±5%
160、多项选择题 重力坝设置永久横缝是由于()。
A.施工速度快
B.坝体应力小
C.适应温变化
D.适应地基不均匀沉降
点击查看答案
本题答案:C, D
本题解析:暂无解析
161、单项选择题 有压隧洞的出口断面面积应()洞身断面面积。
A、大于
B、等于
C、小于
D、无法确定
点击查看答案
本题答案:C
本题解析:暂无解析
162、判断题 重力坝坝基面倾向上游时,对坝体的抗滑稳定有利。()
点击查看答案
本题答案:对
本题解析:暂无解析
163、名词解释 粘性土截水槽
点击查看答案
本题答案:当覆盖层深度在15m以内时,可开挖深槽直达不透水层或基
本题解析:试题答案当覆盖层深度在15m以内时,可开挖深槽直达不透水层或基岩,槽内回填粘性土而成为截水墙或截水槽。
164、填空题 正确选择防渗体和坝壳材料的干容重,才能达到(),防止出现纵向和水平向裂缝的目的。
点击查看答案
本题答案:减少不均沉降和拱效应
本题解析:试题答案减少不均沉降和拱效应
165、问答题 根据温降内力与水平水压力内力的关系,解释温降对应力不利,温升对应力有利的原因。
点击查看答案
本题答案:温降时:
拱坝的轴线缩短,向下游变位,由此产生的
本题解析:试题答案温降时:
拱坝的轴线缩短,向下游变位,由此产生的剪力、弯矩的方向与水压力产生的剪力、弯矩的方向相同;轴力的方向与水压力产生的方向相反,对坝体应力不利。
温升时:
拱坝的轴线伸长,向上游变位,由此产生的剪力、弯矩的方向与水压力产生的剪力、弯矩的方向相反,轴力的方向与水压力产生的方向相同,对坝肩稳定不利。
温降时:
拱坝的轴线缩短,向下游变位,由此产生的剪力、弯矩的方向与水压力产生的剪力、弯矩的方向相同;轴力的方向与水压力产生的方向相反,对坝体应力不利。
温升时:
拱坝的轴线伸长,向上游变位,由此产生的剪力、弯矩的方向与水压力产生的剪力、弯矩的方向相反,轴力的方向与水压力产生的方向相同,对坝肩稳定不利。
166、单项选择题 船舶交通密度是指一个水域中的(),一般用()表示。
A、某个时段内存在的船舶数,单位时段内的量
B、某个单位时段内的船舶数,单位水域内的量
C、某个时段内通过的船舶数,单位时段内的量
D、某个瞬时存在的船舶数,单位水域内的量
点击查看答案
本题答案:D
本题解析:暂无解析
167、单项选择题 船舶交通流特征参数是指()。Ⅰ、交通流量;Ⅱ、船舶密度;Ⅲ、交通流速度;Ⅳ、船舶轨迹;Ⅴ、船首时距。
A、Ⅰ~Ⅳ
B、Ⅰ、Ⅱ、Ⅲ
C、Ⅲ、Ⅳ、Ⅴ
D、Ⅰ~Ⅴ
点击查看答案
本题答案:B
本题解析:暂无解析
168、填空题 渠道的设计要求较多,如:①有足够的输水能力,以满足()的需要;②有足够的水位,以满足()的要求;③有适宜的流速,以满足()的需要;等等。
点击查看答案
本题答案:灌区;自流灌溉;不冲不淤
本题解析:试题答案灌区;自流灌溉;不冲不淤
169、单项选择题 狭水道碰撞事故中,导致不能及时避让来船的最可能因素是()。
A、判断两船间距失误
B、没看到来船
C、判断风流压失误
D、本船航速太快
点击查看答案
本题答案:A
本题解析:暂无解析
170、填空题 重力坝沿坝基面抗滑稳定分析的公式有:()和()。
点击查看答案
本题答案:抗剪强度公式;抗剪断强度公式
本题解析:试题答案抗剪强度公式;抗剪断强度公式
171、填空题 坝基开挖时,应将()挖除,直至新鲜坚固的基岩面。顺水流方向应开挖成()的锯齿状,垂直于水流方向应开挖成()。
点击查看答案
本题答案:卵石覆盖层、风化破碎的岩层;略向上游倾斜;足够宽度的台阶状
本题解析:试题答案卵石覆盖层、风化破碎的岩层;略向上游倾斜;足够宽度的台阶状
172、填空题 建筑物的作用效应分析方法有:()、()、()。
点击查看答案
本题答案:物理模型;数学模型;经验类比
本题解析:试题答案物理模型;数学模型;经验类比
173、问答题 进水口建筑由哪几部分组成?
点击查看答案
本题答案:进水口建筑一般由喇叭口、拦污栅、检修闸门与工作闸门(也可能设
本题解析:试题答案进水口建筑一般由喇叭口、拦污栅、检修闸门与工作闸门(也可能设在出口处)、平压管、通气孔及渐变段等几部分组成。
174、填空题 为了渲泄规划库容所不能容纳的洪水,防止洪水漫坝失事,确保工程安全,以及满足放空水库和防洪调节等要求,在水利枢纽中一般都设有()。
点击查看答案
本题答案:溢洪道
本题解析:试题答案溢洪道
175、问答题 压力管道发生外压力有几种情况?
点击查看答案
本题答案:(1)当压力管道内的水放空时,因为通气管(阀)的失灵,使压力
本题解析:试题答案(1)当压力管道内的水放空时,因为通气管(阀)的失灵,使压力管道内发生真空现象,管壁外受大气压力的作用,使压力管道转变为承受外压力作用。
(2)埋设于地下的钢管,管内的水放空后管壁外承受地下水或土压力的作用。
(3)埋填于混凝土内的部分管段,施工时承受未硬化的混凝土压力。
(4)灌浆压力。
176、名词解释 喷锚衬砌
点击查看答案
本题答案:是喷混凝土衬砌,喷混凝土与锚杆组合衬砌,喷混凝土、锚杆
本题解析:试题答案是喷混凝土衬砌,喷混凝土与锚杆组合衬砌,喷混凝土、锚杆与钢筋网组合式衬砌等几种衬砌型式的统称。
177、问答题 土石坝填筑料的一般要求是什么?坝壳料的基本要求是什么?
点击查看答案
本题答案:土石坝填筑料的一般要求:
⑴具有与使用目的相适应
本题解析:试题答案土石坝填筑料的一般要求:
⑴具有与使用目的相适应的工程性质:防渗料具有足够的防渗性能,坝壳料具有较高的强度,反滤、过渡料等具有良好排水性能;
⑵土石料的工程性质在长时期内保持稳定:不风化,不浸蚀等;
⑶具有良好的压实性能:防渗体可降到最优含水量,无影响压实的超径材料,压实后承载力高,施工机械可正常运行。
坝壳料的基本要求:
⑴保持坝体的稳定,故需要较高的强度;
⑵坝体水位下的筑料需良好的排水性能;如砂、砾石、卵石、漂石、碎石等。
178、问答题 当采用混凝土铺盖时,应如何计算作用水闸上的上游水平水压力?并绘图表示。
点击查看答案
本题答案:止水片以上仍按静水压力计算,以下按梯形分布,d点取该点
本题解析:试题答案止水片以上仍按静水压力计算,以下按梯形分布,d点取该点的扬压力值,止水片底面c点的水压力等于该点的浮托力加e点处的渗透压力,即认为c、e点间无渗透水头损失。

179、单项选择题 根据IMO的“VTS指南”,船舶在使用VHF进行船岸之间、船船之间通信时,可以使用()。①报告者方言;②当地官方语言;③英语;④双方都能听懂的语言
A、①~③
B、②、③
C、①、③、④
D、②~④
点击查看答案
本题答案:D
本题解析:暂无解析
180、填空题 给水工程通常由取水工程,给水处理工程和()工程组成。
点击查看答案
本题答案:输配水
本题解析:试题答案输配水
181、问答题 何种闸基不需要沉降验算?需验算采用什么方法?
点击查看答案
本题答案:卵石、砾石、中砂、细砂地基可不进行沉降验算。需验算采用
本题解析:试题答案卵石、砾石、中砂、细砂地基可不进行沉降验算。需验算采用时常分层总和法。
182、单项选择题 AIS所接收到的某船信息可能并不完整,这是因为()。
A、周围有明礁的存在,不能接收得其后面船的AIS信息
B、该船未安装或未连接传感器或传感器(如陀螺仪)无法提供数据
C、周围有船舶可能临时关闭或未开启AIS
D、本船的AIS性能欠佳
点击查看答案
本题答案:B
本题解析:暂无解析
183、问答题 溢洪道的类型()
点击查看答案
本题答案:按其位置不同分为河床式和岸边式两种类型。1河床溢洪道:
本题解析:试题答案按其位置不同分为河床式和岸边式两种类型。1河床溢洪道:在砼和浆砌石坝枢纽中,利用建在原河床内溢流坝段泄洪,该溢流坝即为河床式溢洪道。2河岸溢洪道:当坝型不宜从坝体溢流或溢流坝的溢流长度不能满足泄洪要求时,需在坝体外的河谷两岸适当位置单独设溢洪道。河岸溢洪道分为正槽溢洪道和侧槽溢洪道。
184、单项选择题 防渗体的厚度由()。
A.防渗体的允许渗透坡降和防渗体的上下游水头差之比确定;
B.防渗体的高度和防渗体的允许渗透坡降之比确定;
C.防渗体的上下游水头差和防渗体的允许渗透坡降之比确定;
D.防渗体的渗透系数和防渗体的允许渗透坡降之比确定。
点击查看答案
本题答案:C
本题解析:暂无解析
185、问答题 对于粘性土地基和砂性土地基地下轮廓的布置有何不同?
点击查看答案
本题答案:优点:
弧形与平面比较,主要优点是启门力小,可以
本题解析:试题答案优点:
弧形与平面比较,主要优点是启门力小,可以封闭相当大面积的孔口,无影响水流态的门槽,闸敦厚度较薄,机架桥的高度较低,埋件小。
缺点:
需要的闸墩较长,不能提出孔口以外进行检修维护,也不能在孔口之间互换,总水压力集中于支铰处,闸墩受力复杂。
186、问答题 详述泄水重力坝消能工的主要形式和原理?
点击查看答案
本题答案:泄水重力坝消能工的主要形式:
①底流消能; <
本题解析:试题答案泄水重力坝消能工的主要形式:
①底流消能;
②挑流消能;
③面流消能;
④消力戽消能。
底流消能的原理:
①通过水跃将急流转变为缓流而消能;
②主要靠水跃产生的表面旋滚与底流间的强烈紊动、剪切和掺混消能。
挑流消能的原理:
利用泄流建筑物出口处设置的挑流鼻坎,将急流挑向空中,再落入离建筑物较远的下游河道。主要靠急流沿固体边界摩擦而耗能,射流在空中与空气摩擦、掺气和扩散等耗能,射流落入尾水中淹没紊动扩散耗能。
面流消能的原理:
利用鼻坎将急流挑至水面,在主流下面形成旋滚而消能。
消力戽消能的原理:
急流进入潜在水下的戽内发生旋滚,经大量消能后由鼻坎挑向下游水面。
187、填空题 拱坝遇到温升对()不利;温降对()不利。
点击查看答案
本题答案:坝肩岩体稳定;坝体应力
本题解析:试题答案坝肩岩体稳定;坝体应力
188、填空题 通气孔的上端进口不允许设在()内,自由通气孔的上端进口应高于上游()。
点击查看答案
本题答案:闸门启闭室;最高水位
本题解析:试题答案闸门启闭室;最高水位
189、问答题 水工混凝土一般应满足哪些性能的要求?其材料组成有哪几种?
点击查看答案
本题答案:满足的性能:
强度、抗渗、抗冻、抗冲刷、抗侵蚀、
本题解析:试题答案满足的性能:
强度、抗渗、抗冻、抗冲刷、抗侵蚀、抗裂等性能。
采用组成:
水泥、掺合剂、外加剂、粗骨料、细骨料、水。
190、单项选择题 根据船舶交通工程学知识,当发现一个水域的船舶有拥挤现象时,船舶()。
A、应以能维持舵效的速度航行
B、以自由速度的二分之一速度航行
C、以小于自由速度的二分之一速度航行
D、以大于自由速度的二分之一速度航行
点击查看答案
本题答案:C
本题解析:暂无解析
191、判断题 土石坝坝体失稳,与重力坝一样,都发生沿坝基的整体滑动。()
点击查看答案
本题答案:错
本题解析:暂无解析
192、问答题 详述土石坝的分类情况。
点击查看答案
本题答案:主要按坝高、施工方法、土料配置和防渗材料三种方式分: 本题解析:试题答案主要按坝高、施工方法、土料配置和防渗材料三种方式分:
㈠按坝高分
⑴低坝:坝高<30m;
⑵中坝:坝高=30~70m;
⑶高坝:坝高>70m。
㈡按施工方法分:
⑴碾压式土石坝;
⑵冲填式土石坝;
⑶水中填土坝;
⑷定向爆破堆石坝。
㈢按土料配置和防渗体材料分,将碾压土石坝分为:
⑴均质坝:稳定和防渗均采用一种土料
⑵土质心墙坝:由不透水土料中央防渗体和透水土料坝壳组成
⑶土质斜墙坝:由不透水土料防渗体和下游透水土料支撑体组成
⑷多种土质坝:由多种土料组成
⑸人工材料心墙坝:以沥青砼、砼等为心墙的坝
⑹人工材料面板坝:由沥青砼、砼、塑料薄膜等为防渗面板的土石坝
193、单项选择题 葛州坝水水电站装机是:()
(A)270.5万千瓦,居世界第18位;
(B)271.5万千瓦,居世 界第18位;
(C)71.5万千瓦,居世界第28位;
(D)271.5万千瓦,居世界第8位。
点击查看答案
本题答案:B
本题解析:暂无解析
194、填空题 河岸式泄水建筑物可分为河岸()和()两大类,河岸溢洪道主要分为()、()、竖井式溢洪道、倒吸式溢洪道四大类。
点击查看答案
本题答案:溢洪道;泄水遂洞;正槽式溢洪道;侧槽式溢洪道
本题解析:试题答案溢洪道;泄水遂洞;正槽式溢洪道;侧槽式溢洪道
195、单项选择题 根据《中国船舶报告系统管理规定》,加入CHISREP(中国船舶报告系统)的船舶应当按照()中规定的报告方式、种类、格式、内容和要求进行报告。
A、《中国船舶报告系统管理规定》
B、《中国船舶报告系统船长指南》
C、IMO的《船舶报告系统的一般原则》
D、《中华人民共和国船舶交通管理系统安全监督管理规则》
点击查看答案
本题答案:B
本题解析:暂无解析
196、问答题 下游翼墙的扩散角应满足什么要求?
点击查看答案
本题答案:1)下游翼墙的扩散角应使出闸水流均匀扩散,不产生折冲水流;
本题解析:试题答案1)下游翼墙的扩散角应使出闸水流均匀扩散,不产生折冲水流;
2)若扩散角过小,水流扩散不充分,导致水流的单宽流量大,对消能不利;若扩散角过大,易产生折冲水流,容易对下游造成冲刷。一般取扩散角不大于7~12°。
197、判断题 重力坝的剖面尺寸大,与地基接触面积大,材料的强度能充分发挥。()
点击查看答案
本题答案:错
本题解析:暂无解析
198、判断题 一般情况下,温降对拱坝坝体应力有利。()
点击查看答案
本题答案:错
本题解析:暂无解析
199、填空题 重力坝按其结构形式分类可分为:(),(),()。
点击查看答案
本题答案:实体重力坝;宽缝重力坝;空腹重力坝
本题解析:试题答案实体重力坝;宽缝重力坝;空腹重力坝
200、判断题 水闸闸室的稳定计算方法与重力坝相同均是取一米单宽作为荷载计算单元。()
点击查看答案
本题答案:错
本题解析:暂无解析
题库试看结束后
微信扫下方二维码即可打包下载完整版《★水利工程》题库
手机用户可保存上方二维码到手机中,在微信扫一扫中右上角选择“从相册选取二维码”即可。
题库试看结束后微信扫下方二维码即可打包下载完整版《水利工程:水工建筑物》题库,分栏、分答案解析排版、小字体方便打印背记!经广大会员朋友实战检验,此方法考试通过率大大提高!绝对是您考试过关的不二利器!
手机用户可保存上方二维码到手机中,在微信扫一扫中右上角选择“从相册选取二维码”即可。
微信搜索关注"91考试网"公众号,领30元,获取公务员事业编教师考试资料40G