时间:2017-10-24 13:05:09


1、填空题 曲线分为平面曲线和()两种。
2、单项选择题 管子的变形程度常用()衡量。
A、圆度
B、椭圆度
C、锥度
D、任意
3、单项选择题 刚性固定法能有效地防止焊接变形,除低碳钢以外的各种碳钢结构焊接时必须()。
A.预热
B.焊后除应力
C.制定合理的焊接顺序
4、填空题 焊接过程是造成金属结构件产生(),而引起变形的主要原因。
5、单项选择题 在拉深模中,凸、凹摸之间的()对拉深件的质量和拉深模的使用寿命影响最大。
A、圆角
B、润滑
C、间隙
D、压边圈
6、单项选择题 要求焊缝塑性好、冲击韧度高时,应选用()。
A.酸性焊条
B.中性焊条
C.碱性焊条
7、填空题 在全面质量管理的管理过程中,概括为:(),它包括()、()、()、()四个阶段。
8、单项选择题 有的大型滚圆机在辊轴上加工纵向沟槽,它的作用()。
A.减轻辊轴重量
B.便于工件找正
C.美观
D.散热
9、单项选择题 火焰切割过程是一个()的连续过程。
A.预热-燃烧-吹渣
B.预热-吹渣-燃烧
C.燃烧-吹渣-预热
D.吹渣-预热-燃烧
10、填空题 梯形螺纹用作()。
11、单项选择题 抗拉强度极限符号是()。
A.σs
B.σo.2
C.σb
D.σbe
12、单项选择题 联接成本最低的是()。
A.螺栓联接
B.铆接
C.焊接
13、问答题 计算题:已知一方钢截面尺寸为50mm×50mm,长度为6m,求该方钢的质量为多少公斤?(已知钢的密度为7.85kg/dm3)。
14、填空题 焊条直径的选取应根据焊件厚度、接头形式、焊缝位置、()等因素选定。
15、填空题 冲裁时,材料对模具的最大抵抗力,叫()。
16、问答题 怎样矫正工字梁的焊后变形?
17、单项选择题 板料折弯压力机单边载荷时,要求载荷压力不大于公称压力的()。
A.1/2倍
B.1/3倍
C.1/4倍
D.1/5倍
18、单项选择题 采局部件装配可以将很多的立焊、仰焊变为(),扩大了自动焊、半自动焊的应用。
A.连续焊
B.断续焊
C.角焊
D.平焊
19、单项选择题 錾子的刃口部分呈楔形,楔形几何角度的大小由加工材料的()而定。
A、弹性
B、塑性
C、硬度
D、脆性
20、单项选择题 工作压力在()属于高压容器。
A.0.1-1.6Mpa
B.1.6-10MPa
C.10-100
D.大于100MPa
21、问答题 设计弯曲模结构时,为了保证质量,除考虑回弹外,还应注意哪些问题?
22、单项选择题 当旋转体与球体相交,旋转体的轴线与某一投影面平行时,相贯线在这个投影面上的投影是一()。
A、椭圆
B、圆
C、斜线
D、直线
23、填空题 受力物体上的外力一般可分为()和()两大类。
24、单项选择题 铆钉枪是利用压缩空气,使配气活门上下形成压力差。由于压力差的作用,使()上下运动,并改变了气路,从而使活塞上下运动,进行锤击。
A.活塞
B.配气活门
C.罩模
D.空气
25、填空题 对于大型,重要设备与高中压及超高压设备,管道,在试压前应编制(),()试验方案或()措施。
26、填空题 钢结构按连接的方式,有焊接结构、铆接结构、螺栓连接结构和()。
27、问答题 什么是自由组装法?什么情况下采用自由组装法?
28、单项选择题 在装配时采用适当的措施,以防止或减少()。
A、焊后变形
B、矫正
C、焊后变形和矫正工作量
D、不合格产品
29、问答题 三角形展开法的基本原理是什么?适用于何种构件的展开?
30、填空题 焊机种类较多,使用最多的种类有()、()和()。
31、问答题 画零件草图的要求是什么?
32、填空题 箱形梁腹板下料时,在离中心()处不能有接头。
33、单项选择题 铡刀剪只能进行()剪切。
A、直线
B、曲线
C、直线和曲线交叉
D、任意线条
34、问答题 怎样进行浮顶油罐中央排水管的严密性试验?
35、填空题 罐底中幅板搭接接头三层钢板重叠部分,应将上层底极进行()处理。
36、单项选择题 使用电器设备时,如发现有人触电,要及时()。
A、抢救
B、切断电源
C、切断电源再进行抢救
D、送医院
37、单项选择题 电渣焊一次能焊接()的焊件,焊接生产率很高。
A、很大
B、很小
C、很厚
D、很薄
38、填空题 管子弯曲时出现起皱现象,一般在弯头的(),同时,原有圆形断面将变成()形。
39、问答题 何谓剖视?剖视图分哪几种?
40、单项选择题 对原材料,外购件和外协件进行的质量检验是()。
A.进货检验
B.成品检验
C.工序检验
41、单项选择题 球罐水压试验的压力一般取工作压力的()倍,试验水温高于16℃。
A.1.15
B.1.5
C.3
D.4
42、填空题 焊接和铆接是不可拆的联接,螺栓连接是()的联接。
43、填空题 钢结构件受外力作用引起的永久变形,属于()变形。
44、问答题 什么是帕斯卡定律?其应用如何?
45、单项选择题 刀片上后角值一般为()。
A、1°~2°
B、1.5°~2°
C、1.5°~3°
D、2°~3°
46、单项选择题 T型构件焊接后容易引起翼板的()变形。
A、弯曲
B、扭曲
C、角
D、波浪
47、填空题 焊后热处理的目的是消除焊接()。
48、单项选择题 内应力()由外力引起。
A.都是
B.不是
C.不一定
D.间接
49、单项选择题 装配前,除检查角钢的长度尺寸外,还应目测角钢的()和垂直度。
A、直线度
B、平面度
C、平行度
D、平直度
50、单项选择题 消除板厚干涉,就是消除板厚对构件()尺寸的影响。
A.展开
B.连接处
C.高度
51、单项选择题 斜铁原理来矫正时,常用的工具有()。
A.斜铁、圆柱和斜角钢
B.斜铁、圆柱和平钢
C.斜铁、圆锥和斜角钢
D.斜铁、圆锥和平钢
52、单项选择题 两块钢板的边缘相对,并且表面在一个平面焊接的接头,称为()。
A、搭接接头
B、对接接头
C、角接接头
D、T字接头
53、填空题 滚圆锥时,要使小口的移进速度低于大口的移进速度;必须增加坯料()边缘的摩擦力。
54、单项选择题 螺旋面的旋转方向对绞龙叶片的下料()。
A.有关
B.无关
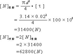
C.关系不大
55、问答题 怎样减少金属结构焊接件的变形,使之符合质量要求?
56、单项选择题 相对弯曲半径和相对壁厚值越小,变形越(),严重时会引起管子的外壁破裂,内壁起皱成波浪形。
A、大
B、小
C、不变
D、不确定
57、单项选择题 试压作业应符合()对试验介质,压力,稳压时间等要求。
A.项目经理
B.班长
C.设计
58、问答题 写出装配图的步骤。
59、问答题 装配图中包括哪几方面的内容?
60、单项选择题 在钢结构联系中,()的韧性和塑性比较好,变形也小,且便于检验和维修,所以常用于承受冲击和振动载荷的构件和某些异种金属的连接。
A.焊接
B.铆接
C.螺栓连接
61、单项选择题 铝及铝合金焊前必须仔细清理焊件表面的原因是,为了防止产生()。
A.热裂纹
B.冷裂纹
C.气孔
D.烧穿
62、填空题 塔体安装其铅垂度允许偏差为塔高的(),但不得超过30mm。
63、填空题 等径直角弯头采用()法比较简便。
64、填空题 钢材连接的常用方法有()、()、()、()。
65、单项选择题 采用端面焊可提高接头的密封性能,一般是()。
A、先胀后焊
B、先焊后胀
C、胀、焊同时
D、任意
66、填空题 在拉伸、挤压成型等工序中,由于模具间隙的原因,对材料的()要求较严。
67、单项选择题 板料越窄,料越薄则最小弯曲半径值()。
A.越大
B.不变
C.越小
D.大于回弹值
68、问答 题 简述手工弯管的工艺过程及操作要点。
69、多项选择题 下面()是展开放样的方法。
A.三角形法
B.平行线法
C.素线法
D.放射线法
70、填空题 弯曲时在发生塑性变形的同时,还存在着()变形。
71、问答题 简述塔盘安装顺序。
72、单项选择题 压型模与侧压块底面之间的距离C值一般为10-15mm,弯边高度越大,C值()。
A.越大
B.越小
C.不变
73、多项选择题 下列是耐压试验的合格条件的()。
A.容器和各部位焊缝无渗漏
B.容器无可见的异常变形
C.试验过程无异常响声
D.局部有微漏
74、单项选择题 ZG3/4表示公称直径3/4英寸的()螺纹。 www.91exAm.org
A.管
B.锥管
C.普通
D.锥
75、填空题 物体受外力作用时,在单位截面积上出现的内力称为()。
76、填空题 热加工的方法一般有两种:一种是氧乙炔局部加热;二是炉灶内大面积加热,其原因是钢材受热后屈服点降低,()相对增大。
77、填空题 当焊缝偏于钢结构一侧时,由于热涨冷缩的原因,产生()变形。
78、问答题 选择组装基准面的原则是什么?
79、单项选择题 弯管椭圆度越大,管壁外层的减薄量也()。
A、小
B、不变
C、大
D、不确定
80、单项选择题 材料弯曲时,材料越宽越厚,则弯曲程度()。
A.不变
B.越小
C.越大
D.发生回弹
81、多项选择题 班组长的安全职责有()。
A.搞好清扫、整理工作,保持作业场所整齐清洁
B.负责对新工人,调入工人及实习培训人员进行岗位安全培训教育,并考核
C.督促教育职工合理使用劳动保护用品,正确使用各种防护器具。
D.组织周一安全活动
E.发生事故组织抢救,保护现场
82、问答题 油罐在预制、组装及检验过程中,对所使用的样板有什么要求?
83、单项选择题 焊后残留在焊接结构内部的焊接应力,称为()应力。
A.温度
B.组织
C.残余
D.凝缩
84、单项选择题 焊接件长度尺寸如选()级精度可不标注,选用其他精度等级均应在图样上标注。
A、A
B、B
C、C
D、D
85、单项选择题 在圆筒对接时,()对对接后整体直线度影响最大。
A、材料厚度
B、筒节的椭圆度
C、筒节的直径
D、筒节两端的平行度
86、填空题 在现场组装多管式三级旋风分离器分离时,应进行()试验。
87、单项选择题 对接时,双盖板要比单盖板的强度提高()倍。
A.1
B.2
C.3
D.4
88、单项选择题 钢管弯曲时管内的填充材料()。
A.普通黄沙
B.铅或松香
C.水
89、单项选择题 板料越窄越薄,则弯曲程度()。
A.越大
B.越小
C.不变
D.回弹越大
90、单项选择题 碱性焊条比酸性焊条的()。
A.焊接工艺性好
B.焊接工艺性差
C.强度较低
D.强度较高
91、单项选择题 国家技术监督局于1988年颁布了《质量和质量保证》系列标准,其代号是()。
A.GB150-89
B.GB/T10300-88
C.ISO9000
92、多项选择题 设备壁厚的减薄主要是()的原因。
A.磨损
B.变形
C.腐蚀
D.冲蚀
93、单项选择题 采用点状加热矫正薄钢板的凸起时,可以辅以浇水急冷和木锤锤击,其目的是为了()。
A、加速冷却
B、加速收缩
C、防止矫正过度
D、防止钢板过热
94、填空题 管材弯曲时,中性层外的材料受拉应力。中性层内侧的材料受()力。
95、单项选择题 精密切割使用的靠模精度,至少应比割件所要求的精度高()级,其工作的表面粗糙度不低于Ra3.2μm。
A、一
B、两
C、三
D、四
96、单项选择题 球形容器由于各点的应力均匀,所以它各条拼接焊缝所受到的力()。
A.绝对相等
B.绝对不等
C.基本相等等
D.不相
97、单项选择题 在板制件的各种成形中,()变形是稳定性较好的成形。
A.弯曲
B.拉伸
C.压缩
98、单项选择题 否需开坡口以及开坡口的形式与焊接方法()。
A、有关
B、无关
C、没有联系
D、有点关系
99、问答题 铸铁与钢相比有哪些主要优点?
100、单项选择题 当球体与回转体相交,且球心位于回转体的轴上时,其相贯线为一()。
A、椭圆
B、圆
C、抛物线
D、双曲线
101、填空题 加紧就是借助()将定位后的零件固定。
102、填空题 底圆和顶圆半径分别为R、r,斜长为L的圆台侧面积M为()。
103、问答题 简述冷态手工槽制较薄钢板圆锥台过程(可分两半圆制作)。
104、单项选择题 当设计无要求时,压力容器水压试验的压力应为()。
A.设计压力P
B.1.25P
C.1.15P
105、填空题 基本生产过程中的全部工序可分为工艺工序、检验工序、()三部分。
106、单项选择题 所有的变形位置()正确的矫正位置。
A.都是
B.都不是
C.不一定是
D.一定是
107、单项选择题 台钳复动式拉形机工作时,工作台和钳口同时动作完成拉形,这类机床主要用于()成形。
A.纵向拉形
B.横向拉形
C.倾斜拉形
D.弯曲拉形
108、单项选择题 施工组织设计是进行基本建设,指导工程施工必不可少的()。
A.技术经济文件
B.技术文件
C.经济文件
109、单项选择题 剪板机的剪刃间隙必须()。
A.适当
B.大一些
C.小一些
D.0.5倍板厚
110、多项选择题 下列是夹渣焊接缺陷在底片上特征的有()。
A.不规则的点状或长条形
B.中心黑,周围淡
C.外形较规则
D.黑度均匀
111、单项选择题 焊接结构的容器,其焊缝的强度应()于容器母材的强度。
A.大于
B.等同
C.小于
112、单项选择题 材料弯曲时,材料越宽越厚,则最小弯曲半径值应()。
A.缩小
B.不变
C.增大
D.2倍于材料厚度
113、填空题 钨极氩弧焊对电流的要求首要一点是电极的()要高。
114、单项选择题 所谓展开就是对立体表面的全部或部分,按照它的()依次划在平面上。
A.实际形状
B.大小尺寸
C.实际形状和大小尺寸
D.上述三个均可
115、填空题 凸模刃口磨钝时()上会毛刺过大。
116、填空题 常用的热处理有()、()、()和()。
117、单项选择题 用钢板卷制等径弯头时,弯头外径为φ、厚度为t,下料样板的展开长度L=()。
A.πφ
B.π(φ+t)
C.π(φ-t)
118、单项选择题 在箱形梁变形的矫正中,()是主要矛盾。
A.旁弯
B.扭曲
C.拱变形
119、单项选择题 电动机在空载时,其转速()同步转速。
A、大于
B、等于
C、小于
D、接近于
120、单项选择题 铆钉强度取决于被铆接工件之间的()。
A、摩擦力
B、间隙
C、压力
D、拉力
121、单项选择题 为了提高矫正质量和矫正效果,还需施加外力作用或在加热区域(),提高矫正效率。
A、用水急冷
B、用水缓慢冷却
C、空气自然冷却
D、空气缓慢冷却
122、问答题 制造简易夹具的要点是什么?
123、填空题 钢屋架的挠度为跨度的()。
124、单项选择题 不同的钢结构件有不同的装配方法,复杂结构件的装配往往采用()。
A、搭积式装配法
B、部件装配法
C、系统装配法
D、整体装配法
125、填空题 要根据弯曲的具体情况适当增减胎具的()来抵消下胎后回弹或收缩变形。
126、单项选择题 铆钉直径越大,数量越多,()也就越大。
A.强度
B.塑性
C.韧性
D.弹性
127、问答题 剖切的方法有几种?并加以简单说明。
128、单项选择题 拱顶油罐充气顶升,在一般情况下,顶升预定时间取()为宜。
A.20-40min
B.50-70min
C.70-80min
D.80-90min
129、单项选择题 物体在一对大小相等方向相反,作用线相距很近的横向力的作用下,相邻横截面产生相对滑动的现象称为()。
A.挤压
B.剪切
C.扭转
D.弯曲
130、问答题 板料折弯压力机的性能特点怎样?
131、单项选择题 对于弯曲半径较大的弯管,则应采用()法进行检验。
A.地样
B.样板
C.弯尺
D.直尺
132、单项选择题 机械加工中,常用试切方法,订尺寸法等来保证()加工精度。
A.尺寸
B.形状
C.位置
D.形位
133、单项选择题 铣切号料切割是利用铣切机床,对()的钣料进行切割加工。
A、单张
B、多张
C、成叠
D、成堆
134、单项选择题 钢结构的强度计算都是根据等强度原理进行的,在设计上,钢结构的受力应()实际受力,也要考虑安全系数。
A.小于
B.等于
C.大于
D.不考虑
135、单项选择题 属于内应力引起变形的构件中,其变形有时不在应力集中区,而在与其有联系、()的地方表现出来。
A.刚度较强
B.刚度较弱
C.强度较弱
136、单项选择题 大型型钢弯曲矫正时应用()。
A.滚板机
B.轧圆机
C.调直机
137、填空题 常用的强度指标有()σb、()σs、其单位为MPa。
138、填空题 当零件表面的素线和棱线相交于一点时,适用于()展开法。
139、问答题 “容规”中规定哪些情况属于二类压力容器?
140、单项选择题 含结2毫米钢板,焊炬倾角选用()。
A.20°
B.30°
C.40°
D.50°
141、问答题 容器试压的目的是什么?
142、单项选择题 厚度为60mm,长度为2m的对接焊,从经济成本、生产率、焊缝质量等方面综合考虑,最好选用()。
A.手工电弧焊
B.气焊
C.电渣焊
D.埋弧自动焊
E.二氧化碳气体保护焊
143、单项选择题 一般位置线在侧面的投影()实长。
A.小于
B.大于
C.等于
D.1.5倍
144、填空题 由两个或两个以上的基本几何体结合组成的零件,称为()。
145、问答题 论述气割的原理和过程。
146、问答题 气焊熔剂的作用是什么?为什么对焊缝进行焊后清洗?
147、填空题 碳素钢和合金钢中,常含有()、()、()、(),为改变钢的性能,而特意增加一定含量的各种类的元素,这些元素称为()。 来源:91考试网 www.91eXam.org
148、单项选择题 对接焊缝的纵向收缩近似值为()。
A.1mm/m~2mm/m
B.0.5mm/m~1mm/m
C.0.15mm/m~0.30mm/m
D.0.1mm/m~0.15mm/m
149、问答题 焊接接头的坡口,钝边和间隙的作用是什么?
150、填空题 油罐排板时应先检查板材()。
151、填空题 在常温下,滚弯成形的允许弯曲半径R的取值,通常取R大于或等于()。
152、单项选择题 大批量生产冲裁件时,一般选用()冲裁模。
A.简单
B.带导柱
C.复合
153、填空题 金属铸造性能的好坏,主要取决于金属的()性和收缩性的大小。
154、单项选择题 作图时,为了实现“俯、左视图宽相等”可利用()的辅助线,来求其对应关系。
A.75°
B.60°
C.45°
D.30°
155、填空题 一般焊缝的横向收缩量()纵向收缩量。
156、单项选择题 薄板及波浪形变形的矫正应采用()矫正。
A、卷来源:91exam .org板机
B、平板机
C、多辊矫正机
D、型钢矫正机
157、单项选择题 铆接后构件的应力和变形比焊接()。
A.大
B.高
C.小
D.多
158、单项选择题 凡在坠落高度基准面()以上位置进行的作业,称为高处作业。
A.3米
B.2米
C.2.5米
159、问答题 形状复杂的铸铁件,为什么有时要经低温回火或时效后才能切削加工?
160、问答题 计算题:已知材料的许用剪切应力[τ]=100MPa,问Ф20mm铆钉受剪切时的单钉承载能力?
161、问答题 球罐在充水、放水过程中,应在哪些过程对基础的沉降进行观察?
162、单项选择题 一般规定锤击痕迹深度在()范围内,否则将会影响产品质量。
A.0~1mm
B.0~2mm
C.0~0.5mm
D.0.5~1mm
163、多项选择题 化学清洗液可以是()的溶液。
A.酸性
B.碱性
C.中性
D.随意
164、单项选择题 长度尺寸(角度)等级为A,形位公差等级为E的焊接件精度等级的焊缝质量级别宜采用()级。
A、Ⅰ
B、Ⅱ
C、Ⅲ
D、Ⅳ
165、填空题 等离子弧切割是利用高温的等离子弧为热源,将被切割的材料局部迅速融化,同时利用压缩产生的()吹走熔化的材料而形成切口的。
166、问答题 计算题:计算用厚度为20mm的钢板制作球罐罐体的质量,球罐外径为6m(暂不考虑球罐上的开孔,钢板的密度为7.85kg/dm3)。
167、单项选择题 一般情况下,剪板时的实际剪切力应()理论剪切力。
A.大于
B.等于
C.小于
D.1.25倍
168、单项选择题 在一排铆钉中,相邻两个铆钉的中心距离称为()。
A.钉距
B.排距
C.边距
169、问答题 计算题:某产品单重176千克,若材料利用率要求79%,那么每台应投入多少千克材料?
170、单项选择题 钢结构的焊接变形,主要指的是由焊接产生的()所导致的钢结构的变形。
A.内力
B.应力
C.内应力
171、填空题 设计焊接夹具时,应当选择零件上的()的表面作为导向定位基准面。
172、问答题 影响金属最小弯曲半径的因素有哪些?
173、问答题 简述气柜螺旋导轨制做方法。
174、填空题 用来表示各个零件的组合关系和设备工作原理的图叫()。
175、单项选择题 在使用辅助球面法求相贯线时,必须是回转体相交且其()也得相交。
A、轴线
B、轮廓线
C、切线
D、表面素线
176、问答题 什么是组装夹具?试述组装夹具的分类?
177、单项选择题 填写工艺规程的专用表格叫()。
A.设计说明书
B.工程预算书
C.工艺过程卡
178、单项选择题 热铆用于()直径铆钉的铆接。
A、大
B、中
C、小
D、任意
179、单项选择题 在钢结构制造中,容易引起结构产生较大变形的连接是()结构件。
A.焊接
B.铆接
C.栓接
180、单项选择题 在钢结构中,工作焊缝承担着()作用。
A.传递载荷
B.元件间相互联接
C.传递载荷及元件间相互联接
181、填空题 矫正的手段主要有机械矫正和()二种。
182、填空题 角钢作为框架斜拉梁时,放样应取()线。
183、填空题 在疲劳强度方面,焊接件()铆接件。
184、填空题 球罐的安装方法有()、()、()三种安装方法。
185、问答题 焊接变形的基本规律是什么?
186、单项选择题 大口径管弯曲宜采用()方法。
A.蕊轴
B.加热圈
C.装沙
187、填空题 球罐柱型支腿的展开应采用()。
188、问答题 什么样的物体适合画全剖视图?什么样的物体适合画半剖视图?
189、填空题 相贯线在空间总是(),这是它的一个基本特性。
190、填空题 气焊是利用可燃性气体与()混合燃烧的火焰所产生的高温来加热金属。
191、单项选择题 对于板厚较厚、内圆角较小的直角折弯中,可按其()尺寸展开下料。
A.里皮
B.中心层
C.外皮
192、问答题 计算题:物体A的质量是10公斤,水平置于物体B的表面上,已知A与B的滑动摩擦系数是0.4,求物体A在物体B表面上滑动时的拉力?
193、问答题 什么是扭转和弯曲?
194、单项选择题 两块钢板成直角或某一角度,而在板的顶端边缘上焊接的接头,称为()。
A、搭接接头
B、对接接头
C、角接接头
D、T字接头
195、单项选择题 錾子的热处理方法包括()两个过程。
A、退火和正火
B、淬火和回火
C、退火和回火
D、正火和回火
196、问答题 简述钢屋架下弦起拱圆弧弯曲的几种方法。
197、单项选择题 压力容器制造中,筒节长度应不小于()。
A.300mm
B.200mm
C.100mm
D.500mm
198、单项选择题 在拉伸、挤压成型等冲压工序中,对板材的()要求较严。
A.弹性
B.塑性
C.厚度公差
D.硬度
199、问答题 压延件毛料的计算原则是什么?
200、单项选择题 各种较长的型钢加热时,为防止变形,将伸出炉外两端部分()。
A.垫平
B.垫高
C.不垫