吸收考试:吸收考试必看考点(2017年最新版)

时间:2017-10-06 17:27:49

微信搜索关注"91考试网"公众号,领30元,获取事业编教师公务员等考试资料40G
题库试看结束后微信扫下方二维码即可打包下载完整版《★吸收考试》题库
手机用户可保存上方二维码到手机中,在微信扫一扫中右上角选择“从相册选取二维码”即可。

题库试看结束后微信扫下方二维码即可打包下载完整版《吸收考试:吸收考试》题库,分栏、分答案解析排版、小字体方便打印背记!经广大会员朋友实战检验,此方法考试通过率大大提高!绝对是您考试过关的不二利器
手机用户可保存上方二维码到手机中,在微信扫一扫中右上角选择“从相册选取二维码”即可。

1、问答题  吸收实验中,塔底液封液面应保持在什么位置?为什么?


点击查看答案


2、填空题  吸收尾气放空阀是哪一类阀门()。


点击查看答案


3、单项选择题  根据双膜理论,当被吸收组分在液体中溶解度很小时,以液相浓度表示的总传质系数()。

A.大于液相传质分系数;
B.近似等于液相传质分系数;
C.小于气相传质分系数;
D.近似等于气相传质分系数。


点击查看答案


4、单项选择题  在吸收操作中,下列各项数值的变化不影响吸收传质系数的是()。

A.传质单元数的改变;
B.传质单元高度的改变
C.吸收塔结构尺寸的改变;
D.吸收塔填料类型及尺寸的改变。


点击查看答案


5、单项选择题  在吸收塔的计算中,通常不为生产任务所决定的是:()。

A.所处理的气体量
B.气体的初始和最终组成
C.吸收剂的初始浓度
D.吸收剂的用量和吸收液的浓度


点击查看答案


6、问答题  

一逆流操作的常压填料吸收塔,用清水吸收混合气中的溶质A,入塔气体中含A1%(摩尔比),经吸收后溶质A被回收了80%,此时水的用量为最小用量的1.5倍,平衡线为,气相总传质单元高度为1m,试求填料层所需高度。


点击查看答案


7、填空题  停工装大盲板过程中,应防止空气窜入(),引起()。


点击查看答案


8、单项选择题  低浓度逆流吸收操作中,若其它入塔条件不变,仅增加入塔气体浓度Y1,则:出塔气体浓度Y2将()。

A.增加;
B.减小;
C.不变;
D.不确定。


点击查看答案


9、填空题  含SO2为10%(体积)的气体混合物与浓度C=0.02Kmol/m3的SO2水溶液在一个大气压下接触,操作条件下两相的平衡关系为p*=1.62C(大气压),则SO2将从()相向()转移,以气相组成表示的传质总推动力为()大气压,以液相组成表示的传质总推动力为()Kmol/m3。


点击查看答案


10、单项选择题  吸收操作中,当X*>X时:()。

A.发生解吸过程
B.解吸推动力为零
C.发生吸收过程
D.吸收推动力为零


点击查看答案


11、填空题  吸收实验所用吸收塔内的填料的名称叫做()。


点击查看答案


12、单项选择题  某低浓度气体溶质被吸收时的平衡关系服从亨利定律,且kY=3×10-5kmol/(m2•s),kx=8×10-5kmol/(m2•s),m=0.36,则该过程是:()。

A.气膜阻力控制
B.液膜阻力控制
C.气、液两膜阻力均不可忽略
D.无法判断


点击查看答案


13、单项选择题  下述分离过程中哪一种不属于传质分离()。

A.萃取分离;
B.吸收分离;
C.结晶分离;
D.离心分离。


点击查看答案


14、填空题  在吸收操作中,对溶解度很大的气体属()控制,对难溶气体则属()控制。


点击查看答案


15、单项选择题  适宜的空塔气速与泛点气速之比称为泛点率,根据生产实际综合考虑,泛点率一般选为()。

A、1.2~2.0;
B、0.5~0.8;
C、不大于1/8;
D.0.2~1.0。


点击查看答案


16、填空题  对接近常压的低溶质浓度的气液平衡系统,当总压增大时,亨利系数E(),相平衡常数m(),溶解度系数H()。


点击查看答案


17、填空题  对接近常压的低浓度溶质的气液平衡系统A.B.在同样条件下,A系统中的溶质的溶解度较B系统中的溶质为高,则A系统的溶解度系数HA()HB,亨利系数EA()EB,相平衡常数mA()mB。


点击查看答案


18、单项选择题  在吸收塔设计中,当吸收剂用量趋于最小用量时,()。

A.吸收率趋向最高
B.吸收推动力趋向最大
C.操作最为经济
D.填料层高度趋向无穷大


点击查看答案


19、单项选择题  在常压下,用水逆流吸收空气中的二氧化碳,若用水量增加,则出口液体中的二氧化碳浓度将:()。

A.变大
B.变小
C.不变
D.不确定


点击查看答案


20、问答题  

计算题:在常压101.33kPa、温度下,溶质组成为0.05(摩尔分数)的CO2-空气混合物与浓度为的25水溶液接触,试判断传质过程方向。
已知常压、25℃下CO2在水中的亨利系数E为
 


点击查看答案


21、问答题  吸收分离的依据是什么?如何分类?


点击查看答案


22、填空题  对于低浓度溶质A的气体的物理吸收达到平衡时,其自由度可视为等于()。即在()、()、()、()四个变量中,有()个自变量。


点击查看答案


23、问答题  请比较板式塔和填料塔的性能特点。并说明各适用于何种场合?


点击查看答案


24、填空题  相平衡常数m=1,气膜吸收系数ky=1×10-4Kmol/(m2.s),液膜吸收系数kx的值为ky的100倍,这一吸收过程为()控制,该气体为()溶气体,气相总吸收系数KY=()Kmol/(m2.s)。


点击查看答案


25、单项选择题  吸收在逆流操作中,其它条件不变,只减小吸收剂用量(能正常操作),将引起:()。

A.操作线斜率增大
B.塔底溶液出口浓度降低
C.吸收推动力减小
D.尾气浓度减小


点击查看答案


26、填空题  某操作中的吸收塔,用清水逆流吸收气体混合物中的A组分,若L增加,其余操作条件不变,则出塔气体ya(),出塔液体的浓度x1(),回收率()。


点击查看答案


27、问答题  简述填料的作用。


点击查看答案


28、填空题  某低浓度气体吸收过程,已知:相平衡常数m=1,气膜和液膜体积吸收系数分别为kya=2×10-4Kmol/(m3s),kxa=0.4kmol/(m3.s)。则该吸收过程为()膜阻力控制。气膜阻力占总阻力的百分数为();该气体为()溶气体。漂流因数可表为(),它反映()。


点击查看答案


29、单项选择题  提高液气比,从提高吸收推动力和降低吸收阻力两方面综合考虑:()。

A、气膜控制有利;
B、液膜控制有利;
C、气、液膜共同控制有利。


点击查看答案


30、填空题  吸收操作的依据是(),以达到分离气体混合物的目的。


点击查看答案


31、问答题  影响传质系数的因素有哪些?


点击查看答案


32、单项选择题  在逆流吸收塔内,入塔条件不变,填料层高度趋向无穷大,当吸收因数A<1时,气液相在()处达到平衡。

A.塔顶;
B.塔底;
C.塔中部;
D.塔中某一位置。


点击查看答案


33、单项选择题  由手册中查得稀氨水的密度为0.9939,若100g水中含氨1g,其浓度为()kmol/m3。

A.0.99
B.0.85
C.0.58
D.0.29


点击查看答案


34、填空题  kx表示以()为推动力的传质系数,其单位为()。


点击查看答案


35、填空题  干气密封系统中,前置密封气介质是(),使防止机体内介质污染()。


点击查看答案


36、填空题  亨利系数E值愈大,则表明该气体的()。


点击查看答案


37、问答题  在选择吸收塔用的填料时,应选比表面积大的填料还是比表面积小的填料?


点击查看答案


38、问答题  吸收实验中,设备没有启动时U形管压差计两液面不平,可能是什么原因,如何调平?


点击查看答案


39、填空题  A,B两组分等摩尔扩散的代表单元操作是(),A在B中单向扩散的代表单元操作是()。


点击查看答案


40、单项选择题  双膜理论的要点有()。

A、两点;
B、三点;
C、四点。


点击查看答案


41、填空题  吸收过程中,KX是以()为推动力的总吸收系数,它的单位是()。


点击查看答案


42、问答题  从传质推动力和传质阻力两方面分析吸收剂流量和吸收剂温度对吸收过程的影响?


点击查看答案


43、单项选择题  吸收塔的操作线是直线,主要基于()。

A.物理吸收;
B.化学吸收;
C.高浓度物理吸收;
D.低浓度物理吸收。


点击查看答案


44、问答题  评价塔板性能的指标有哪些方面?


点击查看答案


45、单项选择题  对某一气液平衡物系,在总压一定时,若温度升高,由其亨利系数E将()。

A.减小;
B.增加;
C.不变;
D.不确定。


点击查看答案


46、问答题  塔板上有哪些异常操作现象?它们对传质性能有何影响?


点击查看答案


47、判断题  液膜控制吸收时,若要提高吸收率,应提高气相流速。()


点击查看答案


48、单项选择题  某填料塔用水吸收空气中的氨气,当液体流量和进塔气体的浓度不变时,增大混合气体的流量,此时仍能进行正常操作,则尾气中氨气的浓度()。

A.增大
B.减少
C.不变
D.不确定


点击查看答案


49、问答题  吸收实验中,为什么以色谱分析气体组成之前要通气稳定15min?如果稳定时间过短结果将如何?


点击查看答案


50、填空题  吸收塔操作时,若脱吸因数mG/L增加,而气液进口组成不变,则溶质回收率将(),而出塔液体浓度将()。


点击查看答案


51、填空题  双组分理想气体系统经绝热压缩,其总压增加一倍,则过程前后系统中的扩散系数DAB与DAB’的关系应该是DAB=()DAB’。


点击查看答案


52、填空题  当温度升高时,溶质在气相中的分子扩散系数(),在液相中的分子扩散系数()。


点击查看答案


53、单项选择题  空气通过具有一定液体喷淋量的填料时,流量与流经填料的压强差△P呈何关系?()

A.在对数坐标呈直线关系
B.在对数坐标呈折线关系
C.在对数坐标呈曲线关系
D.没关系


点击查看答案


54、问答题  计算题:在逆流吸收塔中,用清水吸收混合气体溶质组分A,吸收塔内操作压强为106kPa,温度为30℃,混合气流量为1300m3/h,组成为0.03(摩尔分数),吸收率为95%。若吸收剂用量为最小用量的1.5倍,试求进入塔顶的清水用量L及吸收液的组成。操作条件下平衡关系为Y=0.65X。


点击查看答案


55、问答题  相平衡在吸收过程中有何应用?


点击查看答案

56、填空题  实验室中用水吸收CO2属于()。


点击查看答案


57、填空题  吸收塔逆流操作时,若解吸因数(mV)/L增加,而气液进口组成及温度,压力不变,则溶质回收率(),出塔液体浓度x1()。


点击查看答案


58、单项选择题  提高吸收塔的液气比,甲认为奖在逆流吸收过程的推动力较大;乙认为将增大并流吸收过程的推动力,正确的是()。

A.甲对;
B.乙对;
C.甲、乙双方都不对;
D.甲、乙都对。


点击查看答案


59、单项选择题  吸收过程避免液泛的主要操作要点是()。

A.控制液体流速
B.控制温度
C.控制气体速度
D.控制压力


点击查看答案


60、单项选择题  根据双膜理论,当溶质在液体中溶解度很小时,以液相表示的总传质系数将:()。

A.大于液相传质分系数
B.近似等于液相传质分系数
C.小于气相传质分系数
D.近似等于气相传质分系数


点击查看答案


61、单项选择题  某逆流吸收塔在操作时因某种原因使吸收剂入塔量减少,以致操作时的液气比小于原定的最小液气比,则发生下列情况()。

A.液体出塔浓度增加,回收率不变
B.液体出塔浓度不变,气体出塔浓度增加
C.液体出塔浓度和气体出塔浓度均增加
D.在塔的下部将发生解吸现象。


点击查看答案


62、填空题  用逆流操作的吸收塔处理低浓度易溶溶质的气体混合物,如其他操作条件不变,而入口气体的组成yb增加,则此塔的液相总传质单元数NOL将()。气体出口组成ya将()。液相出口组成xa将()。


点击查看答案


63、问答题  填料塔的关系线有何特点?操作区域分成哪三个区域?


点击查看答案


64、问答题  填料塔的流体力学性能有哪些?


点击查看答案


65、填空题  某逆流操作吸收塔,若其它操作条件不变而系统的温度增加(无化学反应),则传质单元高度HOG(),气体出口浓度y2(),液体出口浓度x1()。试在附图上画出新条件下的平衡线和操作线。


点击查看答案


66、填空题  在填料塔操作时,影响液泛气速的因素有()、()和()。


点击查看答案


67、问答题  填料吸收塔塔底为什么要有密封装置?


点击查看答案


68、单项选择题  吸收操作中,当物系的状态点处于平衡线的下方时:()。

A.发生吸收过程
B.吸收速率为零
C.发生解吸过程
D.其他条件相同时状态点距平衡线越远,吸收越易进行


点击查看答案


69、单项选择题  设计中,最大吸收率ηmax与()无关。

A.液气比
B.吸收塔型式
C.相平衡常数m
D.液体入塔浓度X2


点击查看答案


70、填空题  对极易溶的气体,气相一侧的介面浓度y1接近于(),而液相一侧的液面浓度x1接近于()。


点击查看答案


71、填空题  在气体吸收时,若可溶气体的浓度较大,则总体流动对传质的影响()。


点击查看答案


72、填空题  拟设计一座用清水吸收NH3的吸收塔,已规定出塔气体中的NH3浓度不得大于给定值。若进塔气中NH3含量增大,则最小液气比将()。


点击查看答案


73、单项选择题  由于吸收过程气相中的溶质分压总是()液相中溶质的平衡分压,所以吸收过程的操作线总是在其平衡线的()。

A.小于,上方;
B.大于,上方;
C.小于,下方;
D.大于,下方。


点击查看答案


74、问答题  如何正确使用转子流量计?


点击查看答案


75、问答题  为什么吸收实验选用二氧化碳作为溶质组分?


点击查看答案


76、单项选择题  只要组分在气相中心的分压()液相中该组分的平衡分压,吸收就会继续进行,直至达到一个新的平衡为止。

A.大于
B.小于
C.等于
D.不等于


点击查看答案


77、填空题  对接近常压的低浓度溶质的气液平衡系统,当系统温度增加时,其溶解度系数H将()。而当系统中液相总浓度增加时,其相平衡常数m将()。


点击查看答案


78、填空题  用清水吸收空气与A的混合气中的溶质A,物系的相平衡常数m=2,入塔气 91ExaM.org体浓度Y1=0.06,要求出塔气体浓度Y2=0.006,则最小液气比为()。


点击查看答案


79、问答题  从实验数据分析水吸收丙酮是气膜控制还是液膜控制,还是两者兼有之?


点击查看答案


80、问答题  

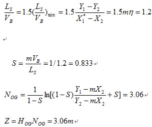
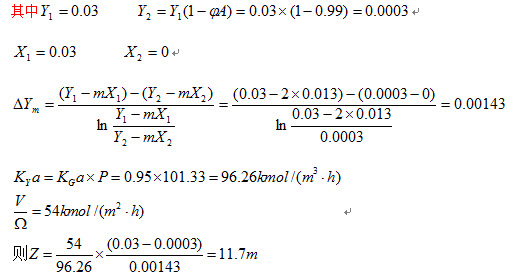
计算题:在逆流操作的填料吸收塔中,用清水吸收混合气中溶质组分A。进塔气体组成为0.03(摩尔比),吸收率为99%,出塔液相组成为0.013(摩尔比)。操作压强为101.33kPa/(m2.h),气相体积吸收总系数为0.95kmol/(),试求所需的填料层高度。


点击查看答案


81、填空题  塔底液封的作用是(),()。


点击查看答案


82、问答题  

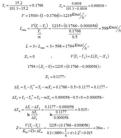
计算题:在293K和101.3Kpa下,用清水分离氨和空气的混合物,混合物中氨的分压为15.2Kpa,处理后分压降至0.0056Kpa,混合气处理量为,已知,Y*=0.5X。
试计算:
(1)最小吸收剂耗用量;
(2)若适宜吸收剂用量为最小用量的3倍,求实际耗用量;
(3)若塔径为1.2m,吸收总系数为,求所需填料层高度?


点击查看答案


83、填空题  测定传质系数Ky的意义在于()。


点击查看答案


84、单项选择题  填料吸收塔内的液体再分布器是用于()。

A、喷洒吸收剂;
B、防止液泛;
C、克服壁流现象;
D.再利用吸收液。


点击查看答案


85、填空题  对非液膜控制的系统,气体流量越大,则气相总传质系数Ky(),气相总传质单元高度HOG()。


点击查看答案


86、填空题  在1atm、20℃下某低浓度气体混合物被清水吸收,若气膜吸收系数kg=0.1kmol/(m2.h.atm),液膜吸收系数kl=0.25kmol/(m2.h.atm),溶质的溶解度系数H=150kmol/(m3.atm),则该溶质为()气体,气相吸收总系数Kg=()kmol/(m2.h.atm)。


点击查看答案


87、填空题  在低浓度难溶气体的逆流吸收塔中,若其他条件不变,而入口液体量增加,则此塔的液相传质单元数NL将(),而系统的气相总传质单元数NOG将(),气体出口浓度ya将()。


点击查看答案


88、单项选择题  某相际传质过程为气膜控制,究其原因,甲认为是由于气膜传质速率小于液膜传质速率的缘故;乙认为是气膜传质推动力较小的缘故。正确的是()。

A.甲对;
B.乙对;
C.甲、乙都对;
D.甲、乙都不对。


点击查看答案


89、填空题  低浓度气体吸收中,已知平衡关系为y=1.5x,kxa=0.2kmol/m3.s,kya=2×10-5kmol/m3.s,,则此体系属()控制。


点击查看答案


90、问答题  H、E、m、分别表示什么?随温度的变化情况如何?


点击查看答案


91、单项选择题  关于适宜液气化选择的叙述错误的是:()。

A.不受操作条件变化的影响
B.不能少于最小液气比
C.要保证填料层的充分湿润
D.应使设备费用和操作费用之和最小


点击查看答案


92、填空题  吸收操作中,增大液气比有利于增加(),提高()。


点击查看答案


93、问答题  什么是最小液气比?适宜液气比如何选择?增大液气比对操作线有何影响?


点击查看答案


94、填空题  在吸收操作中,()总量和()总量将随吸收过程的进行而改变,但()和()的量则始终保持不变。


点击查看答案


95、填空题  气体吸收计算中表示设备(填料)效能高低的一个量是(),而表示传质任务难易程度的一个量是()。


点击查看答案


96、填空题  最小液气比(L/V)min只对()有意义,实际操作时,若(L/V)﹤(L/V)min,产生结果是()。


点击查看答案


97、问答题  在该实验装置上如何验证吸收剂温度对吸收过程的影响?


点击查看答案


98、单项选择题  单向扩散中的漂流因子()。

A.>1
B.<1
C.=1
D.不一定


点击查看答案


99、单项选择题  常压下用水逆流吸收空气中的CO2,若将用水量增加,则出塔液体中CO2浓度将()。

A.不确定;
B.减少;
C.增加;
D.不变。


点击查看答案


100、单项选择题  吸收操作的作用是分离()。

A.气体混合物;
B.液体均相混合物;
C.互一相溶的液体混合物;
D.气——液混合物。


点击查看答案


题库试看结束后微信扫下方二维码即可打包下载完整版《★吸收考试》题库
手机用户可保存上方二维码到手机中,在微信扫一扫中右上角选择“从相册选取二维码”即可。

题库试看结束后微信扫下方二维码即可打包下载完整版《吸收考试:吸收考试》题库,分栏、分答案解析排版、小字体方便打印背记!经广大会员朋友实战检验,此方法考试通过率大大提高!绝对是您考试过关的不二利器
手机用户可保存上方二维码到手机中,在微信扫一扫中右上角选择“从相册选取二维码”即可。

微信搜索关注"91考试网"公众号,领30元,获取公务员事业编教师考试资料40G