吸收考试:吸收考试考试题库(最新版)

时间:2017-10-07 22:08:02

微信搜索关注"91考试网"公众号,领30元,获取事业编教师公务员等考试资料40G
题库试看结束后微信扫下方二维码即可打包下载完整版《★吸收考试》题库
手机用户可保存上方二维码到手机中,在微信扫一扫中右上角选择“从相册选取二维码”即可。

题库试看结束后微信扫下方二维码即可打包下载完整版《吸收考试:吸收考试》题库,分栏、分答案解析排版、小字体方便打印背记!经广大会员朋友实战检验,此方法考试通过率大大提高!绝对是您考试过关的不二利器
手机用户可保存上方二维码到手机中,在微信扫一扫中右上角选择“从相册选取二维码”即可。

1、问答题  简述填料的作用。


点击查看答案


2、问答题  吸收实验中,设备没有启动时U形管压差计两液面不平,可能是什么原因,如何调平?


点击查看答案


3、填空题  含SO2为10%(体积)的气体混合物与浓度C=0.02Kmol/m3的SO2水溶液在一个大气压下接触,操作条件下两相的平衡关系为p*=1.62C(大气压),则SO2将从()相向()转移,以气相组成表示的传质总推动力为()大气压,以液相组成表示的传质总推动力为()Kmol/m3。


点击查看答案


4、单项选择题  费克定律可以解答的问题为()。

A.分子热运动方向及其速度大小;
B.分子扩散方向及其扩散系数大小;
C.分子扩散方向及其速率大小;
D.扩散传质方向及其速率大小。


点击查看答案


5、问答题  评价塔板性能的指标有哪些方面?


点击查看答案


6、填空题  气体吸收计算中表示设备(填料)效能高低的一个量是(),而表示传质任务难易程度的一个量是()。


点击查看答案


7、填空题  对非液膜控制的系统,气体流量越大,则气相总传质系数Ky(),气相总传质单元高度HOG()。


点击查看答案


8、问答题  

计算题:在常压101.33kPa、温度下,溶质组成为0.05(摩尔分数)的CO2-空气混合物与浓度为的25水溶液接触,试判断传质过程方向。
已知常压、25℃下CO2在水中的亨利系数E为
 


点击查看答案


9、单项选择题  在逆流吸收塔内,入塔条件不变,填料层高度趋向无穷大,当吸收因数A<1时,气液相在()处达到平衡。

A.塔顶;
B.塔底;
C.塔中部;
D.塔中某一位置。


点击查看答案


10、单项选择题  吸收操作中,当X*>X时:()。

A.发生解吸过程
B.解吸推动力为零
C.发生吸收过程
D.吸收推动力为零


点击查看答案


11、填空题  吸收实验所用吸收塔内的填料的名称叫做()。


点击查看答案


12、问答题  影响吸收操作稳定性的因素有哪些?


点击查看答案


13、填空题  吸收实验中,风机运转时会发热,导致气温高于流量计标定温度(20℃),这时读得的流量()真实流量。


点击查看答案


14、填空题  由双膜理论可知,()为吸收过程主要的传质阻力;吸收中,吸收质以()的方式通过气膜,并在界面处(),再以()的方式通过液膜。


点击查看答案


15、填空题  拟设计一座用清水吸收NH3的吸收塔,已规定出塔气体中的NH3浓度不得大于给定值。若进塔气中NH3含量增大,则最小液气比将()。


点击查看答案


16、问答题  何谓溶解度?溶解度与哪些因素有关?溶解度曲线有何规律?


点击查看答案


17、填空题  停工装大盲板过程中,应防止空气窜入(),引起()。


点击查看答案


18、填空题  压力(),温度(),将有利于解吸的进行。工程上常用水–空气系统进行氧解吸,这种系统属于()系统,传质阻力主要在()一侧。


点击查看答案


19、填空题  在低浓度难溶气体的逆流吸收塔中,若其它条件不变而入塔液体量增加,则塔的液相传质单元数NL将(),而气相总传质单元数NOG将(),其气体出口浓度y2将()。


点击查看答案


20、填空题  常用的两种解析法求传质单元数的方法分别叫做()、()。


点击查看答案


21、填空题  某操作中的吸收塔,用清水逆流吸收气体混合物中的A组分,若L增加,其余操作条件不变,则出塔气体ya(),出塔液体的浓度x1(),回收率()。


点击查看答案


22、问答题  

计算题:在293K和101.3Kpa下,用清水分离氨和空气的混合物,混合物中氨的分压为15.2Kpa,处理后分压降至0.0056Kpa,混合气处理量为,已知,Y*=0.5X。
试计算:
(1)最小吸收剂耗用量;
(2)若适宜吸收剂用量为最小用量的3倍,求实际耗用量;
(3)若塔径为1.2m,吸收总系数为,求所需填料层高度?


点击查看答案


23、单项选择题  单向扩散中的漂流因子()。

A.>1
B.<1
C.=1
D.不一定


点击查看答案


24、填空题  在吸收塔的设计中,气体流量,气体进出口组成和液相进口组成不变,若减少吸收剂用量,则传质推动力(),设备费用()。


点击查看答案


25、填空题  由于吸收过程中,气相中的溶质组分分压总是()溶质的平衡分压,因此吸收操作线总是在平衡线的()。


点击查看答案


26、问答题  相平衡在吸收过程中有何应用?


点击查看答案

27、判断题  液膜控制吸收时,若要提高吸收率,应提高气相流速。()


点击查看答案


28、填空题  其他条件不变,喷淋量增大,体积吸收系数Kxa将如何变化()。


点击查看答案


29、填空题  吸收过程中,KX是以()为推动力的总吸收系数,它的单位是()。


点击查看答案


30、问答题  在该实验装置上如何验证吸收剂温度对吸收过程的影响?


点击查看答案


31、填空题  对接近常压的低浓度溶质的气液平衡系统A.B.在同样条件下,A系统中的溶质的溶解度较B系统中的溶质为高,则A系统的溶解度系数HA()HB,亨利系数EA()EB,相平衡常数mA()mB。


点击查看答案


32、判断题  气体的溶解度随温度的升高而增大,随压力减小而增大。()


点击查看答案


33、填空题  实验室中用水吸收CO2基本属于()控制,其气膜中浓度梯度()液膜浓度梯度,气膜阻力()液膜阻力。


点击查看答案


34、单项选择题  对于低浓度溶质的气液传质系统A、B,在同样条件下,A系统中的溶质的溶解度较B系统的溶质的溶解度高,则它们的溶解度系数H之间的关系为:()。

A.HA>HB
B.HA<HB
C.HA=HB
D.不确定


点击查看答案


35、单项选择题  在吸收操作中,下列各项数值的变化不影响吸收传质系数的是()。

A.传质单元数的改变;
B.传质单元高度的改变
C.吸收塔结构尺寸的改变;
D.吸收塔填料类型及尺寸的改变。


点击查看答案


36、问答题  请比较板式塔和填料塔的性能特点。并说明各适用于何种场合?


点击查看答案


37、单项选择题  适宜的空塔气速与泛点气速之比称为泛点率,根据生产实际综合考虑,泛点率一般选为()。

A、1.2~2.0;
B、0.5~0.8;
C、不大于1/8;
D.0.2~1.0。


点击查看答案


38、单项选择题  设计中,最大吸收率ηmax与()无关。

A.液气比
B.吸收塔型式
C.相平衡常数m
D.液体入塔浓度X2


点击查看答案


39、问答题  什么是最小液气比?适宜液气比如何选择?增大液气比对操作线有何影响?


点击查看答案


40、填空题  在填料塔操作时,影响液泛气速的因素有()、()和()。


点击查看答案


41、单项选择题  某逆流吸收塔在操作时因某种原因使吸收剂入塔量减少,以致操作时的液气比小于原定的最小液气比,则发生下列情况()。

A.液体出塔浓度增加,回收率不变
B.液体出塔浓度不变,气体出塔浓度增加
C.液体出塔浓度和气体出塔浓度均增加
D.在塔的下部将发生解吸现象。


点击查看答案


42、判断题  吸收操作线总是位于平衡线的上方是由于气相中的温度高于液相中的温度。()


点击查看答案


43、填空题  塔底液封的作用是(),()。


点击查看答案


44、填空题  低浓度难溶气体在填料塔中被逆流吸收时,若入塔气体量增加而其它条件不变,则气相总传质单元高度HOG(),气相总传质单元数NOG(),液相总传质单元数NOL(),出口气体组成y2(),出口液体组成x1()。


点击查看答案


45、单项选择题  填料吸收塔内的液体再分布器是用于()。

A、喷洒吸收剂;
B、防止液泛;
C、克服壁流现象;
D.再利用吸收液。


点击查看答案


46、单项选择题  对某一气液平衡物系,在总压一定时,若温度升高,由其亨利系数E将()。

A.减小;
B.增加;
C.不变;
D.不确定。


点击查看答案


47、单项选择题  在逆流吸收塔中,用清水吸收混合气中溶质组分,其液气比L/V为2.7,平衡关系可表示为Y=1.5X(Y,X为摩尔比),溶质的回收率为90%,则液气比与最小液气比之比值为:()。

A.1.5
B.1.8
C.2
D.3


点击查看答案


48、问答题  简述液体分布器的作用。


点击查看答案


49、单项选择题  某填料塔用水吸收空气中的氨气,当液体流量和进塔气体的浓度不变时,增大混合气体的流量,此时仍能进行正常操作,则尾气中氨气的浓度()。

A.增大
B.减少
C.不变
D.不确定


点击查看答案


50、填空题  某低浓度气体吸收过程,已知:相平衡常数m=1,气膜和液膜体积吸收系数分别为kya=2×10-4Kmol/(m3s),kxa=0.4kmol/(m3.s)。则该吸收过程为()膜阻力控制。气膜阻力占总阻力的百分数为();该气体为()溶气体。漂流因数可表为(),它反映()。


点击查看答案


51、单项选择题  在y-x图上,操作线若在平衡线下方,则表明传质过程是()。

A.吸收;
B.解吸;
C.相平衡;
D.不确定。


点击查看答案


52、单项选择题  下述分离过程中哪一种不属于传质分离()。

A.萃取分离;
B.吸收分离;
C.结晶分离;
D.离心分离。


点击查看答案


53、填空题  吸收塔操作时,若脱吸因数mG/L增加,而气液进口组成不变,则溶质回收率将(),而出塔液体浓度将()。


点击查看答案


54、填空题  对接近常压的低浓度溶质的气液平衡系统,当系统温度增加时,其溶解度系数H将()。而当系统中液相总浓度增加时,其相平衡常数m将()。


点击查看答案


55、问答题  吸收实验中,塔底液封液面应保持在什么位置?为什么?


点击查看答案


56、判断题  某一吸收系统,若1/ky》1/kx,则为气膜控制,若1/ky《1/kx,则为液膜控制。()


点击查看答案


57、单项选择题  某相际传质过程为气膜控制,究其原因,甲认为是由于气膜传质速率小于液膜传质速率的缘故;乙认为是气膜传质推动力较小的缘故。正确的是()。

A.甲对;
B.乙对;
C.甲、乙都对;
D.甲、乙都不对。


点击查看答案


58、单项选择题  吸收的依据是()

A、液体均向混合物中各组沸点不同
B、气体混合物中各组分在某溶剂中溶解度的差异
C、液体均向混合物中各组分的结晶能力不同
D、液体均向混合物中各组分挥发能力的差异


点击查看答案


59、填空题  吸收操作温度升高,相平衡常数m变(),吸收推动力();吸收压强增大,相平衡常数m变(),吸收推动力()。


点击查看答案


60、填空题 &nb 91EXAM.orgsp;A,B两组分等摩尔扩散的代表单元操作是(),A在B中单向扩散的代表单元操作是()。


点击查看答案


61、单项选择题  由手册中查得稀氨水的密度为0.9939,若100g水中含氨1g,其浓度为()kmol/m3。

A.0.99
B.0.85
C.0.58
D.0.29


点击查看答案


62、填空题  其他参数不变,仅将吸收剂用量增加,吸收因数S(),吸收推动力(),所需的传质单元数()。


点击查看答案


63、问答题  吸收实验中,以色谱分析气体组成时,进样量过大和过小对结果分别有何影响?实验中应如何控制?


点击查看答案


64、单项选择题  某合成氨厂变换气中含CO227%(体积),其余为N2、H2、CO(可视作惰性气体),含量分别为18%、52.4%、2.6%,CO2对惰性气体的比摩尔分数为(),比质量分数为()。

A.0.37,1.74
B.1.74,0.37
C.1.37,0.74
D.0.74,1.37


点击查看答案


65、问答题  

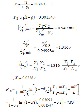
计算题:在常压逆流吸收操作的填料塔内,用纯吸收剂S吸收混合气中的可溶组份A,入塔气体中A的縻尔分率为Y1=0.03,要求吸收率,已知,与入塔气体成平衡的液相浓度,试计算:操作液汽比为最小液汽比的倍数?吸收液的出口浓度?气相传质单元数?


点击查看答案


66、填空题  用清水吸收空气与A的混合气中的溶质A,物系的相平衡常数m=2,入塔气体浓度Y1=0.06,要求出塔气体浓度Y2=0.006,则最小液气比为()。


点击查看答案


67、填空题  低浓度逆流解吸塔操作时,若入塔液相浓度x1增加,而其它条件不变,则液相总传质单元数NOL(),出塔液相浓度x2(),出塔解吸气浓度y1()。


点击查看答案


68、填空题  某逆流操作吸收塔,若其它操作条件不变而系统的温度增加(无化学反应),则传质单元高度HOG(),气体出口浓度y2(),液体出口浓度x1()。试在附图上画出新条件下的平衡线和操作线。


点击查看答案


69、单项选择题  依据“双膜理论”,下列判断中可以成立的是()。

A.可溶组分的溶解度小,吸收过程的速率为气膜控制;
B.可溶组分的亨利系数大,吸收过程的速率为液膜控制;
C.可溶组分的相平衡常数大,吸收过程的速率为气膜控制;
D.液相的粘度低,吸收过程的速率为液膜控制。


点击查看答案


70、问答题  填料吸收塔底为什么必须有液封装置,液封装置是如何设计的?


点击查看答案


71、填空题  当温度升高时,溶质在气相中的分子扩散系数(),在液相中的分子扩散系数()。


点击查看答案


72、填空题  在逆流操作的吸收塔中,若吸收剂进塔浓度x2降低,其它操作条件不变,则出塔气体组成y2(),出塔液体组成x1(),回收率()。


点击查看答案


73、问答题  吸收操作在化工生产中有何应用?


来源:91 考试网点击查看答案


74、单项选择题  以下那种物系宜选择板式塔进行吸收操作?()

A、易起泡物系;
B、热敏性物系;
C、强腐蚀物系;
D、易聚合或含有固体悬浮物的物系。


点击查看答案


75、填空题  吸收操作的依据是(),以达到分离气体混合物的目的。


点击查看答案


76、单项选择题  关于适宜液气化选择的叙述错误的是:()。

A.不受操作条件变化的影响
B.不能少于最小液气比
C.要保证填料层的充分湿润
D.应使设备费用和操作费用之和最小


点击查看答案


77、填空题  在1atm、20℃下某低浓度气体混合物被清水吸收,若气膜吸收系数kg=0.1kmol/(m2.h.atm),液膜吸收系数kl=0.25kmol/(m2.h.atm),溶质的溶解度系数H=150kmol/(m3.atm),则该溶质为()气体,气相吸收总系数Kg=()kmol/(m2.h.atm)。


点击查看答案


78、单项选择题  吸收过程所发生的是被吸收组分的()。

A.单身扩散;
B.等分子反向扩散;
C.主体流动;
D.分子扩散。


点击查看答案


79、填空题  用逆流操作的吸收塔处理低浓度易溶溶质的气体混合物,如其他操作条件不变,而入口气体的组成yb增加,则此塔的液相总传质单元数NOL将()。气体出口组成ya将()。液相出口组成xa将()。


点击查看答案


80、单项选择题  当吸收过程为液膜控制时,()。

A、提高液体流量有利于吸收;
B、提高气速有利于吸收;
C、降低液体流量有利于吸收;
D、降低气体流速有利于吸收。


点击查看答案


81、单项选择题  吸收塔的操作线是直线,主要基于()。

A.物理吸收;
B.化学吸收;
C.高浓度物理吸收;
D.低浓度物理吸收。


点击查看答案


82、单项选择题  在填料塔中用清水吸收混合气中NH3,当水量减少时,气相总传质单元数NOG()。

A.增加;
B.减少;
C.不变。


点击查看答案


83、填空题  亨利系数E值愈大,则表明该气体的()。


点击查看答案


84、问答题  从传质推动力和传质阻力两方面分析吸收剂流量对吸收过程的影响?


点击查看答案


85、单项选择题  空气通过具有一定液体喷淋量的填料时,流量与流经填料的压强差△P呈何关系?()

A.在对数坐标呈直线关系
B.在对数坐标呈折线关系
C.在对数坐标呈曲线关系
D.没关系


点击查看答案


86、单项选择题  当系统总浓度增加时,此扩散系数将()。

A.增加
B.减少
C.不变
D.不定


点击查看答案


87、单项选择题  提高吸收塔的液气比,甲认为奖在逆流吸收过程的推动力较大;乙认为将增大并流吸收过程的推动力,正确的是()。

A.甲对;
B.乙对;
C.甲、乙双方都不对;
D.甲、乙都对。


点击查看答案


88、填空题  双组分理想气体系统经绝热压缩,其总压增加一倍,则过程前后系统中的扩散系数DAB与DAB’的关系应该是DAB=()DAB’。


点击查看答案


89、单项选择题  逆流吸收操作线:()。

A.表明塔内任一截面上气、液两相的平衡组成关系
B.在X-Y图中是一条曲线
C.在X-Y图中的位置一定位于平衡线的上方
D.在X-Y图中的位置一定位于平衡线的下方


点击查看答案


90、填空题  用逆流操作规程的吸收塔处理低浓度易溶溶质的气体混合物,如其它条件不变,而入口气体的浓度增加,则此塔的液相总传质单元NOL(),气相总传质单元数NOG(),出口气体组成y2(),出口液体组成x1()。


点击查看答案


91、问答题  从传质推动力和传质阻力两方面分析吸收剂流量和来源:91考试网 www.91eXam.org吸收剂温度对吸收过程的影响?


点击查看答案


92、填空题  气体吸收时,若可溶气体的浓度较高,则总体流动对传质的影响()。


点击查看答案


93、单项选择题  吸收过程避免液泛的主要操作要点是()。

A.控制液体流速
B.控制温度
C.控制气体速度
D.控制压力


点击查看答案


94、单项选择题  对于低浓度溶质的气液传质系统A、B,在同样条件下,A系统中的溶质的溶解度较B系统的溶质的溶解度高,则它们的相平衡常数m之间的关系为:()。

A.mA>mB
B.mA<mB
C.mA=mB
D.不确定


点击查看答案


95、问答题  计算题:在逆流吸收塔中,用清水吸收混合气体溶质组分A,吸收塔内操作压强为106kPa,温度为30℃,混合气流量为1300m3/h,组成为0.03(摩尔分数),吸收率为95%。若吸收剂用量为最小用量的1.5倍,试求进入塔顶的清水用量L及吸收液的组成。操作条件下平衡关系为Y=0.65X。


点击查看答案


96、单项选择题  实验室用水吸收空气中的CO2,基本上属于()。

A.气膜控制
B.液膜控制
C.两相扩散控制


点击查看答案


97、问答题  填料塔的关系线有何特点?操作区域分成哪三个区域?


点击查看答案


98、判断题  吸收操作线总是在平衡线的下方,解吸的操作线总是在平衡线的上方。()


点击查看答案


99、填空题  对于低浓度溶质A的气体的物理吸收达到平衡时,其自由度可视为等于()。即在()、()、()、()四个变量中,有()个自变量。


点击查看答案


100、填空题  干气密封系统中,前置密封气介质是(),使防止机体内介质污染()。


点击查看答案


题库试看结束后微信扫下方二维码即可打包下载完整版《★吸收考试》题库
手机用户可保存上方二维码到手机中,在微信扫一扫中右上角选择“从相册选取二维码”即可。

题库试看结束后微信扫下方二维码即可打包下载完整版《吸收考试:吸收考试》题库,分栏、分答案解析排版、小字体方便打印背记!经广大会员朋友实战检验,此方法考试通过率大大提高!绝对是您考试过关的不二利器
手机用户可保存上方二维码到手机中,在微信扫一扫中右上角选择“从相册选取二维码”即可。

微信搜索关注"91考试网"公众号,领30元,获取公务员事业编教师考试资料40G