时间:2017-11-29 06:52:38


1、问答题 计算题:试计算总压力为101.33KPa、20℃下,湿度为0.01Kg/Kg的湿空气的水汽分压和以质量流量为1.5Kg/s进入风机时的体积流量,m3/s。
2、单项选择题 丙烯贮罐上的远传液位计一般采用()测量液位。
A、双法兰差压式液位计
B、浮桶液位计
C、核料位计
D、射频
3、单项选择题 凝液罐的水泵采用是()。
A、离心泵
B、多极离心泵
C、往复泵
D、螺杆泵
4、多项选择题 下列选项中,属于螺旋输送器的组成的是()。
A、电机
B、筒体
C、活塞
D、螺带
5、多项选择题 如果主催化剂中断,进料在1小时内不能恢复,则()。
A、继续氢气进料
B、继续三乙基铝进料
C、继续给电子体进料
D、继续丙烯进料
6、单项选择题 装置TEAL管线一般用()升压做管线强度试验。
A、氮气
B、油
C、TEAL
D、水
7、问答题 如何准备教案?
8、单项选择题 挤压机的进料段为()过程,挤出段为()过程。
A、吸热、吸热
B、放热、放热
C、放热、吸热
D、吸热、放热
9、多项选择题 主催化剂加入到环管反应器过程中,会使()等设备温度变化。
A、预接触罐
B、预聚合反应器
C、环管反应器
D、反应器缓冲罐
10、单项选择题 闪蒸管线采用采用()加热.
A、热水套管
B、电
C、蒸汽套管
D、不需要
11、单项选择题 聚丙烯工艺使用三氯化钛催化剂的结晶形态有()种。
A、1
B、2
C、3
D、4
12、单项选择题 DCS画面中一台泵的颜色为绿色,说明泵()。
A、运行
B、停止
C、中间状态
D、电源线拆除设备准备检修
13、单项选择题 ()是集散系统的人-机接口装置。
A、过程控制单元
B、过程接口单元
C、CRT操作站
D、管理计算机
14、多项选择题 装置紧急停车联锁启动后,可使闪蒸系统()等联锁启动。
A、切断至脱气单元冲洗流联锁
B、切断至丙烯洗涤塔循环泵进料联锁
C、切断至丙烯进料泵丙烯联锁
D、切断至丙烯蒸发器丙烯联锁
15、单项选择题 对在储存丙烯爆炸危险场所的作业,下列叙述正确的是()。
A、禁止在此爆炸危险场所穿脱衣服、摘帽子、梳头,禁止使用产生火花的工具作业
B、禁止在此爆炸危险场所穿脱衣服、摘帽子、允许梳头,禁止使用产生火花的工具作业
C、禁止在此爆炸危险场所穿脱衣服、摘帽子、梳头,允许10米外打手机,禁止使用产生火花的工具作业
D、禁止在此爆炸危险场所穿脱衣服、允许摘帽子、梳头,禁止使用产生火花的工具作业
16、单项选择题 聚丙烯工艺使用三氯化钛催化剂的结晶形态有()种。
A、1
B、2
C、3
D、4
17、单项选择题 在负荷一定条件下,增大剪切力的方法是()。
A、降低筒体温度
B、提高负荷
C、升高筒体温度
D、增大间隙
18、单项选择题 环管反应器温度高会导致反应器密度()。
A、不变
B、降低
C、升高
D、先降低后升高
19、问答题 试分析汽蒸罐压力高的原因。
20、单项选择题 丙烯贮罐压力到()MPa时会触发联锁动作.
A、1.5
B、1.8
C、2.0
D、2.2
21、问答题 作为稳定剂用的化合物有哪些特性?
22、单项选择题 聚丙烯的熔融指数控制可以通过改变()。
A、进入聚合反应器的氢气
B、三乙基铝加入量
C、环管反应器压力
D、聚合物等规度
23、单项选择题 环管反应器进丙烯时,可通过()判断环管已充满丙烯。
A、密度计有显示
B、环管压力升高
C、环管温度降低
D、环管顶部排放阀后测温点温度显示迅速降至零度以下
24、单项选择题 装置丙烯流程建立的顺序是()。①环管充满丙烯②高压循环建立③低压循环建立④丙烯贮罐进丙烯,建立小循环
A、①②③④
B、④③①②
C、④①②③
D、④②③①
25、多项选择题 环管反应器密度异常升高的原因()。
A、催化剂加入过量
B、密度计自身故障
C、三乙基铝加入过量
D、环管丙烯加入量不足
26、问答题 聚丙烯出现产品质量问题,客户投诉后的检查处理程序是什么?
27、单项选择题 换网器的过滤网安装在增压或节流设备和()之间对树脂进行过滤,以除去外界杂质,从而提高产品质量。
A、螺杆
B、开车阀
C、模头
D、切粒机
28、单项选择题 液相釜搅拌突然停止后不应采取的措施是()。
A、检查机械故障
B、降低循环气量
C、加大循环气量
D、重新启动时应注意防止过载
29、多项选择题 装置紧急停车联锁启动后,可使闪蒸系统()等联锁启动。
A、切断至脱气单元冲洗流联锁
B、切断至丙烯洗涤塔循环泵进料联锁
C、切断至丙烯进料泵丙烯联锁
D、切断至丙烯蒸发器丙烯联锁
30、单项选择题 环管反应器的淤浆密度在560Kg/m3,则反应器每升丙烯中有()克聚丙烯。
A、380-400
B、400-420
C、420-440
D、440-460
31、问答题 请简述造粒后颗粒熔融指数增加的处理方法。
32、问答题 技术革新成果的主要内容是什么?
33、单项选择题 均化料仓的材质采用的是().
A、不锈钢
B、铝镁合金
C、碳钢
D、低温碳钢
34、多项选择题 下列选项中,能使主催化剂活性降低的是()。
A、原料丙烯中水含量超标
B、氢气中一氧化碳和二氧化碳含量超标
C、给电子体加入量过少
D、三乙基铝加入量过少
35、单项选择题 预聚合反应器的丙烯进料温度为()℃。
A、5
B、10
C、15
D、20
36、多项选择题 螺旋输送器的物料输送方向有()。
A、一端进料,另一端卸料
B、两端进料,中间卸 料
C、中间进料,两端卸料
D、以上答案均不正确
37、多项选择题 环管反应器密度异常升高的原因()。
A、催化剂加入过量
B、密度计自身故障
C、三乙基铝加入过量
D、环管丙烯加入量不足
38、多项选择题 当预聚合反应器温度异常升高而采取的紧急停工处理,应()。
A、关闭预聚合反应器丙烯进料阀
B、关闭小轴流泵冲洗丙烯阀
C、关闭预接触罐出料阀
D、关闭大小环管反应器连通阀
39、多项选择题 搅拌器的()会造成机械密封泄漏。
A、轴承损坏
B、密封N2压力低
C、偏磨
D、反应器液位过高
40、单项选择题 均化料仓的材质采用的是().
A、不锈钢
B、铝镁合金
C、碳钢
D、低温碳钢
41、问答题 分散型控制系统的顺序控制功能是什么?
42、多项选择题 当聚丙烯装置紧急停工时,聚合系统应采取的措施有()。
A、环管反应器出料切至排放
B、大、小轴流泵进行盘车
C、环管反应器排空
D、预聚合反应器排空
43、多项选择题 粉料输送系统的设备包括()。
A、增压风机
B、输送风机
C、旋转下料阀
D、冷却器
44、单项选择题 TEAL区域的油罐伴热一般采用()。
A、热水伴热
B、电伴热
C、蒸汽伴热
D、不需要伴热
45、多项选择题 汽蒸罐在更换搅拌器填料时应具备的条件是()。
A、汽蒸罐压力卸净
B、蒸汽停
C、密封油罐润滑油卸净
D、汽蒸罐物料排净
46、单项选择题 置低压蒸汽管线吹扫时可直接用()吹扫。
A、氮气
B、工业风
C、高压氮气
D、蒸汽
47、单项选择题 在装置内所有管线和设备已经氮气置换合格后,在装置中火炬系统停车过程中,下列具体的操作步骤是()。①关闭火炬总管处手阀;②打开第一、二排放罐顶部放空阀;③确认夹套、汽蒸蒸汽已经停止,关闭氮封手阀;④在界区火炬总管处加盲板。
A、①②③④
B、②①③④
C、③④①②
D、④③②①
48、多项选择题 在装置中对火炬系统加盲板前,应进行确认和进行操作的内容是()。
A、装置内所有管线和设备已经氮气置换合格
B、对火炬系统进行采样分析,可燃气体含量
C、各火炬罐液位已经排空
D、夹套和汽蒸已经关闭
49、单项选择题 小轴流泵的设计冲洗丙烯流量控制在()Kg/h。
A、300
B、350
C、400
D、450
50、问答题 请简述废油罐废油的处理步骤。
51、多项选择题 催化剂预接触罐搅拌器损坏,无法进行修复,必须检修进行处理,下列采取措施正确的是()。
A、停止主催化剂进料
B、停止三乙基铝进料
C、停止给电子体进料
D、用矿物质烃油冲洗预接触罐和在线混合器
52、多项选择题 客户对某批产品有异议时应做的检查有()。
A、该产品的生产控制过程中的粉料数据进行复查
B、对该产品的原料数据进行复查
C、对该产品的粒料数据进行复查
D、对该产品的全分析留样进行复查
53、多项选择题 在废油处理过程中,启动搅拌器的作用是()。
A、传质,使其反应充分
B、传热,使其反应热尽快散发
C、降低失活剂的效率
D、缩短失活反应时间
54、多项选择题 下列选项中,会对聚合反应速率产生影响的是()。
A、催化剂的浓度
B、聚合单体的浓度
C、聚合温度
D、聚合时间
55、单项选择题 聚丙烯装置生产过程中要产生一定量含有三乙基铝的废油,采用失活剂与三乙基铝进行反应,生成稳定的络合物,失活剂主要成分是()。
A、叔胺
B、伯胺
C、仲胺
D、醚
56、多项选择题 现在常用的工业计量秤的核心器件是称重传感器,可分为()等。
A、电阻应变式
B、差动变压器式
C、电容式
D、压电式
57、问答题 请简述当装置引循环水时的主要操作过程。
58、多项选择题 聚丙烯装置的排放罐的材质一般可用()。
A、低温碳钢
B、普通碳钢
C、不锈钢
D、碳钢
59、单项选择题 聚丙烯产品的灰分指()。
A、聚丙烯产品中Al的含量
B、聚丙烯产品中Mg的含量
C、聚丙烯产品中Si的含量
D、聚丙烯完全燃烧后的剩余物重
60、单项选择题 环管反应器夹套水流量计显示波动大,可能原因有()。
A、夹套进气
B、流量计堵
C、反应波动大
D、夹套水泵故障
61、单项选择题 丙烯贮罐上的远传液位计一般采用()测量液位。
A、双法兰差压式液位计
B、浮桶液位计
C、核料位计
D、射频
62、多项选择题 丙烯进料泵一般可采用()。
A、离心泵
B、高速离心泵
C、多级离心泵
D、往复泵
63、多项选择题 循环气过滤器与汽蒸罐压差低可能的原因是()。
A、循环气过滤器液位低
B、汽蒸罐压力高
C、汽蒸罐液位低
D、汽蒸罐液位高
64、多项选择题 挤压机里的物料是通过()达到熔融状态的。
A、螺杆的高速旋转
B、筒体的高温加热
C、螺杆的挤压搅拌
D、以上答案都正确
65、问答题 计算题:预聚合反应器丙烯进料量3000Kg/h,进料丙烯温度为10℃,已知10℃时丙烯密度是530Kg/m3,丙烯进料管线管径是1英寸,试计算管线中进料丙烯的流速。
66、单项选择题 关于循环气压缩机试运介质,下列说法正确的是()。
A、只可使用循环气试运
B、只可使用氮气试运
C、循环气或氮气均可试运
D、不可以使用氮气试运
67、单项选择题 关于欧姆定律的说法,下列表述正确的是()。
A、在直流电路中,欧姆定律是阐明电阻上电压和电流的关系的定律
B、在欧姆定律中,电压与电流成反比
C、在欧姆定律中,电流与电阻成正比
D、在欧姆定律中,电压与电阻成反比
68、单项选择题 液相釜搅拌突然停止后不应采取的措施是()。
A、检查机械故障
B、降低循环气量
C、加大循环气量
D、重新启动时应注意防止过载
69、单项选择题 需要对丙烯保护过滤器滤芯进行更换,在正常停车过程中,下列操作步骤正确的是()。①关闭安全阀前后手阀;②关闭安全过滤器进出口手阀;③打开顶部和低部排放阀,烯排空;④接好氮气进行置换,合格后加盲板;⑤打开氮气接口处手阀,对其卸压。
A、①②③④⑤
B、②③①④⑤
C、③④①⑤②
D、④③②①⑤
70、多项选择题 闪蒸罐在更换动力分离器密封时应具备的条件是()。
A、闪蒸罐压力卸净
B、冷却水停
C、停密封油系统
D、闪蒸罐物料排净
71、多项选择题 汽蒸罐架桥的可能原因有()。
A、给电子体加入量不足,聚合物等规度低,物料粘
B、汽蒸罐料位控制高
C、汽蒸罐料位控制低
D、汽蒸罐出料阀故障,下料不畅
72、多项选择题 循环气过滤器与汽蒸罐压差低可能的原因是()。
A、循环气过滤器液位低
B、汽蒸罐压力高
C、汽蒸罐液位低
D、汽蒸罐液位高
73、单项选择题 小轴流泵的设计冲洗丙烯流量控制在()Kg/h。
A、300
B、350
C、400
D、450
74、多项选择题 当环管反应器温度异常升高,则必须采取的措施是()。
A、停止三种催化剂进料
B、紧急向聚合系统加入CO阻聚剂
C、手动开大环管反应器的夹套水阀门
D、停止氢气进料
75、问答题 请简述均化的原理。
76、多项选择题 客户对某批产品有异议时应做的检查有()。
A、该产品的生产控制过程中的粉料数据进行复查
B、对该产品的原料数据进行复查
C、对该产品的粒料数据进行复查
D、对该产品的全分析留样进行复查
77、多项选择题 关于轴流泵机械密封,下列说法正确的是()
A、机械密封包括动环和静环
B、机械密封需要连续的冲洗液
C、机封必须不能有一点泄漏,否则,要马上更换
D、机械密封冲洗液必须洁净,不留任何能够造成磨损的物质
78、问答题 转动设备在首次开车前应进行哪些调试?
79、多项选择题 当仪表风压力过低时,闪蒸系统应采取的措施有()。
A、将闪蒸罐进料切至排放
B、循环气过滤器进料切排放
C、将闪蒸罐、汽蒸罐、干燥器、循环过滤器排空
D、开大高压丙烯循环塔底部排放阀
80、单项选择题 大轴流泵的设计冲洗丙烯流量控制在()Kg/h。
A、750
B、800
C、850
D、900
81、单项选择题 物料的挤出成型过程是在()下进行的。
A、玻璃态
B、高弹态
C、粘流态
D、液态
82、单项选择题 废油罐的夹套冷却水采用()冷却。
A、循环水
B、环管反应器夹套水
C、冷冻水
D、新水
83、问答题 技术改造申请书的主要内容是什么?
84、多项选择题 聚丙烯装置生产过程中要产生一定量含有三乙基铝的废油,目前广泛采用的处理方法是()。
A、向废油中加入洛合剂
B、向废油中通入工业风
C、向废油中通入一定水
D、加入大量的烃油进行稀释
85、多项选择题 汽蒸罐在更换搅拌器填料时应具备的条件是()。
A、汽蒸罐压力卸净
B、蒸汽停
C、密封油罐润滑油卸净
D、汽蒸罐物料排净
86、多项选择题 DCS主电源和备用电源同时停电,则必须采取的措施是()。
A、将预聚合反应器排空
B、向环管反应器加入CO阻聚剂
C、将环管反应器排空
D、对环管反应器和预聚合反应器循环泵进行盘车
87、问答题 技术革新的目的是什么?
88、单项选择题 ()是集散系统的人-机接口装置。
A、过程控制单元
B、过程接口单元
C、CRT操作站
D、管理计算机
89、单项选择题 如果70℃时环管反应器密度是560kg/m时,则环管中聚合物的重量分率是()。
A、45%
B、50%
C、51%
D、55%
90、多项选择题 当环管反应器温度异常升高而采取的紧急措施中,应关闭的阀门有()。
A、大小环管反应器连接阀
B、氢气进料阀
C、预聚合反应器进料阀
D、乙烯进料阀
91、多项选择题 在干燥过程的物料衡算中,可以通过()来计算干燥产品流量。
A、湿物料中绝干物料的流量
B、湿物料的流量
C、干燥前的湿基含水量
D、干燥后的湿基含水量
92、单项选择题 装置采用的集中分散控制系统通常简称为()。
A、DCS
B、UPS
C、PLC
D、ESD
93、多项选择题 凝液系统停车过程中,出现凝液罐超温,液位波动大,下列处理正确的是()。
A、加大进入凝液罐氮气量
B、加大脱盐水补水量
C、关闭凝液罐氮封
D、加大凝液回流量
94、单项选择题 丙烯贮罐压力一般控制在()MPa。
A、1.0
B、1.5
C、1.6
D、1.7~1.9
95、多项选择题 当聚丙烯装置紧急停工时,闪蒸系统应采取的措施是()。
A、将闪蒸罐进料切至排放
B、循环气过滤器进料切排放
C、将闪蒸罐、汽蒸罐、干燥器、循环过滤器排空
D、开大高压丙烯循环塔底部排放阀
96、多项选择题 配制催化剂时用到的公用工程有()。
A、氮气
B、仪表风
C、蒸汽
D、冷冻水
97、多项选择题 关于轴流泵增压活塞,下列说法正确是()。
A、投用增压活塞必须将夹带的空气全部放掉
B、投用增压活塞不必将夹带的空气放掉
C、当给活塞缸补油时,要将活塞杆擦净,以免有杂物划伤活塞杆密封
D、当给活塞缸补油时,不必将活塞杆擦净
98、单项选择题 DCS屏幕画面上的CAS表示()控制模式。
A、串级
B、手动
C、自动
D、程序控制
99、单项选择题 目前在环管工艺聚丙烯装置中用来测量环管反应器密度的是()。
A、銫137
B、钴60
C、镭
D、铀235
100、单项选择题 环管反应器正常停车过程中,首先要进行的操作步骤是()。
A、停止氢气进料
B、停止三乙基铝和给电子体进料
C、停止催化剂进料
D、停止丙烯进料
101、单项选择题 下列()情况会造成搅拌器机械密封泄漏。
A、反应器液位高
B、缺油
C、搅拌器低速
D、搅拌器高速
102、单项选择题 大环管反应器在低压法操作时顶部的安全阀定压是()MPa。
A、3.65
B、3.75
C、3.85
D、3.95
103、多项选择题 闪蒸罐出现挂壁、架桥情况可能的原因是()。
A、给电子体加入量不足
B、催化剂活性寿命长,活性后移
C、闪蒸罐动力分离器密封泄露
D、闪蒸罐出料阀故障
104、多项选择题 启动循环气压缩机后,曲轴箱压力上升幅度大的原因主要是()。
A、活塞杆填料环磨损严重造成气体泄漏过多
B、一级排气阀故障
C、从活塞杆填料来的泄漏气返回线堵
D、二级排气阀故障
105、多项选择题 环管反应生产过程,当环管反应器轴流泵突然停止运转,则应采取的措施是()。
A、环管密度下降
B、环管夹套水温度升高
C、夹套水冷却器冷却水流量减少
D、产品等规度降低
106、单项选择题 关于第一液相釜超温时的处理步骤,下列操作正确的是()。
A、停催化剂、放空、注入CO、加大丙烯进料量
B、停催化剂、加大丙烯进料量、放空、注入CO
C、停催化剂、注入CO、放空、加大丙烯进料量
D、停催化剂、加大丙烯进料量、注入CO、放空
107、单项选择题 环管反应器密度计的测量范围一般在()kg/m。
A、100~1000
B、200~800
C、300~700
D、400~700
108、多项选择题 放射性计量秤主要由()等几部分组成。
A、r射线放射源
B、皮带支架
C、射线探测器-长电离室
D、主机系统
109、多项选择题 应用柏努利方程解题时,应注意的事项有()。
A、选取截面
B、确定基准面
C、压力
D、外加能量
110、多项选择题 湿空气的焓可以通过()来计算。
A、湿物料的温度
B、干基含水量
C、绝干料的平均比热容
D、液态水的平均比热容
111、多项选择题 装置紧急停车联锁启动后,可使聚合系统()等联锁启动。
A、环管反应器紧急停车联锁
B、环管反应器底部紧来源:91考试网 91exam.org急出料联锁
C、紧急向环管反应器注入阻聚剂联锁
D、至三乙基铝计量罐进料联锁
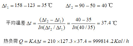
112、问答题 计算题:已知:某换热器热流入口温度158℃,出口温度90℃,冷流入口温度50℃,出口温度123℃,换热器换热面积为127.3㎡,传热系数为210Kcal/m2.h.℃,求该换热器的热负荷。
113、单项选择题 &nb sp;装置给电子体管线一般用()升压做管线强度试验。
A、氮气
B、水
C、给电子体
D、油
114、多项选择题   ;凝液罐的现场液位计一般采用()。
A、玻璃板液位计
B、磁浮子翻板液位计
C、双色玻璃板液位计
D、浮球液位计
115、单项选择题 挤压机组的螺杆轴装配入齿轮箱的轴承内,并由安装在齿轮箱上的()加以密封。
A、机械密封
B、迷宫密封
C、填料密封
D、浮环密封
116、单项选择题 DCS屏幕画面上的AUTO表示()控制模式。
A、串级
B、手动
C、自动
D、程序控制
117、问答题 转动设备在试车过程中应注意哪些事项?
118、单项选择题 造成凝液泵汽蚀的原因有()。
A、凝液罐液位高
B、凝液温度低
C、凝液温度高
D、凝液罐氮封量太大
119、单项选择题 装置氮气管线一般用()升压作管线强度试验。
A、氮气
B、水
C、高压氮气
D、油
120、问答题 切粒机进刀油压波动如何处理?
121、单项选择题 凝液罐的补水采用是()。
A、循环水
B、冷冻水
C、脱盐水
D、新水
122、单项选择题 DCS屏幕画面上的AUTO表示()控制模式。
A、串级
B、手动
C、自动
D、程序控制
123、单项选择题 DCS画面中一台泵的颜色为红色时,说明泵()。
A、运行
B、停止
C、中间状态
D、电源线拆除设备准备检修
124、多项选择题 某台测温仪表的测温范围是0~1000℃。根据工艺要求,温度指示值的误差不允许超过7℃,则应选择精度等级为()的仪表来测量才满足要求。
A、0.1
B、0.5
C、0.7
D、1.0
125、多项选择题 引起环管反应器温度异常的因素有()。
A、催化剂进料速度过快或氢气进料速过快
B、轴流泵异常,引起反应器内浆料不均
C、环管反应器夹套水循环量不足
D、夹套水冷却器故障
126、多项选择题 加入干燥系统的总热量,其主要用途是()。
A、加热空气
B、蒸发物料中的水分
C、加热物料
D、补偿周围热损失
127、多项选择题 能造成汽蒸罐压力高的原因有()。
A、循环气过滤器液位低
B、循环气过滤器出料阀开度大
C、汽蒸罐系统排放管线不畅
D、汽蒸废气压缩机停或能力不足
128、单项选择题 关于调节器的正反作用,下列说法错误的是()。
A、其目的是为了使调节器、调节阀、对象三个环节组合起来,在控制系统中实现负反馈作用
B、在复杂控制系统中,各调节器的正反作用不一定相同
C、操纵变量增加,被控变量也增加的称为“正作用”调节器
D、调节器的输出信号随偏差的增加而增加的称为“正作用”调节器
129、单项选择题 环管反应器的淤浆密度在560Kg/m3,则反应器每升丙烯中有()克聚丙烯。
A、380-400
B、400-420
C、420-440
D、440-460
130、单项选择题 下列()情况会造成搅拌器机械密封泄漏。
A、反应器液位高
B、缺油
C、搅拌器低速
D、搅拌器高速
131、单项选择题 凝液罐的顶部排大气的管线上设有()。
A、板式换热器
B、固定管板式换热器
C、冷却水套管
D、浮头式换热器
132、多项选择题 正常生产过程中,造粒进行负荷调整的依据是()。
A、根据粉末料仓料位高低
B、根据粉料熔融指数
C、根据上一时间的颗粒熔融指数
D、根据等规度
133、问答题 请简述从第一低压排放罐放空聚合物的操作步骤。
134、单项选择题 挤压机主电机采用的电压是()伏。
A、380
B、220
C、6000
D、110
135、多项选择题 环管反应器反应温度低会导致()。
A、高含量的无规物
B、高含量的等规物
C、催化剂活性降低
D、催化剂活性提高
136、问答题 请简述聚丙烯装置的排放系统的投用步骤。
137、问答题 在联锁正常的情况下,造成三通阀(HV301)切排放的原因有哪些?
138、多项选择题 废油处理罐里的设备有()。
A、氮气分布器
B、搅拌器
C、冷却器
D、泵
139、多项选择题 环管反应器内有气相空间时会造()。
A、轴流泵功率波动
B、环管内物料循环效果差
C、反应器压力波动
D、反应器出料波动
140、单项选择题 关于第一液相釜超温时的处理步骤,下列操作正确的是()。
A、停催化剂、放空、注入CO、加大丙烯进料量
B、停催化剂、加大丙烯进料量、放空、注入CO
C、停催化剂、注入CO、放空、加大丙烯进料量
D、停催化剂、加大丙烯进料量、注入CO、放空
141、问答题 管道布置图绘制内容包括?
142、单项选择题 熔点低于100℃的添加剂有()。
A、Cast
B、GMS
C、二氧化硅
D、1010
143、多项选择题 如果预聚合反应器压力超高,联锁启动后会导致()。
A、停预聚合反应器循环泵
B、引发联锁停止三剂进料
C、停止预聚合反应器丙烯进料和小轴流泵密封冲洗丙烯
D、关闭大小环管连接阀并打开预聚合反应器底部去排放的阀
144、多项选择题 装置紧急停车联锁启动后,可使聚合系统()等联锁启动。
A、环管反应器紧急停车联锁
B、环管反应器底部紧急出料联锁
C、紧急向环管反应器注入阻聚剂联锁
D、至三乙基铝计量罐进料联锁
145、问答题 环管轴流泵开车后功率消耗过大的原因主要有哪些?
146、多项选择题 聚丙烯装置的排放罐的材质一般可用()。
A、低温碳钢
B、普通碳钢
C、不锈钢
D、碳钢
147、多项选择题 以下可造成粉料罗茨风机无法启动的原因是()。
A、工艺气入口压力低
B、电机未送电
C、出口阀未开造成憋压
D、润滑油位不足
148、多项选择题 在装置中火炬系统停车过程中,第二低压排放罐进行处理的具体步骤有()。
A、确认夹套蒸汽、汽蒸是否投用
B、关闭同旋风分离器相连阀门
C、排放处放置空桶,打开排放阀
D、当液位显示为零,并且排放阀打开没有液体,说明罐以排空
149、单项选择题 环管反应器正常停车过程中,()投用夹套水加热器。
A、当密度达到450Kg/m时
B、当密度达到400Kg/m时
C、停主催化剂后
D、当夹套水控制阀全部走夹套水冷却器旁路时
150、单项选择题 切粒机的切刀材质是()。
A、碳素钢
B、不锈钢
C、碳化钛
D、合金钢
151、问答题 请简述催化剂配制过程。
152、单项选择题 预聚合反应器的停留时间一般在()分钟。
A、4
B、4~10
C、15
D、20
153、单项选择题 系统中三乙基铝加入量过多,对聚丙烯树脂产品的()有影响。
A、筛分
B、等规指数
C、灰分
D、熔融指数
154、问答题 请简述环管反应器温度升高的紧急处理方法。
155、单项选择题 环管反应器密度计的测量范围一般在()kg/m。
A、100~1000
B、200~800
C、300~700
D、400~700
156、多项选择题 汽蒸罐架桥的可能原因有()。
A、给电子体加入量不足,聚合物等规度低,物料粘
B、汽蒸罐料位控制高
C、汽蒸罐料位控制低
D、汽蒸罐出料阀故障,下料不畅
157、多项选择题 环管反应器循环泵冲洗丙烯的作用主要有()。
A、冷却机封
B、防止粉料进入密封端面
C、防止在机封处发生聚合反应
D、提供密封油罐压力
158、多项选择题 工艺流程图是表达化工生产工艺流程的图样,包括()。
A、工艺方案流程图
B、物料流程图
C、管道及仪表流程图
D、仪表逻辑图
159、单项选择题 关于循环气压缩机试运介质,下列说法正确的是()。
A、只可使用循环气试运
B、只可使用氮气试运
C、循环气或氮气均可试运
D、不可以使用氮气试运
160、单项选择题 造成凝液泵汽蚀的原因有()。
A、凝液罐液位高
B、凝液温度低
C、凝液温度高
D、凝液罐氮封量太大
161、多项选择题 某台测温仪表的测温范围是0~1000℃。根据工艺要求,温度指示值的误差不允许超过7℃,则应选择精度等级为()的仪表来测量才满足要求。
A、0.1
B、0.5
C、0.7
D、1.0
162、单项选择题 装置TEAL管线一般用()升压做管线强度试验。
A、氮气
B、油
C、TEAL
D、水
163、多项选择题 影响聚丙烯产品的灰分因素有()。
A、三剂的加入量
B、丙烯中的毒物含量
C、丙烯中的水含量
D、环管的密度
164、多项选择题 配位阴离子聚合的立构规整的能力取决于()。
A、引发体系的类型
B、各组分的配合和比例
C、单体种类
D、聚合条件
165、多项选择题 湿空气的焓可以通过()来计算。
A、湿物料的温度
B、干基含水量
C、绝干料的平均比热容
D、液态水的平均比热容
166、问答题 计算题:聚丙烯树脂的湿基含水量为3%,干燥后产品中的湿基含水量为0.2%。干燥产品量为13吨/小时。若不计干燥过程中的物料损失,试求树脂在干燥器中蒸发的水分量(Kg/h)。
167、单项选择题 调节离心泵出口阀的开度,以改变管路的()从而达到调节流量的目的。
A、流体流向
B、流体阻力
C、管径
D、摩擦力
168、单项选择题 下列()情况不会影响往复式压缩机的打气量。
A、吸入排出单向阀工作异常
B、传动皮带过松或打滑
C、油箱油位低
D、活塞杆填料泄漏
169、多项选择题 关于环管轴流泵开车,下列说法正确的是()。
A、主密封系统必须将空气排净
B、丙烯冲洗液全部投用,并调整好压力与流量
91ExaM.org
C、环管可以不用充工艺介质
D、确认轴流泵对轮防护罩安装就位
170、多项选择题 应用柏努利方程解题时,应注意的事项有()。
A、选取截面
B、确定基准面
C、压力
D、外加能量
171、问答题 请简述分散型控制系统通讯系统的作用。
172、多项选择题 影响聚丙烯产品的灰分因素有()。
A、三剂的加入量
B、丙烯中的毒物含量
C、丙烯中的水含量
D、环管的密度
173、单项选择题 环管反应器正常停车过程中,()投用夹套水加热器。
A、当密度达到450Kg/m时
B、当密度达到400Kg/m时
C、停主催化剂后
D、当夹套水控制阀全部走夹套水冷却器旁路时
174、多项选择题 聚丙烯产品的灰分主要有()。
A、Al
B、Mg
C、Si
D、Cl
175、单项选择题 装置采用的集中分散控制系统通常简称为()。
A、DCS
B、UPS
C、PLC
D、ESD
176、多项选择题 当环管反应器温度异常升高而采取的紧急措施中,应关闭的阀门有()。
A、大小环管反应器连接阀
B、氢气进料阀
C、预聚合反应器进料阀
D、乙烯进料阀
177、单项选择题 下列选项中,粉料罗茨风机可以启动的情况为()。
A、工艺气入口压力低
B、电机未送电
C、出口阀未开造成憋压
D、润滑油位不足
178、多项选择题 颗粒水温度不断上升的原因是()。
A、颗粒水箱蒸汽控制阀失灵
B、颗粒水冷却器循环冷却水调节阀故障
C、颗粒水冷却器板片堵
D、产品熔融指数高
179、单项选择题 正常情况下D107不加油,油位也会上升,原因是()。
A、可能是HV145漏
B、D108倒料造成
C、D108备压造成
D、活塞漏
180、多项选择题 在废油处理过程中,启动搅拌器的作用是()。
A、传质,使其反应充分
B、传热,使其反应热尽快散发
C、降低失活剂的效率
D、缩短失活反应时间
181、多项选择题 低压蒸汽用于闪蒸、干燥系统()等部位。
A、闪蒸罐进料闪蒸管线和丙烯洗涤塔底部闪蒸管线
B、干燥器的氮气加热器
C、汽蒸罐
D、循环气过滤器
182、多项选择题 生产T30S加入添加剂的种类有()。
A、1010
B、215
C、GMS
D、Cast
183、多项选择题 当仪表风压力过低时,聚合系统应启动的联锁是()。
A、切断催化剂进料联锁
B、预聚合反应器停车及向排放系统排放联锁
C、环管反应器紧急停车联锁
D、紧急向环管反应器注入阻聚剂联锁
184、单项选择题 TEAL区域的油罐伴热一般采用()。
A、热水伴热
B、电伴热
C、蒸汽伴热
D、不需要伴热
185、问答题 切粒机进刀油压波动的原因?
186、多项选择题 现在常用的工业计量秤的核心器件是称重传感器,可分为()等。
A、电阻应变式
B、差动变压器式
C、电容式
D、压电式
187、多项选择题 进入第一环管反应器丙烯流量计的显示值包括()。
A、进大轴流泵冲洗丙烯流量
B、进预聚合反应器丙烯流量
C、进小轴泵冲洗丙烯流量
D、进闪蒸线的冲洗丙烯流量
188、多项选择题 颗粒水温度不断上升的原因是()。
A、颗粒水箱蒸汽控制阀失灵
B、颗粒水冷却器循环冷却水调节阀故障
C、颗粒水冷却器板片堵
D、产品熔融指数高
189、问答题 请简述汽蒸罐故障的处理方法。
190、多项选择题 聚合系统的氢气进料中断,在15-20分钟内仍不能恢复进料,应关闭氢气系统阀门,下列表述正确的是()。
A、丙烯与氢气连接阀门
B、氢气压缩机回流阀
C、氢气流量调节阀
D、氢气压缩机入口阀
191、单项选择题 在负荷一定条件下,增大剪切力的方法是()。
A、降低筒体温度
B、提高负荷
C、升高筒体温度
D、增大间隙
192、问答题 挤压机筒体如何升温?
193、单项选择题 粉料输送系统的增压风机一般采用()。
A、罗茨风机
B、离心风机
C、轴流风机
D、往复压缩机
194、多项选择题 汽蒸罐温度高,进行判断和处理的思路是()。
A、检查汽蒸蒸汽流量和温度是否异常
B、检查汽蒸罐压力是否正常
C、检查降温器凝液流量和温度是否异常
D、检查汽蒸罐分布板堵塞
195、多项选择题 配位阴离子聚合的立构规整的能力取决于()。
A、引发体系的类型
B、各组分的配合和比例
C、单体种类
D、聚合条件
196、单项选择题 下列()情况不会影响往复式压缩机的打气量。
A、吸入排出单向阀工作异常
B、传动皮带过松或打滑
C、油箱油位低
D、活塞杆填料泄漏
197、单项选择题 在70℃时丙烯的密度是()Kg/m3。
A、400
B、404.8
C、408
D、410
198、多项选择题 下列选项中,联锁启动可以使氢气流量调节阀关闭的是()。
A、环管反应器紧急停车联锁
B、大轴流泵停车联锁
C、反应器进料停止联锁
D、预聚合反应器停车联锁
199、多项选择题 丙烯贮罐上的现场液位计一般可采用()测量液位。
A、玻璃板液位计
B、磁浮子翻板液位计
C、浮桶
D、射频
200、单项选择题 污水排放中COD代表的意思是()。
A、生物需氧量
B、化学耗氧量
C、总需氧量
D、水中悬浮物