时间:2017-11-12 08:09:00


1、单项选择题 有限空间作业可燃气体的浓度应低于爆炸下限的()。
A.5%
B.10%
C.15%
2、多项选择题 施工企业保证工程质量的最基本要求包括()。
A.不得压缩合同工期
B.按设计图纸施工
C.与监理单位建立友好的沟通关系
D.严格履行企业质量管理认证体系
E.不擅自修改设计文件
3、单项选择题 碳素钢中含碳量()为中碳钢。
A.0.22%
B.0.42%
C.0.62%
D.0.82%
4、单项选择题 有限空间作业前必须进行(),分析存在危险点,制定防止有害气体中毒的安全措施。
A.安全培训
B.应急演练
C.风险辨识
5、单项选择题 当民用建筑室内环境污染物浓度初次检测结果不合格时,通常做法是()。
A、对不合格项再次检测,抽检数量应增加一倍,并应包括同类型房间及原不合格房间
B、对不合格的房间开窗通风,再次进行检测
C、直接对不合格房间返工,采用合格材料施工完成后再次进行检测
D、采用活性炭、空气清新剂等物品对室内处理,一周后再次检测
6、多项选择题 根据我国《民事诉讼法》的相关规定,最高人民法院发现地方各级人民法院已经发生法律效力的判决、裁定确有错误的,可以()。
A.提审
B.依法改判
C.撤销原判决
D.发回原审法院重审
E.指令下级人民法院再审
7、单项选择题 房间进行涂饰装修,必须使用耐水腻子的是()。
A.起居室
B.餐厅
C.卫生间
D.书房
8、单项选择题 高度在()m以上的建筑物当无楼梯通达屋面时,应设上屋面的人孔或外墙梯爬。
A.5
B.7
C.8
D.10
9、名词解释 勒脚、踢脚概念,作用
10、单项选择题 要式合同是指()的合同。
A.法律上已经确定了一定的名称和规则
B.当事人双方互相承担义务
C.根据法律规定必须采用特定形式
D.当事人双方意思表示一致即告成立
11、单项选择题 钢筋的成分中,属于有害元素的是()
A.硅
B.钒
C.锰
D.硫
12、单项选择题 当基体含水率不超过8%时,可直接在水泥砂浆和混凝土基层上进行涂饰的是()涂料。
A、过氯乙烯
B、苯-丙乳胶漆
C、乙-丙乳胶漆
D、丙烯酸酯
13、单项选择题 不能作为饮用热水管的是()
A.铝塑复合管
B.PVC—C管
C.PVC—U管
D.PEX管
14、多项选择题 地面装修构造中,基层包括()。
A、填充层
B、结合层
C、隔离层
D、面层
E、找平层
15、单项选择题 钢筋配料时,弯起钢筋(不含搭接)的下料长度是()。
A.直段妊度十弯钩增加的长度
B.直段长度十斜段长度十弯钩增加的长度
C.直段长度十斜段长度-弯曲调整值十弯钩增加长度
D.直段长度十斜段长度十弯曲调整值十弯钩增加长度
16、单项选择题 关于施工现场临时用电的做法,正确的是()。
A.总配电箱设置在靠近外电电源处
B.开关箱中作为末级保护的漏电保护器,其额定漏电动作时间为0.2s
C.室外220V灯具距地面高度为2.8m
D.现场施工电梯未设置避雷装置
17、单项选择题 根据我国法律规定,在下列合同中不能适用留置担保的是()。
A.保管合同
B.租赁合同
C.运输合同
D.承揽合同
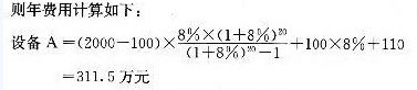
18、单项选择题 企业进行购置设备与租赁的方案比选,需要分析设备的技术经济特点,其中对()的设备,可以考虑购买设备的方案。
A.技术过时风险小
B.争取享受税费上的利益
C.保养维修复杂
D.使用时间短
19、多项选择题 关于冬期桩基施工的说法,正确的有()。
A.当冻土层厚度超过500ram,冻土层宜采用钻孔机引孔
B.采用钻孔机引孔,引孔直径不宜大于桩径20ram
C.振动沉管成孔施工有问歇时,宜将桩管埋入桩孔中进行保温
D.桩基静荷载试验前,应对试桩周围地表土和锚桩横梁支座进行保温
E.试验期间,应将试桩周围的冻土融化或挖除
20、单项选择题 混凝土拌合物的流动性,工地上常用()方法测定。
A.坍落度法
B.贯入阻力法
C.维勃稠度法
D.流出速度法
21、问答题 某公司承建某大学办公科研综合楼项目,在装饰装修阶段,大学城建设单位追加新建校史展览馆,紧临在建办公科研综合楼。总建筑面积2160mm,总造价408万元,工期10个月。屋面设女儿墙,屋面防水材料采用SBS卷材。考虑到工程较小、某公司也具备相应资质,建设单位经当地建设相关主管部门批准后,未通过招投标直接委托给该公司承建。展览馆项目设计图纸已齐全,结构造型简单,且施工单位熟悉周边环境及现场条件,甲乙双方协商采用固定总价计价模式签订施工承包合同。施工过程中发生如下事件:事件一:考虑到展览馆项目紧临办公科研综合楼,用电负荷较小,且施工组织仅需6台临时用电设备,某公司依据《施工组织设计》编制了《安全用电和电气防火措施》,决定不单独设置总配电箱,直接从综合楼项目总配电箱引出分配电箱。施工现场临时用电设备直接从分配电箱连接供电。项目经理安排了一名有经验的机械工进行用电管理。监理工程师认为不妥,指令整改。事件二:屋面淋水试验时,发现女儿墙根部漏水,经查,主要原因是转角处卷材开裂,施工总承包单位进行了整改。事件三:展览馆各阶段验收合格,施工单位于2013年9月18日提交工程验收报告,建设单位于当天投入使用。建设单位以工程质量问题需在使用中才能发现为由,将工程竣工验收时间推迟到11月18日,与综合楼一并进行验收,并要求《工程质量保修书》中竣工日期以11月18日为准。施工单位对竣工日期提出异议。 该工程采用固定总价合同模式是否妥当?给出固定总价合同模式适用的条件?除背景材料中固定总价合同模式外,常用的合同计价模式还有哪些(至少列出三项)?
22、单项选择题 普通螺栓作为永久性连接螺栓时,当设计有要求或对其质量有疑义时,应进行螺栓实物()复验。
A.最小拉力荷载
B.摩擦面抗滑移系数
C.紧固轴力
D.预拉力
23、单项选择题 普通房屋的正常设计使用年限为()年。
A.10
B.25
C.50
D.100
24、单项选择题 环境管理体系是()。
A.一个孤立的管理体系
B.组织管理体系的一个组成部分
C.为满足顾客要求而建立
D.与质量管理体系没有相容性
25、单项选择题 不应交增值税明细的是()。
A.施工企业
B.商业企业
C.贸易公司
D.服务业公司
26、名词解释 女儿墙
27、问答题 分别指出事件一种施工单位做法的错误之处,并说明正确做法。
28、单项选择题 依据《合同法》的规定,违约责任总体上实行()。
A.过错责任原则
B.过错推定原则
C.无过错责任原则
D.无罪推定原则
29、多项选择题 关于氟碳漆施工技术要求的表述中,正确的是()。
A、每遍腻子施工完成后,洒水养护3次
B、用切割机沿定位线切割分格缝,切割深度为1、5cm
C、将配好的浆料填入缝蕊后,干燥约5min
D、喷涂底涂施工完成,至少干燥12h(晴天),可进入下道工序
E、细腻子施工完成后,干燥发白时即可砂磨,洒水养护,两次养护间隔4h
30、单项选择题 某总承包单位将工程主体结构施工分包给具有相应资质的分包单位。该工程施工过程中,分包单位发生了安全生产事故。关于双方责任的说法,错误的是()。
A.分包单位只承担民事赔偿责任
B.总承包单位应对本工程施工现场的安全生产负总责
C.总承包与分包单位就该安全事故承担连带责任
D.如果发生的安全事故情节特别严重,构成犯罪的,应当追究总承包单位主要责任人责任
31、单项选择题 甲乙双方在合同中约定的违约金为4万元,同时又约定由甲在合同订立后向乙方支付3万元的定金。最后,由于乙方违约造成合同解除。请问,下列甲方请求乙方承担违约责任的做法符合法律规定的是()。
A.只能请求乙方支付4万元的违约金
B.只能请求乙方双倍返还定金
C.可以要求乙方支付4万元的违约金,同时要求双倍返还定金
D.只能在要求乙方支付4万元的违约金和双倍返还定金选择适用
32、多项选择题 下列施工项目中,属于经批准可以采用邀请招标方式发包的有()工程项目。
A.受自然地域环境限制的
B.涉及国家安全、国家秘密的项目而不适宜招标的
C.施工主要技术需要使用某项特定专利的
D.技术复杂,仅有几家投标人满足条件的
E.公开招标费用与项目的价值相比不值得的
33、单项选择题 在建设工程安全生产管理的基本制度中,()是指将各种不同的安全责任落实到负责安全管理的人员和具体岗位人员身上的一种制度。
A.安全生产检查制度
B.安全责任追究制度
C.安全生产责任制度
D.群防群治制度
34、单项选择题 ()是指钢材抵抗冲击荷载的能力。
A.冷弯性能
B.冲击韧性
C.塑性
D.屈服强度
35、问答题
某六层住宅工程项目,建筑面积6500m2。施工人员在拆除顶层模板时,将拆下的10根钢管(每根长3m)和扣件运到物料提升机吊盘上,5名工人随吊盘一起从屋顶高处下降。此时,恰好操作该机械的操作工因上厕所离开岗位,一名刚刚招来两天的木工开动了卷扬机。在物料吊盘下降过程中,钢丝绳突然折断,人随吊盘下落坠地,造成1人死亡4人重伤的恶性后果。
【问题】
1、发生生产安全事故后,应怎样进行事故现场处理?
2、简要分析造成事故的原因。
36、单项选择题 建筑规范规定楼梯梯段净高不应小于()。
A.2.2m
B.2m
C.2.5m
D.2.7m
37、单项选择题 某大型商场,总建筑面积12000m²,其室内装修材料燃烧性能:顶棚为A级,墙面不低于B1级,则地面可以采用()。
A.A级
B.B1级
C.B2级
D.B3级
38、问答题
背景:某写字楼,剪力墙结构。因工程需要在其剪力墙的外侧安装点式玻璃幕墙。土建工程已经完毕,施工时没有预埋件,而且抹灰工序已经完成。现需要在该处安装后埋件,安装完毕后土建要对其进行抹灰和涂料处理。抹灰后埋件不得外露。施工过程中,其幕墙生产车间正在进行结构胶注胶生产工序,情况如下:
(1)室温为25℃,相对湿度为50%;
(2)清洁注胶基材表面的清洁剂为二甲苯,用白色棉布蘸入溶剂中吸取溶剂,并采用“一次擦”工艺进行清洁;
(3)清洁后的基材一般在1h内注胶完毕;
(4)从注胶完毕到现场安装其间隔为一周。
在玻璃幕墙与每层楼板之间填充了防火材料,并用l.5ram的铝板固定。为了便于通风,防火材料与玻璃之间留有3mm的间隙。玻璃幕墙验收时施工单位提交了下列资料:
(1)设计图纸、计算报告、设计说明、相关设计文件;
(2)材料、配件、附件及组件的产品合格证书、质量保证书、复验报告;
(3)进口材料的检验检疫证明;
(4)隐蔽工程验收文件;
(5)幕墙物理性能检验报告;
(6)幕墙部分及分项检验记录;
(7)外观质量评定表;
(8)幕墙工程出厂合格证。
A.聚氨酯防水涂料
B.聚合物水泥防水涂料
C.聚合物乳液防水涂料
D.乳化沥青防水涂料
E.渗透结晶型防水涂料
40、多项选择题 在施工现场,应按国家现行标准抽取钢筋()试件作为力学性能检验,其质量应符合有关规程的规定。
A、绑扎连接接头
B、机械连接接头
C、法兰连接接头
D、挤压连接接头
E、焊接接头
41、单项选择题 梁的变形主要是()变形。
A.拉伸
B.压缩
C.弯曲
D.剪切
42、单项选择题 有限空间设施管理单位应建立地下有限空间基本情况(),应向作业单位如实提供地下有限空间类型、内部设施及外部环境等基本信息。
A.目录
B.信息
C.台账
43、单项选择题 当在使用中对水泥质量有怀疑或水泥出厂超过()个月(快硬硅酸盐水泥超过一个月)时,应进行复验,并按复验结果使用。
A.一
B.两
C.三
D.四
44、多项选择题 下列安全事故类型中,属于建筑业最常发生的五种事故的有()。
A、高处坠落
B、物体打击
C、触电
D、中毒
E、爆炸
45、单项选择题 A企业的原材料存放在B企业的仓库里,A企业按月付给B企业仓库管理费,则该批原材料()。
A.不是A企业的存货
B.不是B企业的存货
C.既是A企业的存货也是B企业的存货
D.不属于存货范畴
46、单项选择题 银行存款日记账通常采用()账簿。
A.活页式
B.订本式
C.卡片式
D.任何形式
47、判断题 准时制物流配送的一般不随意改变配送时间,但往往需要根据客户的具体需求,更改配送的品种。
48、单项选择题 材料保温隔热性能的好坏由材料的()决定。
A.导热系数
B.导热方向
C.导热面积
D.导热性能
49、问答题
【2006年度考试真题】
某办公大楼由主楼和裙楼两部分组成,平面呈不规则四方形,主楼29层,裙楼4层,地下2层,总建筑面积81650m2。该工程5月份完成主体施工,屋面防水施工安排在8月份。屋面防水层由一层聚氨酯防水涂料和一层自粘SBS高分子防水卷材构成。裙楼地下室回填土施工时已将裙楼外脚手架拆除,在裙楼屋面防水层施工时,因工期紧没有设安全防护栏杆。工人王某在铺贴卷材后退时不慎从屋面掉下,经医院抢救无效死亡。裙楼屋面防水施工完成后,聚氨酯底胶配制时用的二甲苯稀释剂剩余不多,工人张某随手将剩余的二甲苯从屋面向外倒在了回填土上。主楼屋面防水工程检查验收时发现少量卷材起鼓,鼓泡有大有小,直径大的达到90mm,鼓泡割破后发现有冷凝水珠。经查阅相关技术资料后发现:没有基层含水率试验和防水卷材粘贴试验记录;屋面防水工程技术交底要求自粘SBS卷材搭接宽度为50mm,接缝口应用密封材料封严,宽度不小于5mm。
【问题】
1、从安全防护措施角度指出发生这一起伤亡事故的直接原因。
2、项目经理部负责人在事故发生后应该如何处理此事?
3、试分析卷材起鼓原因,并指出正确的处理方法。
4、自粘SBS卷材搭接宽度和接缝口密封材料封严宽度应满足什么要求?
5、将剩余的二甲苯倒在工地上的危害之处是什么?指出正确的处理方法。
50、多项选择题 下列常用建筑内部装修材料的燃烧性能为B1级的有()。
A.玻璃
B.纸面石膏板
C.矿棉装饰吸声板
D.天然石材
E.瓷砖
51、单项选择题 对作用于框架结构体系的风荷载和地震力,可简化成()进行分析。
A.节点间的水平分布力
B.节点上的水平集中力
C.节点间的竖向分布力
D.节点上的竖向集中力
52、问答题
背景:北方某大学新校区工程建筑面积89010m2,由教学综合楼、学生活动中心和餐厅三部分组成。.框架现浇混凝土结构。学生活动中心为条形基础,地上4层,首层阶梯报告厅局部层高21m,模板直接支撑在地基土上。施工单位为某施工总承包企业。
施工过程中发生了如下事件:
事件一:学生活动中心首层阶梯报告厅顶板模板工程验收中,项目经理发现在最顶步距两水平拉杆中间加设了一道水平拉杆;水平拉杆的端部与四周建筑物间隔lOOm。安全总监下达了整改通知。
事件二:餐厅首层顶板模板工程施工中,由于立杆间距过大,导致钢管支架整体失稳。项目部及时采取了处理措施,避免了质量安全事故的发生。
A、外形均匀、成型较好
B、焊缝应牢固、可靠
C、焊道与焊道之间过渡较平滑
D、焊道与基本金属间过渡较平滑
E、焊渣和飞溅物基本清净干净
54、单项选择题 因改建、扩建和重要部位维修而改变结构和平面布置的工程,建设单位应当组织设计、施工单位(),并在工程竣工后3个月内向城建档案馆报送。
A.修改原建设工程档案
B.补充原建设工程档案
C.完善原建设工程档案
D.重新编制建设工程档案
55、单项选择题 同一住宅电气安装工程配线时,保护线(PE)的颜色是()。
A.黄色
B.蓝色
C.蓝绿双色
D.黄绿双色
56、多项选择题 建筑地面变形缝应按设计要求设置,并应符合()等要求。
A.沉降缝、伸缩缝应贯通建筑地面的各构造层
B.室内地面的水泥混凝土垫层,应设置纵向和横向缩缝
C.水泥混凝土垫层的平头缝缝间应设置隔离材料,浇筑时不得互相紧贴
D.毛地板铺设时,与墙之间不应留有缝隙
E.实木地板面层铺设时,面板与墙之间应留8~12mm缝隙
57、多项选择题 属于Ⅱ类民用建筑工程的有()。
A.商店
B.图书馆
C.体育馆
D.幼儿园
E.餐厅
58、多项选择题 塑钢门窗的特性有()。
A、色泽鲜艳,不需油漆
B、耐腐蚀,抗老化
C、保温,防水,隔声
D、在30~50℃的环境下不变色
E、可降低原有性能,防虫蛀又不助燃
59、单项选择题 对跨度不小于()m的现浇钢筋混凝土梁、板,其模板应按设计要求起拱。
A、2
B、3
C、4
D、5
60、单项选择题 地面水泥砂浆整体面层施工后,养护时间最少不应小于()d。
A.3
B.7
C.14
D.28
61、问答题
某建筑工程施工进度计划网络图如图2—4所示。

施工中发生了以下事件。
事件1:A工作因设计变更停工10d。
事件2:B工作因施工质量问题返工,延长工期7d。
事件3:E工作因建设单位供料延期,推迟3d施工。
事件4:在设备管道安装气焊作业时,火星溅落到正在施工的地下室设备用房聚氨酯防水涂膜层上,引起火灾。
在施工进展到第120d后,施工项目部对第110d前的部分工作进行了统计检查。统计数据见表2—1。

【问题】
1.本工程计划总工期和实际总工期各为多少天?
2.施工总承包单位可否就事件1~3获得工期索赔?分别说明理由。
3.施工现场焊、割作业的防火要求有哪些?
4.计算截止到第110d的合计BCWP值。
5.计算第110d的成本偏差CV值,并做CV值结论分析。
6.计算第110d的进度偏差SV值,并做SV值结论分析。
62、多项选择题 基坑挖到基底设计标高并清理后,施工单位必须会同()等单位共同进行验槽,合格后方可进行基础工程施工。
A、勘察
B、监理
C、设计
D、技术
E、咨询
63、问答题 某高校新建宿舍楼工程,地下一层,地上五层,钢筋混凝土框架结构。采用悬臂式钻孔灌注桩排桩作为基坑支护结构,施工总承包单位按规定在土方开挖过程中实施桩顶位移监测,并设定了监测预警值。施工过程中,发生了下列事件:事件一:施工单位进场后,监理工程师责成项目经理部编制《项目管理实施规划》,施工单位认为项目规模不大,拟用《施工组织设计》代替《项目管理实施规划》。在监理工程师的一再要求下,项目经理部组织编制《项目管理实施规划》,包含项目概况、总体工作计划、组织方案、进度计划、资源需求计划、项目现场平面图等内容。事件二:土方开挖时,在支护桩顶设置了900mm高的基坑临边安全防护栏杆;在紧靠栏杆的地面上堆放了砌块、钢筋等建筑材料。挖土过程中,发现支护桩顶向坑内发生的位移超过预警值,现场立即停止挖土作业,并在坑壁增设锚杆以控制桩顶位移。事件三:在主体结构施工前,与主体结构施工密切相关的某国家标准发生重大修改并开始实施,现场监理机构要求修改施工组织设计,重新审批后才能组织实施。事件四:由于学校开学在即,建设单位要求施工总承包单位在完成室内装饰装修工程后立即进行室内环境质量验收,并邀请了具有相应检测资质的机构到现场进行检测,施工总承包单位对此做法提出异议。 分别指出事件二中错误之处,并写出正确做法。针对该事件中的桩顶位移问题,还可采取哪些应急措施?
64、单项选择题 我国建筑抗震设防的规范烈度,采用的是()个等级划分的烈度表。
A、6
B、8
C、10
D、12
65、名词解释 横向、纵向、横向轴线、纵向轴线
66、单项选择题 下列金属框安装做法中,正确是()。
A.采用预留洞口后安装的方法施工
B.采用边安装边砌口的方法施工
C.采用先安装后砌口的方法施工
D.采用射钉固定于砌体上的方法施工
67、单项选择题 关于后浇带设置和 处理的说法,正确的是()。
A.若设计无要求,至少保留21d后再浇筑
B.填充后浇带,可采用高膨胀混凝土
C.膨胀混凝土强度等级比原结构强度相同
D.填充混凝土保持至少15d的湿润养护
68、单项选择题 下列()项不属于混凝土结构的优点。
A.可模性好
B.抗裂性较好
C.维护费用低
D.适用面广
69、单项选择题 关于施工企业强令施工人员冒险作业的说法,正确的是()
A.施工人员有权拒绝该指令
B.施工企业有权对不服从指令的施工人员进行处罚
C.施工企业可以解除不服从管理的施工人员的劳动合同
D.施工人员必须无条件服从施工企业发出的命令,确保施工生产进度的顺利开展
70、多项选择题 根据《建筑施工安全检查标准》(JG159-2011),建筑施工安全检查评定的等级有()。
A.优良
B.良好
C.一般
D.合格
E.不合格
71、单项选择题 水泥混合砂浆采用的水泥,其强度等级不宜大于()级。
A.62.5
B.32.5
C.42.5
D.52.5
72、多项选择题 根据该《建设工程安全生产管理条例》的规定,下列属于施工企业安全生产管理的责任或义务的是()。
A.安全施工技术要求的交底
B.为施工现场从事危险作业的人员办理意外伤害保险
C.在采用新技术、新工艺、新设备、新材料时对作业人员进行培训
D.办理施工许可证时报送安全施工措施
E.对建设工程安全生产承担监理责任
73、多项选择题 关于砌体结构构造措施的说法,正确的是()。
A.砖墙的构造措施主要有:伸缩缝、沉降缝和圈梁
B.伸缩缝两侧结构的基础可不分开
C.沉降缝两侧结构的基础可不分开
D.圈梁可以抵抗基础不均匀沉降引起墙体内产生的拉应力
E.圈梁可以增加房屋结构的整体性
74、多项选择题 模板工程设计的主要原则包括()。
A、安全性
B、稳定性
C、持久性
D、实用性
E、经济性
75、单项选择题
某受均布荷载作用的筒支梁,受力简图示意如下,其剪力图形状为()。

A.A
B.B
C.C
D.D
76、多项选择题 下列关于屋面卷材铺贴的说法中,正确的有()。
A、屋面坡度小于15%时,卷材可平行屋脊铺贴
B、屋面坡度大于15%时,沥青防水卷材应垂直屋脊铺贴
C、屋面受震动时,合成高分子防水卷材可平行或垂直屋脊铺贴
D、长边搭接宽度不得小于150mm,短边搭接宽度不得小于100mm
E、上下层卷材不得相互垂直铺贴
77、单项选择题 下列计息说法中不正确的一项是()。
A.当计息周期小于一年时,就出现名义利率和有效利率的概念
B.有效利率比名义利率更能体现资金的时间价值
C.有效利率可能等于名义利率
D.当每年计息周期M>1时,名义利率大于有效利率
78、问答题
背景:某施工单位作为总承包商,承接某写字楼工程,地上6层,地下l层,地上混合结构。合同规定该工程的开工日期为2011年4月1日,竣工日期为2012年4月25日。工程所在地6月15日~9月15日为雨期施工。施工单位向监理单位报送了该工程的施工组织设计。
施工过程中发生了如下事件:
事件一:施工单位向监理单位报送了该工程的施工组织设计中明确了质量、进度、成本、安全等四项管理目标,建设单位认为不妥。
事件二:施工单位向监理单位报送了该工程的施工组织设计中,施工现场平面布置图包括了:①工程施工场地状况;②拟建建(构)筑物的位置、轮廓尺寸、层数等;③工程施工现场的加工设施、存贮 设施、办公和生活用房等的位置和面积等内容。监理单位认为内容不全。
事件三:2011年6月15日工程开始进入主体施工,项目部采取了雨期施工措施。
A.焊接工艺参数选择不当
B.操作技术不正确
C.焊件位置安放不当
D.焊接零件的位置安放不当
E.焊条药皮端部的电孤偏吹
80、多项选择题 以下有关工程项目施工招投标,说法正确的有()。
A.招标人采取邀请招标方式时,必须向3个以上具备承担招标项目能力的单位发出投标邀请书
B.在招标文件要求提交投标文件的截止时间后送达的投标文件,应视具体情况由招标方决定是否接收
C.中标单位有权将中标项目分解后分包给他人
D.招标方可根据具体工程项目编制标底,设有标底的,标底必须保密
E.招标方可根据招标项目的具体情况,组织潜在投标方勘探项目现场
81、单项选择题 建筑幕墙性能检测中,发现由于试件的安装缺陷使某项性能未达到规定要求,最合理的处理是()。
A.修改设计、修补试件缺陷后重新检测
B.改进试件安装工艺、修补缺陷后重新检测
C.修改设计,重新制作试件后重新检测
D.更换材料,重新制作试件后重新检测
82、单项选择题 实施检测时,检测人员应处于(),检测时要做好检测记录,包括监测时间、地点、气体种类和检测浓度等。
A、现场位置
B、安全环境
C、指定位置
D、有限空间内
83、问答题
背景
某工程需购置某设备一台,经市场调查有三种型号设备满足要求,相关参数如下表所示(采购当年贷款复利利率为8%):

问题
对上述各方案进行列试计算比较,并选出正确的设备采购方案。
84、单项选择题 下列民事责任的责任形式中,不适用于侵权责任的是()。
A.停止侵害
B.恢复原状
C.支付违约金
D.消除影响、恢复名誉
85、多项选择题 建设工程施工招标的必备条件有()。
A.招标人已经依法成立或有相应的资金或资金来源已经落实
B.初步设计及概算应当履行审批手续,已经批准
C.招标范围、招标方式和招标组织形式等应当履行核准手续的,已经核准
D.有招标所需的设计图纸及技术资料
E.相应资金中有部分资金已经落实
86、名词解释 壁龛
87、单项选择题 连续梁的受力特点是()。
A.跨中有正弯矩,支座有负弯矩
B.跨中有负弯矩,支座有正弯矩
C.跨中有正弯矩,支座有正弯矩
D.跨中有负弯矩,支座有负弯矩
88、问答题 某建筑工程,建筑面积35000mm;地下2层,筏形基础.地上25层,钢筋混凝土剪力墙结构;地上裙房6层,框架结构。室内隔墙采用加气混凝土砌块。建设单位依法选择了施工总承包单位,签订了施工总承包合同。合同约定:室内墙体等部分材料由建设单位采购;建设单位同意施工总承包单位将部分工程依法分包和管理。合同履行过程中,发生了下列事件:事件一:施工总承包单位项目经理部在《施工组织设计》中明确本工程施工总平面布置应符合的原则,并提出施工总平面图现场管理总体要求,包括"安全有序"、"不损害公众利益"两项内容。事件二:施工总承包单位按照相应分包资质及能力确认方法及原则选择了裙房结构工程的分包单位。双方合同约定分包工程技术资料由分包单位整理、保管,并承担相关费用。分包单位以其签约得到建设单位批准为由,直接向建设单位申请支付分包工程款。事件三:建设单位采购的一批墙体节能砌块经施工总承包单位进场检验发现导热性能指标不符合设计文件要求。建设单位以指标值偏差不大为由,指令施工总承包单位使用该批砌块,施工总承包单位执行了指令。但在施工过程中,监理单位对此事发出书面整改通知,并报告了当地建设主管部门,地方行政主管部门依法查处了这一事件。事件四:当地行政主管部门对施工总承包单位违反施工规范强制性条文的行为,在当地建筑市场诚信记录平台上进行了公布,公布期限为6个月。公布后,当地行政主管部门结合企业提出的申请和整改情况,决定将公布期限调整为4个月。国家住房和城乡建设部在全国进行公布,公布期限也是4个月。事件五:施工总承包单位负责整个施工现场的文明施工,对于现场产生的建筑垃圾、废弃包装、生活垃圾等常见固体废物随时按相关规定进行了处理。 事件一中,总平面布置都有哪些原则?施工总平面图现场管理总体要求,除了事件一明确的,还应包括哪些内容?
89、单项选择题 高强度大六角头螺栓连接副出厂时应随箱带有()的检验报告。
A.扭矩系数
B.抗滑移系数
C.紧固轴力
D.预拉力
90、问答题
某办公大楼丁程,地下为二层,地上二十层。裙房4层,檐高27m,报告厅混凝土结构局部层高8m,演艺厅钢结构层高8m。框架剪力墙结构,基础埋深12m。某施工总承包单位中标后成立了项目部组织施工。施工过程中发生了如下事件:
事件一:项目部编制了《安全生产管理措施》。其中对混凝土工程施工安全隐患的主要表现形式进行了分析,归纳为模板支撑架体地基、基础下沉;模板架体的杆件间距或步距过大;模板架体未按规定设置斜杆、剪刀撑和扫地杆;模板构架的节点构造和连接的紧固程度不符合要求;混凝土浇筑高处作业安全防护设施不到位;混凝土浇筑机械设备的安装、使用不符合安全要求。监理工程师认为分析不全。
事件二:项目部编制了《安全生产管理措施》。其中混凝土工程施工安全控制的主要内容是模板支撑系统设计;模板支拆施丁安全;钢筋加工及绑扎、安装作业安全;混凝土浇筑高处作业安全。监理工程师认为不全。
事件三:项目部编制了《安全生产管理措施》。其中对高处作业安全隐患的主要表现形式进行了分析,归纳为作业人员不正确佩戴安全帽,在无可靠安全防护措施的情况下不按规定系挂安全带;作业人员患有不适宜高处作业的疾病;各种形式的临边无防护或防护不严密;各种类型的洞口无防护或防护不严密;设备、管道安装、临空构筑物模板支设、钢筋绑扎、安装钢筋骨架、框架、过梁、雨篷、小平台混凝土浇筑等作业无操作架,操作架搭设不稳固,防护不严密。监理工程师认为分析不全。
事件四:项目部编制了《安全生产管理措施》。其中高处作业安全控制的主要内容是:临边作业安全;洞口作业安全;攀登与悬空作业安全。监理工程师认为不全。
事件五:项目部编制了《临边作业防范措施》。其中规定必须设置防护栏杆的临边部位有基坑周边、尚未安装栏杆或栏板的阳台、料台与悬挑平台周边、雨篷与挑檐边、无外脚手的屋面与楼层周边。监理工程师认为分析不全。
【问题】
1.事件一中,混凝土安全隐患的主要表现形式还应包括哪些内容?
2.事件二中,混凝土工程施工安全控制的主要内容还应包括哪些?
3.事件三中,高处作业安全控制的主要内容还应包括哪些?
4.事件四中,高处作业安全控制的主要内容还应包括哪些?
5.事件五中,设置防护栏杆的临边部位还应包括哪些?
91、单项选择题 室内防水工程施工环境温度应符合防水材料的技术要求,并宜在()以上。
A.-5℃
B.5℃
C.10℃
D.15℃
92、问答题 分别指出事件二中建筑节能工程施工安排的不妥之处,并说明理由。
93、多项选择题 下列材料属于气硬性胶凝材料的有()
A.矿渣粉
B.生石灰
C.建筑石膏
D.粉煤灰
E.石粉
94、单项选择题 泥浆护壁成孔灌注桩施工工艺流程为()
A.确定桩位和沉桩顺序-打桩机就位-吊桩喂桩-校正-锤击沉桩-接桩-再锤击沉桩-送桩-收锤-切割桩头
B.测定桩位-埋设护筒-制备泥浆-成孔-清孔-下放钢筋笼-浇筑混凝土
C.测定桩位-钻孔-清孔-下钢筋笼-浇筑混凝土
D.桩机就位-锤击沉管-上料一边锤击边拔管浇筑混凝土-下钢筋笼浇筑混凝土-成桩
95、单项选择题 变压器中性点直接接地的低压电网临时用电工程必须采用()
A.TN—S接零保护系统
B.三相五线系统
C.三级漏电保护
D.二级配电系统
96、多项选择题 民用建筑工程验收时室内环境污染浓度检测涉及的污染物有()。
A.甲醛
B.挥发性有机化合物
C.苯
D.二氧化硫
E.氨
97、多项选择题 沥青防水卷材是传统的建筑防水材料,成本较低,但存在()等缺点。
A、拉伸强度和延伸率低
B、温度稳定性较差
C、低温易流淌
D、高温易脆裂
E、耐老化性较差
98、单项选择题 不同高度的全玻幕墙,采用不同厚度的玻璃时,应悬挂在主体结构上的是()。
A.3.5m高全玻幕墙,采用12mm厚玻璃
B.4.0m高全玻幕墙,采用10mm厚玻璃
C.5.5m高全玻幕墙,采用15mm厚玻璃
D.6.0m高全玻幕墙,采用]9mm厚玻璃
99、单项选择题 不同支座情况的临界力的计算公式为Pij=,l0为压杆的计算长度;当()时,l0=0.5l。
A.一端固定、一端自由
B.两端铰支
C.两端固定
D.一端固定、一端铰支
100、单项选择题 下列各项不属于按装修材料的使用部位和功能分类的是()。
A.顶棚装修材料
B.墙面装修材料
C.无机装饰涂料
D.隔断装修材料
101、单项选择题 以下属于水性涂料涂饰工程的是()。
A、聚氨酯丙烯酸涂料
B、仿花纹涂饰
C、乳液型涂料
D、有机硅丙烯酸涂料
102、问答题
某写字楼建设项目,建设单位与施工单位签订土建和装饰装修施工合同,建设单位委托监理单位对该工程土建施工和装饰装修进行工程监理。在该工程装饰装修过程中发生了如下事件:
事件一:装饰装修合同中规定5000m2的花岗石石材由建设单位指定厂家,施工单位负责采购。当第一批石材运到工地时,施工单位认为是由建设单位指定用的石材,在检查产品合格证后即可用于T.程。监理工程师认为必须进行石材放射性检测。经抽样检验发现石材质量不合格。
事件二:为了赶工期和避免人员窝工,在屋面防水工程、室内轻质隔墙、安装管道和电气管线敷设、专业工程预埋件、预留空洞还未完工之前,施工单位就进行了室内抹灰、吊顶、裱糊、饰面板工程施工。
事件三:该写字楼外墙采用隐框玻璃幕墙,幕墙与主体结构采用后置埋件连接,因为幕墙构造需要,在填充墙上也采用后置埋件连接。在施工前,施工单位在现场室内混凝土构件上埋置了两块后置埋件,并委托施工单位直属的有专业检测资质的检测中心对这两块后置埋件进行了检测,作为后置埋件检测的依据。
事件四:在玻璃幕墙安装完毕后,由施工单位委托具备相应资质的检测机构对幕墙进行了“三性试验”检测,符合规范要求,于是对该幕墙工程施工质量进行了合格验收。
【问题】
1.事件一中,施丁单位对建设单位指定厂家的装饰材料进场做法是否正确?若施工单位将该批材料用于工程造成质量问题,施工单位和建设单位各应该承担什么责任?说明理由。
2.事件二中,施工单位的施丁程序是否正确?说明理由或给出正确做法。
3.事件三中,填充墙上是否可以作为幕墙的支承点?如必须在填充墙上设置支承点时,应采取什么措施?
4.事件三中,为保证后置埋件与主体结构连接可靠,应对其进行何种检测?施丁单位委托的检测单位可否承担本工程的检测任务?为什么?施工单位检测的样本是否正确?为什么?
5.事件四中,幕墙的“二性试验”是指什么?指出施工单位对幕墙进行“三性试验”的做法中不妥之处,并给出正确做法。
103、单项选择题 气体检测应使用()缓慢伸入井内,并用吸气囊(或采用电动泵)将井内上、中、下不同高度的气体吸入采样管内。测试过程中应保证足够的时间,以满足采样管的通气时间、仪器的检测速度及探测器的反应时间。
A.气体检测仪
B.通风设备
C.测试采样管
104、单项选择题 楼梯面层施工时,楼梯踏步的宽度、高度应符合设计要求。楼层梯段相邻踏步高度差应()。
A.不大于10mm
B.不大于12mm
C.不大于15mm
D.不大于20mm
105、单项选择题 在资金等值计算中,(F/A,i,n)表示()。
A.一次支付终值系数
B.一次支付现值系数
C.等额分付终值系数
D.等额分付现值系数
106、单项选择题 建筑施工企业的特种作业人员不包括()。
A.架子工
B.钢筋工
C.起重信号工
D.起重机械司机
107、问答题
某广场地下车库工程,建筑面积18000m2。建设单位和某施工单位根据《建设工程施工合同(示范文本)》(GF一99—0201)签订了施工承包合同,合同工期140天。工程实施过程中发生了下列事件:
事件一:施工单位将施工作业划分为A、B、c、D四个施工过程,分别由指定的专业班组进行施工,每天一班工作制,组织无节奏流水施工,流水施工参数见下表:
事件二:项目经理部根据有关规定,针对水平混凝土构件模板(架)体系,编制了模板(架)工程专项施工方案,经过施工项目负责人批准后开始实施,仅安排施工项目技术负责人进行现场监督。
事件三:在施工过程中,该工程所在地连续下了6天特大暴雨(超过了当地近10年来季节的最大降雨量),洪水泛滥,给建设单位和施工单位造成了较大的经济损失。施工单位认为这些损失是由于特大暴雨(不可抗力事件)造成的,提出下列索赔要求(以下索赔数据与实际情况相符):
(1)工程清理、恢复费用18万;
(2)施工机械设备重新购置和修理费用29万;
(3)人员伤亡善后费用62万;
(4)工期顺延6天。
问题:
1.事件一中,列式计算A、B、C、D四个施工过程之间的流水步距分别是多少天?
2.事件一中,列式计算流水施工的计划工期是多少天?能否满足合同工期的要求?
3.事件二中,指出专项施工方案实施中有哪些不妥之处?说明理由。
4.事件三中,分别指出施工单位的索赔要求是否成立?说明理由。
108、单项选择题 钢筋先达屈服极限,然后混凝土才被压坏的情况属于()。
A.适筋梁
B.超筋梁
C.少筋梁
D.无筋梁
109、多项选择题 请人向仲裁委员会提出仲裁申请后,被申请人拒不提交答辩书但提出仲裁反请求,则仲裁委员会应()
A.中止仲裁程序
B.不予受理反请求
C.审查反请求是否符合受理条件
D.将案件移送相关人民法院
E.继续审理原仲裁申请
110、单项选择题 改善混凝土耐久性的外加剂是()。
A.缓凝剂
B.早强剂
C.引气剂
D.速凝剂
111、多项选择题 以下关于混凝土强度的表述中,正确的是()。
A、在标准条件下,养护到25d龄期,测得的抗压强度值为混凝土立方体试件抗压强度,以fcu表示,单位为MPa
B、轴心抗压强度的测定采用150mm×150mm×150mm棱柱体作为标准试件
C、结构设计中混凝土受压构件的计算采用混凝土的轴心抗压强度,更加符合工程实际
D、我国采用立方体的劈裂抗拉试验来测定混凝土的劈裂抗拉强度fts,并可换算得到混凝土的轴心抗拉强度ft
E、影响混凝土强度的因素主要有原材料及生产工艺方面的因素
112、单项选择题 关于工程质量检测的说法,正确的是()。
A.由施工企业委托具有相应资质的检测机构进行检测
B.检测机构有义务监制材料、构配件和设备
C.质量检测报告经建设单位或工程监理单位确认后,由建设单位负责归档
D.检测机构应建立档案管理制度,并单独建立检测不合格项目台账
113、单项选择题 地下有限空间设置固定式气体检测报警系统的,作业过程中应()。
A.在气体检测时开启
B.根据需要开启
C.全程运行
114、单项选择题 目前采用有害气体测试仪对人、手孔进行测试,可探测一下几种气体情况()
A、一氧化碳、硫化氢缺氧
B、硫化氢、缺氧
C、缺氧、一氧化碳
D、可燃气体、一氧化碳、硫化氢、缺氧
115、多项选择题 涉及三级动火申请和批准的部门和人员有()。
A.责任工程师
B.项目负责人
C.项目安全管理部门
D.班组长
E.企业安全管理部门
116、单项选择题 车祸伤致右足皮肤撕脱伤的伤口()
A.清洁伤口
B.污染伤口
C.感染伤口
D.一期愈合
E.二期愈合
117、多项选择题 下列土钉墙基坑支护的设计构造,正确的有()。
A.土钉墙墙面坡度1:0.2
B.土钉长度为开挖深度的0.8倍
C.土钉的间距为2m
D.喷射混凝土强度等级C20
E.坡面上下段钢筋网搭接长度为250mm
118、单项选择题 为保证气体检测仪的测量精度及测试效果,()应送到检测机构进行1次检测,并做好检测记录。
A.每半年
B.每年
C.每两年
119、单项选择题 有家庭聚集现象的是()
A.甲型肝炎病毒
B.乙型肝炎病毒
C.丙型肝炎病毒
D.丁型肝炎病毒
E.戊型肝炎病毒
120、单项选择题 根据《建设工程安全生产管理条例》,安装、拆卸施工起重机械作业前,安装单位应当编制()。
A.技术规范
B.拆装方案
C.设备运至现场的运输方案
D.进度控制横道图
121、多项选择题 抹灰用的水泥应为强度等级不小于32、5MPa,()主要用于装饰抹灰。
A、矿渣水泥
B、普通水泥
C、彩色水泥
D、白水泥
E、刚性水泥
122、单项选择题 以下哪项不是施工图预算对施工单位的作用()。
A.在施工期间安排建设资金计划和使用建设资金的依据
B.确定投标报价的依据
C.进行施工准备的依据
D.控制施工成本的依据
123、多项选择题 建筑用轻钢龙骨是以()作原料,采用冷弯工艺生产的薄壁型钢。
A、冷轧钢板
B、连续镀锌钢板(带)
C、连续热镀锌钢板(带)为基材的彩色喷塑钢板
D、彩色压型钢板
E、连续热镀锌钢板(带)为基材的彩色涂层钢板(带)
124、多项选择题 关于室内防水工程防水层施工要求的说法,正确的有()。
A.地面四周与墙体连接处,防水层应往墙面上返150mm以上
B.有淋浴设施的厕浴间墙面,防水层高度不应小于l.8m,并与楼地面防水层交圈
C.使用高分子防水涂料、聚合物水泥防水涂料时,防水层厚度不应小于1.2mm
D.界面渗透型防水液与柔性防水涂料复合施工时厚度不应小于0.8mm
E.聚乙烯丙纶防水卷材与聚合物水泥粘结料复合时,厚度不应小于1.8ram
125、多项选择题 以下关于钢材化学成分及其对钢材性能影响的说法中,错误的是()。
A、碳是决定钢材性能的最重要元素
B、当硅含量小于0、5%时,可提高钢材强度,对塑性和韧性影响明显
C、硫化物所造成的低熔点使钢材在焊接时易产生热裂纹,形成热脆现象称为热脆性
D、氧是钢中的有利元素,会提高钢材的机械性能,特别是韧性
E、氮对钢材性质的影响与碳、磷相似,会使钢材强度提高,塑性特别是韧性显著下降
126、问答题
某写字楼工程进行施工,为赶在冬季到来前主体工程施工完成,项目组决定延长施工时间,每天仅在凌晨2点至4点停止施工,其余时间均正常施工。该工程工作时间的延长严重影响了附近居民的休息。投诉电话不断打到有关管理单位。有关管理单位对这些意见进行了处理,对该项目组进行了教育,并处以罚款。同时承包商在施工过程中产生的各种固体废弃物、粉尘等给周边环境造成了较大的污染和危害,有关单位要求该承包商建立职业健康安全与环境管理体系,并对有关人员进行培训。问题
1.《建设工程安全生产管理条例》对承包商在施工过程中的环境保护责任是如何规定的?承包商施工噪声控制的要求有哪些?
2.承包商在施工过程中进行环境保护的主要措施有哪些?施工现场围挡设置要求包括哪些内容?
3.《中华人民共和国环境噪声污染防治法》中规定,新建、改建、扩建的建设项目可能产生环境噪声污染的,建设单位必须提出环境影响报告书,其内容包括哪些?
4.施工企业建立环境管理体系的步骤有哪些?5.施工企业建立职业健康安全管理体系的步骤有哪些?
127、多项选择题 下列关于房屋建筑工程竣工验收备案的范围的说法中,正确的是()。
A、凡在我国境内新建、扩建、改建各类房屋建筑工程和市政基础设施工程,都必须按规定进行竣工验收备案
B、军用房屋建筑工程竣工验收备案,按照中央军事委员会的有关规定执行
C、抢险救灾工程应适用竣工验收备案制度
D、临时性房屋建筑工程应适用竣工验收备案制度
E、农民自建低层住宅工程不适用竣工验收备案制度
128、问答题
背景:某写字楼,剪力墙结构。因工程需要在其剪力墙的外侧安装点式玻璃幕墙。土建工程已经完毕,施工时没有预埋件,而且抹灰工序已经完成。现需要在该处安装后埋件,安装完毕后土建要对其进行抹灰和涂料处理。抹灰后埋件不得外露。施工过程中,其幕墙生产车间正在进行结构胶注胶生产工序,情况如下:
(1)室温为25℃,相对湿度为50%;
(2)清洁注胶基材表面的清洁剂为二甲苯,用白色棉布蘸入溶剂中吸取溶剂,并采用“一次擦”工艺进行清洁;
(3)清洁后的基材一般在1h内注胶完毕;
(4)从注胶完毕到现场安装其间隔为一周。
在玻璃幕墙与每层楼板之间填充了防火材料,并用l.5ram的铝板固定。为了便于通风,防火材料与玻璃之间留有3mm的间隙。玻璃幕墙验收时施工单位提交了下列资料:
(1)设计图纸、计算报告、设计说明、相关设计文件;
(2)材料、配件、附件及组件的产品合格证书、质量保证书、复验报告;
(3)进口材料的检验检疫证明;
(4)隐蔽工程验收文件;
(5)幕墙物理性能检验报告;
(6)幕墙部分及分项检验记录;
(7)外观质量评定表;
(8)幕墙工程出厂合格证。
A.板的钢筋在下、次粱钢筋居中、主梁钢筋在上
B.板的钢筋在上、次粱钢筋居中、主梁钢筋在下
C.板的钢筋居中、次梁钢筋在下、主梁钢筋在上
D.板的钢筋在下、次梁钢筋在上、主梁钢筋居中
130、单项选择题 《民用建筑工程室内环境污染控制规范》将民用建筑分为两类,工类民用建筑工程和Ⅱ类民用建筑工程,下列建筑中()属于Ⅱ类民用建筑工程。
A.敬老院
B.图书馆
C.幼儿园
D.中小学
131、问答题
背景
某住宅工程,建筑面积12300m2,地上6层,地下2层。筏板基础,框架剪力墙结构。预拌混凝土。底板防水为高聚物改性沥青卷材两层防水。屋面为卷材防水,面积2000m2。室内厕浴间为聚合物水泥防水涂料。工期365日历天。某防水公司中标后成立了项目部组织施工。
事件一:施工总承包单位在底板混凝土施工前对混凝土生产厂家进行了技术交底。其中规定:水泥用量不得少于270kg/m3;砂率宜为45%~55%;灰砂比宜为1:2~1:2.5;水灰比不得大于0.55;泵送时入泵坍落度宜为140~180mm;水泥强度等级不应低于32.5MPa,不得使用碱活性骨料。监理单位提出了意见,要求重新交底。
事件二:施工总承包单位在底板混凝土施工前对施工班组进行了技术交底。其中规定:底板防水混凝土连续浇筑,不留施工缝;墙体水平施工缝留在高出底板表面不小于200mm的墙体上;墙、板结合水平施工缝,留在板、墙接缝线以下150~300mm处;墙体预留孔洞时,施工缝距孔洞边缘不应小于200mm;垂直施工缝应避开地下水和裂隙水较多的地段,并宜与变形缝相结合;防水混凝土终凝后应立即进行养护,养护时间不得少
于7d。监理单位提出了意见,要求重新交底。
事件三:防水公司项目部在底板卷材防水施工前对施工班组进行了技术交底。其中规定:底板垫层混凝土平面部位的卷材采用满粘法;严禁采用热熔法施工;卷材接缝必须粘贴封严,两幅卷材短边和长边的搭接宽度为150mm;上下两层和相邻两幅卷材的接缝错开1/3~1/2幅宽,且两层卷材不得相互垂直铺贴;在立面与平面的转角处,卷材的接缝留在平面上,距立面600mm处;阴阳角处找平层应做成圆弧或90°。监理单位提出了意见,要求重新交底。
事件四:防水公司项目部在屋面卷材防水施工前对施工班组进行了技术交底。其中规定:屋面坡度小于3%时,卷材宜平行屋脊铺贴;屋面坡度在3%~15%时,卷材垂直屋脊铺贴;上下层卷材垂直铺贴;找平层的分格缝处宜实铺,空铺的宽度宜为50mm;屋面卷材防水层由屋面最高处向下进行;铺贴天沟、檐沟卷材时,宜顺天沟、檐沟方向,减少卷材的搭接。监理单位提出了意见,要求重新交底。
事件五:防水公司项目部在室内防水施工前对施工班组进行了技术交底。其中规定:
防水层厚度不应小于0.8mm;先做四周立墙防水层,再做地面与墙面阴阳角及管根处附加层处理;管根平面与管根周围立面转角处可不做涂膜防水附加层。监理单位提出了意见,要求重新交底。
问题
(1)指出事件一中不妥之处,并分别写出正确做法。
(2)指出事件二中不妥之处,并分别写出正确做法。
(3)指出事件三中不妥之处,并分别写出正确做法。
(4)指出事件四中不妥之处,并分别写出正确做法。
(5)指出事件五中不妥之处,并分别写出正确做法。
132、问答题
某办公楼工程,建筑面积215000㎡,箱型基础,现浇剪力墙结构,基础埋深l2.5m。该项工程位于繁华市区,施工场地狭小。工程所在地区地势北高南低,地下水流从北向南。施工单位的降水方案计划在基坑南边布置单排轻型井点。基坑开挖到设计标高后,施工单位和监理单位对基坑进行验槽,并对基底进行了钎探,发现地基东南角有约360㎡的软土区,监理工程师随即指令施工单位进行换填处理。工程主体结构施工时,二层现浇钢筋混凝土阳台在拆模时沿阳台根 部发生断裂,经检查发现是由于施工人员将受力主筋位置布置错误所造成的。事故发生后,业主立即组织了质量大检查,发现一层大厅梁柱节点处有露筋;已绑扎完成的楼板钢筋位置与设计图纸不符;施工人员对钢筋绑扎规范要求不清楚。
问题:
1.该工程所采用的基坑开挖降水方案是否合理?请说明理由。
2.有关施工单位和监理单位两家单位共同进行工程验槽的做法是否妥当?请说明理由。
3.施工单位发现基坑基底软土后应按如何进行基底处理?
4.材料中的问题反映出施工单位质量管理中存在哪些主要问题?
133、单项选择题 当地质条件和场地条件许可时,开挖深度不大的基坑最可取的幵挖方案是()。
A.放坡挖土
B.中心岛式(墩式)挖土
C.盆式挖土
D.逆作法挖土
134、问答题
某建筑工程施工进度计划网络图如下:

施工中发生了以下事件:
事件1:A工作因设计变更停工10天;
事件2:B工作因施工质量问题返工,延长工期7天;
事件3:E工作因建设单位供料延期,推迟3天施工。
事件4:在设备管道安装气焊作业时,火星溅落到正在施工的地下室设备用房聚氢腊防水涂膜层上,引起火灾。
在施工进展到第120天后,施工项目部对第110天前的部分工作进行了统计检查。
统计数据见下表:

2、问题
(1)本工程计划总工期和实际总工期各为多少天?
(2)施工总承包单位可否就事件1~事件3获得工期索赔?分别说明理由。
(3)计算截止到第110天的合计BCWP值。
(4)计算第110天的成本偏差CV值,并做CV值结论分析。
(5)计算第110天的进度偏差SV值:并做SV值结论分析。
135、问答题
某耐火材料厂新建厂区工程,主要单体为一重钢结构多层厂房工程,地下部分为混凝土灌注桩基础,地上部分柱为钢管混凝土,其他构件均为H型钢构件,钢构件的连接方式主要为高强螺栓连接。
钢构件加工过程中,驻加工厂监理发现个别构件焊接时出现咬边,经过施工单位的科技攻关,得以解决。
制作完成、并经检测合格的构件所有外露部位均喷涂底漆后运至施工现场,现场尺寸校验后进行拼装。高强螺栓连接时先初拧至施工扭矩的50%左右,对接合件进行校正,消除接合件的变形、错位和错孔后,再复拧达到紧固。高强螺栓安装时从中部向四周逐个进行,初拧及终拧从四周向中心进行,并保持四个方向对称拧紧。
钢结构子分部工程质量验收合格,在工程竣工验收通过后3个月之内,施工单位按时将工程档案送交当地城建档案管理机构。
【问题】
1.试分析可能出现咬边的主要原因?并简述处理方法。
2.试分析本案例中从钢构件运至现场到拼装完毕共有哪些不妥之处,并简述理由。
3.简述钢结构子分部工程质量验收合格的条件?
4.关于工程档案问题,施工单位的做法是否合理?并简述理由。
136、名词解释 建筑“三大材”
137、问答题
背景:
某市政务服务中心办公大楼工程,地下为3层连体车库,地上24层,其中:裙房6层,檐高27m,报告厅混凝土结构局部层高8m,演艺厅钢结构层高8m。框架剪力墙结构,基础埋深12m。地下水位在底板以上2m。由于现场场地开阔故地勘报告和设计文件推荐基坑土方施工采用放坡大开挖。主楼脚手架采用分段悬挑式,裙房采用落地式钢管脚手架,核心筒剪力墙采用大钢模施工,装修采用吊篮施工,现场自制卸料平台。某施工总承包单位中标后成立了项目部组织施工。施工过程中发生了如下事件:
事件一:工程开工前,项目部编制了《施工组织设计》。其中规定:项目施工安全管理程序为确定安全管理目标;编制安全措施计划;实施安全措施计划。监理工程师提出了意见。
事件二:工程开工前,项目部编制了《安全措施计划》。内容有工程概况;管理目标;组织机构与职责权限;规章制度。监理工程师提出了意见。
事件三:工程开工前,项目部采用专家调查法、头脑风暴法进行了危险源辨识。规定了施工现场采用危险源提问表时的设问范围,其中有在平地上滑倒(跌倒);人员从高处坠落(包括从地平处坠人深坑);工具、材料等从高处坠落;头顶以上空间不足;用手举起搬运工具、材料等有关的危险源;与装配、试车、操作、维护、改造、修理和拆除等有关的装置、机械的危险源;车辆危险源,包括场地运输和公路运输;火灾和爆炸;邻近高压线路和起重设备伸出界外;吸人的物质等10项内容。监理工程师提出了意见。
问题:
(1)本工程单独编制安全专项施工方案的分部分项工程有哪些?
(2)本工程单独编制安全专项施工方案并进行专家论证的分部分项工程有哪些?
(3)事件一中,建筑工程施工安全管理程序还应有哪些?
(4)事件二中,安全措施计划的主要内容还应有哪些?
(5)事件三中,建筑工程施工安全危险源辨识方法还应有哪些?
(6)事件三中,施T现场采用危险源提问表时的设问范围还应有哪些?
138、多项选择题 水泥砂浆铺抹前,基层的表面应()。
A.坚实、平整
B.粗糙、洁净
C.充分湿润,无积水
D.施工缝与变形缝相结合
E.用与防水层相同的砂浆将表面的孔洞、缝隙堵塞抹平
139、单项选择题 单位工程施工组织设计应由()主持编制。
A.项目负责人
B.项目技术负责人
C.项目技术员
D.项目施工员
140、单项选择题 关于砌体工程施工的做法,正确的是()。
A.宽度为350mm的洞口上部未设置过梁
B.不同品种的水泥混合使用,拌制砂浆
C.混凝土小型空心砌块底面朝下砌于墙上
D.蒸压加气混凝土砌块龄期超过28天后砌筑
141、多项选择题 根据我国《招标投标法》的规定,下列工程建设项目中必须进行招标的是()。
A.涉及国家秘密的项目
B.涉及国家安全的项目
C.使用国际组织或者外国政府贷款、援助资金的项目
D.全部或者部分使用国有资金投资或者国家融资的项目
E.大型基础设施、公用事业等关系社会公共利益、公众安全的项目
142、单项选择题 某小学六年级学生胡某用自己的压岁钱买了一辆山地车,由于其父母不同意,最后找到商家退货。胡某的这一民事法律行为最终没有成立的原因在于()。
A.法律行为主体不具有相应的民事行为能力
B.行为人意思表示不真实
C.行为内容不合法
D.行为形式不合法
143、单项选择题 混凝土的抗渗强度用符号()表示。
A.M
B.MU
C.P
D.F
144、多项选择题 从事建筑活动的建筑业应当具备下列()条件。
A.有符合法律规定的组织机构
B.有符合国家规定的注册资本
C.有与其从事的建筑活动相适应的具有法定的执业资格的专业技术人员
D.有从事相关建筑活动所应有的技术装备
E.法律行政法规规定的其他条件
145、单项选择题 直接承受动力荷载的钢筋混凝土结构构件,其纵向钢筋连接应优先采用()。
A.闪光对焊
B.绑扎搭接
C.电弧焊
D.直螺纹套筒连接
146、单项选择题 有限空间管理单位应向作业单位如实提供地下有限空间类型、内部设施及()等基本信息。
A.外部环境
B.气体含量
C.安全记录
147、单项选择题 通常用来控制土的夯实标准的岩土物理力学性能指标是()。
A.黏聚力
B.密实度
C.干密度
D.可松性
148、单项选择题 一般环境中,要提高混凝土结构的设计使用年限,对混凝土强度等级和水胶比的要求是().
A.提高强度等级,提高水胶比
B.提高强度等级,降低水胶比
C.降低强度等级,提高水胶比
D.降低强度等级,降低水胶比
149、单项选择题 施工项目成本核算,每一月为一个核算期,核算在()进行。
A.月初
B.月中
C.月末
D.随时
150、单项选择题 材料的导热系数与()因素无关。
A.材料的密度
B.材料的含水率
C.材料的厚度
D.材料所在的环境温度
151、单项选择题 混凝土立方体抗压标准强度是按标准方法制作和养护的边长为l50mm的立方体试件,在()d龄期,用标准试验方法测得的抗压强度总体分布中具有不低于95%保证率的抗压强度值。
A、15
B、20
C、25
D、28
152、问答题
某大酒店(发包方)与装饰公司(承包方)签订了1~5楼装饰施工合同,工期为5个月。双方关于装饰材料的合同内容有:1.石材由发包方指定材质、颜色和样品,并向承包方推荐供货商,由承包方与供货商签订供货合同;2.其他装饰材料由承包方采购;3.所有材料进场时都必须经监理工程师验收合格后方可使用。双方关于工程价款的合同内容有:1.工程造价为1880万元,合同签订10日内,发包方向承包方支付合同价款20%的预付款;2.工程进度款按月支付,从进度款中按5%的比例扣留质量保证金;3.预付款在最后2个月扣除,每月各扣50%。在装饰施工合同履行过程中,出现下列情况:
1.承包商采购了一批大芯板,未经监理工程师同意就用于施工,经检验发现承包方未能提交该批材料的产品合格证、生产许可证、有害物检测报告,且这批材料外观质量不好。
2.供货商将石材按合同采购量送达施工现场,进场检查时有部分石材存在色差不符合要求,监理工程师通知承包方不得使用。承包方要求供货商将不符合要求的石材退换,供货商要求承包方支付退货运费,承包方不同意支付。供货商要求发包方从应付承包方的工程款中扣除上述费用。
3.工程在保修期间,顶棚多处开裂,影响美观,发包方多次催促承包方修理,承包方一再拖延,最后发包方另请施工单位维修,修补费用为1万元。
153、单项选择题 下列关于抹灰工程的说法符合《建筑装饰装修工程质量验收规范》(GB50210-2001)规定的是()。
A、当抹灰总厚度大于25mm时,应采取加强措施
B、不同材料基体交接处表面的抹灰,采用加强网防裂时,加强网与各基层搭接宽度不应小于50mm
C、室内墙面、柱面和门洞口的阳角,当设计无要求时,应做1:2水泥砂浆暗护角
D、抹灰工程应对水泥的抗压强度进行复验
154、单项选择题 向当地城建档案管理部门移交工程竣工档案的责任单位是()。
A.建设单位
B.监理单位
C.施工单位
D.分包单位
155、多项选择题 工程造价等于不舍税工程造价加上()。
A.增值税
B.营业税
C.城市维护建设税
D.教育费附加
E.利润
156、单项选择题 下列流水施工的基本组织形式中,其专业工作队数大于施工过程数的是()。
A.等节奏流水施工
B.异步距异节奏流水施工
C.等步距异节奏流水施工
D.无节奏流水施工
157、多项选择题 关于非抗震设计的框架结构,不同部位震害程度的说法,正确的有()。
A.柱的震害轻于梁
B.柱顶的震害轻于柱底
C.角柱的震害重于内柱
D.短柱的震害重于一般柱
E.填充墙处是震害发生的严重部位之一
158、多项选择题 工程量清单计价的全部费用由()四项组成。
A.分部分项工程费
B.措施项目费
C.规费
D.税金
E.资金利息
159、单项选择题 下列关于石灰技术性能的说法中,正确的是()。
A、硬化时体积收缩小
B、耐水性差
C、硬化较快、强度高
D、保水性差
160、单项选择题 深基坑工程中无支护结构的挖土方案是()。
A、放坡挖土
B、中心岛式挖土
C、盆式挖土
D、逆作法挖土
161、名词解释 挑梁
162、问答题
背景:某土方支护工程,基坑挖土深度为一l2m,基坑上口标高为0.5m,基坑长宽约
为100mX50m,面积约为5000m2,地下承压水位在-15m以下,一8m深处有局部滞水。
建设单位就该工程进行了招标,专业承包单位中标后,根据设计的基础图与地勘报告编制了专项施工方案,基坑支护设计形式有两种:支护形式一为:1:0.4放坡“土钉墙+钢板网片”混凝土喷锚;支护形式二为:一6m以上为1:0.3放坡“土钉墙+钢板网片”混凝土喷锚;下部一6m~一l2m为直径800mm的钢筋混凝土护坡桩,护坡桩嵌固深度为2.5m。
之后的施工过程中发生了如下事件:
事件一:建设单位要求专业承包单位,对该工程的专项施工方案审核签字、组织专家论证并尽快实施。
事件二:在基坑支护工程开始施工后,设计单位因建筑使用功能调整,对支护形式二的部位局部基础加深至-14m。
某装饰公司承接了寒冷地区某商场的室内外装饰工程。其中,室内地面采用地面砖镶贴,吊顶工程部分采用木龙骨,室外部分墙面为铝板幕墙,采用进口硅酮结构密封胶、铝塑复合板,其余外墙为加气混凝土外镶贴陶瓷砖。施工过程中,发生如下事件。
事件1:因木龙骨为甲提供材料,施工单位未对木龙骨进行检验和处理就用到工程上。
施工单位对新进场外墙陶瓷砖和内墙砖的吸水率进行了复试,对铝塑复合板核对了产品质量证明文件。
事件2:在送待检时,为赶工期,施工单位未经监理工程师许可就进行了外墙饰面砖镶贴施工,待复验报告出来,部分指标未能达到要求。
事件3:外墙面砖施工前,工长安排工人在陶粒空心砖墙面上做了外墙饰面砖样板件,并对其质量验收进行了允许偏差的检验。
【问题】
1.进口硅酮结构密封胶使用前应提供哪些质量证明文件和报告?
2.事件1中,施工单位对甲提供的木龙骨是否需要检查验收?木龙骨使用前应进行什么技术处理?
3.事件1中,外墙陶瓷砖复试还应包括哪些项目?是否需要进行内墙砖吸水率复试?铝塑复合板应进行什么项目的复验?
4.事件2中,施工单位的做法是否妥当?为什么?
5.指出事件3中,外墙饰面砖样板件施工中存在的问题,写出正确做法,补充外墙饰面砖质量验收的其他检验项目。
164、问答题
某公司新建一办公大楼,框架结构,烧结普通砖填充墙。
基础形式为大放脚基础,施工组织设计原定先采用机械开挖,然后人工清底至设计标高。实际土方开挖过程中,机械开挖由于在夜间施工,导致超挖0.2m深。
主体结构施工过程中,由于钢筋翻样员识图错误,钢筋下料尺寸超出模板尺寸,需返工处理,施工单位拟将直径16mm以下的钢筋弯折处直开,然后重新加1:制作。
屋 91EXAM.org面梁施工时,混凝土浇筑过后12d采用所有梁模板均拆除完毕,质量检查员发现部分梁出现比较大的孔洞。施工单位将孔洞冲洗干净后,用与梁浇筑时所用一模一样的混凝土进行填充捣实,并认真养护。
本丁程外立面原设计为涂料饰面,主体结构施工完毕后,业主强行将设计更改为隐框玻璃幕墙。幕墙与主体结构采用后置埋件连接,因为幕墙构造需要,部分后置埋件连接位置在填充墙上。
【问题】
1.对于基底超挖部分,应如何处理?
2.施工单位对于钢筋返工的处理是否正确?简述理由、正确做法。
3.施工单位关于梁上出现孔洞的处理是否妥当?简述理由、正确做法。
4.普通砖墙上是否可作幕墙的支承点?如必须在砖墙上设置支承点,应采取什么措施?
165、多项选择题 建筑基础验槽必须参加的单位有()
A.建设单位
B.设计单位
C.监理单位
D.降水分包单位
166、单项选择题 公民徐某在提起离婚诉讼后不久就发生了交通事故,因伤势严重开庭时无法到庭。由于徐某没有其他的法定代理人,受诉人民法院只好为其指派了一名律师林某担任他的代理人。那么,徐某和林某之间的这种代理关系属于()。
A.委托代理
B.法定代理
C.指定代理
D.无权代理
167、多项选择题 荷载按其作用面的大小分类可分为()。
A、线荷载
B、均布面荷载
C、垂直荷载
D、集中荷载
E、水平荷载
168、单项选择题 均布荷载作用下,连续梁弯矩分布特点是()。
A、跨中正弯矩,支座负弯矩
B、跨中正弯矩,支座零弯矩
C、跨中负弯矩,支座正弯矩
D、跨中负弯矩,支座零弯矩
169、问答题 分别列示计算本工程项目预付款和预付款的起扣点是多少万元(保留两位小数)?
170、问答题
某建筑施工总承包特级企业A公司中标一大型商务写字楼工程,该工程地上86层,地下5层,结构为钢结构一混凝土混合结构。精装修工程为甲指分包项目,由B装饰公司完成。施工过程中发生如下事件:
事件一:监理单位要求中标单位上报施工项目质量计划,施工单位项目总工程师依据项目设计图纸以及业主对于工程质量创优的要求,召集项目全体技术、质量等所有管理人员,主持编制了该项目的质量计划。
事件二:该工程质量计划包含以下内容:(1)编制依据,(2)项目概况,(3)项目质量管理体系,(4)产品实现。监理单位认为质量计划内容严重缺项,要求整改。
事件三:总承包单位在质量计划书中对自行施工的工作内容作了详细的规划。并建立了项目质量责任制和考核办法。监理单位要求整改。
事件四:竣工验收时发现装修存在质量问题,业主要求A公司整改,A公司认为此部分为B公司施丁,且B公司为业主指定分包,与A公司无关。
【问题】
1.指出事件一中不妥之处,并分别说明理由。2.事件二中,项目质量计划还应有哪些内容。
3.指出事_5中不妥之处,并说明理由4.指出事件四中不妥之处,并说明理由。
171、单项选择题 某地铁工程,业主将10座车站的土建工程分别发包给10个土建施工单位,机电安装工程分别发包给10个机电安装单位。业主采用的承发 包模式是()
A.施工总承包模式
B.施工平行承发包模式
C.施工总承包管理模式
D.EPC承包模式
172、单项选择题 有淋浴设施的厕浴间墙面防水层高度不应小于(),并与楼地面防水层交圈。
A.1.0m
B.1.5m
C.1.8m
D.2.0m
173、多项选择题 模板工程设计的安全性指标包括()。
A.强度
B.刚度
C.平整度
D.稳定性
E.实用性
174、多项选择题 申领施工许可证时,建设单位应当提供的有关安全施工措施的资料包括()
A.安全防护设施搭设计划
B.专项安全施工组织设计方案
C.书面委托监理合同
D.安全施工组织计划
E.安全措施费用计划
175、单项选择题 建筑物基坑采用钎探法验槽时,钎杆每打人土层()mm,应记录一次锤击数。
A.200
B.250
C.300
D.350
176、单项选择题 关于大体积混凝土、设备基础分层浇筑顺序的说法,正确的是()。
A.从低处开始,沿长边方向自一端向另一端浇筑
B.从低处开始,沿短边方向自一端向另一端浇筑
C.从高处开始,沿长边方向自一端向另一端浇筑
D.从高处开始,沿短边方向自一端向另一端浇筑
177、单项选择题 男性,50岁,糖尿病6年,发热咳嗽咳痰2周,咳痰带少量血丝,肺部未闻及啰音,胸片右肺上野及中野密度较淡浸润影,似有透光区,血WBC9.2×109/L,中性粒细胞比例67%该患者的抗结核治疗疗程应该是()
A.应该是短程化疗,但可以适当延长治疗时间
B.时间延长一倍
C.时间延长两倍
D.时间延长一半
E.和短程化疗的时间完全一样
178、名词解释 砖石镟(xuàn )
179、问答题 某建筑工程,建筑面积35000mm;地下2层,筏形基础.地上25层,钢筋混凝土剪力墙结构;地上裙房6层,框架结构。室内隔墙采用加气混凝土砌块。建设单位依法选择了施工总承包单位,签订了施工总承包合同。合同约定:室内墙体等部分材料由建设单位采购;建设单位同意施工总承包单位将部分工程依法分包和管理。合同履行过程中,发生了下列事件:事件一:施工总承包单位项目经理部在《施工组织设计》中明确本工程施工总平面布置应符合的原则,并提出施工总平面图现场管理总体要求,包括"安全有序"、"不损害公众利益"两项内容。事件二:施工总承包单位按照相应分包资质及能力确认方法及原则选择了裙房结构工程的分包单位。双方合同约定分包工程技术资料由 分包单位整理、保管,并承担相关费用。分包单位以其签约得到建设单位批准为由,直接向建设单位申请支付分包工程款。事件三:建设单位采购的一批墙体节能砌块经施工总承包单位进场检验发现导热性能指标不符合设计文件要求。建设单位以指标值偏差不大为由,指令施工总承包单位使用该批砌块,施工总承包单位执行了指令。但在施工过程中,监理单位对此事发出书面整改通知,并报告了当地建设主管部门,地方行政主管部门依法查处了这一事件。事件四:当地行政主管部门对施工总承包单位违反施工规范强制性条文的行为,在当地建筑市场诚信记录平台上进行了公布,公布期限为6个月。公布后,当地行政主管部门结合企业提出的申请和整改情况,决定将公布期限调整为4个月。国家住房和城乡建设部在全国进行公布,公布期限也是4个月。事件五:施工总承包单位负责整个施工现场的文明施工,对于现场产生的建筑垃圾、废弃包装、生活垃圾等常见固体废物随时按相关规定进行了处理。 事件五中,施工产生的固体废物主要处理方法有哪些(至少列出三项)?
180、名词解释 砖混结构
181、问答题
某厂(甲方)与某建筑公司(乙方)订立了某工程项目施工合同,同时与某降水公司订立了工程降水合同。甲乙双方合同规定:采用单价合同,每一个分项工程的实际工程量增加(或减少)超过招标文件中工程量的10%以上时调整单价;工作B,E,G作业使用的主导施工机械一台(乙方自备),台班费为400元/台班,其中台班折旧费为240元/台班。施工网络计划如图1所示(单位:天)。

建议双方合同约定八月十五日开工。工程施工中发生了如下事件:
(1)降水方案错误,致使工程D推迟两天,乙方人员配合用工5个工日,窝工6个工日。
(2)8月21日至8月22日,因供电中断停工2天,造成人员窝工16个工日。
(3)因设计变更,工作E工程量由招标文件中的300m3增至350m3,超过了10%;合同中该工作的全费用单价为110元/m3,经协商调整后全费用单价为100元/m3。
(4)为保证施工质量,乙方在施工中将工作B原设计尺寸扩大,增加工程量15m3,该工作全费用单价为128元/m3。
(5)在工作D、E均完成后,甲方指定增加一项临时工作K,经核准,完成该工作需要1天时间,机械1台班,人工10个工日。
问题:
1.上述哪些事件乙方可以提出索赔要求?哪些事件不能提出索赔要求?说明其原因。
2.每项事件工期索赔各是多少?总工期索赔多少天?
3.工作E结算价应为多少?
4.假设人工工日单价为50元/工日,合同规定窝工人工费补偿标准为25元/工日,因增加用工所需管理费为增加人工费的20%,工作K的综合取费为人工费的80%。试计算除事件3外合理的费用索赔总额。
182、多项选择题 结构螺栓连接施工质量的说法,正确的有()。
A.普通螺栓紧固应从中间开始,对称向两边进行
B.普通螺栓作为永久性连接螺栓的大型接头,宜采用复拧
C.高强度螺栓安装时可先用安装螺栓和冲钉,也可用高强度螺栓兼做安装螺栓
D.高强度螺栓的紧固顺序从节点中间向边缘施拧E.高强度螺栓初拧和终拧应按相反的顺序进行,以使所有螺栓都均匀受力
183、单项选择题 下列装修材料中,属于功能材料的是()。
A.壁纸
B.木龙骨
C.防水涂料
D.水泥
184、问答题 某耐火材料厂新建厂区工程,主体为一重钢结构多层厂房,地下部分为混凝土灌注桩基础,地上部分柱为钢管混凝土,其他构件均为H型钢构件,钢构件间的连接方式主要为高强度螺栓连接。施工过程中,发生了如下事件:事件一:钢构件加工过程中,驻加工厂监理发现个别构件焊接时出现咬边,经过施工单位的科技攻关,得以解决。事件二:钢构件制作完成、并经检测合格的构件所有外露部位均喷涂底漆后运至施工现场,现场尺寸校验后进行拼装。高强度螺栓连接时先初拧至施工扭矩的50%左右,对接合件进行校正,消除接合件的变形、错位和错孔后,再复拧达到紧固。高强度螺栓安装时从中部向四周逐个进行,初拧及终拧从四周向中心进行,并保持四个方向对称拧紧。监理工程师指出错误,责令整改。事件三:钢结构施工完毕,总监理工程师组织钢结构子分部工程验收,认为达到验收合格的条件,同意通过验收。事件四:在单位工程竣工验收通过后的第75天,施工单位将工程档案送交当地城建档案管理机构,被城建档案管理机构拒绝接收。 试分析事件一中出现咬边的可能原因(至少列出四项),并简述处理方法。
185、单项选择题 某工程项目采用施工总承包管理模式,如施工总承包管理单位想承接该工程部分具体工程的施工任务,则其可通过()
A.监理单位委托取得任务
B.投标竞争取得任务
C.施工总承包人委托取得任务
D.自行分配取得任务
186、单项选择题 提高混凝土梁正截面承载能力最有效的方法是()。
A.等截面
B.等根数
C.等强度
D.等刚度
187、问答题
背景:某地下车库工程.地下4层,地上局部两层,由于地下室埋深较深,对防水的要求比较高,地下室底板及外墙均采用Pl2的防水混凝土,并通过外防外贴法附加两层4mm+4mm的SBS卷材防水层。基坑肥槽回填时,回填土由两处取土场外购,一处土质为砂土,一处为粉质黏土,回填施工时控制其含水量均为l3.2%±l.5%。地上部分设计有局部下沉广场,广场中庭设计有一铝合金骨架隐框玻璃幕墙阳光房,拟采用单层镀膜中空玻璃。
铝合金型材现场检验哪些内容?中空玻璃质量检查主要有哪些要求?
A.120
B.100
C.90
D.80
189、单项选择题 多层小砌块房屋的女儿墙高度最小超过()m时,应增设锚固于顶层圈梁的构造柱或芯柱。
A.0.50
B.0.75
C.0.90
D.1.20
190、多项选择题 对大体积混凝土进行二次振捣的目的是()。
A.降低水化热
B.提高混凝土与钢筋的握裹力
C.增加密实度
D.提高混凝土抗压强度及抗裂度
E.降低内外温差
191、单项选择题 配筋砌体工程中,设置在砌体水平灰缝中的钢筋锚固长度最小限值是()。
A.250mm
B.300mm
C.50d
D.55d
192、单项选择题 多孔砖砌体采用铺浆法砌筑时,铺浆长度不得超过()mm。
A、300
B、400
C、500
D、600
193、单项选择题 下列各项中,不作为施工图预算编制依据的是()。
A.施工组织设计
B.与施工图预算计价模式有关的设计依据
C.工程量清单
D.预算工作手册
194、单项选择题 采用钎探法进行基坑验槽时,其钎探深度以()为依据。
A、梅花形布设
B、设计
C、勘察报告
D、施工计划
195、问答题
背景:某地下车库工程.地下4层,地上局部两层,由于地下室埋深较深,对防水的要求比较高,地下室底板及外墙均采用Pl2的防水混凝土,并通过外防外贴法附加两层4mm+4mm的SBS卷材防水层。基坑肥槽回填时,回填土由两处取土场外购,一处土质为砂土,一处为粉质黏土,回填施工时控制其含水量均为l3.2%±l.5%。地上部分设计有局部下沉广场,广场中庭设计有一铝合金骨架隐框玻璃幕墙阳光房,拟采用单层镀膜中空玻璃。
本案例中地下室外墙混凝土质量检查应主要控制哪些方面的内容?
A.现场临时用电工程
B.现场临时用水工程
C.起重吊装工程
D.现场外电防护工程
197、单项选择题
图示人字梯放置在光滑(忽略摩擦)地面上,顶端人体重量为P。关于绳子拉力与梯子和地面的夹角α、绳子位置h的关系的说法,正确的是()。

A.α、h越大,绳子拉力越大
B.α、h越小,绳子拉力越大
C.α越大、h越小,绳子拉力越大
D.α越小、h越大,绳子拉力越大
198、单项选择题 关于砌体结构施工的做法,错误的是()。
A.施工现场砌块堆放整齐,堆放高度1.9m
B.常温情况下砌筑砖砌体时,提前2d浇水湿润
C.砖砌体的水平灰缝厚度为11mm
D.必须留置的临时间断处砌成直搓
199、名词解释 箍筋
200、单项选择题 下列有关设计概算的表述,正确的是()。
A.设计概算是拨付进度款及办理结算的依据
B.设计概算是签订建设工程合同和贷款合同的依据
C.设计概算是控制施工图设计和施工图预算的依据
D.设计概算可分为单项一工程概算和建设T程项目总概算两级