统计学和统计法基础知识:统计方法找答案(最新版)

时间:2017-10-16 11:14:44

微信搜索关注"91考试网"公众号,领30元,获取事业编教师公务员等考试资料40G
题库试看结束后微信扫下方二维码即可打包下载完整版《★统计学和统计法基础知识》题库
手机用户可保存上方二维码到手机中,在微信扫一扫中右上角选择“从相册选取二维码”即可。

题库试看结束后微信扫下方二维码即可打包下载完整版《统计学和统计法基础知识:统计方法》题库,分栏、分答案解析排版、小字体方便打印背记!经广大会员朋友实战检验,此方法考试通过率大大提高!绝对是您考试过关的不二利器
手机用户可保存上方二维码到手机中,在微信扫一扫中右上角选择“从相册选取二维码”即可。

1、单项选择题  首先将总体分成不同的"层(或组)",然后在每一层内进行抽样。此种抽样方法是()

A.概率抽样
B.分层抽样
C.非概率抽样
D.整群抽样


点击查看答案


2、单项选择题  多元线性回归模型的检验中,复相关系数的取值范围是()。

A.-1≤R≤1
B.0≤R≤1
C.-1≤R≤0
D.0;R;1


点击查看答案


3、判断题  简单算术平均数是加权算术平均数的一个特例,是权数相等条件下的加权算术平均数。()


点击查看答案


4、多项选择题  

在直线趋势方程Tt=a+bt中,各个符号的意义包括()

A.Tt表示时间数列的长期趋势
B.a值等于原时间数列的最末水平
C.b为趋势直线的斜率
D.b是每增加一个单位时间,现象平均增加的值
E.t表示时间数列中指标所属的时间


点击查看答案


5、单项选择题  

某企业的产品产量2000年比1995年增长了35.1%,则该企业1996-2000年间产品产量的平均发展速度为()

A.A
B.B
C.C
D.D


点击查看答案


6、判断题  季节波动仅仅是指现象受自然因素的影响而发生的一种有规律的变动。()


点击查看答案


7、单项选择题  机床厂某日从两台机器所加工的同一种零件中,分别抽取两个样本,检验两台机床的加工精度是否相同,则提出假设()。

A.H0:μ1=μ2;H1:μ1≠μ2
B.
C.H0:μ1≤μ2;H1:μ1;μ2
D.


点击查看答案


8、单项选择题  设q为销售量,p为价格,当∑q0p0=120万元,∑q1p1=165万元,∑q1p0=135万元,∑q0p1=140万元时,则派氏物量指数为()。

A.112.5%
B.116.7%
C.117.9%
D.122.2%


点击查看答案


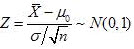
9、单项选择题  若一项假设规定显著性水平为α=0.05,下面的表述正确的是()。

A.接受H0时的可靠性为95%
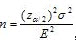
B.接受H1时的可靠性为95%
C.H0为假时被接受的概率为5%
D.H1为真时被拒绝的概率为5%


点击查看答案


10、单项选择题  某一地区所估计的营养过剩人数达到10%,然而有人认为实际上比这个比例还要高,要检验该说法是否正确,则假设检验的形式为()。

A.H0:π≤0.1,H1:π>0.1
B.H0:π=0.1,H1:π≠0.1
C.H0:π≥0.1,H1:π<0.1
D.H0:π<0.1,H1:π≥0.1


点击查看答案


11、判断题  平均数容易受到数据中极端值的影响。()


点击查看答案


12、多项选择题  指数的作用包括()

A.综合反映事物的变动方向
B.综合反映事物的变动程度
C.利用指数可以进行因素分析
D.研究事物在长时间内的变动趋势
E.反应事物之间相互关系的密切程度


点击查看答案


13、判断题  加法模式是假定四种变动因素存在着某种相互影响关系,互不独立;乘法模式是假定影响时间数列的四种变动因素是相互独立的。()


点击查看答案


14、判断题  

小样本情况下,总体服从正态分布,总体方差未知,总体均值在置信水平(1-α)下的置信区间为()
 


点击查看答案


15、判断题  当直线相关系数r=0时,说明变量之间不存在任何相关关系。()


点击查看答案


16、单项选择题  在计算股票价格指数时,所选择的样本必须具有()。

A.代表性和敏感性
B.代表性和同一性
C.敏感性和同一性
D.敏感性和变动性


点击查看答案


17、判断题  相关关系即为函数关系。()


点击查看答案


18、单项选择题  当对正态总体均值检验时,如果总体方差未知则应该进行()。

A.Z检验
B.F检验
C.t检验
D.χ2检验


点击查看答案


19、判断题  呈直线趋势的时间数列,其各期环比发展速度大致相同。()


点击查看答案


20、单项选择题  在时间序列加法模型中()。

A.假定T、S、C、I甲种变动因素相互独立
B.假定T、S、C、I甲种变动因素相互影响
C.假定T、S、C三种变动因素相互独立
D.假定T、S、C三种变动因素相互影响


点击查看答案


21、单项选择题  某运动中心有20个篮球场,30个羽毛球场,40个排球场,15个手球场。在上面的描述中,则运动场的众数是()。

A.40
B.30
C.排球场
D.手球场


点击查看答案


22、多项选择题  检验统计量一般包括()

A.z统计量
B.t统计量
C.s统计量
D.m统计量
E.Y统计量


点击查看答案


23、单项选择题  满足下面()条件时,可以认为抽样成数的概率分布近似正态分布。

A.n≥30,np≥5,n(1-p)≥5
B.n≥30,np≤5,n(1-p)≤5
C.n≥30,np≥5,n(1-p)≤5
D.n≥30,np≤5,n(1-p)≥5


点击查看答案


24、单项选择题  

已知总体方差,显著性水平α=0.05,检验的假设为:H0:μ≤μ0,H1:μ>μ0,则检验的拒绝域应为()。

A.A
B.B
C.C
D.D


点击查看答案


25、单项选择题  据四季的季度数据计算的季节指数之和一定等于()

A.0
B.100%
C.400%
D.1200%


点击查看答案


26、多项选择题  三种商品的综合价格指数为105%,其绝对影响为68万元,这表明()

A.三种商品的价格平均上涨5%
B.由于价格上涨使销售额增长5%
C.由于价格上涨使居民在维持一定生活水准的情况下多支出68万元
D.由于价格上涨使商店在一定销售量条件下多收入68万元
E.报告期价格与基期价格的绝对差额为68万元


点击查看答案


27、判断题  长期趋势分析方法中是将时间作为解释变量的。()


点击查看答案


28、单项选择题  统计指数按其所表明的经济指标性质的不同分为()。

A.简单指数和加权指数
B.综合指数和平均指数
C.个体指数和综合指数
D.数量指数和质量指数


点击查看答案


29、单项选择题  若两变量x和y存在不完全相关关系,对于自变量x的任何一个值,因变量y()。

A.有惟一确定的值与之对应
B.有若干个值与之对应
C.所有数值都与之对应
D.没有数值与之对应


点击查看答案


30、判断题  累计增长量与其相应的各个逐期增长量的关系表现为累计增长量等于相应的各个逐期增长量之积。()


点击查看答案


31、多项选择题  总体参数通常包括()

A.总体平均数
B.总体方差
C.总体比例
D.样本均值
E.样本方差


点击查看答案


32、单项选择题  

某企业三种产品的单位成本和产量资料如下表,若根据上表资料编制三种产品的总成本指数、成本总指数、产量总指数,并分析由于单位产品成本和产量变动对产品总成本的影响,请回答下述问题:

产量总指数为()。

A.114.86%
B.115.02%
C.86.94%
D.87.06%


点击查看答案


33、单项选择题  为描述身高与体重之间是否有某种关系,适合采用的图形是()。

A.直方图
B.条形图
C.散点图
D.环形图


点击查看答案


34、判断题  假定变量x与y的相关系数是0.65,变量m与n的相关系数为-0.91,则x与y的相关密切程度高。()


点击查看答案


35、单项选择题  茄子的基期价格是1元/斤,数量是5斤,报告期价格是2元/斤,数量是15斤;白菜的基期价格是2元/斤,数量是10斤,报告期价格是3元/斤,数量是20斤,则这两种蔬菜的拉氏价格指数为()

A.1
B.1.5
C.1.64
D.1.6


点击查看答案


36、判断题  

大样本情况下,总体比例检验的统计量为。()


点击查看答案


37、单项选择题  假设检验的依据是()。

A.小概率原理
B.中心极限定理
C.方差分析原理
D.总体分布


点击查看答案


38、多项选择题  假定甲、乙、丙三种商品的零售物价指数为115.4%,则说明()

A.甲商品零售价格上涨了15.4%
B.甲商品零售价格上涨可能超过15.4%
C.甲商品零售价格上涨可能低于15.4%
D.总体上看,零售物价上涨了15.4%
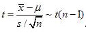
E.总体上看,零售物价上涨了115.4%


点击查看答案


39、单项选择题  在某城市中随机抽取9个家庭.调查得到每个家庭的人均月收入数据如下(单位:元):2080;1750;2080;2080;1850;1960;3000;2250;2630则众数为()。

A.3
B.2080
C.2158
D.2187


点击查看答案


40、单项选择题  如果一个数据的标准分数是-3,表明该数据()。

A.比平均数高出3个标准差
B.比平均数低3个标准差
C.等于3倍的平均数
D.等于3倍的标准差


点击查看答案


41、单项选择题  

某企业的产品产量2000年比1995年增长了35.1%,则该企业1995-2000年间产品产量的平均发展速度为()。

A.A
B.B
C.C
D.D


点击查看答案


42、单项选择题  如果相关系数r为正,说明()。

A.随着一个变量增加,另一个变量减少
B.随着一个变量减少,另一个变量也减少
C.y一般小于x
D.x一般小于y


点击查看答案


43、多项选择题  下列关于判定系数R2的说法,正确的是()。

A.残差平方和越小,R2越小
B.残差平方和越小,R2越大
C.R2=1时,模型与样本观测值完全拟合
D.R2越接近于1,模型的拟合优度越高
E.可决系数的取值范围为0≤R2≤1


点击查看答案


44、单项选择题  在抽样框中每隔一定距离抽选样本单位的调查方式是()。

A.整理抽样
B.系统抽样
C.分层抽样
D.简单随机抽样


点击查看答案


45、多项选择题  下列标志中属于定量变量的是()。

A.性别
B.文化程度
C.职业
D.年龄
E.寿命


点击查看答案


46、判断题  直方图、折线图、散点图既可用于定量数据,也可用于定性数据。()


点击查看答案


47、判断题  设总体共有4个元素,从中随机抽取一个容量为2的样本,在重置抽样时,共有16个不同的样本。在不重置抽样时,共有6个可能的样本。()


点击查看答案


48、多项选择题  顺序数据的数据()

A.可以用来区分事物
B.可以用来反映事物在数量上的差异
C.可以用数值表示,也可以用文字表示
D.本质上是定性数据中的一种
E.可以计算数据之间的相对差


点击查看答案


49、单项选择题  在两个变量存在互为因果关系的条件下,计算出的相关系数的数值()。

A.只能有一个
B.应是两个不同值
C.一个是正值,另一个必是负值
D.必等于1


点击查看答案


50、多项选择题  下列有关相关系数数值大小的叙述中正确的有()。

A.与回归系数没有关系
B.表明两个变量的相关关系程度的高低
C.和估计标准误差数值成反比
D.和估计标准误差数值成正比
E.和估计标准误差没关系


点击查看答案


51、多项选择题  

小样本情况下,总体均值检验的统计量可能为()。

A.A
B.B
C.C
D.D
E.E


点击查看答案


52、单项选择题  某地有2万亩稻田,根据上年资料得知其中平均亩产的标准差为50公斤,若以95.45%的概率保证平均亩产的误差不超过10公斤,按重复抽样条件计算,应抽选()亩地作为样本进行抽样调查。

A.100
B.250
C.500
D.1000


点击查看答案


53、单项选择题  在总体的名录框中每隔一定距离抽选一个被调查者的抽样方法是()。

A.概率抽样
B.分层抽样
C.等距抽样
D.整群抽样


点击查看答案


54、多项选择题  两个变量之间的相关系数r=0.91,则说明()。

A.这两个变量之间是正相关
B.这两个变量之间存在着线性相关关系
C.A这两个变量之间的相关系数进行检验时使用t检验
D.A这两个变量之间的相关系数进行检验时使用F检验
E.这两个变量中一个变量增加一个单位时,另外一个变量随之增加0.91个单位


点击查看答案


55、单项选择题  

样本比例的标准误差计算公式为()。

A.A
B.B
C.C
D.D


点击查看答案


56、单项选择题  某地区2010年参加医疗保险的人数是2006年的4倍,比2009年增长60%,那么,2009年参加医疗保险的人数比2006年增长()。

A.250%
B.240%
C.150%
D.40%


点击查看答案


57、单项选择题  在下面的几个回归方程和相关条件中,不符合实际的是()。

A.=-36-2.4x;r=0.96
B.=-5-3.8x;r=-0.94
C.=-20+40x;r=0.95
D.=-40+1.6x;r=0.89


点击查看答案


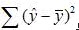
58、多项选择题  下列关于回归平方和的说法,正确的有()。

A.自变量的变动对因变量的影响引起的变差
B.无法用回归直线解释的离差平方和
C.回归值与均值离差的平方和
D.实际值y与均值离差的平方和
E.总的变差平方和与残差平方和之差


点击查看答案


59、单项选择题  相关图又称()。

A.散布表
B.折线图
C.散点图
D.曲线图


点击查看答案


60、判断题  总体均值的双侧检验形成为:H0:μ=μ0,H1:μ≠μ()


点击查看答案


61、单项选择题  A于一元线性回归模型,以Se表示估计标准误差,r表示样本相关系数,则有()。

A.Se=0时,r=1
B.Se=0时,r=-1
C.Se=0时,r=0
D.Se=0时,r=1或r=-1


点击查看答案


62、多项选择题  下列关于定性数据和定量数据的陈述中,正确的是()。

A.分类数据可以进行数学运算
B.顺序数据的功能比分类数据强
C.顺序数据可以比较距离
D.定量数据的计量功能大于定性数据
E.定量数据可以进行数学运算


点击查看答案


63、单项选择题  顺序数据()

A.是一种定量数据
B.可以进行排序,表明事物之间的大小、优劣关系等
C.可以反映事物在数量上的差异
D.其计算功能与数值型数据相同


点击查看答案


64、单项选择题  如果所有标志值的频数都减少为原来的1/5,而标志值仍然不变,那么加权平均数()。

A.不变
B.扩大到5倍
C.减少为原来的1/5
D.不能预测其变化


点击查看答案


65、单项选择题  落在某一分类数据每一类别或组中的数据个数称为()。

A.频数
B.频率
C.频数分布表
D.累积频数


点击查看答案


66、判断题  增长量与基期发展水平指标对比,得到的是发展速度指标。()


点击查看答案


67、单项选择题  下列调查中,属于全面调查的是()。

A.普查
B.重点调查
C.典型调查
D.抽样调查


点击查看答案


68、单项选择题  计算标准差时,如果从每个数据中减去常数a,则计算结果与原标准差相比()。

A.变大
B.不变
C.变小
D.无法确定


点击查看答案


69、多项选择题  某地区2006年(比2005年)社会商品零售价格总指数为103.2%,这一结果说明()。

A.商品零售价格平均上涨了3.2%
B.商品零售额上涨了3.2%
C.由于物价上涨使商品零售量下降了3.2%
D.每种商品零售价各上涨了3.2%
E.由于物价上涨使商品零售额提高了3.2%


点击查看答案


70、单项选择题  某企业生产一批袋装食品,共2000袋,按简单随机不重复抽样方式,抽取100袋检查其净重量是否合格,结果发现不合格率为5%,不合格率的抽样平均误差是()。

A.2.18%
B.2.12%
C.0.5%
D.0.48%


点击查看答案


71、多项选择题  

下列属于拉氏指数的有()。

A.A
B.B
C.C
D.D
E.E


点击查看答案


72、判断题  

当总体服从正态分布时,样本均值一定服从正态分布,即有()


点击查看答案


73、多项选择题& nbsp; 某企业为了分析本厂生产的三种产品产量的变动情况,已计算出产量指数为110%,这一指数为()

A.综合指数
B.总指数
C.个体指数
D.数量指标指数
E.质量指标指数


点击查看答案


74、单项选择题  下列属于推断统计问题的是()。

A.根据样本信息对总体进行的推断
B.了解数据分布的特征
C.分析感兴趣的总体特征
D.利用图、表或其他数据汇总工具分析数据


点击查看答案


75、单项选择题  某研究部门准备在全市500万个家庭中抽取5000个家庭,推断该城市所有职工家庭的年人均消费。这项研究的总体是()、样本是()、样本量是()

A.500万个家庭、500万个家庭的人均消费、5000
B.500万个家庭的人均消费、500万个家庭、5000
C.500万个家庭、5000个家庭、5000
D.500万个家庭的人均消费、5000个家庭、500万


点击查看答案


76、单项选择题  

一种机床加工的零件尺寸绝对平均误差允许值为1.35ram。生产厂家现采用一种新的机床进行加工以期进一步降低误差。为检验新机床加工的零件平均误差与旧机床相比是否有显著降低,从某天生产的零件牛随机抽取50个进行检验,得到50个零件尺寸的绝对误差数据,其平均差为1.2152,标准差为0.365749。利用这些样本数据,在d=0.05水平下,要检验新机床加工的零件尺寸的平均误差与旧机床相比是否有显著降低,提出的假设应为()。

A.A
B.B
C.C
D.D


点击查看答案


77、判断题  质量指标指数是固定质量指标因素,只观察数量指标因素的综合变动。()


点击查看答案


78、多项选择题  样本均值是总体均值的()

A.无偏估计量
B.一致估计量
C.有偏估计量
D.无效估计
E.近似估计量


点击查看答案


79、判断题  一个包含长期趋势的时间序列在进行季节变动分析时应先消除长期趋势的影响。()


点击查看答案


80、单项选择题  有一批灯泡共1000箱,每箱200个,现随机抽取20箱并检查这些箱中的全部灯泡,这种抽样方式属于()。

A.纯随机抽样
B.类型抽样
C.整群抽样
D.等距抽样


点击查看答案


81、判断题  

在大样本时,样本比例会近似服从正态分布。检验统计量用z统计量,其基本形式为。()


点击查看答案


82、多项选择题  下列数据属于观测数据的有()

A.某十字路口一天内通过的机动车数量
B.在实验条件下,细胞的分裂速度
C.北京市2012年城镇居民可支配收入
D.在温度和湿度一定的情况下,某一标号水泥的凝固时间
E.2012年我国财政收入数据


点击查看答案


83、判断题  在进行相关和回归分析时,必须以定性分析为前提,判定现象之间有无关系及其作用范围。()


点击查看答案


84、判断题  极差、四分位差、标准差和方差都可以反映定量数据的离散趋势。()


点击查看答案


85、单项选择题  当所有观测值都落在回归直线上,则两个变量之间的相关系数为()。

A.1
B.-1
C.+1或-1
D.大于-1且小于+1


点击查看答案


86、单项选择题  

在不重复抽样条件下,如果不考虑顺序,其样本可能个数是()。

A.A
B.B
C.C
D.D


点击查看答案


87、判断题  由于抽样调查中只对一部分个体进行调查,而普查对所有个体进行了调查,因而普查的结果一定比抽样调查准确。()


点击查看答案


88、单项选择题  

已知某企业2009年甲、乙两种产品产量及产值资料,如表1所示。表1则甲产品的产量的个体指数为();甲乙两种产品的产量总指数为()。

A.120%;113.3%
B.125%;113.3%
C.120%;116.7%
D.125%;116.7%


点击查看答案


89、单项选择题  以下为样本统计量的是()

A.总体平均数
B.总体方差
C.总体比例
D.样本平均数


点击查看答案


90、判断题  设一个总体含有3个可能元素,取值分别为1,2,3。从该总体中采取不重复抽样方法抽取样本量为2的所有可能样本,共有3个样本。()


点击查看答案


91、单项选择题  已知同一指标不同年度的数值排列顺序,欲求季节比率,则()

A.用按月(季)平均法
B.用移动平均趋势剔除法
C.上述两种方法都可以
D.上述两种方法都不可以


点击查看答案


92、多项选择题  A于定量数据,反映其离散程度的数字特征有()。

A.方差
B.标准差
C.平均数
D.分位数
E.极差


点击查看答案


93、单项选择题  有意识地选择三个有代表性的农村点调查农民收入情况,这种调查方式属于()。

A.典型调查
B.重点调查
C.抽样调查
D.普查


点击查看答案


94、多项选择题  标准分数()

A.可以用来测定某个数据在该组数据中的相对位置
B.取值介于0和1之间
C.是变量值与其平均数的离差除以标准差后的值
D.可以用于测定一组数据的分散程度
E.是标准差的倒数


点击查看答案


95、多项选择题  样本统计量通常包括()

A.总体平均数
B.总体方差
C.样本比例
D.样本均值
E.样本方差


点击查看答案


96、单项选择题  下列关于定性数据的图形表示方法,错误的是()

A.饼图主要用于总体中各组成部分所占比重的研究
B.条形图各条的宽度可以不同
C.条形图的高度或长度来表述数据的多少
D.环形图能够表示多个变量之间的结构差异


点击查看答案


97、判断题  从指数化指标的性质来看,单位成本指数是数量指标指数。()


点击查看答案


98、单项选择题  某班学生的统计学平均成绩是78分,最高分是95分,最低分是65分,根据这些信息,可以计算的测度离散程度的统计量是()。

A.方差
B.极差
C.标准差
D.变异系数


点击查看答案


99、判断题  抽样调查、重点调查和典型调查均是非全面调查。()


点击查看答案


100、判断题  只有当相关系数接近+1时,才能说明两变量之间存在着高度相关关系。()


点击查看答案


101、单项选择题  

用最小二乘法估计出回归方程的回归系数为()。

A.A
B.B
C.C
D.D


点击查看答案


102、单项选择题  

若假设形式为H0:μ=μ0,H1:μ≠μ0,当随机抽取一个样本,其均值=μ0,则()。

A.肯定接受原假设
B.有可能接受原假设
C.有1-α的可能接受原假设
D.有可能拒绝原假设


点击查看答案


103、单项选择题  某商品销售额本年同上年相比没有变化,而商品价格平均上涨了7%,则商品销售量平均()

A.下降了6.5%
B.上涨了5%
C.下降了7%
D.上涨了7%


点击查看答案


104、单项选择题  两个变量的相关关系与函数关系的区别是()。

A.相关关系中一个变量的取值不能由另一个变量惟一确定
B.相关关系中一个变量的取值由另一个变量惟一确定
C.相关关系中一个变量的取值增大时另一个变量的取值也一定增大
D.相关关系中一个变量的取值增大时另一个变量的取值肯定变小


点击查看答案


105、判断题  饼图、条形图、环形图等仅适用于定性数据。()


点击查看答案


106、多项选择题  下列关于假设检验的陈述正确的是()。

A.假设检验实质上是对原假设进行检验
B.假设检验实质上是对备择假设进行检验
C.当拒绝原假设时,只能认为肯定它的根据尚不充分,而不是认为它绝对错误
D.假设检验并不是根据样本结果简单地或直接地判断原假设和备择假设哪一个更有可能正确
E.当接受原假设时,只能认为否定它的根据尚不充分,而不是认为它绝对正确


点击查看答案


107、多项选择题   编制指数时,()。

A.拉氏指数与派氏指数的权数固定在不同时期
B.拉氏指数的权数固定在基期
C.拉氏指数的权数固定在报告期
D.派氏指数的权数固定在基期
E.派氏指数的权数固定在报告期


点击查看答案


108、单项选择题  在回归直线y=a+bx,b<0,则x与y之间的相关系数()。

A.r=0
B.r=1
C.0<r<1
D.-1<r<0


点击查看答案


109、单项选择题  从均值为μ,方差为σ2(有限)的任意一个总体中抽取样本容量为n的样本,下列说法正确的是()。

A.当n充分大时,样本均值的分布近似服从正态分布
B.只有当n;30时,样本均值的分布近似服从正态分布
C.样本均值的分布与n无关
D.无论n多大,样本均值的分布都为非正态分布


点击查看答案


110、单项选择题  统计指数按其反映的对象范围不同分为()

A.简单指数和加权指数
B.综合指数和平均指数
C.个体指数和综合指数
D.数量指数和质量指数


点击查看答案


111、单项选择题  在统计假设检验中,作为检验标准的总体参数是()。

A.已知的
B.假设的
C.随机的
D.变异的


点击查看答案


112、单项选择题  粮食亩产量报告期比基期增长5%,其总产量却减产5.5%,粮食播种面积比基期()。

A.扩大5%
B.扩大10%
C.缩小5%
D.缩小10%


点击查看答案


113、单项选择题  综合指数是一种()

A.简单指数
B.加权指数
C.个体指数
D.平均指数


点击查看答案


114、判断题  统计表一般包括表头、行标题、列标题、数字资料和表外附加构成。()


点击查看答案


115、单项选择题  在对总体现象进行分析的基础上,有意识地选择若干具有代表性的单位进行调查,这种调查方法是()。

A.抽样调查
B.典型调查
C.重点调查
D.普查


点击查看答案


116、单项选择题  一次指数平滑法得到t+1期的预测值等于()。

A.t期的实际观察值与第t期指数平滑值的加权平均值
B.t期的实际观察值与第t+1期指数平滑值的加权平均值
C.t期的实际观察值与第t+1期实际观察值的加权平均值
D.t+1期的实际观察值与第t期指数平滑值的加权平均值


点击查看答案


117、判断题  参数估计是依据样本信息推断未知的总体参数。()


点击查看答案


118、多项选择题  下列关于平均数的说法,正确的有()。

A.平均数可以反映某一事物的平均水平
B.A于未分组数据,平均数的计算公式为:
C.A于分组数据,平均数的计算公式为:
D.在实际当中,平均数往往就是中位数
E.平均数可以用于定性数据集中程度的测度


点击查看答案


119、多项选择题  下列属于质量指标指数的有()

A.企业产值指数
B.职工工资指数
C.商品零售价格指数
D.劳动生产率指数
E.产品单位成本指数


点击查看答案


120、单项选择题  在假设检验中,原假设为H0,备择假设为H1,则称()为犯第二类错误。

A.H0为真,接受H1
B.H0为真,拒绝H1
C.H0不真,接受H0
D.H0不真,拒绝H0


点击查看答案


121、多项选择题  统计分析数据的方法大体可分为()

A.经济统计
B.理论统计
C.描述统计
D.应用统计
E.推断统计


点击查看答案


122、单项选择题  

在重置抽样时,样本均值的标准差为总体标准差σ的()。

A.A
B.B
C.C
D.D


点击查看答案


123、单项选择题  下列指数中,属于个体指数的是()。

A.海尔电冰箱的价格指数
B.衣着类价格指数
C.商品价格总指数
D.服务类价格指数


点击查看答案


124、判断题  相关关系不是因果关系。()


点击查看答案


125、多项选择题  下列关于数据分组的说法,正确的是()。

A.数据分组的组数一般与数据本身的特点及数据的多少有关
B.A于数据分组的组数并没有什么要求,可以任意分组
C.一般情况下,一组数据所分的组数不应少于5组且不多于15组
D.如果组数太少,数据的分布就会过于集中
E.一般情况下,一组数据所分的组数应大于10组


点击查看答案


126、单项选择题  某社会经济现象在一定时期内平均每期增长的绝对数量是()。

A.逐期增长量
B.累计增长量
C.平均增长量
D.增长速度


点击查看答案


127、判断题  

当总体服从正态分布时,样本均值一定服从正态分布,即有X~N(u,σ2)时,。()


点击查看答案


128、判断题  假设检验的结果能证明原假设成立。()


点击查看答案


129、单项选择题  在反映各变量值离散趋势的变异指标中,只与变量极端标志值有关的指标是()。

A.全距
B.平均差
C.标准差
D.方差


点击查看答案


130、单项选择题  假设检验中第二类错误是指()。

A.接受正确原假设
B.拒绝正确原假设
C.接受错误原假设
D.假设设立不正确


点击查看答案


131、单项选择题  一个估计量的一致性是指()。

A.该估计量的数学期望等于被估计的总体参数
B.该估计量的方差比其他估计量小
C.随着样本量的增大该估计量的值越来越接近被估计的总体参数
D.该估计量的方差比其他估计量大


点击查看答案


132、单项选择题  当居民消费价格指数等于100时,说明()

A.报告期与基期相比综合物价上升100点
B.报告期与基期相比综合物价上升100%
C.报告期与基期相比综合物价没有变化
D.报告期与基期相比综合物价下降100%


点击查看答案


133、单项选择题  商品销售额实际增加400元,由于销售量增长使销售额增加420元,由于价格()。

A.增长使销售额增加20元
B.增长使销售额增长210元
C.降低使销售额减少20元
D.降低使销售额减少210元


点击查看答案


134、单项选择题  下列情况中,称为正相关的是()。

A.随一个变量增加,另一个变量相应减少
B.随一个变量减少,另一个变量相应增加
C.随一个变量增加,另一个变量相应增加
D.随一个变量增加,另一个变量不变


点击查看答案


135、单项选择题  下列相关系数取值中错误的是()。

A.-0.86
B.0.78
C.1.25
D.0


点击查看答案


136、多项选择题  设总体X~N(μ,σ2),X1,X2,X3,X4是正态总体X的一个样本,为样本均值,S2为样本方差,若μ为未知参数且σ为已知参数,下列随机变量中属于统计量的有()。

A.X1-X2+X3
B.2X3-μ
C.
D.
E.


点击查看答案


137、判断题  

样本均值的标准误差计算公式为(当总体标准差未知时,可用样本标准差代替)。()


点击查看答案


138、单项选择题  回归分析中的简单回归是指()。

A.两个变量之间的回归
B.变量之间的线性回归
C.两个变量之间的线性回归
D.变量之间的简单回归


点击查看答案


139、判断题  相关关系是指变量与变量之间存在者一种确定性的数量依存关系。()


点击查看答案


140、判断题  

大样本情况下,总体服从正态分布,总体方差未知,总体均值在置信水平(1-α)下的置信区间为()


点击查看答案


141、单项选择题  

已知变量x和变量y之间的关系如图所示,则变量x和变量y之间的相关系数为:()。

A.0.29
B.-0.86
C.1.04
D.0.91


点击查看答案


142、单项选择题  设一个总体共有5个元素,从中随机抽取一个容量为2的样本,在重置抽样时,共有()个样本

A.25
B.10
C.5
D.1


点击查看答案


143、判断题  对客观现象进行实地观测所取得的数据是实验数据。()


点击查看答案


144、判断题  2004年数列水平为2400元,2009年数列水平为2004年的316%。据此得出年平均增长量为1036.8元。()


点击查看答案


145、单项选择题  下列变量中,属于顺序变量的是()。

A.职业
B.教育程度
C.身高
D.收入


点击查看答案


146、判断题  相关的两个变量,只能算出一个相关系数。()


点击查看答案


147、判断题  在参数估计中,无偏性是衡量一个估计量是否理想的唯一准则。()


点击查看答案


148、判断题  

A某一总体均值进行假设检验,检验结论是:在1%的显著性水平下,应拒绝H0。据此可认为对原假设进行检验的P值小于1%。()


点击查看答案


149、单项选择题  回归系数和相关系数的符号是一致的,其符号均可用来判断现象()。

A.线性相关还是非线性相关
B.正相关还是负相关
C.完全相关还是不完全相关
D.单相关还是复相关


点击查看答案


150、多项选择题  关于极差,下列说法正确的有()。

A.只能说明变量值变异的范围
B.不能准确地描述数据的分散程度
C.反映数据的分配状况
D.最大的缺点是受极端值的影响
E.最大的优点是不受极端值的影响


点击查看答案


151、单项选择题  一组数据的离散系数为0.6,平均数为10,则方差为()。

A.0.4
B.4
C.6
D.36


点击查看答案


152、判断题  某房地产公司今年同去年比较,销售量下降了5%,但由于该房地产项目的销售价格总体上涨了5%,因此,房地产销售额没有受到丝毫影响。()


点击查看答案


153、多项选择题  下列属于时间序列的有()。

A.“十五”期间社会商品零售总额
B.“十五”按数值大小排列的GDP
C.“十五”期间各年死亡人口数
D.“十五”期间各年进出口额
E.“十五”期间各年人口出生率


点击查看答案


154、判断题  

在不重置抽样时,样本均值的标准差为。()


点击查看答案


155、判断题  在任何相关条件下,都可以用单相关系数说明变量之间相关的密切程度。()


点击查看答案


156、单项选择题  相关系数r与回归系数b的关系为()。

A.回归系数b大,则相关系数r一定也大
B.回归系数b与相关系数r的正负符号相同
C.
D.相关系数r与回归系数b无任何联系


点击查看答案


157、多项选择题  销售额与流通费用率,在一定条件下,存在相关关系,这种相关关系属于()。

A.正相关
B.单相关
C.负相关
D.复相关
E.完全相关


点击查看答案


158、判断题  重点调查和典型调查属于抽样调查的范畴,是非全面调查。()


点击查看答案


159、多项选择题  普查是一种全面调查,其缺点包括()。

A.资料包括范围不够系统
B.工作量大
C.耗资多
D.时间周期较长
E.资料包括范围不够详尽


点击查看答案


160、单项选择题  下列指标中不能反映定性数据的集中趋势的是()

A.百分比
B.中位数
C.平均数
D.众数


点击查看答案


161、判断题  产品质量分为1、2、3级品,这是数值型变量。()


点击查看答案


162、判断题  其他条件相同时,误差范围越大,样本容量就可以越小;误差范围越小,样本容量就必须越大。()


点击查看答案


163、单项选择题  在反映某小学三年级学生身高的分布时,将其分组为120厘米以下、120~130厘米、130~140厘米、140厘米以上,则()。

A.120厘米在第一组,130厘米在第二组
B.120厘米在第一组,130厘米在第三组
C.120厘米在第二组,130厘米在第二组
D.120厘米在第二组,130厘米在第三组


点击查看答案


164、判断题  计算样本容量,如果总体比例的值不知道可以用样本比例来代替,或者取总体比例值为0.5,使得π(1-π)达到最大。()


点击查看答案


165、单项选择题  设Q为销售量,P为价格,当∑Q0P0=120万元,∑Q1P1=165万元,∑Q1P0=135万元,∑Q0P1=140万元时,拉氏价格指数是()。

A.112.5%
B.116.7%
C.117.9%
D.122.2%


点击查看答案


166、多项选择题  下列说法中正确的有()

A.时间序列数据不一定按数据的时间先后顺序排列
B.发展速度和增长速度都是动态相对指标
C.长期趋势分析方法中的回归方程法中的参数可以用最小二乘法进行估计
D.指数平滑法中的平滑系数可以大于1但不能小于0
E.季节变动分析方法中的回归方程法消除法消除了长期趋势的影响


点击查看答案


167、单项选择题  假定某一现象每年绝对增长量是稳定的,则年增长速度的变化趋势是()。

A.稳定不变
B.有所上升
C.有所下降
D.有升有降


点击查看答案


168、判断题  假设检验是先对总体参数或分布形式提出某种假设,然后利用样本信息和相关统计量的分布特征去检验这个假定,做出是否拒绝原假设的结论。()


点击查看答案


169、多项选择题  

若“”都是总体参数θ的无偏估计量,下列说法中正确的有()。

A.A
B.B
C.C
D.D
E.E


点击查看答案


170、单项选择题  下列回归方程中肯定错误的是()。

A.=15-0.48x,r=0.65
B.=-15-1.35x,r=-0.81
C.=-25+0.85x,r=0.42
D.=120-3.56x,r=-0.96


点击查看答案


171、单项选择题  在坐标轴中,纵坐标表示直方图的()。

A.频数
B.组中值
C.变量分组
D.组限


点击查看答案


172、单项选择题  已知环比增长速度为9.2%、8.6%、7.1%、7.5%,则定基增长速度为()。

A.9.2%×8.6%×7.1%×7.5%
B.(9.2%×8.6%×7.1%×7.5%)-100%
C.109.2%×108.6%×107.1%×107.5%
D.(109.2%×108.6%×107.1%×107.5%)-100%


点击查看答案


173、单项选择题  假设检验主要是对()进行检验。

A.总体参数
B.样本参数
C.统计量
D.样本分布


点击查看答案


174、多项选择题  对于定性数据,反映其集中趋势的数字特征有()

A.比例
B.百分比
C.平均数
D.众数
E.中位数


点击查看答案


175、单项选择题  设有4组容量相同的样本数据,即n=8,相关系数分别为:r1=0.65,r2=0.74,r3=0.89,r4=0.92,若取显著性水平α=0.05进行显著性检验,哪一个相关系数在统计上是不显著的?()

A.r1
B.r2
C.r3
D.r4


点击查看答案


176、多项选择题  由样本均值的抽样分布可知样本统计量与总体参数之间的关系为()。

A.在重复抽样条件下,样本均值的方差等于总体方差的1/n
B.样本方差等于总体方差的1/n
C.样本均值的期望值等于总体均值
D.样本均值恰好等于总体均值
E.样本均值的方差等于总体方差


点击查看答案


177、单项选择题  下述关于确定样本量的几种说法中,正确的是()。

A.样本量与置信水平成反比
B.样本量与总体方差成反比
C.样本量与允许的估计误差成反比
D.样本量与允许的估计误差的平方成反比


点击查看答案


178、判断题  需求法则表明,需求量大小与商品价格高低呈正相关关系。()


点击查看答案


179、单项选择题  关于估计标准误差,下列说法正确的是()。

A.数值越大,说明回归直线的代表性越大
B.数值越大,说明回归直线的代表性越小
C.数值越大,说明回归直线的实用价值越大
D.数值越大,说明回归直线的实用价值越小


点击查看答案


180、单项选择题  当自变量的数值确定后,因变量的数值也随之完全确定,这种关系属于()。

A.随机关系
B.相关关系
C.函数关系
D.因果关系


点击查看答案


181、单项选择题  研究如何利用样本数据来推断总体特征的统计学方法是()

A.描述统计
B.推断统计
C.理论统计
D.应用统计


点击查看答案


182、判断题  顺序数据的功能比分类数据要弱一些。()


点击查看答案


183、多项选择题  组距是指每个组变量值中的()

A.最大值与最小值之差
B.组中值与最小值之差
C.最大值与组中值之差
D.组上限与组下限之差
E.组与组之间的距离


点击查看答案


184、单项选择题  一项民意调查的目的是想确定年轻人愿意与其父母讨论的话题。调查结果表明:60%的年轻人愿意与其父母讨论家庭财务状况,35%的年轻人愿意与其父母讨论有关教育的话题,10%的年轻人愿意与其父母讨论爱情问题。该调查所收集的数据是()。

A.观测数据
B.顺序数据
C.分类数据
D.实验数据


点击查看答案


185、多项选择题  

大样本情况下,总体均值检验的统计量可能为()。

A.A
B.B
C.C
D.D
E.E


点击查看答案


186、多项选择题  下列指数中属于数量指数的是()

A.产品销售量指数
B.产品成本指数
C.农产品产量指数
D.零售物价指数
E.职工人数指数


点击查看答案


187、单项选择题  为了掌握全国乳制品的质量,选出蒙牛、伊利、光明和三元等几个大型乳制品企业进行调查,这种调查方法属于()。

A.普查
B.典型调查
C.重点调查
D.统计报表


点击查看答案


188、单项选择题  调查大庆、胜利等几个主要油田来了解我国石油生产的基本情况,这种调查方式属于()。

A.普查
B.典型调查
C.重点调查
D.抽样调查


点击查看答案


189、判断题  季节比率=同季平均数/总的季度平均数。()


点击查看答案


190、单项选择题  相关关系中,两个变量的关系是对等的,从而变量x对变量y的相关,同变量y对变量x的相关()。

A.是同一问题
B.不一定相同
C.有联系但是不是一个问题
D.完全不同


点击查看答案


191、判断题  在重置抽样时,样本均值的标准差为总体标准差σ2的1/n。()


点击查看答案


192、多项选择题  下列有关季节变动的说法中,正确的是()。

A.季节变动每年重复进行
B.季节变动是随机变动
C.季节变动按照一定的周期进行
D.季节变动循环的幅度和周期都不规则
E.季节变动每个周期变化强度大体相同


点击查看答案


193、判断题  统计报表可以摸清一个国家的国情、国力,特别是可以了解与掌握人力、财力、物资资源状况及其利用状况,为国家制定长远规划与政策提供可靠的依据。()


点击查看答案


194、多项选择题  下列选项中,可以用来考查一组数据的分布特征的有()

A.集中趋势
B.分布规律
C.离散程度
D.数字特征
E.准确程度


点击查看答案


195、判断题  极差容易受数据中极端值的影响,不能准确地描述数据的分散程度。()


点击查看答案


196、判断题  

小样本情况下,总体服从正态分布,总体方差已知,总体均值在置信水平(1-α)下的置信区间为。()


点击查看答案


197、单项选择题  A某市高等学校科研所进行调查,统计总体是()。

A.某市所有的高等学校
B.某一高等学校科研所
C.某一高等学校
D.某市所有高等学校科研所


点击查看答案


198、单项选择题  小概率事件,是指在一次事件中几乎不可能发生的事件。一般称之为“显著性水平”,用α表示。显著性水平一般取值为()。

A.5%
B.20%
C.30%
D.50%


点击查看答案


199、多项选择题  在大样本的情况下,检验H0:μ=μo,H1:μ>μo,则()成立时,可接受原假设。

A.实测显著性水平P值<显著性水平α
B.P值>α
C.Z<Z0
D.Z>Z0
E.Z>Zα/2


点击查看答案


200、单项选择题  某种A股股票的价格周二下降了10%,周三上涨了15%,两天累计()。

A.上涨5%
B.上涨3.5%
C.下降3.5%
D.下降2.5%


点击查看答案


题库试看结束后微信扫下方二维码即可打包下载完整版《★统计学和统计法基础知识》题库
手机用户可保存上方二维码到手机中,在微信扫一扫中右上角选择“从相册选取二维码”即可。

题库试看结束后微信扫下方二维码即可打包下载完整版《统计学和统计法基础知识:统计方法》题库,分栏、分答案解析排版、小字体方便打印背记!经广大会员朋友实战检验,此方法考试通过率大大提高!绝对是您考试过关的不二利器
手机用户可保存上方二维码到手机中,在微信扫一扫中右上角选择“从相册选取二维码”即可。

微信搜索关注"91考试网"公众号,领30元,获取公务员事业编教师考试资料40G