手机用户可
保存上方二维码到手机中,在
微信扫一扫中右上角选择“从
相册选取二维码”即可。
1、单项选择题 下列哪种方法是由于细胞内冰晶的形成导致细胞破碎的()
A.真空干燥
B.酶解法
C.冻融法
D.渗透压法
点击查看答案
本题答案:C
本题解析:暂无解析
2、问答题 水的软化脱盐可采用那些方法?
点击查看答案
本题答案:离子交换法、电渗析法、反渗透法等。
本题解析:试题答案离子交换法、电渗析法、反渗透法等。
3、问答题 按筛面的运动规律不同,摇动筛可分为哪三种?
点击查看答案
本题答案:按筛面的运动规律不同,摇动筛可分为直线摇动筛、平面摇晃筛和差
本题解析:试题答案按筛面的运动规律不同,摇动筛可分为直线摇动筛、平面摇晃筛和差动筛。
4、问答题 常见的淀粉质原料的蒸煮糖化设备有哪三种?
点击查看答案
本题答案:多采用连续式蒸煮,有低温长时间的罐式连续蒸煮,中温的柱
本题解析:试题答案多采用连续式蒸煮,有低温长时间的罐式连续蒸煮,中温的柱式连续蒸煮和高温短时间的管式连续蒸煮。
5、判断题 胰岛素是预防药物。
点击查看答案
本题答案:错
本题解析:暂无解析
6、判断题 多糖改性后活性没有影响。
点击查看答案
本题答案:错
本题解析:暂无解析
7、填空题 悬浮液的固一液分离是生化产品生产过程中的重要操作之一,其分离方法主要是过滤和(),其中过滤方式有()和()。
点击查看答案
本题答案:离心;滤饼过滤;深层过滤
本题解析:试题答案离心;滤饼过滤;深层过滤
8、填空题 最早的氨基酸制备技术是()术,1956年实现了发酵法生产谷氨酸,并开始大规模工业化生产。
点击查看答案
本题答案:蛋白质酸水解技
本题解析:试题答案蛋白质酸水解技
9、判断题 蛋白质分子结合阳离子,pI值降低。
点击查看答案
本题答案:错
本题解析:暂无解析
10、单项选择题 凝胶层析中,有时小分子溶质的Kd<1,其原因是()。
A.水合作用
B.凝胶吸附
C.柱床过长
D.流速过低
点击查看答案
本题答案:A
本题解析:暂无解析
11、单项选择题 下列哪个物质只具有反应原性而没有免疫原性()。
A.青霉素
B.细菌
C.病毒
D.异种动物血清
点击查看答案
本题答案:A
本题解析:暂无解析
12、判断题 中国科学家参与了“人类基因组计划”。
点击查看答案
本题答案:对
本题解析:暂无解析
13、填空题 最常用的交联剂是(),其分子中两个醛基可与酶分子的游离氨基反应,彼此(),形成固定化酶。
点击查看答案
本题答案:戊二醛;交联
本题解析:试题答案戊二醛;交联
14、单项选择题 下列哪种细胞的培养需要采用贴壁培养技术()。
A.细菌
B.酵母
C.动物细胞
D.植物细胞
点击查看答案
本题答案:C
本题解析:暂无解析
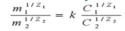
15、名词解释 尼柯尔斯基方程式
点击查看答案
本题答案:
试题答案
式中m1、m2、C1、C2分别为树脂上和平衡溶液中A1、A2两种离子的浓度。Z1、Z2分别为两种离子的价电数。K值为“交换常数”。该方程式表达了离子交换平衡时,两种离子与交换剂吸附强弱的数量关系。当K>1时表示树脂对A1离子的吸附力大于A2离子,反之亦然。
16、单项选择题 氨基酸的发酵属于()。
A.微生物转化发酵
B.微生物菌体发酵
C.微生物酶发酵
D.徽生物代谢产物发酵
点击查看答案
本题答案:D
本题解析:暂无解析
17、问答题 什么叫全挡板条件?
点击查看答案
本题答案:全挡板条件是指在一定转速下再增加罐内附件而轴功率仍保持不变,
本题解析:试题答案全挡板条件是指在一定转速下再增加罐内附件而轴功率仍保持不变,而旋涡基本消失。
18、填空题 分离极性强的成分,宜选用活性低的吸附剂,用极性溶剂做洗脱剂,分离极性弱的成分,宜选用活性()的吸附剂,用()溶剂做洗脱剂。
点击查看答案
本题答案:高;弱极性
本题解析:试题答案高;弱极性
19、填空题 维生素C的工业生产方法主要有()和应用微生物的两步()。
点击查看答案
本题答案:莱氏法;发酵法
本题解析:试题答案莱氏法;发酵法
20、单项选择题 用减毒或弱化的病原体制成的,称为第一代疫苗即()。
A.百日咳杆菌疫苗
B.多价疫苗
C.抗原蛋白疫苗
D.核酸疫苗
点击查看答案
本题答案:A
本题解析:暂无解析
21、填空题 大型圆筒锥底啤酒发酵罐一般布置在室外。既可以作为发酵罐,也可以作为()罐。
点击查看答案
本题答案:储酒
本题解析:试题答案储酒
22、填空题 ()是血浆中含量最多的蛋白质,淋巴因子是由活化淋巴细胞产生的能调节白细胞和其他免疫细胞增殖分化、产生免疫效应或引起炎症反应的生物活性介质。
点击查看答案
本题答案:白蛋白
本题解析:试题答案白蛋白
23、问答题 嫌气发酵设备与通风发酵设备在结构方面有何区别?
点击查看答案
本题答案:嫌气发酵设备不需要大功率通风设备和管道,设备简单,一般
本题解析:试题答案嫌气发酵设备不需要大功率通风设备和管道,设备简单,一般不会产生污染。
(1)通风发酵罐:机械搅拌罐、气升式发酵罐、自吸式发酵罐,通风搅拌,循环式、非循环式。结构包括:
1、罐体;2、搅拌器和挡板;3、消泡器;4、联轴器及轴承;5、变速装置;6、空气分布装置;7、轴封;8、冷却装置。
(2)嫌气发酵罐:酒精发酵设备、啤酒发酵设备。能封闭;能承受一定压力;有冷却设备;罐内尽量减少装置,消灭死角,便于清洗灭菌。
24、填空题 常用的谷氨酸提取方法有:()、()、()和纳滤膜技术等。
点击查看答案
本题答案:等电点法;离子交换法;锌盐沉淀法
本题解析:试题答案等电点法;离子交换法;锌盐沉淀法
25、填空题 将天然生物材料中的有效成分甚至单一成分进行提取分离,加工成药剂,称之为“()”。
点击查看答案
本题答案:中药现代化
本题解析:试题答案中药现代化
26、单项选择题 ()是喷雾干燥设备的核心部件。
A.干燥室
B.雾化器
C.加热器
D.分配室
点击查看答案
本题答案:B
本题解析:暂无解析
27、判断题 海带中非蛋白质氨基酸藻白金,具有降压功效。
点击查看答案
本题答案:对
本题解析:暂无解析
28、单项选择题 中国科学院微生物所和北京制药厂发明的Vc的生产方法是()。
A.莱氏法
B.一步发酵法
C.两步发酵法
D.基因工程法
点击查看答案
本题答案:C
本题解析:暂无解析
29、单项选择题 透明质酸可以从()中获得。
A.鲸鱼
B.扇贝
C.海星
D.蓝藻
点击查看答案
本题答案:A
本题解析:暂无解析
30、单项选择题 浸泡药酒使用的是()提取方法。
A.浸渍
B.渗漉
C.煎熬
D.回流提取
点击查看答案
本题答案:A
本题解析:暂无解析
31、单项选择题 下列酶类药物()能够分解发炎部位纤维蛋白的凝结物,消除伤口周围的坏疽、腐肉和碎屑。
A.木瓜酶
B.纤维素酶
C.胰蛋白酶
D.葡萄糖氧化酶
点击查看答案
本题答案:C
本题解析:暂无解析
32、问答题 空气除菌有几种方法?
点击查看答案
本题答案:热杀菌、辐射杀菌、静电除菌、过滤除菌法。
本题解析:试题答案热杀菌、辐射杀菌、静电除菌、过滤除菌法。
33、问答题 生物工厂常用泵有哪几种?
点击查看答案
本题答案:离心泵、螺杆泵、齿轮泵、往复泵、隔膜泵、旋涡泵。
本题解析:
试题答案离心泵、螺杆泵、齿轮泵、往复泵、隔膜泵、旋涡泵。
34、填空题 四种动物细胞系可用于生产即()、()、()和()。
点击查看答案
本题答案:原代细胞系;二倍体细胞系;连续细胞系;基因工程细胞系
本题解析:试题答案原代细胞系;二倍体细胞系;连续细胞系;基因工程细胞系
35、填空题 压缩式制冷循环包括压缩 、()、膨胀、蒸发四个阶段。
点击查看答案
本题答案:冷凝
本题解析:试题答案冷凝
36、问答题 色谱按固定相形状不同分为哪几类?
点击查看答案
本题答案:柱色谱、纸上色谱、薄层色谱分离。
本题解析:试题答案柱色谱、纸上色谱、薄层色谱分离。
37、判断题 青霉素发酵时,可以通过控制葡萄糖的补加速率来控制pH。
点击查看答案
本题答案:对
本题解析:暂无解析
38、判断题 单克隆B细胞能在体外生长。
点击查看答案
本题答案:错
本题解析:暂无解析
39、问答题 发酵罐比拟放大的内容包括哪些?
点击查看答案
本题答案:几何尺寸的放大、通风量的放大(①按单位体积液体通风量Q/V相
本题解析:试题答案几何尺寸的放大、通风量的放大(①按单位体积液体通风量Q/V相同;②按通风截面空气线速度VS相等放大;③按体积溶氧系数相等放大)、搅拌功率放大(①按单位体积液体消耗功率P/V相等放大;②按单位体积搅拌循环量F/V相等放大)。
40、单项选择题 ()主要由黏膜相关淋巴组织中的浆细胞产生,分血清型和分泌型两类,具有杀菌和抗病毒活性
A.IgG
B.IgA
C.IgM
D.IgD
点击查看答案
本题答案:B
本题解析:暂无解析
41、问答题 气升式发酵罐按其所采取的液体循环方式的不同可分为哪两种?
点击查看答案
本题答案:气升式发酵罐按其所采取的液体循环方式的不同,可分为内循环气升
本题解析:试题答案气升式发酵罐按其所采取的液体循环方式的不同,可分为内循环气升式发酵罐和外循环气升式发酵罐。
42、单项选择题 现代生物技术诞生的标志是()。
A.建立青霉素发酵工业
B.建立细胞学说与孟德尔遗传定律
C.建立DNA双螺旋结构模型
D.建立重组DNA和淋巴细胞杂交瘤技术
点击查看答案
本题答案:D
本题解析:暂无解析
43、问答题 简述RNA的制备方法。
点击查看答案
本题答案:称4g干酵母粉置l00mL烧杯中,加入40mL0.2%
本题解析:试题答案称4g干酵母粉置l00mL烧杯中,加入40mL0.2%NaOH溶液,沸水浴上加热30min,搅拌,然后加入数滴乙酸溶液使提取液呈酸性(用石蕊试纸检查),以4000r/min离心10~15min。取上清液,加入30mL95%乙醇,边加边搅拌。静置,待RNA沉淀完全后,用布氏漏斗抽滤。滤渣先用l0mL95%乙醇洗涤2次,再用l0mL无水乙醚洗涤2次,洗涤时可用细玻棒小心搅拌沉淀,用布氏漏斗抽滤。沉淀在空气中干燥,即得RNA。
44、问答题 微藻大规模培养有何特点?试比较封闭式光生物反应器与开放式光生物反应器的优缺点。
点击查看答案
本题答案:微藻大规模培养的特点:
(1)需要足够的光照
本题解析:试题答案微藻大规模培养的特点:
(1)需要足够的光照;
(2)需要供应大量的CO2和排放大量的O2;
(3)混合均匀,防止细胞沉降,且使细胞受光均匀;
(4)微藻的培养基多采用海水配制,除淡水藻外。密闭式培养反应器优点:培养效率高、培养条件易于控制、污染少、生产周期延长、适用于所有藻类的培养。
敞开式培养反应器:
优点:成本低、建造容易、操作简单、易于生产。
缺点:培养效率低、培养条件无法控制、易受污染、水分易蒸发、光能利用率低。
45、判断题 基因工程技术克服了原料获取的难题。
点击查看答案
本题答案:对
本题解析:暂无解析
46、问答题 列出5种常用的空气过滤介质?
点击查看答案
本题答案:棉花、玻璃纤维、活性碳、超细玻璃纤维纸、石棉滤板。
本题解析:试题答案棉花、玻璃纤维、活性碳、超细玻璃纤维纸、石棉滤板。
47、判断题 产荧光的物质都可用作荧光色素。
点击查看答案
本题答案:错
本题解析:暂无解析
48、填空题 单克隆抗体的大量制备采用()和()。
点击查看答案
本题答案:体外培养法;体内诱生法
本题解析:试题答案体外培养法;体内诱生法
49、判断题 基因工程.细胞工程是生物技术产业化及大规模生产的关键环节。
点击查看答案
本题答案:错
本题解析:暂无解析
50、单项选择题 组织自溶法属于细胞破碎方法中的()。
A.化学法
B.生物法
C.机械法
D.物理法
点击查看答案
本题答案:B
本题解析:暂无解析
51、问答题 常用的除去水雾和油雾的设备有哪两种?
点击查看答案
本题答案:旋风分离器和填料过滤器。
本题解析:试题答案旋风分离器和填料过滤器。
52、问答题 气流输送流程有几种方式?
点击查看答案
本题答案:真空输送(吸入式)、压力输送和压力真空输送(混合式)。
本题解析:试题答案真空输送(吸入式)、压力输送和压力真空输送(混合式)。吸送式、压送式、混合式、真空式。
53、单项选择题 DL外消旋混合物通过()的拆分,产生纯度较高的L-氨基酸。
A.氨基酰化酶
B.青霉素酶
C.蛋白酶
D.淀粉酶
点击查看答案
本题答案:A
本题解析:暂无解析
54、填空题 β-胡萝卜素是()的前体物质,维生素C又称抗坏血酸,具有维持骨骼组织的正常机能的作用。
点击查看答案
本题答案:维生素A
本题解析:试题答案维生素A
55、单项选择题 许多陆地植物含有皂苷,而目前在动物界中只发现海洋棘皮动物的海参和海星含有皂苷,皂苷是它们的毒性成分,均具有()功能。
A.抗血栓
B.抗肿瘤
C.降血压
D.改善微循环
点击查看答案
本题答案:B
本题解析:暂无解析
56、判断题 接受抗原刺激产生免疫应答的场所是脾脏。
点击查看答案
本题答案:对
本题解析:暂无解析
57、名词解释 渗透压冲击法
点击查看答案
本题答案:细胞破碎的一种方法.。先把细胞放在高渗溶液中,由于渗透
本题解析:试题答案细胞破碎的一种方法.。先把细胞放在高渗溶液中,由于渗透压的作用,细胞内的水分便向外渗出,细胞发生收缩,当达到平衡后,将介质快速稀释或将细胞转入水或缓冲液中,由于渗透压发生突然变化,胞外的水分迅速渗入胞内,使细胞快速膨胀而破裂,使产物释放到溶液中。
58、填空题 ()与硫酸铁生成配合物后,成为对红细胞膜无损伤的补铁剂。绿茶叶子中含的茶多糖,与铈结合后,对质粒DNA有一定的裂解作用。
点击查看答案
本题答案:银耳多糖
本题解析:试题答案银耳多糖
59、单项选择题 ()主要分布于血液中,具有补体激活功能,在防止发生菌血症、败血症方面起重要作用。
A.IgG
B.IgA
C.IgM
D.IgD
点击查看答案
本题答案:C
本题解析:暂无解析
60、问答题 简述湿法粉碎的优点?
点击查看答案
本题答案:(1)消除了粉尘危害,改善了劳动环境,降低了原料消耗; <
本题解析:试题答案(1)消除了粉尘危害,改善了劳动环境,降低了原料消耗;
(2)粉碎过程中,淀粉已开始吸水膨胀,提高了蒸煮效果;
(3)粉碎后经预热,提高了蒸汽的利用率;
(4)机器零件的磨损减少,节省了设备维修费用。
61、问答题 风机分为哪几种?
点击查看答案
本题答案:用来压缩与输送气体,根据气体压缩后可达到的压力不同,可
本题解析:试题答案用来压缩与输送气体,根据气体压缩后可达到的压力不同,可分为:压缩机(0.3MPA)、鼓风机(0.1-0.3MPA)、通风机(1-15KPA)。
62、单项选择题 下列药物哪些是基因药物()。
A.基因工程药物
B.遗传物质DNA为物质基础制造的药物
C.天然生物药物
D.半合成生物药物
点击查看答案
本题答案:B
本题解析:暂无解析
63、单项选择题 下列哪个抗生素能抑制细胞壁合成()。
A.红霉素
B.青霉素
C.链霉素
D.鱼素
点击查看答案
本题答案:B
本题解析:暂无解析
64、单项选择题 胰岛素是()类药物。
A.核酸
B.糖
C.蛋白
D.脂
点击查看答案
本题答案:C
本题解析:暂无解析
65、判断题 执行体液免疫功能的是T细胞。
点击查看答案
本题答案:错
本题解析:暂无解析
66、问答题 简述谷氨酸发酵生产的工艺流程。
点击查看答案
本题答案:
试题答案
67、填空题 生物工程的水处理分为水过滤、水的软化或脱盐、()三个阶段。
点击查看答案
本题答案:水的杀菌
本题解析:试题答案水的杀菌
68、单项选择题 ()是现代生物制药技术发展的基础与核心。
A.基因工程技术
B.细胞工程技术
C.发酵工程技术
D.酶工程技术
点击查看答案
本题答案:A
本题解析:暂无解析
69、单项选择题 各种免疫细胞都是从()中的多能干细胞分化而来的。
A.骨髓
B.脾脏
C.B细胞
D.T细胞
点击查看答案
本题答案:A
本题解析:暂无解析
70、单项选择题 ()不是载体的基本结构。
A.复制子
B.启动
C.克隆位点
D.遗传标记基因
点击查看答案
本题答案:B
本题解析:暂无解析
71、填空题 在发酵过程中,利用pH电极连续测定发酵液中()的变化,溶解氧可采用溶氧电极来检测。
点击查看答案
本题答案:pH值
本题解析:试题答案pH值
72、单项选择题 在超滤过程中,主要的推动力是()。
A.浓度差
B.电势差
C.压力
D.重力
点击查看答案
本题答案:C
本题解析:暂无解析
73、问答题 什么是膜分离过程中的浓差极化现象,如何降低浓差极化现象?
点击查看答案
本题答案:当溶剂透过膜,而溶质留在膜上,因而使膜面浓度增大,并高于主体
本题解析:试题答案当溶剂透过膜,而溶质留在膜上,因而使膜面浓度增大,并高于主体液中的浓度,这种浓度差导致溶质自膜面反扩散至主体中,当这一速度低于被阻留分子在膜面聚集的速度,就会在膜面的一侧逐渐形成一高浓度的被阻留溶质层,这种现象称为浓差极化。
如何降低浓差极化现象:(1)搅拌的办法来减少浓度极化;(2)切向流式过滤(错流过滤),使超过滤液体沿着与膜平行的方向流动;(3)提高液流的雷诺准数(提高液温、提高流速)。
74、填空题 超临界流体的溶解能力受其密度控制,可以通过临界温度或临界压力的变化来改变,可分为三种典型类型:等温法、等压法和()。
点击查看答案
本题答案:吸附法
本题解析:试题答案吸附法
75、判断题 当微生物生长达到稳定时,表明细胞不再生长,不消耗培养基中的营养成分。
点击查看答案
本题答案:错
本题解析:暂无解析
76、填空题 “发酵”来源于()作用于果汁或发芽谷物,获得()并产生()的现象。
点击查看答案
本题答案:酵母菌;酒精;二氧化碳
本题解析:试题答案酵母菌;酒精;二氧化碳
77、填空题 氨基酸拥有不对称的碳原子,组成蛋白质的氨基酸,都属(),化学合成法得到的氨基酸都是无光学活性的()。
点击查看答案
本题答案:L型;DL外消旋混合物
本题解析:试题答案L型;DL外消旋混合物
78、判断题 与大肠杆菌相比,哺乳动物细胞的表达水平较低。
点击查看答案
本题答案:对
本题解析:暂无解析
79、判断题 磷酸盐是谷氨酸发酵过程中必需的。
点击查看答案
本题答案:对
本题解析:暂无解析
80、判断题 蛋白质分子结合阴离子,pI值降低。
点击查看答案
本题答案:对
本题解析:暂无解析
81、填空题 利用发酵法从农作物中获得生物量和能量,来替代石油.煤炭等矿产资源,成为当前()的发展方向。
点击查看答案
本题答案:绿色工业
本题解析:试题答案绿色工业
82、单项选择题 氨基酸药物中产量最大的,占80%的氨基酸()。
A.谷氨酸
B.赖氨酸
C.蛋氨酸
D.天冬氨酸
点击查看答案
本题答案:A
本题解析:暂无解析
83、问答题 在培养基的灭菌过程中是否能做到绝对无菌?为什么?发酵生产中对培养基的灭菌的无菌程度是多少?
点击查看答案
本题答案:若要求灭菌后绝对无菌,即Ns=0,从上面公式可以看得出
本题解析:试题答案若要求灭菌后绝对无菌,即Ns=0,从上面公式可以看得出灭菌时间将等于无穷大,这对生产来说是不可能,所以培养基灭菌后,在培养液中必然还残留一定的活菌。
工程上通常以Nt=10-3个/罐来进行计算,即杂菌污染降低到被处理的每1000罐中只残留一个活菌的程度,这就可以满足生产的要求了。
84、名词解释 色谱法
点击查看答案
本题答案:利用不同物质在两相介质中具有不同的分配系数,通过两相介
本题解析:试题答案利用不同物质在两相介质中具有不同的分配系数,通过两相介质的相对运动实现物质分离的一类方法。
85、填空题 过饱和溶液的形成方法有蒸发法、温度诱导法、盐析结晶法、有机溶剂结晶法、等电点法、微量扩散法、化学反 应结晶、()。
点击查看答案
本题答案:共沸蒸馏结晶
本题解析:试题答案共沸蒸馏结晶
86、问答题 发酵罐实罐灭菌为什么要“三路进汽”?实罐灭菌的进汽和排气原则是什么?
点击查看答案
本题答案:因为“三路进汽”是在对培养基灭
本题解析:试题答案因为“三路进汽”是在对培养基灭菌时,让蒸汽从空气进口、排料口、取样口进入罐内,使培养基均匀翻腾,达到培养基灭菌之目的。这是因为这三个管都是插入到发酵醪中,若不进蒸汽就会形成灭菌死角。
进汽和排气原则是“非进即出”:所有进入发酵罐的管道在灭菌过程中如果不进入蒸汽就一定要进行排气,使所有管道都被蒸汽(或二次蒸汽)通过,得以灭菌。不能有既不进汽也不排汽的管道(死角)存在。
87、单项选择题 如果用大肠杆菌作为宿主细胞,蛋白表达部位为周质,下面哪种细胞破碎的方法最佳?()
A.匀浆法
B.超声波法
C.渗透压休克法
D.冻融法
点击查看答案
本题答案:C
本题解析:暂无解析
88、名词解释 生化药物
点击查看答案
本题答案:指从生物体中分离纯化所得的一类具有调节人体生理功能、达
本题解析:试题答案指从生物体中分离纯化所得的一类具有调节人体生理功能、达到预防和治疗疾病目的的物质。
89、问答题 叙述喷射自吸式发酵罐的工作原理及其优点。?
点击查看答案
本题答案:工作原理:用泵使发酵液通过文式管吸气装置,由于液体在文式管的
本题解析:试题答案工作原理:用泵使发酵液通过文式管吸气装置,由于液体在文式管的收缩段流速增加,形成真空而将空气吸入,并使气泡分散与液体均匀混合,实现溶氧传质。
优点:(1)不必配备空气压缩机及其附属设备,节约设备投资,减少厂房面积;(2)溶氧速率高,溶氧效率高,能耗较低;(3)生产效率高、经济效率高;(4)设备便于自动化、连续化。
90、单项选择题 盐析过程中使用最多的中性盐是()。
A.硫酸钠
B.硫酸铵
C.硫酸镁
D.氯化钠
点击查看答案
本题答案:B
本题解析:暂无解析
91、单项选择题 下列酶类药物()以解除体内或因注射某种药物产生的有害物质。
A.木瓜酶
B.纤维素酶
C.青霉素酶
D.葡萄糖氧化酶
点击查看答案
本题答案:C
本题解析:暂无解析
92、单项选择题 用于制造加酶洗涤剂、丝绸脱胶和制革等轻化工领域的酶是()。
A.中性蛋白酶
B.酸性蛋白酶
C.碱性蛋白酶
D.青霉素酶
点击查看答案
本题答案:C
本题解析:暂无解析
93、问答题 四器组合的啤酒麦芽汁制备系统由哪些设备组成?
点击查看答案
本题答案:糊化锅、糖化锅、过滤槽和麦汁蒸煮锅。
本题解析:试题答案糊化锅、糖化锅、过滤槽和麦汁蒸煮锅。
94、问答题 当前我国生物制药技术的发展重点方向是什么?
点击查看答案
本题答案:①疫苗与诊断试剂,
②创新药物,
本题解析:试题答案①疫苗与诊断试剂,
②创新药物,
③微生物制造工艺,
④天然药物制备技术的开发,
⑤生物基材料。
95、问答题 细胞破碎的原因是什么?常用的细胞破碎的方法有哪三种?
点击查看答案
本题答案:细胞破碎的原因:目标产物存在于胞内。
常用的细胞
本题解析:试题答案细胞破碎的原因:目标产物存在于胞内。
常用的细胞破碎的方法有:珠磨法、高压匀浆法、超声破碎法。
96、单项选择题 ()主要进行皮肤表面、器皿及无菌区域的灭菌,不能用于培养基的灭菌。
A.干热法
B.湿热法
C.辐射法
D.化学法
点击查看答案
本题答案:D
本题解析:暂无解析
97、单项选择题 肽合成中,由于顺序合成的需要,必须对暂不参加反应的基团加以保护。在多肽的固相合成中,常用的氨基保护基是()
A.Fmoc
B.Bz
C.Tos
D.甲醇
点击查看答案
本题答案:A
本题解析:暂无解析
98、填空题 动物细胞培养时,培养液中还可以加入一定量的抗生素,如()和(),来抑制可能污染的细菌生长。
点击查看答案
本题答案:青霉素;链霉素
本题解析:试题答案青霉素;链霉素
99、填空题 圆筒锥底啤酒发酵罐的夹套内可用乙二醇、()、氨与啤酒发酵醪进行热交换。
点击查看答案
本题答案:乙醇
本题解析:试题答案乙醇
100、单项选择题 ()可在不需要预先由抗原致敏,也不需要抗体参与的情况下非特异性地直接杀伤靶细胞。
A.NK细胞
B.K细胞
C.B细胞
D.T细胞
点击查看答案
本题答案:A
本题解析:暂无解析
101、问答题 锤式粉碎机有哪些部件构成?它是如何粉碎物料的?
点击查看答案
本题答案:锤刀、筛面、筛孔。
(1)锤片是粉碎机的主要工作
本题解析:试题答案锤刀、筛面、筛孔。
(1)锤片是粉碎机的主要工作部件。
(2)筛板是控制粉碎程度,锤式粉碎机的排料装置。
(3)筛孔用于控制物料的粒度。
物料从上方料斗加入,在悬空状态下就被锤的冲击力所破碎。然后物料被抛至冲击板上,再次被击碎。此外物料在机内还受到挤压和研磨的作用。
102、判断题 大肠杆菌表达的胰岛素可以直接使用。
点击查看答案
本题答案:错
本题解析:暂无解析
103、判断题 免疫球蛋白只存在于血浆中。
点击查看答案
本题答案:错
本题解析:暂无解析
104、填空题 按照免疫获得方式的不同,特异性免疫可分为()与()。
点击查看答案
本题答案:主动免疫;被动免疫
本题解析:试题答案主动免疫;被动免疫
105、问答题 什么叫双水相萃取技术?在生物产业中双水相萃取法常用于何种物质提取?
点击查看答案
本题答案:双水相萃取技术是指亲水性聚合物水溶液在一定条件下可以形成双水
本题解析:试题答案双水相萃取技术是指亲水性聚合物水溶液在一定条件下可以形成双水相,由于被分离物在两相中分配不同,便可实现分离。
双水相萃取法常用于胞内酶提取,双水相系统可用于细胞碎片以及 91exam .org酶的进一步精制。
106、问答题 二级单位机动部门及基层单位对疏水器的管理职责是什么?
点击查看答案
本题答案:二级单位机动部门负责对疏水器选型、安装、使用条件的适合
本题解析:试题答案二级单位机动部门负责对疏水器选型、安装、使用条件的适合性进行确认。负责组织绘制本单位疏水器分布网络图。每年年初组织更新疏水器台帐,并上报公司机动设备处。
基层单位负责疏水器的使用、维护和日常管理;负责编制疏水器的需求计划,对购进的疏水器进行检查、确认;负责对报废和维修的疏水器提出申请,由二级单位机动部门进行确认。
基层单位应按疏水器的类型、工艺流程、工作岗位建立“疏水器管理档案”和“疏水器台帐”,要求一物一卡,技术档案应录入设备管理信息系统。疏水器型号、规格、安装地点变更时,应及时修改技术档案。
107、判断题 T细胞不产生抗体,而是直接起作用。
点击查看答案
本题答案:对
本题解析:暂无解析
108、单项选择题 用大肠杆菌作宿主表达重组DNA药物,缺点是()。
A.蛋白质表达量低
B.生长慢
C.产物无糖基修饰
D.难以获得工程菌
点击查看答案
本题答案:C
本题解析:暂无解析
109、判断题 载体能够自主复制。
点击查看答案
本题答案:对
本题解析:暂无解析
110、单项选择题 纯RNA溶液的A260/A280值为()。
A.1.8
B.1.5
C.2.0
D.2.5
点击查看答案
本题答案:C
本题解析:暂无解析
111、单项选择题 ()分子中含有20种必需氨基酸,在维持胶体渗透压方面有很好的作用。
A.红细胞悬液
B.白蛋白
C.免疫球蛋白
D.洗涤红细胞
点击查看答案
本题答案:B
本题解析:暂无解析
112、单项选择题 蛋白质类物质的分离纯化往往是多步骤的,其前期处理手段多采用下列哪类的方法。()
A.分辨率高
B.负载量大
C.操作简便
D.价廉
点击查看答案
本题答案:B
本题解析:暂无解析
113、判断题 共价结合法不会明显改变酶分子的高级结构。
点击查看答案
本题答案:错
本题解析:暂无解析
114、填空题 四环类抗生素是一类以四并苯(萘并萘)为母核的一族抗生素;链霉素是氨基糖苷类抗生素;红霉素是分子内含有()元环大环内酯类抗生素。
点击查看答案
本题答案:14
本题解析:试题答案14
115、填空题 皂苷是一类结构复杂的(),由多分子糖或糖醛酸以寡糖的形式与苷元缩合而成。
点击查看答案
本题答案:糖苷
本题解析:试题答案糖苷
116、单项选择题 下列酶类药物()具有抗肿瘤作用。
A.淀粉分解酶
B.青霉素酶
C.谷氨酰胺酶
D.胰岛素
点击查看答案
本题答案:C
本题解析:暂无解析
117、单项选择题 ()常用于红细胞沉降率的测定,也可用于凝血因子的检测。
A.枸橼酸钠
B.二乙胺四乙酸盐
C.肝素
D.草酸钠
点击查看答案
本题答案:A
本题解析:暂无解析
118、填空题 过滤操作中常用的助滤剂有()、()和()等。
点击查看答案
本题答案:硅藻土;活性炭;珍珠岩粉
本题解析:试题答案硅藻土;活性炭;珍珠岩粉
119、单项选择题 网格型包埋进行酶的固定化常用的载体为()。
A.淀粉
B.凝胶
C.DEAE-纤维素
D.卡拉胶
点击查看答案
本题答案:D
本题解析:暂无解析
120、单项选择题 携带目的基困进入宿主细胞进行扩增和表达的工具称为()。
A.载体
B.DNA聚合酶
C.宿主细胞
D.目的基因
点击查看答案
本题答案:A
本题解析:暂无解析
121、问答题 简述发酵工程制药的一般工艺流程.
点击查看答案
本题答案:发酵工程制药的一般工艺流程:菌种活化→种子制
本题解析:试题答案发酵工程制药的一般工艺流程:菌种活化→种子制备→发酵→发酵液预处理→提取及精制→成品检验→成品包装。
122、填空题 动物细胞融合的方法主要有:()、()和()。
点击查看答案
本题答案:病毒法;聚乙二醇法;电融合法
本题解析:试题答案病毒法;聚乙二醇法;电融合法
123、判断题 采用活性炭、酚醛树脂等可除去热原(内毒素)。
点击查看答案
本题答案:对
本题解析:暂无解析
124、填空题 最早利用的受体细胞是(),携带目的基困进入宿主细胞进行扩增和表达的工具称为()。
点击查看答案
本题答案:大肠杆菌细胞;载体
本题解析:试题答案大肠杆菌细胞;载体
125、填空题 在容器洗涤后,用大量水冲去残余的()和(),以防止细胞“中毒”。
点击查看答案
本题答案:硫酸;铬酸
本题解析:试题答案硫酸;铬酸
126、填空题 培养基按照组成可分为()、()和合成培养基。
点击查看答案
本题答案:天然培养基;半合成培养基
本题解析:试题答案天然培养基;半合成培养基
127、问答题 机械搅拌发酵罐搅拌器的作用是什么?从搅拌程度来说,以哪种最为激烈,功率消耗也最大,哪种最小?
点击查看答案
本题答案:搅拌器:有平叶式、弯叶式、箭叶式涡轮式和推进式等;本题解析:试题答案搅拌器:有平叶式、弯叶式、箭叶式涡轮式和推进式等;
其作用是打碎气泡,使氧溶解于发酵液中。
从搅拌程度来说,以平叶涡轮最为激烈,功率消耗也最大,弯叶次之,箭叶最小。
128、单项选择题 具有强致泻、止血、影响血小板细胞和肝细胞及脑细胞内游离钙浓度等多种活性的番泻苷A及其类似物属于()药物。
A.皂苷类
B.多糖
C.二蒽酮
D.蛋白质
点击查看答案
本题答案:C
本题解析:暂无解析
129、名词解释 DNA疫苗
点击查看答案
本题答案:属于基因药物中的一种,指使用能够表达抗原的基因本身即核
本题解析:试题答案属于基因药物中的一种,指使用能够表达抗原的基因本身即核酸制成的疫苗。基因疫苗进入人体后,在人体细胞环境中表达出蛋白质抗原,持续刺激人体免疫系统产生免疫反应,达到预防疾病的目的。
130、判断题 凝胶色谱分离操作中,各个组分按分子从大到小的顺序依次流出。
点击查看答案
本题答案:对
本题解析:暂无解析
131、单项选择题 根据分子大小、形状不同的分子进行分离方法,称()。
A.排阻层析
B.吸附层析
C.等电点分离
D.离子交换层析
点击查看答案
本题答案:A
本题解析:暂无解析
132、问答题 试述双水相萃取及其影响因素。
点击查看答案
本题答案:双水相萃取技术(two-aqueous phase e
本题解析:试题答案双水相萃取技术(two-aqueous phase extraction),又称水溶液两相分配技术,它利用不同的高分子溶液相互混合可产生两相或多相系统,静置平衡后,分成互不相溶的两个水相,利用物质在互不相溶的两水相间分配系数的差异来进行萃取的方法,称为双水相萃取法。影响因素:成相高聚物浓度-界面张力、成相高聚物的相对分子质量、电化学分配、疏水反应、pH值、温度。
133、名词解释 干涉
点击查看答案
本题答案:是指在生物体细胞内,dsRNA引起同源mRNA的特异性
本题解析:试题答案是指在生物体细胞内,dsRNA引起同源mRNA的特异性降解,因而抑制相应基因表达的过程。是一种在生物体内普遍存在的转录后水平的基因沉默,也是抵御外在感染的重要保护机制。
134、问答题 请说明斗式提升机的构造和原理。
点击查看答案
本题答案:(1)构造组成:由牵引带、料斗、张紧装置、机壳及装卸装
本题解析:试题答案(1)构造组成:由牵引带、料斗 、张紧装置、机壳及装卸装置构成;料斗:有底、无底;牵引带:平皮带、链条。
(2)料斗类型:有深斗、浅斗和尖角形三种类型。
(3)装料方式:分掏取式和喂入式两种。
(4)卸料方式离心式卸料:适用于粒状较小而且磨损性小的物料;重力式卸料:适用于提升大块状、比重大、磨损性大和易碎的物料离心重力式卸料:适用黏度较大、纤维状物料或潮湿的不易甩出的物料。
(5)原理:物料放在斗式提升机的底座内,当提升机运转时,机带随之而被带动,斗子经过底座时将物料舀起,当渐渐被提升到上部,当斗子转过上端的滚轮时物料便倒入出料槽内流出。
135、填空题 透析的方法有(), 平面透析器,连 续透析器,浅流透析器。
点击查看答案
本题答案:旋转透析器
本题解析:试题答案旋转透析器
136、问答题 气力输送系统由哪五部分组成?
点击查看答案
本题答案:(1)供料器:吸嘴、旋转加料器;
(2)输料管;
本题解析:试题答案(1)供料器:吸嘴、旋转加料器;
(2)输料管;
(3)分离器:容积式分离器、离心式分离器;
(4)空气除尘器:离心式除尘器、布袋式过滤器、洗涤式除尘器;
(5)风机或真空泵。
137、填空题 根据操作方式和目的的不同,色谱法可分为()和()两类。
点击查看答案
本题答案:分析型色谱;制备型色谱
本题解析:试题答案分析型色谱;制备型色谱
138、判断题 可用氯型强碱性阳离子交换树脂选择性地提取赖氨酸。
点击查看答案
本题答案:错
本题解析:暂无解析
139、单项选择题 苔藓虫素是从海洋苔藓虫中分离的新型()衍生物
A.多肽类
B.青霉类
C.四环类
D.大环内酯类
点击查看答案
本题答案:D
本题解析:暂无解析
140、单项选择题 下列哪个不是构成原生质的主要元素()。
A.C
B.P
C.S
D.Fe
点击查看答案
本题答案:D
本题解析:暂无解析
141、填空题 目前工业上常用的凝胶主要有交联()、聚丙烯酰胺凝胶和琼脂糖凝胶等。
点击查看答案
本题答案:葡聚糖凝胶
本题解析:试题答案葡聚糖凝胶
142、名词解释 贴壁培养
点击查看答案
本题答案:必须让细胞贴附于某种基质上生长繁殖的培养方法。
本题解析:试题答案必须让细胞贴附于某种基质上生长繁殖的培养方法。
143、单项选择题 物理吸附法进行酶的固定化常用的载体为()。
A.淀粉
B.凝胶
C.DEAE-纤维素
D.卡拉胶
点击查看答案
本题答案:A
本题解析:暂无解析
144、填空题 最早的海洋抗肿瘤活性物质发现于贝类动物中,()是第一个进入临床试验的抗癌海洋药物。
点击查看答案
本题答案:膜海鞘素
本题解析:试题答案膜海鞘素
145、判断题 细胞免疫则指的是B细胞的免疫作用。
点击查看答案
本题答案:错
本题解析:暂无解析
146、单项选择题 盐析法与有机溶剂沉淀法比较,其优点是()。
A.分辨率高
B.变性作用小
C.杂质易除
D.沉淀易分离
点击查看答案
本题答案:B
本题解析:暂无解析
147、填空题 按照过滤分离的动力分过滤的操作方式有()、()和减压过滤等。
点击查看答案
本题答案:常压过滤;加压过滤
本题解析:试题答案常压过滤;加压过滤
148、填空题 酶转化法与直接发酵法生产氨基酸的反应本质相同,均属酶转化反应。但两者相比,酶转化法所需设备及工艺简单,产物浓度高,转化率高,生产周期短,()少,酶的利用率也高。
点击查看答案
本题答案:副产物
本题解析:试题答案副产物
149、名词解释 生物药物
点击查看答案
本题答案:是以生物体、生物组织或其成份为原料(包括组织、细胞、细
本题解析:试题答案是以生物体、生物组织或其成份为原料(包括组织、细胞、细胞器、细胞成分、代谢、排泄物)综合应用生物学、物理化学与现代药学的原理与方法加工制成的药物。【广义的生物药物包括以动物、植物、微生物和海洋生物为原料制取的各种天然生物活性物质及其人工合成或半合成的天然物质类似物,也包括应用生物工程技术(基因工程、细胞工程、酶工程与发酵工程)制造生产的新生物技术药物(newbiotechdrug)。
150、判断题 过敏就是由免疫力过强引起的。
点击查看答案
本题答案:对
本题解析:暂无解析
151、填空题 细胞工程最早用于()的生产,细胞()问世后,使得动物细胞也可以像微生物细胞一样在搅拌反应器中培养。
点击查看答案
本题答案:疫苗;贴壁培养载体
本题解析:试题答案疫苗;贴壁培养载体
152、单项选择题 在离心分离过程中,若离心机的转速为4000转/分种,离心半径为10厘米,则相对离心力为()
A.1789(g)
B.4000(g)
C.8000(g)
D.2000(g)
点击查看答案
本题答案:A
本题解析:暂无解析
153、判断题 中性醋酸铅能与含羟基及邻二酚羟基的酚酸类成分产生沉淀,碱式醋酸铅不行。
点击查看答案
本题答案:错
本题解析:暂无解析
154、判断题 半透膜可以透过大分子,截留小分子。
点击查看答案
本题答案:错
本题解析:暂无解析
155、填空题 抗生素工业生产方法主要有()、()和()。
点击查看答案
本题答案:发酵法;化学合成法;半化学合成法
本题解析:试题答案发酵法;化学合成法;半化学合成法
156、单项选择题 生命活动所必需但需要量却很少的一类元素,能够影响生物体的生命活动,下列哪个不是()。
A.Zn
B.Fe
C.Cu
D.P
点击查看答案
本题答案:D
本题解析:暂无解析
157、填空题 ()常用于发酵过程中空气的灭菌,从发酵液中分离、精制有关产品的过程称为发酵工程的下游加工过程。
点击查看答案
本题答案:过滤灭菌法
本题解析:试题答案过滤灭菌法
158、单项选择题 下列哪个酶不能用于消炎()。
A.溶菌酶
B.糜蛋白酶
C.菠萝蛋白酶
D.尿激酶
点击查看答案
本题答案:D
本题解析:暂无解析
159、填空题 多糖改性后可能得到新的活性或增强原有活性。()可增强抗肿瘤活性,硫酸酯化可增强抗病毒活性。
点击查看答案
本题答案:羧甲基化
本题解析:试题答案羧甲基化
160、单项选择题 具有无限增殖能力的一种细胞系是()。
A.原代细胞系
B.二倍体细胞系
C.连续细胞系
D.干细胞系
点击查看答案
本题答案:C
本题解析:暂无解析
161、判断题 灭菌:利用物理或化学的方法杀死或除去物料及设备中所有的微生物,包括营养细胞、细菌芽孢和孢子。
点击查看答案
本题答案:对
本题解析:暂无解析
162、填空题 根据色谱机理,色谱柱分为:反相色谱、正相色谱、()、凝胶过滤色谱(或亲和色谱)。
点击查看答案
本题答案:离子交换色谱
本题解析:试题答案离子交换色谱
163、填空题 ()和()是生物披术的核心基础,酶工程和发酵工程是生物技术产业化及大规模生产的关键环节。
点击查看答案
本题答案:基因工程;细胞工程
本题解析:试题答案基因工程;细胞工程
164、问答题 影响超临界流体萃取效果的条件有哪些?
点击查看答案
本题答案:萃取流体、萃取压力、萃取温度、改性剂、萃取时间。
本题解析:试题答案萃取流体、萃取压力、萃取温度、改性剂、萃取时间。
165、填空题 载冷剂条件()、热容量大、腐蚀性小、便宜。
点击查看答案
本题答案:冰点低
本题解析:试题答案冰点低
166、问答题 发酵工业对酒精发酵罐的要求有哪四个?
点击查看答案
本题答案:(1)及时移走热量;(2)有利于发酵液的排出;(3)便于设备
本题解析:试题答案(1)及时移走热量;(2)有利于发酵液的排出;(3)便于设备的清洗,维修;(4)有利于回收二氧化碳。
167、判断题 绝大多数多糖和所有的类脂只具有反应原性而没有免疫原性。
点击查看答案
本题答案:对
本题解析:暂无解析
168、判断题 灭菌是利用物理或化学的方法杀死物料、容器、器具内外及环境中的病原微生物。
点击查看答案
本题答案:错
本题解析:暂无解析
169、单项选择题 “类似物容易吸附类似物”的原则,一般非极性吸附剂适宜于从下列何种溶剂中吸附非极性物质。()
A.极性溶剂
B.非极性溶剂
C.三氯甲烷
D.溶剂
点击查看答案
本题答案:A
本题解析:暂无解析
170、判断题 菌体生长的最适温度就是产物合成的最适温度。
点击查看答案
本题答案:错
本题解析:暂无解析
171、问答题 简述制冷循环流程及其各部件的作用?
点击查看答案
本题答案:压缩式制冷循环包括压缩、冷凝、膨胀、蒸发四个阶段。本题解析:试题答案压缩式制冷循环包括压缩、冷凝、膨胀、蒸发四个阶段。
工作过程:系统中的制冷剂饱和蒸汽(通常为氨)被压缩机吸入压缩,再进入冷凝器内被冷凝成液体释放出热量,液体制冷剂经膨胀阀后,压力降低,将小部分液体吸热汽化,使制冷剂温度降低,低温液体进入蒸发器吸收周围介质(载冷剂)热量而汽化为气体,气体再进入压缩机被压缩,完成一个循环。
制冷剂目前常用的制冷剂有氨和几种氟利昂。
载冷剂采用间接冷却方法进行制冷所用的低温介质称为载冷剂,又称为冷媒。载冷剂在蒸发器中被冷却,然后被送至冷却设备内,吸收热量后,又返回到蒸发器中。
冷却器的作用是使高温高压过热气体冷却,冷凝成高压氨液,并将热量传递给周围介质。
油氨分离器的作用是除去压缩后氨气中携带的油雾。
气液分离器的作用是维持压缩机的干冲程,同时将送入冷却排管(蒸发器)液体内的气体分出,以提高制冷效率。
中间冷却器作用是冷却低压级压缩机所排出的过热蒸汽,使过热蒸汽冷却到中压下的饱和气体状态。此外,还可借中间冷却器内氨液与盘管的热交换,使去冷却设备的氨液在膨胀阀之前得到过冷。
水冷却装置作用是冷却由氨冷凝器排出的循环水。
172、单项选择题 当向蛋白质纯溶液中加入中性盐时,蛋白质溶解度()。
A.增大
B.减小
C.先增大,后减小
D.先减小,后增大
点击查看答案
本题答案:C
本题解析:暂无解析
173、问答题 有哪些方法可实现空气的增湿和减湿
点击查看答案
本题答案:增湿方法:
(1)往空气中直接通入蒸汽; 本题解析:试题答案增湿方法:
(1)往空气中直接通入蒸汽;
(2)喷水;
(3)空气混合增湿。
减湿方法:
(1)喷淋低于该空气露点温度的冷水;
(2)使用热交换器把空气冷却至其露点以下;
(3)空气经压缩后冷却至初温,使空气减湿;
(4)用吸收或吸附法除掉水气,使空气减湿;
(5)通入干燥空气。
174、单项选择题 用于面包制作的酵母发酵属于()。
A.微生物转化发酵
B.微生物菌体发酵
C.微生物酶发酵
D.徽生物代谢产物发酵
点击查看答案
本题答案:B
本题解析:暂无解析
175、填空题 克服浓差极化现象的措施有(),震动,错流,切流。
点击查看答案
本题答案:搅拌
本题解析:试题答案搅拌
176、单项选择题 具有抗凝血、降血脂、抗病毒、抗肿瘤、增强免疫功能与抗衰老等药理作用的是()。
A.脂类药物
B.糖类药物
C.酶类药物
D.氨基酸类药物
点击查看答案
本题答案:B
本题解析:暂无解析
177、单项选择题 接受抗原刺激产生免疫应答的场所是()。
A.骨髓
B.脾脏
C.B细胞
D.T细胞
点击查看答案
本题答案:B
本题解析:暂无解析
178、判断题 基因工程、细胞工程是生物技术的核心基础。
点击查看答案
本题答案:对
本题解析:暂无解析
179、单项选择题 下列细胞具有无限繁殖能力的是()。
A.原代细胞
B.二倍体细胞
C.连续细胞
D.体细胞
点击查看答案
本题答案:C
本题解析:暂无解析
180、单项选择题 从()中分离出新的甾醇硫酸盐A和B,都具有体外抗猫白血病毒作用。
A.海绵
B.海藻
C.鲸鱼
D.螺旋藻
点击查看答案
本题答案:A
本题解析:暂无解析
181、单项选择题 下列()药物能降低血糖从而治疗糖尿病。
A.胸腺素
B.胰岛素
C.胃膜素
D.干扰素
点击查看答案
本题答案:B
本题解析:暂无解析
182、填空题 褐藻氨酸又名(),为2氨基-6-三甲氨基己酸,具有降压、调节血脂及防治动脉粥样硬化的作用。
点击查看答案
本题答案:海带氨酸
本题解析:试题答案海带氨酸
183、填空题 利用微生物发酵生产酶类药物,主要有()和()。
点击查看答案
本题答案:固态发酵法;液体深层发酵法
本题解析:试题答案固态发酵法;液体深层发酵法
184、填空题 簿层色谱是一种快速、简便、灵敏的分离方法,其操作主要包括()、点样、展开和()。
点击查看答案
本题答案:制板;显色
本题解析:试题答案制板;显色
185、问答题 什么是冷冻干燥?
点击查看答案
本题答案:将湿物料(或溶液)在较低温度下(-10~-50℃)冻结
本题解析:试题答案将湿物料(或溶液)在较低温度下(-10~-50℃)冻结成固态,然后在高度真空下,将其中固态水分直接升华为气态而除去的干燥过程。用冷盐水、液氨冷却酒精发酵。
186、单项选择题 用减毒或弱化的病原体制成的,称为第一代疫苗,下列哪个不是()。
A.百日咳杆菌疫苗
B.结核杆菌疫苗(卡介苗)
C.脊髓灰质炎病毒疫苗
D.核酸疫苗
点击查看答案
本题答案:D
本题解析:暂无解析
187、填空题 血浆蛋白成分中主要是白蛋白和免疫球蛋白,还有百余种小量和微量的()、多肽成分。
点击查看答案
本题答案:蛋白质
本题解析:试题答案蛋白质
188、判断题 化学合成法得到的氨基酸都是无光学活性的DL外消旋混合物。
点击查看答案
本题答案:对
本题解析:暂无解析
189、填空题 目前,氨基酸的生产方法有四种()、()、()和化学合成法。
点击查看答案
本题答案:蛋白质水解法;发酵法;酶合成法
本题解析:试题答案蛋白质水解法;发酵法;酶合成法
190、问答题 糖蜜原料澄清常用的方法有哪三种?
点击查看答案
本题答案:(1)加酸通用处理法(0.2%-0.3%浓硫酸通入压缩
本题解析:试题答案(1)加酸通用处理法(0.2%-0.3%浓硫酸通入压缩空气1小时,静止澄清数小时);
(2)加热加酸沉淀法(在较高的温度和酸度下,对糖蜜中有害微生物的灭菌作用和胶体物质,灰分杂质的澄清沉降作用均较强);
(3)絮凝剂澄清处理法(添加聚酰胺(PAM)絮凝剂)。
191、单项选择题 世界上第一个抗肿瘤基因治疗药物是()。
A.腺苷脱氢酶ADA
B.重组人胰岛素
C.重组人p53腺病毒注射液
D.人集落刺激因子
点击查看答案
本题答案:C
本题解析:暂无解析
192、名词解释 等电点沉淀:
点击查看答案
本题答案:当溶液在某个pH值时,大分子因所带的正负电荷相等而呈电
本题解析:试题答案当溶液在某个pH值时,大分子因所带的正负电荷相等而呈电中性,溶解度最低,发生沉淀。
193、判断题 酶经过固定化后活力大多下降,稳定性获得提高。
点击查看答案
本题答案:对
本题解析:暂无解析
194、单项选择题 某抗生素以醋酸丁酯为流动相进行pH纸层析,酸性条件下比移值大,碱性条下比移值小,则该抗生素为()。
A.弱碱性
B.弱酸性
C.强碱性
D.强酸性
点击查看答案
本题答案:B
本题解析:暂无解析
195、填空题 香菇多糖提取时,使用()浸提法,并采用丙酮(乙醚、乙醇)等进行脱脂处理。
点击查看答案
本题答案:热水
本题解析:试题答案热水
196、单项选择题 下列药物哪些是重组DNA药物()。
A.蛋白质工程药物
B.基因药物
C.天然生物药物
D.半合成生物药物
点击查看答案
本题答案:B
本题解析:暂无解析
197、单项选择题 ()在血清中仅占Ig总量的l%,是B细胞的重要标志,在防止免疫耐受方面可能具有一定作用。
A.IgG
B.IgA
C.IgM
D.IgD
点击查看答案
本题答案:D
本题解析:暂无解析
198、单项选择题 以下()不适合含菌丝细胞的破碎。
A.珠磨法
B.匀浆法
C.酸碱法
D.酶解法
点击查看答案
本题答案:B
本题解析:暂无解析
199、单项选择题 具有两性性质,可用等电点沉淀的抗生素是()。
A.青霉素
B.四环素
C.红霉素
D.链霉素
点击查看答案
本题答案:B
本题解析:暂无解析
200、单项选择题 有基因操作的“分子剪刀”、“分子手术刀”之称酶是()。
A.限制性核酸内切酶
B.DNA连接酶
C.DNA聚合酶
D.DNA修饰酶
点击查看答案
本题答案:A
本题解析:暂无解析
题库试看结束后
微信扫下方二维码即可打包下载完整版《★生物制药》题库
手机用户可保存上方二维码到手机中,在微信扫一扫中右上角选择“从相册选取二维码”即可。
题库试看结束后微信扫下方二维码即可打包下载完整版《生物制药:生物制药》题库,分栏、分答案解析排版、小字体方便打印背记!经广大会员朋友实战检验,此方法考试通过率大大提高!绝对是您考试过关的不二利器!
手机用户可保存上方二维码到手机中,在微信扫一扫中右上角选择“从相册选取二维码”即可。
微信搜索关注"91考试网"公众号,领30元,获取公务员事业编教师考试资料40G